Antagonism of Histamine H3 receptors Alleviates Pentylenetetrazole-Induced Kindling and Associated Memory Deficits by Mitigating Oxidative Stress, Central Neurotransmitters, and c-Fos Protein Expression in Rats
Abstract
1. Introduction
2. Results
2.1. Effect of Chronic Administration of E177 on the Average Seizure Score of PTZ-Kindled Rats
2.2. Effects of E177 on Mmemory Deficits in Inhibitory Avoidance Paradigm of PTZ-Kindled Rats
2.3. Effect of Chronic Administration of H3R Antagonist E177 on Memory Deficits of PTZ-Kindled Rats in Elevated Plus Maze Paradigm
2.4. Effects of E177 Treatment on Oxidative Stress Level of PTZ-Kindled Rats
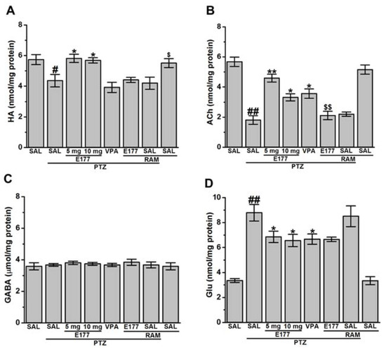
2.5. Effects of H3R Antagonist E177 Treatment on Altered levels of Histamine, Acetylcholine, GABA, and Gultamate in Hippocampal Tissues of PTZ-Kindled Rats
2.6. Effects of H3R Antagonist E177 Treatment on Elevated Acetylcholine Esterase Activity Levels in Hippocampus of PTZ-Kindled Rats
2.7. Effects of H3R Antagonist E177 Treatment on Levels of c-Fos Protein Expression in Hippocampus of PTZ-Kindled Rats
3. Discussion
4. Materials and Methods
4.1. Animals
4.2. Drugs
4.3. In Vivo Tests
4.3.1. Kindling Procedure
4.3.2. Experimental Design
4.3.3. Behavioral Tests
Single-Trial Inhibitory Avoidance Paradigm
Elevated Plus Maze
4.4. Biochemical Estimations
4.4.1. Tissue Preparation
4.4.2. Measurement of MDA
4.4.3. Measurement of GSH
4.4.4. Measurement of CAT
4.4.5. Measurement of SOD
4.5. Estimation of Brain Neurotransmitters
4.5.1. Estimation HA level in Hippocampus of PTZ-Kindled Rats
4.5.2. Estimation ACh Level in Hippocampus of PTZ-Kindled Rats
4.5.3. Estimation GABA Level in Hippocampus of PTZ-Kindled Rats
4.5.4. Estimation GLU level in hippocampus of PTZ-kindled rats
4.6. Measurement of Acetylcholine Esterase Activity
4.7. Measurement of c-Fos protein expression
5. Statistics
6. Conclusions
Author Contributions
Funding
Acknowledgments
Conflicts of Interest
References
- Fiest, K.M.; Sauro, K.M.; Wiebe, S.; Patten, S.B.; Kwon, C.S.; Dykeman, J.; Pringsheim, T.; Lorenzetti, D.L.; Jette, N. Prevalence and incidence of epilepsy: A systematic review and meta-analysis of international studies. Neurology 2017, 89, 642. [Google Scholar] [CrossRef]
- Dhediya, R.M.; Joshi, S.S.; Gajbhiye, S.V.; Jalgaonkar, S.V.; Biswas, M. Evaluation of antiepileptic effect of S-adenosyl methionine and its role in memory impairment in pentylenetetrazole-induced kindling model in rats. Epilepsy Behav. 2016, 61, 153–157. [Google Scholar] [CrossRef]
- Pahuja, M.; Mehla, J.; Kumar Gupta, Y. Anticonvulsant and antioxidative activity of hydroalcoholic extract of tuber of Orchis mascula in pentylenetetrazole and maximal electroshock induced seizures in rats. J. Ethnopharmacol. 2012, 142, 23–27. [Google Scholar] [CrossRef]
- Thome-Souza, S.; Kuczynski, E.; Assumpcao, F., Jr.; Rzezak, P.; Fuentes, D.; Fiore, L.; Valente, K.D. Which factors may play a pivotal role on determining the type of psychiatric disorder in children and adolescents with epilepsy? Epilepsy Behav. 2004, 5, 988–994. [Google Scholar] [CrossRef]
- Waldbaum, S.; Patel, M. Mitochondrial dysfunction and oxidative stress: A contributing link to acquired epilepsy? J. Bioenerg. Biomembr. 2010, 42, 449–455. [Google Scholar] [CrossRef]
- Pahuja, M.; Mehla, J.; Reeta, K.H.; Joshi, S.; Gupta, Y.K. Hydroalcoholic extract of Zizyphus jujuba ameliorates seizures, oxidative stress, and cognitive impairment in experimental models of epilepsy in rats. Epilepsy Behav. 2011, 21, 356–363. [Google Scholar] [CrossRef]
- Kamei, C. Involvement of central histamine in amygdaloid kindled seizures in rats. Behav. Brain Res. 2001, 124, 243–250. [Google Scholar] [CrossRef]
- Kamei, C.; Ishizawa, K.; Kakinoki, H.; Fukunaga, M. Histaminergic mechanisms in amygdaloid-kindled seizures in rats. Epilepsy Res. 1998, 30, 187–194. [Google Scholar] [CrossRef]
- Vohora, D.; Pal, S.N.; Pillai, K.K. Histamine and selective H3-receptor ligands: A possible role in the mechanism and management of epilepsy. Pharmacol. Biochem. Behav. 2001, 68, 735–741. [Google Scholar] [CrossRef]
- Ago, J.; Ishikawa, T.; Matsumoto, N.; Ashequr Rahman, M.; Kamei, C. Mechanism of imipramine-induced seizures in amygdala-kindled rats. Epilepsy Res. 2006, 72, 1–9. [Google Scholar] [CrossRef] [PubMed]
- Yokoyama, H.; Onodera, K.; Maeyama, K.; Yanai, K.; Iinuma, K.; Tuomisto, L.; Watanabe, T. Histamine levels and clonic convulsions of electrically-induced seizure in mice: The effects of alpha-fluoromethylhistidine and metoprine. Naunyn Schmiedeberg Arch. Pharmacol. 1992, 346, 40–45. [Google Scholar] [CrossRef]
- Scherkl, R.; Hashem, A.; Frey, H.H. Histamine in brain—Its role in regulation of seizure susceptibility. Epilepsy Res. 1991, 10, 111–118. [Google Scholar] [CrossRef]
- Miyata, I.; Saegusa, H.; Sakurai, M. Seizure-modifying potential of histamine H1 antagonists: A clinical observation. Pediatr. Int. Off. J. Jpn. Pediatr. Soc. 2011, 53, 706–708. [Google Scholar] [CrossRef] [PubMed]
