Determination of Metals in Tree Rings by ICP-MS Using Ash from a Direct Mercury Analyzer
Abstract
1. Introduction
2. Results and Discussion
2.1. Method Comparison, Figures-of-Merit, and Recovery Tests
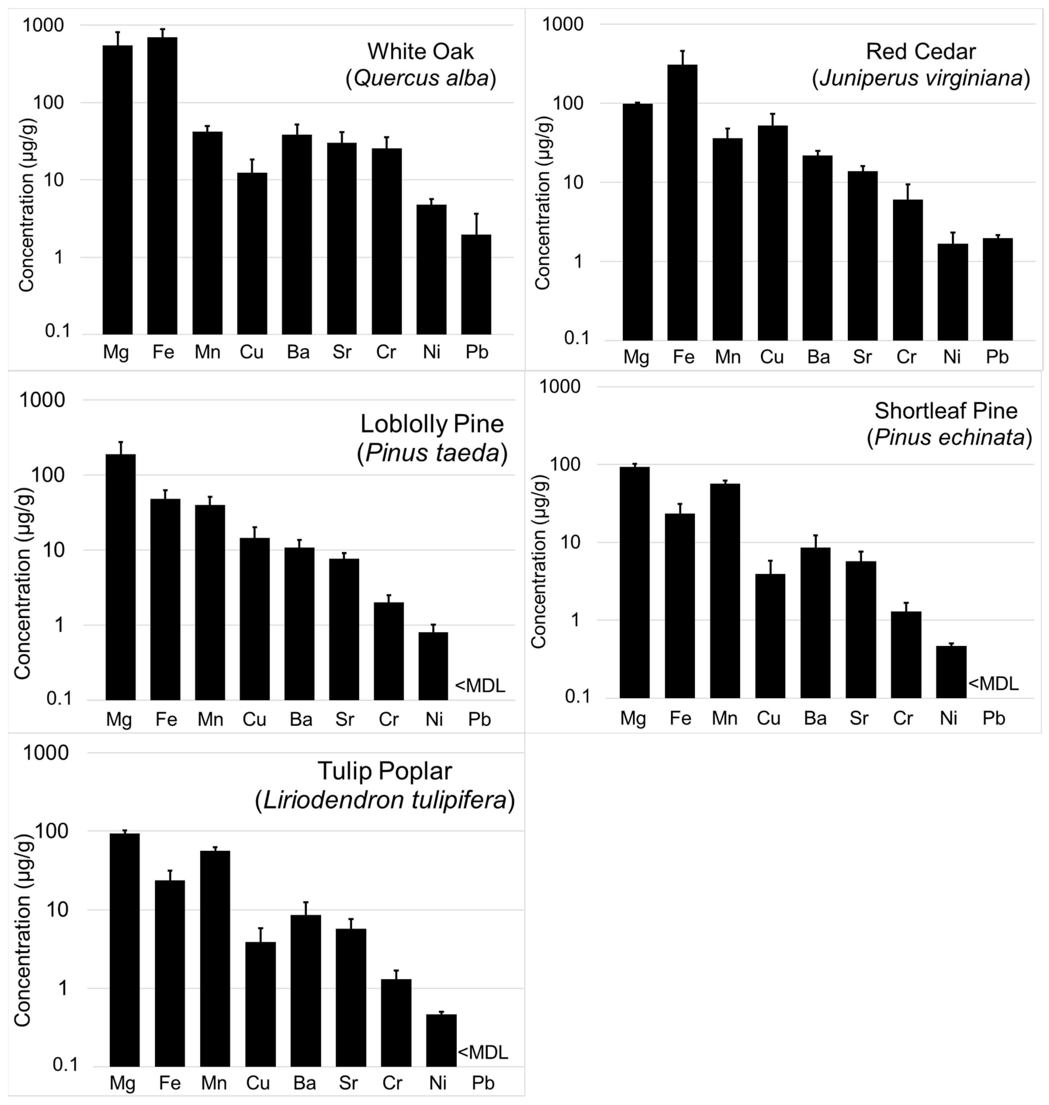
2.2. Analysis of Tree Cores Collected from the Holly Springs National Forest
3. Materials and Methods
3.1. Site Description and Collection of Tree Cores
3.2. Direct Mercury Analysis
3.3. Microwave-Assisted Acid Digestion of Tree Core Ash
3.4. Determination of Metals in Ash from the DMA by ICP-MS
Author Contributions
Funding
Acknowledgments
Conflicts of Interest
References
- Watmough, S.A.; Hutchinson, T.C. Analysis of tree rings using inductively coupled plasma mass spectrometry to record fluctuations in a metal pollution episode. Environ. Pollut. 1996, 93, 93–102. [Google Scholar] [CrossRef]
- Bindler, R.; Renberg, I.; Klaminder, J.; Emteryd, O. Tree rings as Pb pollution archives? A comparison of 206Pb/207Pb isotope ratios in pine and other environmental media. Sci. Total Environ. 2004, 319, 173–183. [Google Scholar] [CrossRef]
- Cheng, Z.; Buckley, B.M.; Katz, B.; Wright, W.; Bailey, R.; Smith, K.T.; Li, J.; Curtis, A.; van Geen, A. Arsenic in tree rings at a highly contaminated site. Sci. Total Environ. 2007, 376, 324–334. [Google Scholar] [CrossRef] [PubMed][Green Version]
- Hojdová, M.; Navrátil, T.; Rohovec, J.; Žák, K.; Vaněk, A.; Chrastný, V.; Bače, R.; Svoboda, M. Changes in Mercury Deposition in a Mining and Smelting Region as Recorded in Tree Rings. Water Air Soil Pollut. 2011, 216, 73–82. [Google Scholar] [CrossRef]
- Cutter, B.E.; Guyette, R.P. Anatomical, Chemical, and Ecological Factors Affecting Tree Species Choice in Dendrochemistry Studies. J. Environ. Qual. 1993, 22, 611–619. [Google Scholar] [CrossRef]
- McCarroll, D.; Loader, N.J. Stable isotopes in tree rings. Quat. Sci. Rev. 2004, 23, 771–801. [Google Scholar] [CrossRef]
- Monticelli, D.; Di Iorio, A.; Ciceri, E.; Castelletti, A.; Dossi, C. Tree ring microanalysis by LA–ICP–MS for environmental monitoring: Validation or refutation? Two case histories. Microchim. Acta 2009, 164, 139–148. [Google Scholar] [CrossRef]
- Padilla, K.L.; Anderson, K.A. Trace element concentration in tree-rings biomonitoring centuries of environmental change. Chemosphere 2002, 49, 575–585. [Google Scholar] [CrossRef]
