Polyfunctional Sterically Hindered Catechols with Additional Phenolic Group and Their Triphenylantimony(V) Catecholates: Synthesis, Structure, and Redox Properties
Abstract
1. Introduction
2. Results and Discussion
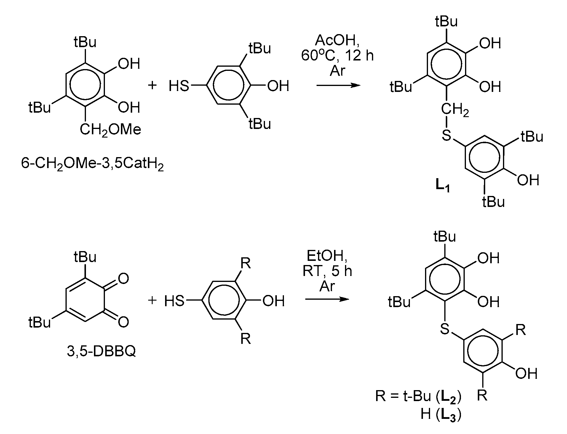
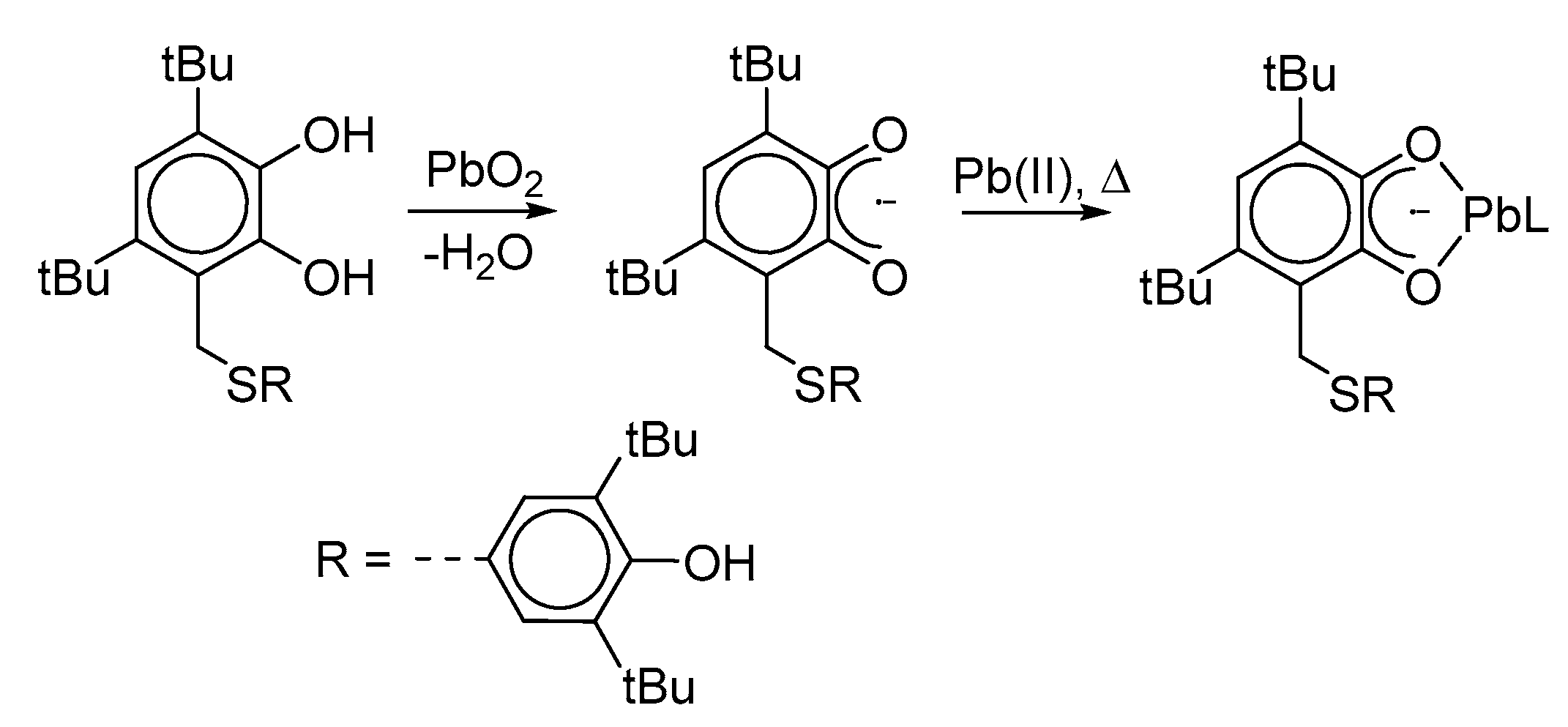
2.1. Synthesis and Characterization
2.2. Molecular Structures
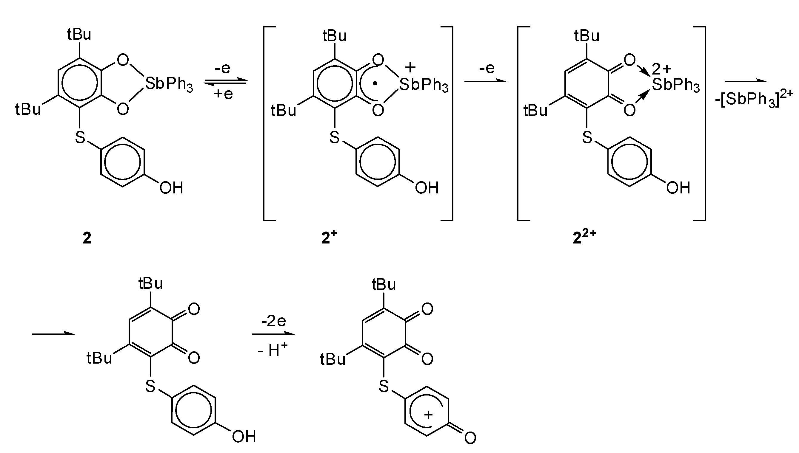
2.3. Electrochemistry
2.4. EPR Experiments
3. Materials and Methods
3.1. General Remarks
3.2. Cyclic Voltammetry
3.3. X-Ray Diffraction Studies
3.4. Synthesis of Catechol Thioethers
3.4.1. 4,6-Di-tert-butyl-3-(3,5-di-tert-butyl-4-hydroxyphenyl-thiomethyl)catechol L1
3.4.2. 4,6-Di-tert-butyl-3-(3,5-di-tert-butyl-4-hydroxyphenyl-thio)catechol L2
3.5. Synthesis of Complexes
3.5.1. Complex (6-(CH2-S-tBu2Phenol)-3,5-DBCat)SbPh3 (1)
3.5.2. Complex (6-(S-Phenol)-3,5-DBCat)SbPh3 (2)
4. Conclusions
Supplementary Materials
Author Contributions
Funding
Acknowledgments
Conflicts of Interest
References
- Pierpont, C.G.; Buchanan, R.M. Transition metal complexes of o-benzoquinone, o-semiquinone, and catecholate ligands. Coord. Chem. Rev. 1981, 38, 45–83. [Google Scholar] [CrossRef]
- Mederos, A.; Dominguez, S.; Hernandez-Molina, R.; Sanchiz, J.; Brito, F. Coordinating ability of phenylenediamines. Coord. Chem. Rev. 1999, 193, 913–939. [Google Scholar] [CrossRef]
- Pierpont, C.G. Studies on charge distribution and valence tautomerism in transition metal complexes of catecholate and semiquinonate ligands. Coord. Chem. Rev. 2001, 216, 99–125. [Google Scholar] [CrossRef]
- Pierpont, C.G. Unique properties of transition metal quinone complexes of the MQ3 series. Coord. Chem. Rev. 2001, 219, 415–433. [Google Scholar] [CrossRef]
- Zanello, P.; Corsini, M. Homoleptic, mononuclear transition metal complexes of 1,2-dioxolenes: Updating their electrochemical-to-structural (X-ray) properties. Coord. Chem. Rev. 2006, 250, 2000–2022. [Google Scholar] [CrossRef]
- Poddel’sky, A.I.; Cherkasov, V.K.; Abakumov, G.A. Transition metal complexes with bulky 4,6-di-tert-butyl-N-aryl(alkyl)-o-iminobenzoquinonato ligands: Structure, EPR and magnetism. Coord. Chem. Rev. 2009, 253, 291–324. [Google Scholar] [CrossRef]
- Kaim, W.; Schwederski, B. Non-innocent ligands in bioinorganic chemistry—An overview. Coord. Chem. Rev. 2010, 254, 1580–1588. [Google Scholar] [CrossRef]
- Kaim, W. The shrinking world of innocent ligands: Conventional and non-conventional redox-active ligands. Eur. J. Inorg. Chem. 2012, 2012, 343–348. [Google Scholar] [CrossRef]
- Kaim, W.; Paretzki, A. Interacting metal and ligand based open shell systems: Challenges for experiment and theory. Coord. Chem. Rev. 2017, 344, 345–354. [Google Scholar] [CrossRef]
- Kaim, W.; Beyer, K.; Filippou, V.; Záliš, S. Charge and spin coupling in copper compounds with hemilabile noninnocent ligands—Ambivalence in three dimensions. Coord. Chem. Rev. 2018, 355, 173–179. [Google Scholar] [CrossRef]
- Kaim, W.; Das, A.; Fiedler, J.; Záliš, S.; Sarkar, B. NO and NO2 as non-innocent ligands: A comparison. Coord. Chem. Rev. 2020, 404, 213114. [Google Scholar] [CrossRef]
- Piskunov, A.V.; Chegerev, M.G.; Fukin, G.K. Redox-induced C–C bond formation reaction between mono-o-amidophenolate tin complexes and allylhalides. J. Organometal. Chem. 2016, 803, 51–57. [Google Scholar] [CrossRef]
- Chegerev, M.G.; Piskunov, A.V.; Maleeva, A.V.; Fukin, G.K.; Abakumov, G.A. Multiple Reactivity of SnII Complexes Bearing Catecholate and o-Amidophenolate Ligands. Eur. J. Inorg. Chem. 2016, 3813–3821. [Google Scholar] [CrossRef]