- Kulkarni, R.; Valvi, C.; Kinikar, A. Seizure susceptibility due to antihistamines in febrile seizures. Pediatr. Neurol. 2010, 43, 303–310. [Google Scholar] [CrossRef] [PubMed]
- Zolaly, M.A. Histamine H1 antagonists and clinical characteristics of febrile seizures. Int. J. Gen. Med. 2012, 5, 277–281. [Google Scholar] [CrossRef]
- Gemkow, M.J.; Davenport, A.J.; Harich, S.; Ellenbroek, B.A.; Cesura, A.; Hallett, D. The histamine H3 receptor as a therapeutic drug target for CNS disorders. Drug Discov. Today 2009, 14, 509–515. [Google Scholar] [CrossRef]
- Bhowmik, M.; Khanam, R.; Vohora, D. Histamine H3 receptor antagonists in relation to epilepsy and neurodegeneration: A systemic consideration of recent progress and perspectives. Br. J. Pharmacol. 2012, 167, 1398–1414. [Google Scholar] [CrossRef]
- Sadek, B.; Saad, A.; Sadeq, A.; Jalal, F.; Stark, H. Histamine H3 receptor as a potential target for cognitive symptoms in neuropsychiatric diseases. Behav. Brain Res. 2016, 312, 415–430. [Google Scholar] [CrossRef]
- Sadek, B.; Saad, A.; Latacz, G.; Kuder, K.; Olejarz, A.; Karcz, T.; Stark, H.; Kieć-Kononowicz, K. Non-imidazole-based histamine H3 receptor antagonists with anticonvulsant activity in different seizure models in male adult rats. Drug Des. Dev. Ther. 2016, 10, 3879–3898. [Google Scholar] [CrossRef]
- Alachkar, A.; Lazewska, D.; Kiec-Kononowicz, K.; Sadek, B. The Histamine H3 Receptor Antagonist E159 Reverses Memory Deficits Induced by Dizocilpine in Passive Avoidance and Novel Object Recognition Paradigm in Rats. Front. Pharmacol. 2017, 8, 709. [Google Scholar] [CrossRef]
- Eissa, N.; Jayaprakash, P.; Azimullah, S.; Ojha, S.K.; Al-Houqani, M.; Jalal, F.Y.; Lazewska, D.; Kiec-Kononowicz, K.; Sadek, B. The histamine H3R antagonist DL77 attenuates autistic behaviors in a prenatal valproic acid-induced mouse model of autism. Sci. Rep. 2018, 8, 13077. [Google Scholar] [CrossRef] [PubMed]
- Harada, C.; Hirai, T.; Fujii, Y.; Harusawa, S.; Kurihara, T.; Kamei, C. Intracerebroventricular administration of histamine H3 receptor antagonists decreases seizures in rat models of epilepsia. Methods Find. Exp. Clin. Pharmacol. 2004, 26, 263–270. [Google Scholar] [PubMed]
- Witkin, J.M.; Nelson, D.L. Selective histamine H3 receptor antagonists for treatment of cognitive deficiencies and other disorders of the central nervous system. Pharmacol. Ther. 2004, 103, 1–20. [Google Scholar] [CrossRef] [PubMed]
- Arrang, J.M.; Garbarg, M.; Schwartz, J.C. Auto-inhibition of brain histamine release mediated by a novel class (H3) of histamine receptor. Nature 1983, 302, 832–837. [Google Scholar] [CrossRef] [PubMed]
- Yokoyama, H.; Onodera, K.; Iinuma, K.; Watanabe, T. Effect of thioperamide, a histamine H3 receptor antagonist, on electrically induced convulsions in mice. Eur. J. Pharmacol. 1993, 234, 129–133. [Google Scholar] [CrossRef]
- Sadek, B.; Saad, A.; Subramanian, D.; Shafiullah, M.; Łażewska, D.; Kieć-Kononowiczc, K. Anticonvulsant and procognitive properties of the non-imidazole histamine H3 receptor antagonist DL77 in male adult rats. Neuropharmacology 2016, 106, 46–55. [Google Scholar] [CrossRef]
- Alachkar, A.; Latacz, G.; Siwek, A.; Lubelska, A.; Honkisz, E.; Grybos, A.; Lazewska, D.; Handzlik, J.; Stark, H.; Kiec-Kononowicz, K.; et al. Anticonvulsant evaluation of novel non-imidazole histamine H3R antagonists in different convulsion models in rats. Pharmacol. Biochem. Behav. 2018, 170, 14–24. [Google Scholar] [CrossRef]
- Zhang, L.S.; Chen, J.F.; Chen, G.F.; Hu, X.Y.; Ding, M.P. Effects of thioperamide on seizure development and memory impairment induced by pentylenetetrazole-kindling epilepsy in rats. Chin. Med. J. 2013, 126, 95–100. [Google Scholar]
- Eissa, N.; Khan, N.; Ojha, S.K.; Lazewska, D.; Kiec-Kononowicz, K.; Sadek, B. The Histamine H3 Receptor Antagonist DL77 Ameliorates MK801-Induced Memory Deficits in Rats. Front. Neurosci. 2018, 12, 42. [Google Scholar] [CrossRef]
- Savage, D.D.; Rosenberg, M.J.; Wolff, C.R.; Akers, K.G.; El-Emawy, A.; Staples, M.C.; Varaschin, R.K.; Wright, C.A.; Seidel, J.L.; Caldwell, K.K.; et al. Effects of a novel cognition-enhancing agent on fetal ethanol-induced learning deficits. Alcoholism Clin. Exp. Res. 2010, 34, 1793–1802. [Google Scholar] [CrossRef]
- Alachkar, A.; Lazewska, D.; Latacz, G.; Frank, A.; Siwek, A.; Lubelska, A.; Honkisz-Orzechowska, E.; Handzlik, J.; Stark, H.; Kiec-Kononowicz, K.; et al. Studies on Anticonvulsant Effects of Novel Histamine H3R Antagonists in Electrically and Chemically Induced Seizures in Rats. Int. J. Mol. Sci. 2018, 19, 3386. [Google Scholar] [CrossRef] [PubMed]
- Alachkar, A.; Khan, N.; Lazewska, D.; Kiec-Kononowicz, K.; Sadek, B. Histamine H3 receptor antagonist E177 attenuates amnesia induced by dizocilpine without modulation of anxiety-like behaviors in rats. Neuropsychiatr. Dis. Treat. 2019, 15, 531–542. [Google Scholar] [CrossRef] [PubMed]
- Mehla, J.; Reeta, K.H.; Gupta, P.; Gupta, Y.K. Protective effect of curcumin against seizures and cognitive impairment in a pentylenetetrazole-kindled epileptic rat model. Life Sci. 2010, 87, 596–603. [Google Scholar] [CrossRef] [PubMed]