- Schroeder, W.H.; Munthe, J. Atmospheric mercury—An overview. Atmos. Environ. 1998, 32, 809–822. [Google Scholar] [CrossRef]
- Yang, Y.; Yanai, R.D.; Driscoll, C.T.; Montesdeoca, M.; Smith, K.T. Concentrations and content of mercury in bark, wood, and leaves in hardwoods and conifers in four forested sites in the northeastern USA. PLoS ONE 2018, 13, e0196293. [Google Scholar] [CrossRef]
- Gustin, M.S.; Evers, D.C.; Bank, M.S.; Hammerschmidt, C.R.; Pierce, A.; Basu, N.; Blum, J.; Bustamante, P.; Chen, C.; Driscoll, C.T.; et al. Importance of Integration and Implementation of Emerging and Future Mercury Research into the Minamata Convention. Environ. Sci. Technol. 2016, 50, 2767–2770. [Google Scholar] [CrossRef] [PubMed]
- Becnel, J.; Falgeust, C.; Cavalier, T.; Gauthreaux, K.; Landry, F.; Blanchard, M.; Beck, M.J.; Beck, J.N. Correlation of mercury concentrations in tree core and lichen samples in southeastern Louisiana. Microchem. J. 2004, 78, 205–210. [Google Scholar] [CrossRef]
- Siwik, E.I.H.; Campbell, L.M.; Mierle, G. Distribution and trends of mercury in deciduous tree cores. Environ. Pollut. 2010, 158, 2067–2073. [Google Scholar] [CrossRef] [PubMed]
- Yang, Y.; Yanai, R.D.; Montesdeoca, M.; Driscoll, C.T. Measuring mercury in wood: Challenging but important. Int. J. Environ. Anal. Chem. 2017, 97, 456–467. [Google Scholar] [CrossRef]
- Obrist, D.; Johnson, D.W.; Edmonds, R.L. Effects of vegetation type on mercury concentrations and pools in two adjacent coniferous and deciduous forests. J. Plant Nutr. Soil Sci. 2012, 175, 68–77. [Google Scholar] [CrossRef]
- Navrátil, T.; Šimeček, M.; Shanley, J.B.; Rohovec, J.; Hojdová, M.; Houška, J. The history of mercury pollution near the Spolana chlor-alkali plant (Neratovice, Czech Republic) as recorded by Scots pine tree rings and other bioindicators. Sci. Total Environ. 2017, 586, 1182–1192. [Google Scholar] [CrossRef]
- Wright, G.; Woodward, C.; Peri, L.; Weisberg, P.J.; Gustin, M.S. Application of tree rings [dendrochemistry] for detecting historical trends in air Hg concentrations across multiple scales. Biogeochemistry 2014, 120, 149–162. [Google Scholar] [CrossRef]
- Peckham, M.A.; Gustin, M.S.; Weisber, P.J. Assessment of the Suitability of Tree Rings as Archives of Global and Regional Atmospheric Mercury Pollution. Environ. Sci. Technol. 2019, 53, 3663–3671. [Google Scholar] [CrossRef]