- Chegerev, M.G.; Piskunov, A.V.; Starikova, A.A.; Kubrin, S.P.; Fukin, G.K.; Cherkasov, V.K.; Abakumov, G.A. Redox Isomerism in Main-Group Chemistry: Tin Complex with o-Iminoquinone Ligands. Eur. J. Inorg. Chem. 2018, 2018, 1087–1092. [Google Scholar] [CrossRef]
- Abakumov, G.A.; Poddel’sky, A.I.; Grunova, E.V.; Cherkasov, V.K.; Fukin, G.K.; Kurskii, Yu.A.; Abakumova, L.G. Reversible Binding of Dioxygen by a Non-transition-Metal Complex. Angew. Chem. Int. Ed. 2005, 44, 2767–2771. [Google Scholar] [CrossRef]
- Cherkasov, V.K.; Abakumov, G.A.; Grunova, E.V.; Poddel’sky, A.I.; Fukin, G.K.; Baranov, E.V.; Kurskii, Y.A.; Abakumova, L.G. Triphenylantimony(V) Catecholates and o-Amidophenolates: Reversible Binding of Molecular Oxygen. Chem. Eur. J. 2006, 12, 3916–3927. [Google Scholar] [CrossRef]
- Poddel’sky, A.I.; Smolyaninov, I.V.; Kurskii, Yu.A.; Fukin, G.K.; Berberova, N.T.; Cherkasov, V.K.; Abakumov, G.A. New morpholine- and piperazine-functionalised triphenylantimony(V) catecholates: The spectroscopic and electrochemical studies. J. Organometal. Chem. 2010, 695, 1215–1224. [Google Scholar] [CrossRef]
- Fukin, G.K.; Baranov, E.V.; Poddel´sky, A.I.; Cherkasov, V.K.; Abakumov, G.A. Reversible Binding of Molecular Oxygen to Catecholate and Amidophenolate Complexes of SbV: Electronic and Steric Factors. ChemPhysChem 2012, 13, 3773–3776. [Google Scholar] [CrossRef]
- Poddel’skii, A.I.; Okhlopkova, L.S.; Meshcheryakova, I.N.; Druzhkov, N.O.; Smolyaninov, I.V.; Fukin, G.K. Triphenylantimony(V) Catecholates Based on o-Quinones, Derivatives of Benzo[b][1,4]-Dioxines and Benzo[b][1,4]-Dioxepines. Russ. J. Coord. Chem. 2019, 45, 133–141. [Google Scholar] [CrossRef]
- Ilyakina, E.V.; Poddel’sky, A.I.; Cherkasov, V.K.; Abakumov, G.A. Binding of NO by nontransition metal complexes. Mendeleev Commun. 2012, 22, 208–210. [Google Scholar] [CrossRef]
- De Paiva, Y.G.; da Rocha Ferreira, F.; Silva, T.L.; Labbé, E.; Buriez, O.; Amatore, C.; Goulart, M.O.F. Electrochemically Driven Supramolecular Interaction of Quinones and Ferrocifens: An Example of Redox Activation of Bioactive Compounds. Curr. Top. Med. Chem. 2015, 15, 136–162. [Google Scholar] [CrossRef] [PubMed]
- Amatore, C.; Labbe, E.; Buriez, O. Molecular electrochemistry: A central method to understand the metabolic activation of therapeutic agents. The example of metallocifen anti-cancer drug candidates. Curr. Opin. Electrochem. 2017, 2, 7–12. [Google Scholar] [CrossRef]
- Lee, H.Z.S.; Chau, F.; Top, S.; Jaouen, G.; Vessieres, A.; Labbe, E.; Buriez, O. New mechanistic insights into osmium-based tamoxifen derivatives. Electrochim. Acta 2019, 302, 130–136. [Google Scholar] [CrossRef]
- Smolyaninov, I.V.; Poddel’sky, A.I.; Baryshnikova, S.V.; Kuzmin, V.V.; Korchagina, E.O.; Arsenyev, M.V.; Smolyaninova, S.A.; Berberova, N.T. Electrochemical transformations and evaluation of antioxidant activity of some Schiff bases containing ferrocenyl and (thio-)phenol, catechol fragments. Appl. Organometal. Chem. 2018, 32, e4121. [Google Scholar] [CrossRef]
- Wanke, R.; Benisvy, L.; Kuznetsov, M.L.; Guedes da Silva, M.F.C.; Pombeiro, A.J.L. Persistent Hydrogen-Bonded and Non-Hydrogen-Bonded Phenoxyl Radicals. Chem. Eur. J. 2011, 17, 11882–11892. [Google Scholar] [CrossRef]
- Neidlinger, A.; Ksenofontov, V.; Heinze, K. Proton-Coupled Electron Transfer in Ferrocenium–Phenolate Radicals. Organometallics 2013, 32, 5955–5965. [Google Scholar] [CrossRef]