- Abdel-Wahab, B.A.; Al-Qahtani, J.M.; El-Safty, S.A. Omega-3 polyunsaturated fatty acids in large doses attenuate seizures, cognitive impairment, and hippocampal oxidative DNA damage in young kindled rats. Neurosci. Lett. 2015, 584, 173–177. [Google Scholar] [CrossRef] [PubMed]
- Kola, P.K.; Akula, A.; NissankaraRao, L.S.; Danduga, R. Protective effect of naringin on pentylenetetrazole (PTZ)-induced kindling; possible mechanisms of antikindling, memory improvement, and neuroprotection. Epilepsy Behav. 2017, 75, 114–126. [Google Scholar] [CrossRef]
- Jalili, C.; Salahshoor, M.R.; Moradi, S.; Pourmotabbed, A.; Motaghi, M. The therapeutic effect of the aqueous extract of boswellia serrata on the learning deficit in kindled rats. Int. J. Prev. Med. 2014, 5, 563–568. [Google Scholar] [PubMed]
- Lazewska, D.; Kaleta, M.; Hagenow, S.; Mogilski, S.; Latacz, G.; Karcz, T.; Lubelska, A.; Honkisz, E.; Handzlik, J.; Reiner, D.; et al. Novel naphthyloxy derivatives—Potent histamine H3 receptor ligands. Synthesis and pharmacological evaluation. Bioorg. Med. Chem. 2018, 26, 2573–2585. [Google Scholar] [CrossRef] [PubMed]
- Alachkar, A.; Azimullah, S.; Ojha, S.K.; Beiram, R.; Lazewska, D.; Kiec-Kononowicz, K.; Sadek, B. The Neuroprotective Effects of Histamine H3 Receptor Antagonist E177 on Pilocarpine-Induced Status Epilepticus in Rats. Molecules 2019, 24, 4106. [Google Scholar] [CrossRef] [PubMed]
- Ahmadi, M.; Dufour, J.P.; Seifritz, E.; Mirnajafi-Zadeh, J.; Saab, B.J. The PTZ kindling mouse model of epilepsy exhibits exploratory drive deficits and aberrant activity amongst VTA dopamine neurons in both familiar and novel space. Behav. Brain Res. 2017, 330, 1–7. [Google Scholar] [CrossRef]
- Kandratavicius, L.; Balista, P.A.; Lopes-Aguiar, C.; Ruggiero, R.N.; Umeoka, E.H.; Garcia-Cairasco, N.; Bueno-Junior, L.S.; Leite, J.P. Animal models of epilepsy: Use and limitations. Neuropsychiatr. Dis. Treat. 2014, 10, 1693–1705. [Google Scholar] [CrossRef] [PubMed]
- Hassanzadeh, P.; Arbabi, E.; Rostami, F. The ameliorative effects of sesamol against seizures, cognitive impairment and oxidative stress in the experimental model of epilepsy. Iran. J. Basic Med. Sci. 2014, 17, 100–107. [Google Scholar] [PubMed]
- Hoeller, A.A.; de Carvalho, C.R.; Franco, P.L.C.; Formolo, D.A.; Imthon, A.K.; Dos Santos, H.R.; Eidt, I.; Souza, G.R.; Constantino, L.C.; Ferreira, C.L.; et al. Behavioral and Neurochemical Consequences of Pentylenetetrazol-Induced Kindling in Young and Middle-Aged Rats. Pharmaceuticals 2017, 10, 75. [Google Scholar] [CrossRef] [PubMed]
- Mishra, A.; Goel, R.K. Comparative behavioral and neurochemical analysis of phenytoin and valproate treatment on epilepsy induced learning and memory deficit: Search for add on therapy. Metab. Brain Dis. 2015, 30, 951–958. [Google Scholar] [CrossRef]
- Huang, Q.; Liu, X.; Wu, Y.; Liao, Y.; Huang, Y.; Wei, X.; Ma, M. P38 MAPK pathway mediates cognitive damage in pentylenetetrazole-induced epilepsy via apoptosis cascade. Epilepsy Res. 2017, 133, 89–92. [Google Scholar] [CrossRef] [PubMed]
- Liao, Y.; Huang, Y.; Liu, X.; Luo, C.; Zou, D.; Wei, X.; Huang, Q.; Wu, Y. MicroRNA-328a regulates water maze performance in PTZ-kindled rats. Brain Res. Bull. 2016, 125, 205–210. [Google Scholar] [CrossRef] [PubMed]
- Jiang, Y.; Lu, Y.; Jia, M.; Wang, X.; Zhang, Z.; Hou, Q.; Wang, B. Ketogenic diet attenuates spatial and item memory impairment in pentylenetetrazol-kindled rats. Brain Res. 2016, 1646, 451–458. [Google Scholar] [CrossRef]
- Khodabandehloo, F.; Hosseini, M.; Rajaei, Z.; Soukhtanloo, M.; Farrokhi, E.; Rezaeipour, M. Brain tissue oxidative damage as a possible mechanism for the deleterious effect of a chronic high dose of estradiol on learning and memory in ovariectomized rats. Arq. Neuropsiquiatr. 2013, 71, 313–319. [Google Scholar] [CrossRef]
- Vafaee, F.; Hosseini, M.; Hassanzadeh, Z.; Edalatmanesh, M.A.; Sadeghnia, H.R.; Seghatoleslam, M.; Mousavi, S.M.; Amani, A.; Shafei, M.N. The Effects of Nigella Sativa Hydro-alcoholic Extract on Memory and Brain Tissues Oxidative Damage after Repeated Seizures in Rats. Iran. J. Pharm. Res. 2015, 14, 547–557. [Google Scholar]
- Vasilev, D.S.; Tumanova, N.L.; Kim, K.K.; Lavrentyeva, V.V.; Lukomskaya, N.Y.; Zhuravin, I.A.; Magazanik, L.G.; Zaitsev, A.V. Transient Morphological Alterations in the Hippocampus After Pentylenetetrazole-Induced Seizures in Rats. Neurochem. Res. 2018, 43, 1671–1682. [Google Scholar] [CrossRef]
- Vasiliev, D.S.; Tumanova, N.L.; Zhuravin, I.A.; Kim, K.; Lukomskaya, N.Y.; Magazanik, L.G.; Zaitsev, A.V. Morphofunctional changes in field CA1 of the rat hippocampus after pentylenetetrazole and lithium-pilocarpine induced seizures. J. Evol. Biochem. Physiol. 2014, 50, 531–538. [Google Scholar] [CrossRef]
- Samokhina, E.; Samokhin, A. Neuropathological profile of the pentylenetetrazol (PTZ) kindling model. Int. J. Neurosci. 2018, 1–11, 1086–1096. [Google Scholar] [CrossRef] [PubMed]
- Engel, J., Jr. Introduction to temporal lobe epilepsy. Epilepsy Res. 1996, 26, 141–150. [Google Scholar] [CrossRef]