- Schneider, L.; Allen, K.; Walker, M.; Morgan, C. HaberleUsing Tree Rings to Track Atmospheric Mercury Pollution in Australia: The Legacy of Mining in Tasmania. Environ. Sci. Technol. 2019, 53, 5697–5706. [Google Scholar] [CrossRef]
- Cocozza, C.; Ravera, S.; Cherubini, P.; Lombardi, F.; Marchetti, M.; Tognetti, R. Integrated biomonitoring of airborne pollutants over space and time using tree rings, bark, leaves and epiphytic lichens. Urban For. Urban Green. 2016, 17, 177–191. [Google Scholar] [CrossRef]
- Madejón, P.; Marañón, T.; Murillo, J.M.; Robinson, B. White poplar (Populus alba) as a biomonitor of trace elements in contaminated riparian forests. Environ. Pollut. 2004, 132, 145–155. [Google Scholar] [CrossRef] [PubMed]
Sample Availability: Not available. |




| Element | Mean (±1 SD; n = 5) | RPD | MDL | LOQ | Calib. Curve Linearity (r2) | |
|---|---|---|---|---|---|---|
| EPA 3052 | New Method | |||||
| Ag (ng/g) | 11.5 ± 6.9 | <MDL | - | 5.1 | 17.2 | 0.9995 |
| Ba (µg/g) | 200 ± 8 | 192 ± 4 | 4.1 | 0.04 | 0.12 | 0.9990 |
| Be (ng/g) | 80 ± 10 | 82 ± 18 | 3.1 | 15.2 | 50.7 | 0.9996 |
| Cd (ng/g) | 250 ± 8 | 67 ± 12 | 73.3 * | 7.2 | 23.9 | 0.9999 |
| Co (ng/g) | 348 ± 24 | 353 ± 47 | 1.4 | 1.5 | 4.9 | 0.9999 |
| Cr (µg/g) | 34.5 ± 4.4 | 31.0 ± 1.5 | 10.4 | 0.05 | 0.18 | 0.9999 |
| Cs (ng/g) | 6.0 ± 0.3 | 10.1 ± 4.4 | 67.2 * | 2.1 | 7.1 | 0.9993 |
| Cu (µg/g) | 1.9 ± 1.0 | 1.7 ± 1.3 | 14.2 | 1.1 | 3.7 | 0.9999 |
| Fe (µg/g) | 156 ± 20 | 188 ± 56 | 20.8 | 0.81 | 2.72 | 0.9961 |
| Ga (ng/g) | 7.0 ± 2.5 | 8.6 ± 4.4 | 23.5 | 1.3 | 4.5 | 0.9999 |
| Mg (µg/g) | 1200 ± 48 | 1200 ± 71 | 1.6 | 1.2 | 3.9 | 0.9947 |
| Mn (µg/g) | 100.0 ± 4.6 | 96.3 ± 0.9 | 3.7 | 0.10 | 0.34 | 0.9986 |
| Ni (µg/g) | 13.4 ± 1.6 | 13.2 ± 0.5 | 1.4 | 0.05 | 0.17 | 0.9999 |
| Pb (µg/g) | 1.71 ± 0.07 | 1.72 ± 0.06 | 0.9 | 0.06 | 0.19 | 0.9998 |
| Rb (µg/g) | 4.52 ± 0.17 | 4.30 ± 0.06 | 4.8 | 0.02 | 0.08 | 0.9999 |
| Sr (µg/g) | 49.5 ± 2.1 | 47.0 ± 0.3 | 5.2 | 0.02 | 0.07 | 0.9999 |
| Th (ng/g) | 3.2 ± 4.3 | <MDL | - | 2.4 | 7.9 | 0.9994 |
| Tl (ng/g) | 4.7 ± 0.5 | 3.0 ± 0.7 | 36.4 * | 2.9 | 9.8 | 0.9994 |
| U (ng/g) | 4.4 ± 2.3 | 3.6 ± 1.5 | 19.5 | 1.7 | 5.6 | 0.9986 |
| V (ng/g) | 210 ± 30 | 220 ± 20 | 0.9 | 3.2 | 10.5 | 0.9999 |