- Neidlinger, A.; Forster, C.; Heinze, K. How Hydrogen Bonds Affect Reactivity and Intervalence Charge Transfer in Ferrocenium-Phenolate Radicals. Eur. J. Inorg. Chem. 2016, 2016, 1274–1286. [Google Scholar] [CrossRef]
- Druzhkov, N.O.; Egorova, E.N.; Arsenrev, M.V.; Baranov, E.V.; Cherkasov, V.K. Functionalization of sterically hindered catechol and o-benzoquinone with 2,2,6,6-tetramethylpiperidine-1-oxyl. Russ. Chem. Bull. 2016, 65, 2855–2860. [Google Scholar] [CrossRef]
- Egorova, E.N.; Druzhkov, N.O.; Kozhanov, K.A.; Cherkasov, A.V.; Cherkasov, V.K. Heterospin biradicals based on new piperidineoxyl-substituted 3,6-di-tert-butyl-o-benzoquinone. Russ. Chem. Bull. 2017, 66, 1629–1635. [Google Scholar] [CrossRef]
- Baryshnikova, S.V.; Bellan, E.V.; Poddel’sky, A.I.; Arsenyev, M.V.; Smolyaninov, I.V.; Fukin, G.K.; Piskunov, A.V.; Berberova, N.T.; Cherkasov, V.K.; Abakumov, G.A. Tin(IV) and antimony(V) complexes bearing catecholate ligand connected to ferrocene. Synthesis, molecular structure and electrochemical properties. Eur. J. Inorg. Chem. 2016, 2016, 5230–5241. [Google Scholar] [CrossRef]
- Poddel’sky, A.I.; Arsen’ev, M.V.; Okhlopkova, L.S.; Smolyaninov, I.V.; Fukin, G.K. New Catecholate Complexes of Triphenylantimony(V) Based on 6-Iminomethyl-3,5-Di-tert-Butylpyrocatechols N-Functionalized by the Aniline or Phenol Group. Russ. J. Coord. Chem. 2017, 43, 843–851. [Google Scholar] [CrossRef]
- Poddel’sky, A.I.; Druzhkov, N.O.; Fukin, G.K.; Cherkasov, V.K.; Abakumov, G.A. Bifunctional iminopyridino-catechol and its o-quinone: Synthesis and investigation of coordination abilities. Polyhedron 2017, 124, 41–50. [Google Scholar] [CrossRef]
- Klementieva, S.V.; Kuropatov, V.A.; Fukin, G.K.; Romanenko, G.V.; Bogomyakov, A.S.; Cherkasov, V.K.; Abakumov, G.A. Mono- and Binuclear Dimethylthallium(III) Complexes with o-Benzoquinone-TTF-o-Benzoquinone Ligand; Synthesis, Spectroscopy and X-ray Study. Z. Anorg. Allgem. Chem. 2011, 637, 232–241. [Google Scholar] [CrossRef]
- Poddel’sky, A.I.; Arsenyev, M.V.; Astaf’eva, T.V.; Chesnokov, S.A.; Fukin, G.K.; Abakumov, G.A. New sterically-hindered 6th-substituted 3,5-di-tert-butylcatechols/o-quinones with additional functional groups and their triphenylantimony(V) catecholates. J. Organometal. Chem. 2017, 835, 17–24. [Google Scholar] [CrossRef]
- Arsenyev, M.V.; Astaf’eva, T.V.; Baranov, E.V.; Poddel’sky, A.I.; Chesnokov, S.A. New sterically-hindered bis-catechol, bis-o-quinone and its bis-triphenylantimony(V) bis-catecholate. 3,5-Di-tert-butyl-6-methoxymethylcatechol as alkylating agent. Mendeleev Commun. 2018, 28, 76–78. [Google Scholar] [CrossRef]
- Pointillart, F.; Klementieva, S.; Kuropatov, V.; Le Gal, Y.; Golhen, S.; Cador, O.; Cherkasov, V.; Ouahab, L. A single molecule magnet behaviour in a D3h symmetry Dy(III) complex involving a quinone–tetrathiafulvalene–quinone bridge. Chem. Commun. 2012, 48, 714–716. [Google Scholar] [CrossRef]
- Kuropatov, V.; Klementieva, S.; Fukin, G.; Mitin, A.; Ketkov, S.; Budnikova, Y.; Cherkasov, V.; Abakumov, G. Novel method for the synthesis of functionalized tetrathiafulvalenes, an acceptor–donor–acceptor molecule comprising of two o-quinone moieties linked by a TTF bridge. Tetrahedron 2010, 66, 7605–7611. [Google Scholar] [CrossRef]
- Klement’eva, S.V.; Fukin, G.K.; Baranov, E.V.; Cherkasov, V.K.; Abakumov, G.A. Investigation of photochemical transformations of tetrathiafulvalene-bridged di-o-quinone. High Energy Chem. 2011, 45, 423–427. [Google Scholar] [CrossRef]