- Mathern, G.W.; Babb, T.L.; Leite, J.P.; Pretorius, K.; Yeoman, K.M.; Kuhlman, P.A. The pathogenic and progressive features of chronic human hippocampal epilepsy. Epilepsy Res. 1996, 26, 151–161. [Google Scholar] [CrossRef]
- Wieser, H.G.; Yasargil, M.G. Selective amygdalohippocampectomy as a surgical treatment of mesiobasal limbic epilepsy. Surg. Neurol. 1982, 17, 445–457. [Google Scholar] [CrossRef]
- Brioni, J.D.; Esbenshade, T.A.; Garrison, T.R.; Bitner, S.R.; Cowart, M.D. Discovery of histamine H3 antagonists for the treatment of cognitive disorders and Alzheimer’s disease. J. Pharmacol. Exp. Ther. 2011, 336, 38–46. [Google Scholar] [CrossRef]
- Sadek, B.; Saad, A.; Schwed, J.S.; Weizel, L.; Walter, M.; Stark, H. Anticonvulsant effects of isomeric nonimidazole histamine H3 receptor antagonists. Drug Des Devel Ther. 2016, 7, 3633–3651. [Google Scholar] [CrossRef]
- Eissa, N.; Azimullah, S.; Jayaprakash, P.; Jayaraj, R.L.; Reiner, D.; Ojha, S.K.; Beiram, R.; Stark, H.; Lazewska, D.; Kiec-Kononowicz, K.; et al. The dual-active histamine H3 receptor antagonist and acetylcholine esterase inhibitor E100 ameliorates stereotyped repetitive behavior and neuroinflammmation in sodium valproate induced autism in mice. Chem. Biol. Interact. 2019, 312, 108775. [Google Scholar] [CrossRef]
- Eissa, N.; Al-Houqani, M.; Sadeq, A.; Ojha, S.K.; Sasse, A.; Sadek, B. Current Enlightenment About Etiology and Pharmacological Treatment of Autism Spectrum Disorder. Front. Neurosci. 2018, 12, 304. [Google Scholar] [CrossRef]
- Khan, N.; Saad, A.; Nurulain, S.M.; Darras, F.H.; Decker, M.; Sadek, B. The dual-acting H3 receptor antagonist and AChE inhibitor UW-MD-71 dose-dependently enhances memory retrieval and reverses dizocilpine-induced memory impairment in rats. Behav. Brain Res. 2016, 297, 155–164. [Google Scholar] [CrossRef]
- Berlin, M.; Boyce, C.W.; Ruiz Mde, L. Histamine H3 receptor as a drug discovery target. J. Med. Chem. 2011, 54, 26–53. [Google Scholar] [CrossRef]
- Parmentier, R.; Anaclet, C.; Guhennec, C.; Brousseau, E.; Bricout, D.; Giboulot, T.; Bozyczko-Coyne, D.; Spiegel, K.; Ohtsu, H.; Williams, M.; et al. The brain H3-receptor as a novel therapeutic target for vigilance and sleep-wake disorders. Biochem. Pharmacol. 2007, 73, 1157–1171. [Google Scholar] [CrossRef]
- Feuerstein, T.J. Presynaptic receptors for dopamine, histamine, and serotonin. Handb. Exp. Pharmacol. 2008, 184, 289–338. [Google Scholar]
- Farlow, M.R. Do cholinesterase inhibitors slow progression of Alzheimer’s disease? Int. J. Clin. Pract. Suppl. 2002, 37–44. [Google Scholar]
- Giacobini, E. Cholinesterases: New roles in brain function and in Alzheimer’s disease. Neurochem. Res. 2003, 28, 515–522. [Google Scholar] [CrossRef] [PubMed]
- Gupta, Y.K.; Veerendra Kumar, M.H.; Srivastava, A.K. Effect of Centella asiatica on pentylenetetrazole-induced kindling, cognition and oxidative stress in rats. Pharmacol. Biochem. Behav. 2003, 74, 579–585. [Google Scholar] [CrossRef]
- Hermann, B.; Seidenberg, M. Epilepsy and cognition. Epilepsy Curr. 2007, 7, 1–6. [Google Scholar] [CrossRef] [PubMed]
- Pearson, J.N.; Rowley, S.; Liang, L.P.; White, A.M.; Day, B.J.; Patel, M. Reactive oxygen species mediate cognitive deficits in experimental temporal lobe epilepsy. Neurobiol. Dis. 2015, 82, 289–297. [Google Scholar] [CrossRef] [PubMed]
- Uzum, G.; Akgun-Dar, K.; Aksu, U. The effects of atorvastatin on memory deficit and seizure susceptibility in pentylentetrazole-kindled rats. Epilepsy Behav. 2010, 19, 284–289. [Google Scholar] [CrossRef]
- Maciejak, P.; Szyndler, J.; Lehner, M.; Turzynska, D.; Sobolewska, A.; Bidzinski, A.; Plaznik, A. The differential effects of protein synthesis inhibition on the expression and reconsolidation of pentylenetetrazole kindled seizures. Epilepsy Behav. 2010, 18, 193–200. [Google Scholar] [CrossRef]
- Jia, L.J.; Wang, W.P.; Li, Z.P.; Zhen, J.L.; An, L.W.; Duan, R.S. Memantine attenuates the impairment of spatial learning and memory of pentylenetetrazol-kindled rats. Neurol. Sci. 2011, 32, 609–613. [Google Scholar] [CrossRef]
- Genkova-Papazova, M.G.; Petkova, B.; Shishkova, N.; Lazarova-Bakarova, M. Effect of the calcium channel blockers nifedipine and diltiazem on pentylenetetrazole kindling-provoked amnesia in rats. Eur. Neuropsychopharmacol. 2001, 11, 91–96. [Google Scholar] [CrossRef]
- Zhou, Q.; Zhu, S.; Guo, Y.; Lian, L.; Hu, Q.; Liu, X.; Xu, F.; Zhang, N.; Kang, H. Adenosine A1 Receptors Play an Important Protective Role Against Cognitive Impairment and Long-Term Potentiation Inhibition in a Pentylenetetrazol Mouse Model of Epilepsy. Mol. Neurobiol. 2017, 55, 3316–3327. [Google Scholar] [CrossRef] [PubMed]
- Zhang, L.S.; Shen, H.Q.; Jin, C.L.; Hu, W.W.; Zhao, M.H.; Chen, Z. Mechanisms of the effect of brain histamine on chronic epilepsy induced by pentylenetetrazole. Zhejiang Da Xue Xue Bao Yi Xue Ban 2004, 33, 201–204. [Google Scholar]
- Zhang, L.; Chen, Z.; Ren, K.; Leurs, R.; Chen, J.; Zhang, W.; Ye, B.; Wei, E.; Timmerman, H. Effects of clobenpropit on pentylenetetrazole-kindled seizures in rats. Eur. J. Pharmacol. 2003, 482, 169–175. [Google Scholar] [CrossRef] [PubMed]