| Element (Unit) | CRM AR 1946 (Wood Fuel Biomass) | NIST SRM 1633C (Coal Fly Ash) | AR1946 Spiked with Multi-element Standard | ||||||||||||||
|---|---|---|---|---|---|---|---|---|---|---|---|---|---|---|---|---|---|
| Certified or Reference Value | With DMA Ashing (n = 3) | Certified or Reference Value | With DMA Ashing (n = 8) | Without DMA Ashing (n = 8) | With DMA Ashing (n = 2) | Without DMA Ashing (n = 3) | |||||||||||
| Mean | 1 SD | Mean | 1 SD | Rec. (%) | Mean | 1 SD | Mean | 1 SD | Rec. (%) | Mean | 1 SD | Rec. (%) | Rec. (%) | RPD | Rec. (%) | SD | |
| Ag (ng/g) | - | - | 14.0 | 6.0 | - | - | - | <MDL | 0.1 | - | <MDL | 0.0 | - | 96.3 | 10.6 | 123.4 | 7.4 |
| Ba (µg/g) | 47 (ref) | - | 54.9 | 2.0 | 116.8 | 1126 | 33 | 1158 | 83.6 | 102.9 | 1243 | 70.3 | 110.4 | 96.8 | 5.7 | 91.9 | 11.8 |
| Be (ng/g) | - | - | <MDL | 4.0 | - | - | - | <MDL | - | - | <MDL | - | - | 86.6 | 12.1 | 114.5 | 7.5 |
| Cd (ng/g) | - | - | 39.0 | 11.0 | - | 0.758 | 0.005 | <MDL | - | 156.4 | <MDL | - | 140.7 | 7.6 | 110.4 | 110.0 | 7.7 |
| Co (µg/g) | - | - | <MDL | 0.1 | - | 42.9 | 3.5 | 36.8 | 3.4 | 85.9 | 37.8 | 0.8 | 88.0 | 76.0 | 16.8 | 103.7 | 11.7 |
| Cr (µg/g) | - | - | 2.2 | 0.2 | - | 258 (ref) | 6 | 207 | 18 | 80.2 | 217.8 | 2.1 | 84.4 | 98.2 | 4.9 | 123.0 | 18.1 |
| Cs (ng/g) | - | - | 35.0 | 6.0 | - | 9.39 (ref) | 0.22 | 4.7 | 1.2 | 50.0 | 8.0 | 0.2 | 85.2 | 76.9 | 7.4 | 114.1 | 8.1 |
| Cu (µg/g) | 4 (ref) | - | 4.7 | 3.0 | 118.3 | 173.7 | 6.4 | 154.8 | 12.0 | 89.1 | 159.3 | 3.4 | 91.7 | - | - | 100.1 | 14.9 |
| Fe (%) | 0.110 | 0.020 | 0.109 | 0.012 | 99.4 | 10.49 | 0.39 | 1.48 | 0.12 | 14.1 | 1.51 | 0.04 | 14.4 | 86.6 | 0.3 | 85.6 | 9.1 |
| Ga (ng/g) | - | - | 112.0 | 3.0 | - | - | - | 47.6 | 4.1 | - | 48.5 | 1.1 | - | 87.8 | 12.6 | 110.4 | 9.7 |
| Mg (µg/g) | 480 | 10.0 | 445 | 8.6 | 92.7 | 4980 | 520 | 278 | 81.5 | 14.0 | 637.5 | 26.4 | 32.2 | 93.0 | 6.4 | 87.4 | 14.8 |
| Mn (µg/g) | 110 | 10.0 | 121 | 3.7 | 109.8 | 240.2 | 3.4 | 204 | 21.7 | 84.8 | 207.7 | 3.5 | 86.5 | 94.2 | 8.2 | 90.0 | 14.1 |
| Ni (µg/g) | 3 (ref) | - | 1.3 | 0.2 | 43.5 | 132.0 | 10.0 | 129 | 21.6 | 97.6 | 124.6 | 2.5 | 94.4 | 80.6 | 39.2 | 111.2 | 7.1 |
| Pb (µg/g) | 4 (ref) | - | 1.2 | 0.3 | 31.1 | 95.2 | 2.5 | 95.1 | 5.3 | 100.1 | 91.0 | 1.4 | 95.6 | 97.4 | 100.2 | 111.1 | 0.8 |
| Rb (µg/g) | - | - | 2.9 | 0.0 | - | 117.42 | 0.53 | 31.2 | 2.2 | 26.6 | 43.8 | 2.4 | 37.3 | 56.4 | 68.3 | 95.7 | 15.6 |