- Kuropatov, V.A.; Klementieva, S.V.; Poddel’sky, A.I.; Cherkasov, V.K.; Abakumov, G.A. ESR study of paramagnetic derivatives of sterically hindered di-o-quinone with the tetrathiafulvalene bridge. Russ. Chem. Bull., Int. Ed. 2010, 59, 1698–1706. [Google Scholar] [CrossRef]
- Cherkasov, V.K.; Abakumov, G.A.; Fukin, G.K.; Klementyeva, S.V.; Kuropatov, V.A. Sterically Hindered o-Quinone Annulated with Dithiete: A Molecule Comprising Diolate and Dithiolate Coordination Sites. Chem. Eur. J. 2012, 18, 13821–13827. [Google Scholar] [CrossRef]
- Tesema, Y.T.; Pham, D.M.; Franz, K.J. Synthesis and Characterization of Copper(II) Complexes of Cysteinyldopa and Benzothiazine Model Ligands Related to Pheomelanin. Inorg. Chem. 2006, 45, 6102–6104. [Google Scholar] [CrossRef] [PubMed]
- Tesema, Y.T.; Pham, D.M.; Franz, K.J. Counterions Influence Reactivity of Metal Ions with Cysteinyldopa Model Compounds. Inorg. Chem. 2008, 47, 1087–1095. [Google Scholar] [CrossRef] [PubMed]
- Poneti, G.; Poggini, L.; Mannini, M.; Cortigiani, B.; Sorace, L.; Otero, E.; Sainctavit, P.; Magnani, A.; Sessolia, R.; Dei, A. Thermal and optical control of electronic states in a single layer of switchable paramagnetic molecules. Chem. Sci. 2015, 6, 2268–2274. [Google Scholar] [CrossRef] [PubMed]
- Smolyaninov, I.V.; Pitikova, O.V.; Rychagova, E.S.; Korchagina, E.O.; Poddel’sky, A.I.; Smolyaninova, S.A.; Berberova, N.T. Synthesis and antioxidant activity of sterically hindered bis-pyrocatechol thioethers. Russ. Chem. Bull. 2016, 65, 2861–2867. [Google Scholar] [CrossRef]
- Poneti, G.; Mannini, M.; Cortigiani, B.; Poggini, L.; Sorace, L.; Otero, E.; Sainctavit, P.; Sessoli, R.; Dei, A. Magnetic and Spectroscopic Investigation of Thermally and Optically Driven Valence Tautomerism in Thioether-Bridged Dinuclear Cobalt–Dioxolene Complexes. Inorg. Chem. 2013, 52, 11798–11805. [Google Scholar] [CrossRef]
- Guardingo, M.; Bellido, E.; Miralles-Llumà, R.; Faraudo, J.; Sedó, J.; Tatay, S.; Verdaguer, A.; Busqué, F.; Ruiz-Molina, D. Bioinspired Catechol-Terminated Self-Assembled Monolayers with Enhanced Adhesion Properties. Small 2014, 10, 1594–1602. [Google Scholar] [CrossRef]
- Mancebo-Aracil, J.; Casagualda, C.; Moreno-Villaécija, M.A.; Nador, F.; García-Pardo, J.; Franconetti-García, A.; Busqué, F.; Alibés, R.; Esplandiu, M.J.; Ruiz-Molina, D.; et al. Bioinspired Functional Catechol Derivatives Through Simple Thiol Conjugate Addition. Chem. Eur. J. 2019, 25, 12367–12379. [Google Scholar] [CrossRef]
- Smolyaninov, I.; Pitikova, O.; Korchagina, E.; Poddel’sky, A.; Luzhnova, S.; Berberova, N. Electrochemical behavior and anti/prooxidant activity of thioethers with redox-active catechol moiety. Monatsh. Chem. 2018, 149, 1813–1826. [Google Scholar] [CrossRef]
- Smolyaninov, I.V.; Pitikova, O.V.; Poddel’sky, A.I.; Berberova, N.T. Electrochemical transformations and antiradical activity of asymmetrical RS-substituted pyrocatechols. Russ. Chem. Bull. 2018, 67, 1857–1867. [Google Scholar] [CrossRef]
- Smolyaninov, I.V.; Pitikova, O.V.; Korchagina, E.O.; Poddel’sky, A.I.; Fukin, G.K.; Luzhnova, S.A.; Tichkomirov, A.M.; Ponomareva, E.N.; Berberova, N.T. Bifunctional catechol thiothers with physiologically active fragments: Electrochemistry, antioxidant and cryoprotective activities. Bioorg. Chem. 2019, 89, 103003. [Google Scholar] [CrossRef]
- Loginova, N.V.; Koval’chuk, T.V.; Faletrov, Y.V.; Halauko, Y.S.; Osipovich, N.P.; Polozov, G.I.; Zheldakova, R.A.; Gres, A.T.; Halauko, A.S.; Azarko, I.I.; et al. Redox-active metal(II) complexes of sterically hindered phenolic ligands: Antibacterial activity and reduction of cytochrome c. Part II. Metal(II) complexes of o-diphenol derivatives of thioglycolic acid. Polyhedron 2011, 30, 2581–2591. [Google Scholar] [CrossRef]