- Chen, Z.; Li, W.D.; Zhu, L.J.; Shen, Y.J.; Wei, E.Q. Effects of histidine, a precursor of histamine, on pentylenetetrazole-induced seizures in rats. Acta Pharmacol. Sin. 2002, 23, 361–366. [Google Scholar]
- Wu, X.H.; Ding, M.P.; Zhu-Ge, Z.B.; Zhu, Y.Y.; Jin, C.L.; Chen, Z. Carnosine, a precursor of histidine, ameliorates pentylenetetrazole-induced kindled seizures in rat. Neurosci. Lett. 2006, 400, 146–149. [Google Scholar] [CrossRef]
- Jia, F.; Kato, M.; Dai, H.; Xu, A.; Okuda, T.; Sakurai, E.; Okamura, N.; Lovenberg, T.W.; Barbier, A.; Carruthers, N.I.; et al. Effects of histamine H(3) antagonists and donepezil on learning and mnemonic deficits induced by pentylenetetrazol kindling in weanling mice. Neuropharmacology 2006, 50, 404–411. [Google Scholar] [CrossRef]
- Zhang, L.S.; Ma, Y.Y.; Li, Q. Effects of endogenous histamine on memory impairment induced by pentylenetetrazole-kindled epilepsy in rats. Zhejiang Da Xue Xue Bao Yi Xue Ban 2006, 35, 630–634. [Google Scholar]
- Zhang, L.; Chen, G.; Chen, J.; He, X.; Hu, X. Mechanisms of histamine ameliorating memory impairment induced by pentylenetetrazole-kindling epilepsy in rats. Zhejiang Da Xue Xue Bao Yi Xue Ban 2017, 46, 1–6. [Google Scholar]
- Saras, A.; Gisselmann, G.; Vogt-Eisele, A.K.; Erlkamp, K.S.; Kletke, O.; Pusch, H.; Hatt, H. Histamine action on vertebrate GABAA receptors: Direct channel gating and potentiation of GABA responses. J. Biol. Chem. 2008, 283, 10470–10475. [Google Scholar] [CrossRef]
- Puttachary, S.; Sharma, S.; Stark, S.; Thippeswamy, T. Seizure-induced oxidative stress in temporal lobe epilepsy. Biomed. Res. Int. 2015, 2015, 745613. [Google Scholar] [CrossRef] [PubMed]
- Bondy, S.C. The relation of oxidative stress and hyperexcitation to neurological disease. Proc. Soc. Exp. Biol. Med. 1995, 208, 337–345. [Google Scholar] [CrossRef] [PubMed]
- Kumar, A.; Lalitha, S.; Mishra, J. Possible nitric oxide mechanism in the protective effect of hesperidin against pentylenetetrazole (PTZ)-induced kindling and associated cognitive dysfunction in mice. Epilepsy Behav. 2013, 29, 103–111. [Google Scholar] [CrossRef] [PubMed]
- Akula, K.K.; Dhir, A.; Kulkarni, S.K. Systemic administration of adenosine ameliorates pentylenetetrazol-induced chemical kindling and secondary behavioural and biochemical changes in mice. Fundam. Clin. Pharmacol. 2007, 21, 583–594. [Google Scholar] [CrossRef] [PubMed]
- Menon, B.; Ramalingam, K.; Kumar, R.V. Low plasma antioxidant status in patients with epilepsy and the role of antiepileptic drugs on oxidative stress. Ann. Indian Acad. Neurol. 2014, 17, 398–404. [Google Scholar] [CrossRef] [PubMed]
- Sudha, K.; Rao, A.V.; Rao, A. Oxidative stress and antioxidants in epilepsy. Clin. Chim. Acta 2001, 303, 19–24. [Google Scholar] [CrossRef]
- Keskin Guler, S.; Aytac, B.; Durak, Z.E.; Gokce Cokal, B.; Gunes, N.; Durak, I.; Yoldas, T. Antioxidative-oxidative balance in epilepsy patients on antiepileptic therapy: A prospective case-control study. Neurol. Sci. 2016, 37, 763–767. [Google Scholar] [CrossRef]
- Chen, Z.; Li, Z.; Sakurai, E.; Mobarakeh, J.I.; Ohtsu, H.; Watanabe, T.; Watanabe, T.; Iinuma, K.; Yanai, K. Chemical kindling induced by pentylenetetrazol in histamine H1 receptor gene knockout mice (H1KO), histidine decarboxylase-deficient mice (HDC−/−) and mast cell-deficient W/Wv mice. Brain Res. 2003, 968, 162–166. [Google Scholar] [CrossRef]
- Tuomisto, L.; Tacke, U. Is histamine an anticonvulsive inhibitory transmitter? Neuropharmacology 1986, 25, 955–958. [Google Scholar] [CrossRef]
- Watanabe, T.; Taguchi, Y.; Shiosaka, S.; Tanaka, J.; Kubota, H.; Terano, Y.; Tohyama, M.; Wada, H. Distribution of the histaminergic neuron system in the central nervous system of rats; a fluorescent immunohistochemical analysis with histidine decarboxylase as a marker. Brain Res. 1984, 295, 13–25. [Google Scholar] [CrossRef]
- Yokoyama, H. The role of central histaminergic neuron system as an anticonvulsive mechanism in developing brain. Brain Dev. 2001, 23, 542–547. [Google Scholar] [CrossRef]
- Bacciottini, L.; Passani, M.B.; Mannaioni, P.F.; Blandina, P. Interactions between histaminergic and cholinergic systems in learning and memory. Behav. Brain Res. 2001, 124, 183–194. [Google Scholar] [CrossRef]
- Esbenshade, T.A.; Krueger, K.M.; Miller, T.R.; Kang, C.H.; Denny, L.I.; Witte, D.G.; Yao, B.B.; Fox, G.B.; Faghih, R.; Bennani, Y.L.; et al. Two novel and selective nonimidazole histamine H3 receptor antagonists A-304121 and A-317920: I. In vitro pharmacological effects. J. Pharmacol. Exp. Ther. 2003, 305, 887–896. [Google Scholar] [CrossRef] [PubMed]
- Horner, W.E.; Johnson, D.E.; Schmidt, A.W.; Rollema, H. Methylphenidate and atomoxetine increase histamine release in rat prefrontal cortex. Eur. J. Pharmacol. 2007, 558, 96–97. [Google Scholar] [CrossRef] [PubMed]
- Jansen, F.P.; Mochizuki, T.; Yamamoto, Y.; Timmerman, H.; Yamatodani, A. In vivo modulation of rat hypothalamic histamine release by the histamine H3 receptor ligands, immepip and clobenpropit. Effects of intrahypothalamic and peripheral application. Eur. J. Pharmacol. 1998, 362, 149–155. [Google Scholar] [CrossRef]