| Sr (µg/g) | 33 (ref) | - | 32.1 | 0.4 | 97.2 | 901 | 56 | 730 | 65 | 81.0 | 858.2 | 10.8 | 95.3 | 97.5 | 9.5 | 96.7 | 7.1 |
| Th (ng/g) | - | - | 82.0 | 13.0 | - | 23.0 (ref) | 0.4 | <MDL | - | 7.4 | 3.8 | 0.1 | 16.5 | 83.9 | 9.8 | 109.1 | 18.8 |
| Tl (ng/g) | - | - | <MDL | 0.0 | - | - | - | 5.9 | 0.5 | - | 5.7 | 0.1 | - | 52.9 | 16.4 | 114.9 | 7.3 |
| U (ng/g) | - | - | 30.0 | 7.0 | - | 9.25 (ref) | 0.45 | 8.4 | 0.6 | 90.8 | 8.0 | 0.1 | 86.5 | 85.1 | 13.8 | 117.0 | 8.3 |
| V(ng/g) | 3 (ref) | - | 1.7 | 0.2 | 58.0 | 286.2 | 7.9 | 247 | 19 | 86.3 | 256.3 | 4.2 | 89.5 | 61.1 | 21.1 | 105.0 | 0.4 |
| Species: | Quercus Alba | Juniperus Virginiana | Pinus Taeda | Pinus Echinata | Liriodendron Tulipifera | ||||||||||
| Tree 1 | Tree 2 | Tree 3 | Tree 1 | Tree 2 | Tree 3 | Tree 1 | Tree 2 | Tree 3 | Tree 1 | Tree 2 | Tree 3 | Tree 1 | Tree 2 | Tree 3 | |
| Circumference (cm): | 137 | 129 | 80 | 57 | 48 | 47 | 32 | 88 | 153 | 88 | 109 | 83 | 151 | 109 | 160 |
| Ag (ng/g) | <MDL | <MDL | <MDL | 13.1 | 20.9 | <MDL | <MDL | <MDL | <MDL | - | <MDL | <MDL | <MDL | <MDL | <MDL |
| Ba (µg/g) | 26.4 | 66.4 | 23.2 | 27.4 | 21.9 | 17.1 | 16.2 | 9.0 | 7.0 | 6.5 | 15.9 | 3.2 | 19.1 | 49.4 | 29.3 |
| Be (ng/g) | <MDL | 41.3 | <MDL | <MDL | <MDL | <MDL | <MDL | <MDL | <MDL | <MDL | <MDL | <MDL | <MDL | <MDL | <MDL |
| Co (ng/g) | 196 | 414 | 237 | 93.9 | 48.9 | 141 | 62.7 | 58.1 | 20.5 | 32.2 | 35.6 | 15.4 | 42.5 | - | 89.8 |
| Cr (µg/g) | 22.7 | 10.6 | 44.1 | 4.8 | 1.1 | 12.5 | 1.6 | 3.0 | 1.4 | 1.2 | 2.0 | 0.7 | 1.6 | 3.3 | 3.5 |
| Cu (µg/g) | 2.3 | 12.6 | 22.5 | 83.4 | 62.2 | 13.2 | 25.1 | 12.7 | 5.4 | 2.3 | 7.7 | 1.7 | 3.0 | 6.1 | 7.1 |
| Fe (µg/g) | 687 | 373 | 1041 | 321 | 33.8 | 567 | 48.7 | 72.1 | 24.1 | 20.3 | 38.0 | 12.3 | 22.4 | 76.7 | 71.1 |
| Ga (ng/g) | 36.0 | 22.7 | 19.8 | 37.2 | 37.4 | 43.3 | 42.9 | <MDL | <MDL | <MDL | <MDL | 0.3 | 0.1 | 1.6 | 2.5 |
| Hg (ng/g) * | 1.0 | 1.1 | 0.9 | 2.1 | 2.0 | 1.9 | 2.2 | 1.4 | 1.2 | 1.4 | 1.5 | 0.8 | 1.0 | 0.4 | 0.5 |
| Trees 4 & 5: | 1.9 (150 cm) 0.8 (77 cm) | 2.4 (55 cm) 0.6 (52 cm) | - - | - - | 0.3 (68 cm) 0.6 (77 cm) | ||||||||||
| Mg (µg/g) | 254 | 1079 | 321 | 95.9 | 104 | 98.2 | 359 | 122 | 86 | 105.6 | 74.2 | 98.2 | 122.4 | 319.8 | 179.3 |
| Mn (µg/g) | 55.1 | 42.1 | 29.4 | 18.0 | 59.6 | 30.7 | 53.0 | 49.7 | 17.6 | 45.3 | 59.7 | 64.4 | 37.8 | 74.7 | 71.6 |