- Loginova, N.V.; Koval’chuk, T.V.; Polozov, G.I.; Osipovich, N.P.; Rytik, P.G.; Kucherov, I.I.; Chernyavskaya, A.A.; Sorokin, V.L.; Shadyro, O.I. Synthesis, characterization, antifungal and anti-HIV activities of metal(II) complexes of 4,6-di-tert-butyl-3-[(2-hydroxyethyl)thio]benzene-1,2-diol. Eur. J. Med. Chem. 2008, 43, 1536–1542. [Google Scholar] [CrossRef] [PubMed]
- Do Prado, B.R.; Islam, A.; Frezard, F.; Demicheli, C. Chapter 10. Organometallic Compounds in Chemotherapy Against Leishmania. In Drug Discovery for Leishmaniasis; Rivas, L., Gil, C., Eds.; Royal Society of Chemistry: Cambridge, UK, 2017; pp. 199–223. [Google Scholar] [CrossRef]
- Hadjikakou, S.K.; Ozturk, I.I.; Banti, C.N.; Kourkoumelis, N.; Hadjiliadis, N. Recent advances on antimony(III/V) compounds with potential activity against tumor cells. J. Inorg. Biochem. 2015, 153, 293–305. [Google Scholar] [CrossRef] [PubMed]
- Islam, A.; Rodrigues, B.L.; Marzan, I.M.; Perreira-Maia, E.C.; Dittz, D.; Lopes, M.T.P.; Ishfaq, M.; Frezard, F.; Demichel, C. Cytotoxicity and apoptotic activity of novel organobismuth(V) and organoantimony(V) complexes in different cancer cell lines. Eur. J. Med. Chem. 2016, 109, 254–267. [Google Scholar] [CrossRef] [PubMed]
- Christianson, A.M.; Gabbaï, F.P. Antimony-and Bismuth-Based Materials and Applications. In Main Group Strategies Towards Functional Hybrid Materials; Baumgartner, T., Jäkle, F., Eds.; John Wiley& Sons: Chichester, UK, 2018; pp. 405–432. [Google Scholar] [CrossRef]
- Hirai, M.; Gabbai, F.P. Squeezing fluoride out of water with a neutral bidentate antimony (V) Lewis acid . Angew. Chem. Int. Ed. 2015, 54, 1205–1209. [Google Scholar] [CrossRef]
- Hirai, M.; Gabbaï, F.P. Lewis acidic stiborafluorenes for the fluorescence turn-on sensing of fluoride in drinking water at ppm concentrations. Chem. Sci. 2014, 5, 1886–1893. [Google Scholar] [CrossRef]
- Chen, C.-H.; Gabbai, F.P. Fluoride Anion Complexation by a Triptycene-Based Distiborane: Taking Advantage of a Weak but Observable C−H⋅⋅⋅F Interaction. Angew. Chem. Int. Ed. 2017, 56, 1799–1804. [Google Scholar] [CrossRef]
- Arsenyev, M.V.; Shurygina, M.P.; Poddel’sky, A.I.; Druzhkov, N.O.; Chesnokov, S.A.; Fukin, G.K.; Cherkasov, V.K.; Abakumov, G.A. New poly-o-quinone-methacrylate and its dioxygen-active antimony-containing polymer. J. Polym. Res. 2013, 20, 98. [Google Scholar] [CrossRef]
- Lenshina, N.A.; Shurygina, M.P.; Arsenyev, M.V.; Poddel’sky, A.I.; Zaitsev, S.D.; Chesnokov, S.A.; Abakumov, G.A. Optically controlled distribution of o-quinonemethacrylate metal complexes in polymer material. J. Coord. Chem. 2015, 68, 4159–4169. [Google Scholar] [CrossRef]
- Chesnokov, S.A.; Lenshina, N.A.; Arsenyev, M.V.; Kovylin, R.S.; Baten’kin, M.A.; Poddel’sky, A.I.; Abakumov, G.A. Preparation of new dioxygen-active triphenylantimony(V) catecholate-containing porous polymer. Appl. Organometal. Chem. 2017, 31, e3553. [Google Scholar] [CrossRef]
- Lide, D.R. (Ed.) CRC Handbook of Chemistry and Physics, 86th ed.; CRC Press: Boca Raton, FL, USA, 2005; 2544p. [Google Scholar]
- Batsanov, S.S. The atomic radii of the elements. Russ. J. Inorg. Chem. 1991, 36, 1694–1706. [Google Scholar]
- Brown, S.N. Metrical Oxidation States of 2-Amidophenoxide and Catecholate Ligands: Structural Signatures of Metal–Ligand π Bonding in Potentially Noninnocent Ligands. Inorg. Chem. 2012, 51, 1251–1260. [Google Scholar] [CrossRef] [PubMed]