- Tedford, C.E.; Yates, S.L.; Pawlowski, G.P.; Nalwalk, J.W.; Hough, L.B.; Khan, M.A.; Phillips, J.G.; Durant, G.J.; Frederickson, R.C. Pharmacological characterization of GT-2016, a non-thiourea-containing histamine H3 receptor antagonist: In vitro and in vivo studies. J. Pharmacol. Exp. Ther. 1995, 275, 598–604. [Google Scholar]
- Mochizuki, T.; Yamatodani, A.; Okakura, K.; Takemura, M.; Inagaki, N.; Wada, H. In vivo release of neuronal histamine in the hypothalamus of rats measured by microdialysis. Naunyn Schmiedeberg Arch. Pharmacol. 1991, 343, 190–195. [Google Scholar] [CrossRef]
- Yawata, I.; Tanaka, K.; Nakagawa, Y.; Watanabe, Y.; Murashima, Y.L.; Nakano, K. Role of histaminergic neurons in development of epileptic seizures in EL mice. Brain Res. Mol. Brain Res. 2004, 132, 13–17. [Google Scholar] [CrossRef]
- Klinkenberg, I.; Sambeth, A.; Blokland, A. Acetylcholine and attention. Behav. Brain Res. 2011, 221, 430–442. [Google Scholar] [CrossRef]
- Serra, M.; Dazzi, L.; Cagetti, E.; Chessa, M.F.; Pisu, M.G.; Sanna, A.; Biggio, G. Effect of pentylenetetrazole-induced kindling on acetylcholine release in the hippocampus of freely moving rats. J. Neurochem. 1997, 68, 313–318. [Google Scholar] [CrossRef]
- Serra, M.; Dazzi, L.; Pisu, M.G.; Cagetti, E.; Biggio, G. Reversal of a selective decrease in hippocampal acetylcholine release, but not of the persistence of kindling, after discontinuation of long-term pentylenetetrazol administration in rats. Brain Res. 1997, 751, 175–179. [Google Scholar] [CrossRef]
- Serra, M.; Dazzi, L.; Caddeo, M.; Floris, C.; Biggio, G. Reversal by flunarizine of the decrease in hippocampal acetylcholine release in pentylenetetrazole-kindled rats. Biochem. Pharmacol. 1999, 58, 145–149. [Google Scholar] [CrossRef]
- Kundap, U.P.; Paudel, Y.N.; Kumari, Y.; Othman, I.; Shaikh, M.F. Embelin Prevents Seizure and Associated Cognitive Impairments in a Pentylenetetrazole-Induced Kindling Zebrafish Model. Front. Pharmacol. 2019, 10, 315. [Google Scholar] [CrossRef] [PubMed]
- Kundap, U.P.; Kumari, Y.; Othman, I.; Shaikh, M.F. Zebrafish as a Model for Epilepsy-Induced Cognitive Dysfunction: A Pharmacological, Biochemical and Behavioral Approach. Front. Pharmacol. 2017, 8, 515. [Google Scholar] [CrossRef] [PubMed]
- Clapham, J.; Kilpatrick, G.J. Histamine H3 receptors modulate the release of [3H]-acetylcholine from slices of rat entorhinal cortex: Evidence for the possible existence of H3 receptor subtypes. Br. J. Pharmacol. 1992, 107, 919–923. [Google Scholar] [CrossRef] [PubMed]
- Galici, R.; Boggs, J.D.; Aluisio, L.; Fraser, I.C.; Bonaventure, P.; Lord, B.; Lovenberg, T.W. JNJ-10181457, a selective non-imidazole histamine H(3) receptor antagonist, normalizes acetylcholine neurotransmission and has efficacy in translational rat models of cognition. Neuropharmacology 2009, 56, 1131–1137. [Google Scholar] [CrossRef]
- Fox, G.B.; Esbenshade, T.A.; Pan, J.B.; Radek, R.J.; Krueger, K.M.; Yao, B.B.; Browman, K.E.; Buckley, M.J.; Ballard, M.E.; Komater, V.A.; et al. Pharmacological properties of ABT-239 [4-(2-{2-[(2R)-2-Methylpyrrolidinyl]ethyl}-benzofuran-5-yl)benzonitrile]: II. Neurophysiological characterization and broad preclinical efficacy in cognition and schizophrenia of a potent and selective histamine H3 receptor antagonist. J. Pharmacol. Exp. Ther. 2005, 313, 176–190. [Google Scholar]
- Medhurst, A.D.; Atkins, A.R.; Beresford, I.J.; Brackenborough, K.; Briggs, M.A.; Calver, A.R.; Cilia, J.; Cluderay, J.E.; Crook, B.; Davis, J.B.; et al. GSK189254, a novel H3 receptor antagonist that binds to histamine H3 receptors in Alzheimer’s disease brain and improves cognitive performance in preclinical models. J. Pharmacol. Exp. Ther. 2007, 321, 1032–1045. [Google Scholar] [CrossRef]
- Mochizuki, T.; Okakura-Mochizuki, K.; Horii, A.; Yamamoto, Y.; Yamatodani, A. Histaminergic modulation of hippocampal acetylcholine release in vivo. J. Neurochem. 1994, 62, 2275–2282. [Google Scholar] [CrossRef]
- Bacciottini, L.; Giovannelli, L.; Passani, M.B.; Schunack, W.; Mannaioni, P.F.; Blandina, P. Ciproxifan and cimetidine modulate c-Fos expression in septal neurons, and acetylcholine release from hippocampus of freely moving rats. Inflamm. Res. 2000, 49, S41–S42. [Google Scholar] [CrossRef]
- McNamara, J.O. The neurobiological basis of epilepsy. Trends Neurosci. 1992, 15, 357–359. [Google Scholar] [CrossRef]
- Bradford, H.F. Glutamate, GABA and epilepsy. Prog. Neurobiol. 1995, 47, 477–511. [Google Scholar] [CrossRef]
- McNamara, J.O. Cellular and molecular basis of epilepsy. J. Neurosci. 1994, 14, 3413–3425. [Google Scholar] [CrossRef]
- Frey, H.-H.; Popp, C.; Löscher, W. Influence of inhibitors of the high affinity GABA uptake on seizure thresholds in mice. Neuropharmacology 1979, 18, 581–590. [Google Scholar] [CrossRef]
- Croucher, M.J.; Meldrum, B.S.; Krogsgaard-Larsen, P. Anticonvulsant activity of GABA uptake inhibitors and their prodrugs following central or systemic administration. Eur. J. Pharmacol. 1983, 89, 217–228. [Google Scholar] [CrossRef]