| Ni (µg/g) | 3.3 | 6.3 | 4.9 | 1.9 | 0.43 | 2.7 | 0.71 | 1.2 | 0.5 | 0.5 | 0.5 | 0.4 | 0.7 | 5.0 | 1.2 |
| Pb (µg/g) | 0.48 | 5.3 | 0.17 | 0.53 | 0.07 | 0.67 | <MDL | <MDL | <MDL | <MDL | <MDL | <MDL | <MDL | <MDL | <MDL |
| Sr (µg/g) | 52.6 | 20.4 | 17.9 | 18.1 | 11.1 | 12.6 | 10.4 | 6.7 | 6.0 | 5.7 | 8.9 | 2.6 | 44.6 | 18.2 | 29.6 |
| Th (ng/g) | <MDL | <MDL | <MDL | <MDL | <MDL | <MDL | <MDL | <MDL | <MDL | <MDL | <MDL | <MDL | 9.4 | <MDL | <MDL |
| U (ng/g) | <MDL | <MDL | <MDL | <MDL | <MDL | <MDL | <MDL | <MDL | <MDL | <MDL | <MDL | <MDL | <MDL | <MDL | <MDL |
| DMA | |
| Gas flow | 200 mL/min |
| Drying | 200 °C for 60 s |
| Decomposition | 650 °C for 180 s |
| Purge | 60 s |
| Amalgamator heat | 900 °C for 12s |
| Record | 60 s |
| Plasma Parameters | |
| Cool gas flow | 14 L/min |
| Auxiliary gas flow | 0.9 L/min |
| Sample gas flow | 1.1 L/min |
| RF power | 1280 W |
| ICP-MS Data Acquisition | |
| Isotopes in LR | 9Be, 85Rb, 88Sr, 107Ag, 111Cd, 133Cs, 137Ba, 205Tl, 208Pb, 232Th, 238U |
| Isotopes in MR | 24Mg,51V, 52Cr, 55Mn, 56Fe, 59Co, 60Ni, 63Cu, 69Ga |
| Integration time | 10 ms (LR); 50 ms (MR) |
| Mass window | 20% for LR; 125% for MR |
| Points per peak | 50 (LR); 20 (MR) |
| Runs/passes | 3/3 (E-scan) |
© 2020 by the authors. Licensee MDPI, Basel, Switzerland. This article is an open access article distributed under the terms and conditions of the Creative Commons Attribution (CC BY) license (http://creativecommons.org/licenses/by/4.0/).
Share and Cite
Jeon, B.; Cizdziel, J.V. Determination of Metals in Tree Rings by ICP-MS Using Ash from a Direct Mercury Analyzer. Molecules 2020, 25, 2126. https://doi.org/10.3390/molecules25092126
Jeon B, Cizdziel JV. Determination of Metals in Tree Rings by ICP-MS Using Ash from a Direct Mercury Analyzer. Molecules. 2020; 25(9):2126. https://doi.org/10.3390/molecules25092126
Chicago/Turabian StyleJeon, Byunggwon, and James V. Cizdziel. 2020. "Determination of Metals in Tree Rings by ICP-MS Using Ash from a Direct Mercury Analyzer" Molecules 25, no. 9: 2126. https://doi.org/10.3390/molecules25092126
APA StyleJeon, B., & Cizdziel, J. V. (2020). Determination of Metals in Tree Rings by ICP-MS Using Ash from a Direct Mercury Analyzer. Molecules, 25(9), 2126. https://doi.org/10.3390/molecules25092126