- Gai, K.; Fang, X.; Li, X.; Xu, J.; Wu, X.; Lin, A.; Yao, H. Synthesis of spiro[2.5]octa-4,7-dien-6-one with consecutive quaternary centers via 1,6-conjugate addition induced dearomatization of para-quinone methides. Chem. Commun. 2015, 51, 15831–15834. [Google Scholar] [CrossRef] [PubMed]
- Jarava-Barrera, C.; Parra, A.; Lopez, A.; Cruz-Acosta, F.; Collado-Sanz, D.; Cardenas, D.J.; Tortosa, M. Copper-Catalyzed Borylative Aromatization of p-Quinone Methides: Enantioselective Synthesis of Dibenzylic Boronates. ACS Catal. 2016, 6, 442–446. [Google Scholar] [CrossRef]
- Santra, S.; Porey, A.; Jana, B.; Guin, J. N-Heterocyclic carbenes as chiral Brønsted base catalysts: A highly diastereo- and enantioselective 1,6-addition reaction. Chem. Sci. 2018, 9, 6446–6450. [Google Scholar] [CrossRef]
- Hall, M.; Sowerby, D.B. Synthesis and crystal structure of bis(triphenylantimony catecholate) hydrate. A new square-pyramidal antimony(V) compound. J. Am. Chem. Soc. 1980, 102, 628–632. [Google Scholar] [CrossRef]
- Holmes, R.R.; Day, R.O.; Chandrasekhar, V.; Holmes, J.M. Pentacoordinated molecules. 67. Formation and structure of cyclic five-coordinated antimony derivatives. The first square-pyramidal geometry for a bicyclic stiborane. Inorg. Chem. 1987, 26, 157–163. [Google Scholar] [CrossRef]
- Tian, Z.; Tuck, D.G. Oxidation of elemental antimony by substituted ortho-benzoquinones. J. Chem. Soc. Dalton Trans. 1993, 1381–1385. [Google Scholar] [CrossRef]
- Gibbons, M.N.; Begley, M.J.; Blake, A.J.; Sowerby, D.B. New square-pyramidal organoantimony(V) compounds; crystal structures of (biphenyl-2,2′-diyl)phenylantimony(V) dibromide, dichloride and diisothiocyanate, Sb(2,2′-C12H8)PhX2 (X = Br, Cl or NCS), and of octahedral SbPh(o-O2C6Cl4)Cl2·OEt2. J. Chem. Soc. Dalton Trans. 1997, 2419–2425. [Google Scholar] [CrossRef]
- Poddel’sky, A.I.; Piskunov, A.V.; Druzhkov, N.O.; Fukin, G.K.; Cherkasov, V.K.; Abakumov, G.A. New bis-o-benzoquinoid ligands with ethylene bridge and their metal complexes. Synthesis, Spectroscopy and X-ray study. Z. Anorg. Allg. Chem. 2009, 635, 2563–2571. [Google Scholar] [CrossRef]
- Poddel’sky, A.I.; Smolyaninov, I.V.; Somov, N.V.; Berberova, N.T.; Cherkasov, V.K.; Abakumov, G.A. Antimony(V) catecholato complexes based on 5,5,8,8-tetramethyl-5,6,7,8-tetrahydronaphthalenequinone-2,3. Crystal structure of [Ph4Sb]+[Ph2Sb(Cat)2]−. J. Organometal. Chem. 2010, 695, 530–536. [Google Scholar] [CrossRef]
- Poddel’sky, A.I.; Somov, N.V.; Druzhkov, N.O.; Cherkasov, V.K.; Abakumov, G.A. The binuclear trimethyl/triethylantimony(V) bis-catecholate derivatives of four-electron reduced 4,4’-di-(3-methyl-6-tert-butyl-o-benzoquinone). J. Organometal. Chem. 2011, 696, 517–522. [Google Scholar] [CrossRef]
- Fukin, G.K.; Baranov, E.V.; Jelsch, C.; Guillot, B.; Poddelskii, A.I.; Cherkasov, V.K.; Abakumov, G.A. Experimental and Theoretical Investigation of Topological and Energetic Characteristics of Sb Complexes Reversibly Binding Molecular Oxygen. J. Phys. Chem. A 2011, 115, 8271–8281. [Google Scholar] [CrossRef] [PubMed]
- Poddel’sky, A.I.; Baranov, E.V.; Fukin, G.K.; Cherkasov, V.K.; Abakumov, G.A. The nitro-substituted catecholates of triphenylantimony(V): Tetragonal-pyramidal vs. trigonal-bipyramidal coordination. J. Organometal. Chem. 2013, 733, 44–48. [Google Scholar] [CrossRef]
- Arsen’ev, M.V.; Okhlopkova, L.S.; Poddel’skii, A.I.; Fukin, G.K. Binuclear Triphenylantimony(V) Catecholate Based on Redox-Active Bis-o-Benzoquinone, a Bis-Catechol-Aldimine Derivative. Russ. J. Coord. Chem. 2018, 44, 162–168. [Google Scholar] [CrossRef]