- Pitkanen, A.; Beal, M.F.; Sirvio, J.; Swartz, K.J.; Mannisto, P.T.; Riekkinen, P.J. Somatostatin, neuropeptide Y, GABA and cholinergic enzymes in brain of pentylenetetrazol-kindled rats. Neuropeptides 1989, 14, 197–207. [Google Scholar] [CrossRef]
- Szyndler, J.; Piechal, A.; Blecharz-Klin, K.; Skorzewska, A.; Maciejak, P.; Walkowiak, J.; Turzynska, D.; Bidzinski, A.; Plaznik, A.; Widy-Tyszkiewicz, E. Effect of kindled seizures on rat behavior in water Morris maze test and amino acid concentrations in brain structures. Pharmacol. Rep. 2006, 58, 75–82. [Google Scholar]
- Sejima, H.; Ito, M.; Kishi, K.; Tsuda, H.; Shiraishi, H. Regional excitatory and inhibitory amino acid concentrations in pentylenetetrazol kindling and kindled rat brain. Brain Dev. 1997, 19, 171–175. [Google Scholar] [CrossRef]
- Marson, A.G.; Appleton, R.; Baker, G.A.; Chadwick, D.W.; Doughty, J.; Eaton, B.; Gamble, C.; Jacoby, A.; Shackley, P.; Smith, D.F.; et al. A randomised controlled trial examining the longer-term outcomes of standard versus new antiepileptic drugs. The SANAD trial. Health Technol. Assess. 2007, 11, 1–134. [Google Scholar] [CrossRef]
- McEntee, W.J.; Crook, T.H. Glutamate: Its role in learning, memory, and the aging brain. Psychopharmacology 1993, 111, 391–401. [Google Scholar] [CrossRef]
- Mishra, A.; Goel, R.K. Psychoneurochemical investigations to reveal neurobiology of memory deficit in epilepsy. Neurochem. Res. 2013, 38, 2503–2515. [Google Scholar] [CrossRef] [PubMed]
- Marsman, A.; van den Heuvel, M.P.; Klomp, D.W.; Kahn, R.S.; Luijten, P.R.; Hulshoff Pol, H.E. Glutamate in schizophrenia: A focused review and meta-analysis of 1H-MRS studies. Schizophr. Bull. 2011, 39, 120–129. [Google Scholar] [CrossRef]
- Kegeles, L.S.; Mao, X.; Stanford, A.D.; Girgis, R.; Ojeil, N.; Xu, X.; Gil, R.; Slifstein, M.; Abi-Dargham, A.; Lisanby, S.H. Elevated prefrontal cortex γ-aminobutyric acid and glutamate-glutamine levels in schizophrenia measured in vivo with proton magnetic resonance spectroscopy. Arch. Gen. Psychiatry 2012, 69, 449–459. [Google Scholar] [PubMed]
- Maciejak, P.; Szyndler, J.; Turzynska, D.; Sobolewska, A.; Bidzinski, A.; Kolosowska, K.; Plaznik, A. Time course of changes in the concentrations of amino acids in the brain structures of pentylenetetrazole-kindled rats. Brain Res. 2010, 1342, 150–159. [Google Scholar] [CrossRef]
- Singh, D.; Mishra, A.; Goel, R.K. Effect of saponin fraction from Ficus religiosa on memory deficit, and behavioral and biochemical impairments in pentylenetetrazol kindled mice. Epilepsy Behav. 2013, 27, 206–211. [Google Scholar] [CrossRef]
- Schunzel, G.; Wolf, G.; Pomrenke, U.; Pomrenke, C.; Schmidt, W. Pentylenetetrazol kindling and factors of glutamate transmitter metabolism in rat hippocampus. Neuroscience 1992, 49, 365–371. [Google Scholar] [CrossRef]
- Lu, C.W.; Lin, T.Y.; Chang, C.Y.; Huang, S.K.; Wang, S.J. Ciproxifan, a histamine H3 receptor antagonist and inverse agonist, presynaptically inhibits glutamate release in rat hippocampus. Toxicol. Appl. Pharmacol. 2017, 319, 12–21. [Google Scholar] [CrossRef]
- Welty, N.; Shoblock, J.R. The effects of thioperamide on extracellular levels of glutamate and GABA in the rat prefrontal cortex. Psychopharmacology 2009, 207, 433–438. [Google Scholar] [CrossRef]
- Pahwa, P.; Goel, R.K. Ameliorative effect of Asparagus racemosus root extract against pentylenetetrazol-induced kindling and associated depression and memory deficit. Epilepsy Behav. 2016, 57, 196–201. [Google Scholar] [CrossRef]
- Mishra, A.; Goel, R.K. Chronic 5-HT3 receptor antagonism ameliorates seizures and associated memory deficit in pentylenetetrazole-kindled mice. Neuroscience 2016, 339, 319–328. [Google Scholar] [CrossRef]
- Kaur, D.; Pahwa, P.; Goel, R.K. Protective Effect of Nerolidol Against Pentylenetetrazol-Induced Kindling, Oxidative Stress and Associated Behavioral Comorbidities in Mice. Neurochem. Res. 2016, 41, 2859–2867. [Google Scholar] [CrossRef] [PubMed]
- Kiessling, M.; Gass, P. Immediate early gene expression in experimental epilepsy. Brain Pathol. 1993, 3, 381–393. [Google Scholar] [CrossRef] [PubMed]
- Dragunow, M.; Faull, R. The use of c-Fos as a metabolic marker in neuronal pathway tracing. J. Neurosci. Methods 1989, 29, 261–265. [Google Scholar] [CrossRef]
- Herrera, D.G.; Robertson, H.A. Activation of c-Fos in the brain. Prog. Neurobiol. 1996, 50, 83–107. [Google Scholar] [CrossRef]
- Sagar, S.M.; Sharp, F.R.; Curran, T. Expression of c-Fos protein in brain: Metabolic mapping at the cellular level. Science 1988, 240, 1328–1331. [Google Scholar] [CrossRef]
- Szyndler, J.; Maciejak, P.; Turzynska, D.; Sobolewska, A.; Taracha, E.; Skorzewska, A.; Lehner, M.; Bidzinski, A.; Hamed, A.; Wislowska-Stanek, A.; et al. Mapping of c-Fos expression in the rat brain during the evolution of pentylenetetrazol-kindled seizures. Epilepsy Behav. 2009, 16, 216–224. [Google Scholar] [CrossRef]