- Okhlopkova, L.S.; Poddel’sky, A.I.; Smolyaninov, I.V.; Fukin, G.K.; Berberova, N.T.; Cherkasov, V.K.; Abakumov, G.A. Triphenylantimony(V) Catecholato Complexes with 4-(2,6-Dimethylphenyliminomethyl)pyridine. Structure, Redox Properties: The Influence of Pyridine Ligand. J. Organometal. Chem. 2019, 897, 32–41. [Google Scholar] [CrossRef]
- Regan, C.J.; Walton, D.P.; Shafaat, O.S.; Dougherty, D.A. Mechanistic Studies of the Photoinduced Quinone Trimethyl Lock Decaging Process. J. Am. Chem. Soc. 2017, 139, 4729–4736. [Google Scholar] [CrossRef]
- Berger, S.; Hertl, P.; Rieker, A. Physical and chemical analysis of quinones. In The Quinonoid Compounds; Patai, S., Rappoport, Z., Eds.; John Wiley & Sons Ltd.: New York, NY, USA, 1988; pp. 29–78. [Google Scholar]
- Amorati, R.; Fumo, M.G.; Menichetti, S.; Munnanini, V.; Pedulli, G.F. Electronic and Hydrogen Bonding Effects on the Chain-Breaking Activity of Sulfur-Containing Phenolic Antioxidants. J. Org. Chem. 2006, 71, 6325–6332. [Google Scholar] [CrossRef]
- Smolyaninov, I.V.; Poddel’skiy, A.I.; Berberova, N.T.; Cherkasov, V.K.; Abakumov, G.A. Electrochemical transformations of catecholate and o-amidophenolate complexes with triphenylantimony(V). Russ. J. Coord. Chem. 2010, 36, 644–650. [Google Scholar] [CrossRef]
- Smolyaninov, I.V.; Antonova, N.A.; Poddel’sky, A.I.; Smolyaninova, S.A.; Osipova, V.P.; Berberova, N.T. Radical scavenging activity of sterically hindered catecholate and o-amidophenolate complexes of LSbVPh3 type. J. Organometal. Chem. 2011, 696, 2611–2620. [Google Scholar] [CrossRef]
- Poddel’sky, A.I.; Smolyaninov, I.V. 3,6-Di-tert-butylcatecholates of triaryl antimony(V): NMR study and redox-transformations. Russ. J. Gen. Chem. 2010, 80, 538–540. [Google Scholar] [CrossRef]
- Poddel’skii, A.I.; Ilyakina, E.V.; Smolyaninov, I.V.; Fukin, G.K.; Berberova, N.T.; Cherkasov, V.K.; Abakumov, G.A. Complexes of triphenylantimony(V) catecholates with ammonium salts. Spectroscopic and electrochemical investigations. Russ. Chem. Bull. 2014, 63, 923–929. [Google Scholar] [CrossRef]
- Poddel’sky, A.I.; Smolyaninov, I.V.; Kurskii, Yu.A.; Berberova, N.T.; Cherkasov, V.K.; Abakumov, G.A. New dioxygen-inert triphenylantimony(V) catecholate complexes based on o-quinones with electron-withdrawing groups. Russ. Chem. Bull. 2009, 58, 532–537. [Google Scholar] [CrossRef]
- Poddel’sky, A.I.; Astaf’eva, T.V.; Smolyaninov, I.V.; Arsenyev, M.V.; Fukin, G.K.; Berberova, N.T.; Cherkasov, V.K.; Abakumov, G.A. Triphenylantimony(V) 6-alkoxymethyl-3,5-di-tert-butylcatecholates. Structure and redox-properties. J. Organometal. Chem. 2018, 873, 57–65. [Google Scholar] [CrossRef]
- Poddel’sky, A.I.; Smolyaninov, I.V.; Fukin, G.K.; Berberova, N.T.; Cherkasov, V.K.; Abakumov, G.A. 3,6-Di-tert-butylcatecholates of trialkyl/triarylantimony(V). J. Organometal. Chem. 2018, 867, 238–245. [Google Scholar] [CrossRef]
- Poddel’sky, A.I.; Smolyaninov, I.V.; Fukin, G.K.; Berberova, N.T.; Cherkasov, V.K.; Abakumov, G.A. Triarylantimony(V) catecholates—derivatives of 4,5-difluoro-3,6- di-tert-butyl-o-benzoquinone. J. Organometal. Chem. 2016, 824, 1–6. [Google Scholar] [CrossRef]
- Poddel’sky, A.I.; Smolyaninov, I.V.; Berberova, N.T.; Fukin, G.K.; Cherkasov, V.K.; Abakumov, G.A. Triaryl/trialkylantimony(V) catecholates with electron-acceptor groups. J. Organometal. Chem. 2015, 789, 8–13. [Google Scholar] [CrossRef]
- The Potential Value for 2,6-di-tert-butyl-4-methylphenol: 1.48 V vs. Ag/AgCl (GC-electrode, CH2Cl2). measured in this study.
- Emsley, J. The Elements; Clarendon Press: Oxford, UK, 1991. [Google Scholar]
- Easyspin 5.2.25. Available online: http://www.easyspin.org/ (accessed on 1 July 2019).
- Perrin, D.D.; Armarego, W.L.F.; Perrin, D.R. Purification of Laboratory Chemicals; Pergamon: Oxford, UK, 1980. [Google Scholar]
- Bruker; SAINT. Data Reduction and Correction Program v.8.27B; Bruker AXS: Madison, WI, USA, 2012. [Google Scholar]
- Bruker; SADABS. Bruker/Siemens Area Detector Absorption Correction Program, v.2014/2; Bruker AXS: Madison, WI, USA, 2014. [Google Scholar]
- Sheldrick, G.M. SHELXTL. Structure Determination Software Suite, v.6.14; Bruker AXS: Madison, WI, USA, 2003. [Google Scholar]
Sample Availability: Samples of the compounds are available from the authors. |




















| Compound | Eox1, V 1 | Ic/Ia | Eox2, V 1 | Ic/Ia | Eox3, V |
|---|---|---|---|---|---|
| L1 | 1.28 | - | 1.49 | - | - |
| L2 | 1.37 (1.32) | 0.4 | 1.58 (1.55) | 0.6 | 1.77 |
| L3 | 1.28 | - | 1.48 | - | - |
| 1 | 0.96 (0.89) | 0.8 | 1.39 (1.27) | 0.5 | - |
| 2 | 1.04 (0.96) | 0.7 | 1.24 | - | 1.48 |
| Compound | Eox1, V 1 | Ic/Ia | Eox2, V 1 | Ic/Ia | Eox3, V |
|---|---|---|---|---|---|
| L1 | 1.09 | - | 1.34 | - | 1.69 |
| L2 * | 1.27 | - | 1.48 | 0.3 | - |
| L3 ** | 1.13 | - | 1.26 | - | 1.61 |
| 1 | 0.89 (0.84) | 0.4 | 1.23 (1.12) | 0.5 | 1.68 |
| 2 | 0.94 (0.89) | 0.8 | 1.36 | - | - |
© 2020 by the authors. Licensee MDPI, Basel, Switzerland. This article is an open access article distributed under the terms and conditions of the Creative Commons Attribution (CC BY) license (http://creativecommons.org/licenses/by/4.0/).
Share and Cite
Smolyaninov, I.V.; Poddel’sky, A.I.; Smolyaninova, S.A.; Arsenyev, M.V.; Fukin, G.K.; Berberova, N.T. Polyfunctional Sterically Hindered Catechols with Additional Phenolic Group and Their Triphenylantimony(V) Catecholates: Synthesis, Structure, and Redox Properties. Molecules 2020, 25, 1770. https://doi.org/10.3390/molecules25081770
Smolyaninov IV, Poddel’sky AI, Smolyaninova SA, Arsenyev MV, Fukin GK, Berberova NT. Polyfunctional Sterically Hindered Catechols with Additional Phenolic Group and Their Triphenylantimony(V) Catecholates: Synthesis, Structure, and Redox Properties. Molecules. 2020; 25(8):1770. https://doi.org/10.3390/molecules25081770
Chicago/Turabian StyleSmolyaninov, Ivan V., Andrey I. Poddel’sky, Susanna A. Smolyaninova, Maxim V. Arsenyev, Georgy K. Fukin, and Nadezhda T. Berberova. 2020. "Polyfunctional Sterically Hindered Catechols with Additional Phenolic Group and Their Triphenylantimony(V) Catecholates: Synthesis, Structure, and Redox Properties" Molecules 25, no. 8: 1770. https://doi.org/10.3390/molecules25081770
APA StyleSmolyaninov, I. V., Poddel’sky, A. I., Smolyaninova, S. A., Arsenyev, M. V., Fukin, G. K., & Berberova, N. T. (2020). Polyfunctional Sterically Hindered Catechols with Additional Phenolic Group and Their Triphenylantimony(V) Catecholates: Synthesis, Structure, and Redox Properties. Molecules, 25(8), 1770. https://doi.org/10.3390/molecules25081770