- André, V.; Pineau, N.; Motte, J.E.; Marescaux, C.; Nehlig, A. Mapping of neuronal networks underlying generalized seizures induced by increasing doses of pentylenetetrazol in the immature and adult rat: Ac-Fos immunohistochemical study. Eur. J. Neurosci. 1998, 10, 2094–2106. [Google Scholar] [CrossRef]
- Shehab, S.; Coffey, P.; Dean, P.; Redgrave, P. Regional expression of fos-like immunoreactivity following seizures induced by pentylenetetrazole and maximal electroshock. Exp. Neurol. 1992, 118, 261–274. [Google Scholar] [CrossRef]
- Szot, P.; White, S.S.; Shen, D.D.; Anderson, G.D. Valproic acid, but not lamotrigine, suppresses seizure-induced c-Fos and c-Jun mRNA expression. Brain Res. Mol. Brain Res. 2005, 135, 285–289. [Google Scholar] [CrossRef]
- Chauveau, F.; De Job, E.; Poly-Thomasson, B.; Cavroy, R.; Thomasson, J.; Fromage, D.; Beracochea, D. Procognitive impact of ciproxifan (a histaminergic H3 receptor antagonist) on contextual memory retrieval after acute stress. CNS Neurosci. Ther. 2019, 25, 832–841. [Google Scholar]
- Hussain, N.; Flumerfelt, B.A.; Rajakumar, N. Muscarinic, adenosine A2 and histamine H3 receptor modulation of haloperidol-induced c-Fos expression in the striatum and nucleus accumbens. Neuroscience 2002, 112, 427–438. [Google Scholar] [CrossRef]
- Löscher, W. Critical review of current animal models of seizures and epilepsy used in the discovery and development of new antiepileptic drugs. Seizure 2011, 20, 359–368. [Google Scholar] [CrossRef] [PubMed]
- Taiwe, G.S.; Moto, F.C.; Ayissi, E.R.; Ngoupaye, G.T.; Njapdounke, J.S.; Nkantchoua, G.C.; Kouemou, N.; Omam, J.P.; Kandeda, A.K.; Pale, S.; et al. Effects of a lyophilized aqueous extract of Feretia apodanthera Del. (Rubiaceae) on pentylenetetrazole-induced kindling, oxidative stress, and cognitive impairment in mice. Epilepsy Behav. 2015, 43, 100–108. [Google Scholar] [CrossRef]
- Sadek, B.; Khan, N.; Darras, F.H.; Pockes, S.; Decker, M. The dual-acting AChE inhibitor and H3 receptor antagonist UW-MD-72 reverses amnesia induced by scopolamine or dizocilpine in passive avoidance paradigm in rats. Physiol. Behav. 2016, 165, 383–391. [Google Scholar] [CrossRef]
- Ojha, S.; Javed, H.; Azimullah, S.; Abul Khair, S.B.; Haque, M.E. Neuroprotective potential of ferulic acid in the rotenone model of Parkinson’s disease. Drug Des. Dev. Ther. 2015, 9, 5499–5510. [Google Scholar]
- Javed, H.; Azimullah, S.; Abul Khair, S.B.; Ojha, S.; Haque, M.E. Neuroprotective effect of nerolidol against neuroinflammation and oxidative stress induced by rotenone. BMC Neurosci. 2016, 17, 58. [Google Scholar] [CrossRef]
- Adeghate, E.; Ponery, A. Diabetes mellitus influences the degree of colocalization of calcitonin gene-related peptide with insulin and somatostatin in the rat pancreas. Pancreas 2004, 29, 311–319. [Google Scholar] [CrossRef]
Sample Availability: Samples of the compound E177 is available from the authors. |







| Treatment Group | % of Kindling | % of Mortality |
|---|---|---|
| SAL | 0.00 | 0.00 |
| PTZ | 83.33 ## | 16.67 |
| E177 (5 mg) | 0.00 ** | 0.00 |
| E177 (10 mg) | 0.00 ** | 0.00 |
| VPA | 0.00 ** | 0.00 |
| E177 (5 mg) + RAM | 75.00 $$ | 8.33 |
| PTZ + RAM | 75.00 | 16.67 |
| SAL + RAM | 0.00 | 0.00 |
© 2020 by the authors. Licensee MDPI, Basel, Switzerland. This article is an open access article distributed under the terms and conditions of the Creative Commons Attribution (CC BY) license (http://creativecommons.org/licenses/by/4.0/).
Share and Cite
Alachkar, A.; Azimullah, S.; Lotfy, M.; Adeghate, E.; Ojha, S.K.; Beiram, R.; Łażewska, D.; Kieć-Kononowicz, K.; Sadek, B. Antagonism of Histamine H3 receptors Alleviates Pentylenetetrazole-Induced Kindling and Associated Memory Deficits by Mitigating Oxidative Stress, Central Neurotransmitters, and c-Fos Protein Expression in Rats. Molecules 2020, 25, 1575. https://doi.org/10.3390/molecules25071575
Alachkar A, Azimullah S, Lotfy M, Adeghate E, Ojha SK, Beiram R, Łażewska D, Kieć-Kononowicz K, Sadek B. Antagonism of Histamine H3 receptors Alleviates Pentylenetetrazole-Induced Kindling and Associated Memory Deficits by Mitigating Oxidative Stress, Central Neurotransmitters, and c-Fos Protein Expression in Rats. Molecules. 2020; 25(7):1575. https://doi.org/10.3390/molecules25071575
Chicago/Turabian StyleAlachkar, Alaa, Sheikh Azimullah, Mohamed Lotfy, Ernest Adeghate, Shreesh K. Ojha, Rami Beiram, Dorota Łażewska, Katarzyna Kieć-Kononowicz, and Bassem Sadek. 2020. "Antagonism of Histamine H3 receptors Alleviates Pentylenetetrazole-Induced Kindling and Associated Memory Deficits by Mitigating Oxidative Stress, Central Neurotransmitters, and c-Fos Protein Expression in Rats" Molecules 25, no. 7: 1575. https://doi.org/10.3390/molecules25071575
APA StyleAlachkar, A., Azimullah, S., Lotfy, M., Adeghate, E., Ojha, S. K., Beiram, R., Łażewska, D., Kieć-Kononowicz, K., & Sadek, B. (2020). Antagonism of Histamine H3 receptors Alleviates Pentylenetetrazole-Induced Kindling and Associated Memory Deficits by Mitigating Oxidative Stress, Central Neurotransmitters, and c-Fos Protein Expression in Rats. Molecules, 25(7), 1575. https://doi.org/10.3390/molecules25071575

