Three-Component Reaction of Diamines with Triethyl Orthoformate and Diethyl Phosphite and Anti-Proliferative and Antiosteoporotic Activities of the Products
Abstract
1. Introduction
2. Results and Discussion
2.1. Chemistry
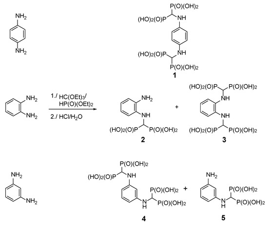
2.1.1. Reactions of Diaminobenzenes
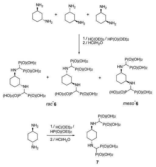
2.1.2. Reactions of Diaminocyclohexanes
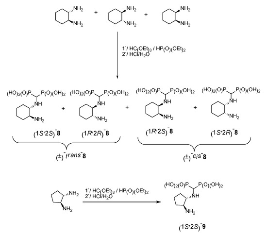
2.1.3. Reactions of Diaminocyclohexenes
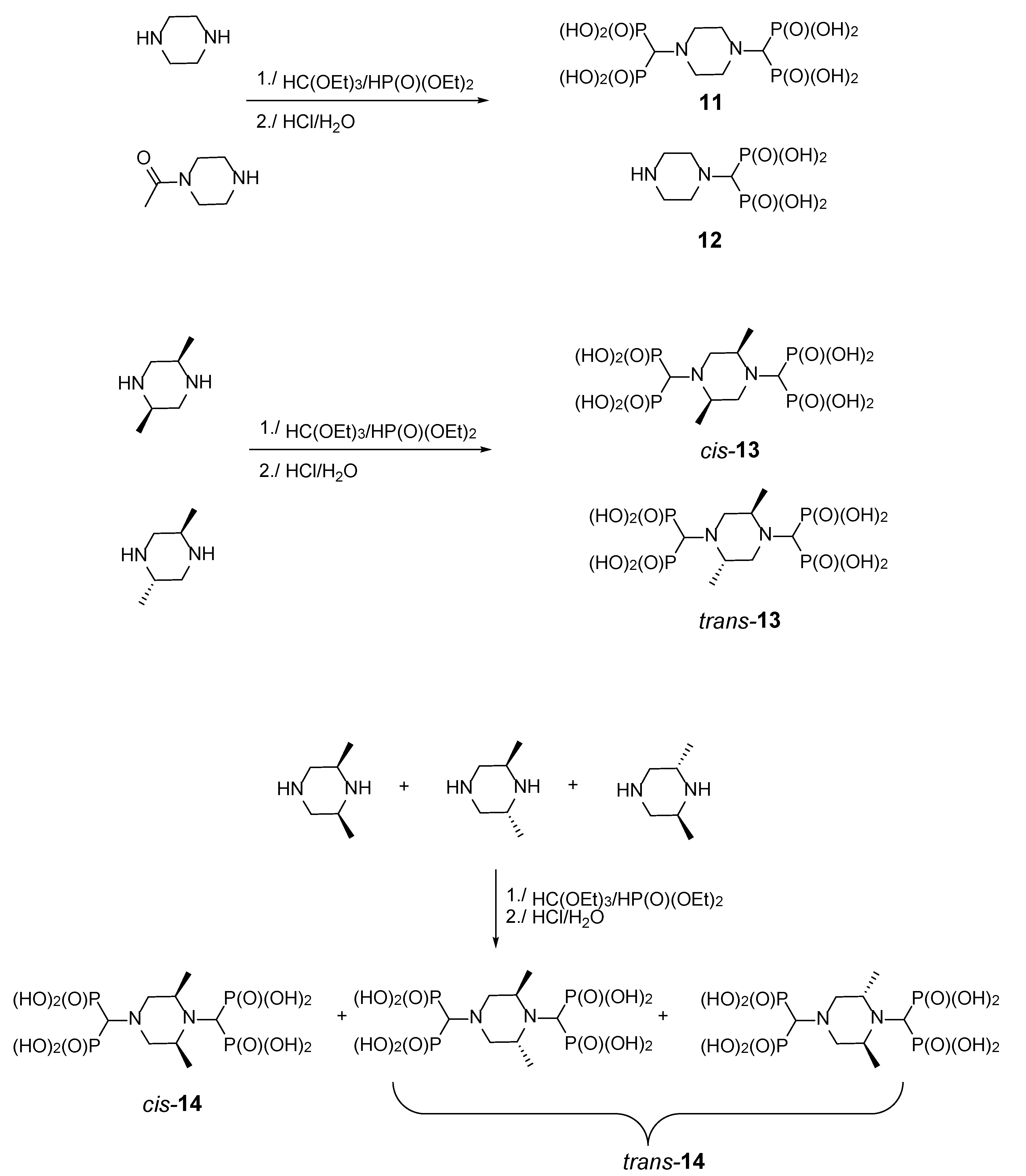
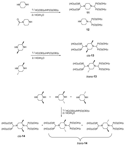
2.1.4. Reactions of Piperazines
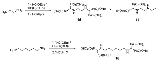
2.1.5. Reactions of Aminoalkylidenediamines
2.2. In Vitro Evaluation
2.3. In vivo Evaluation of Compounds
3. Experimental Section
3.1. General Information
3.2. Synthetic Procedures
3.2.1. General Procedure for the Synthesis of Aliphatic Bisaminomethylenebisphosphonates (6, 8–11, 16): Method A
3.2.2. General Procedure for the Synthesis of Bisaminomethylenebisphosphonates (1–7,trans-8, 11–14): Method B
3.2.3. Hydrolysis—General Procedure
3.2.4. Cell Cultures
3.2.5. SRB Anti-Proliferative Assay
3.3. In vivo Studies
3.3.1. Studies on Sheep
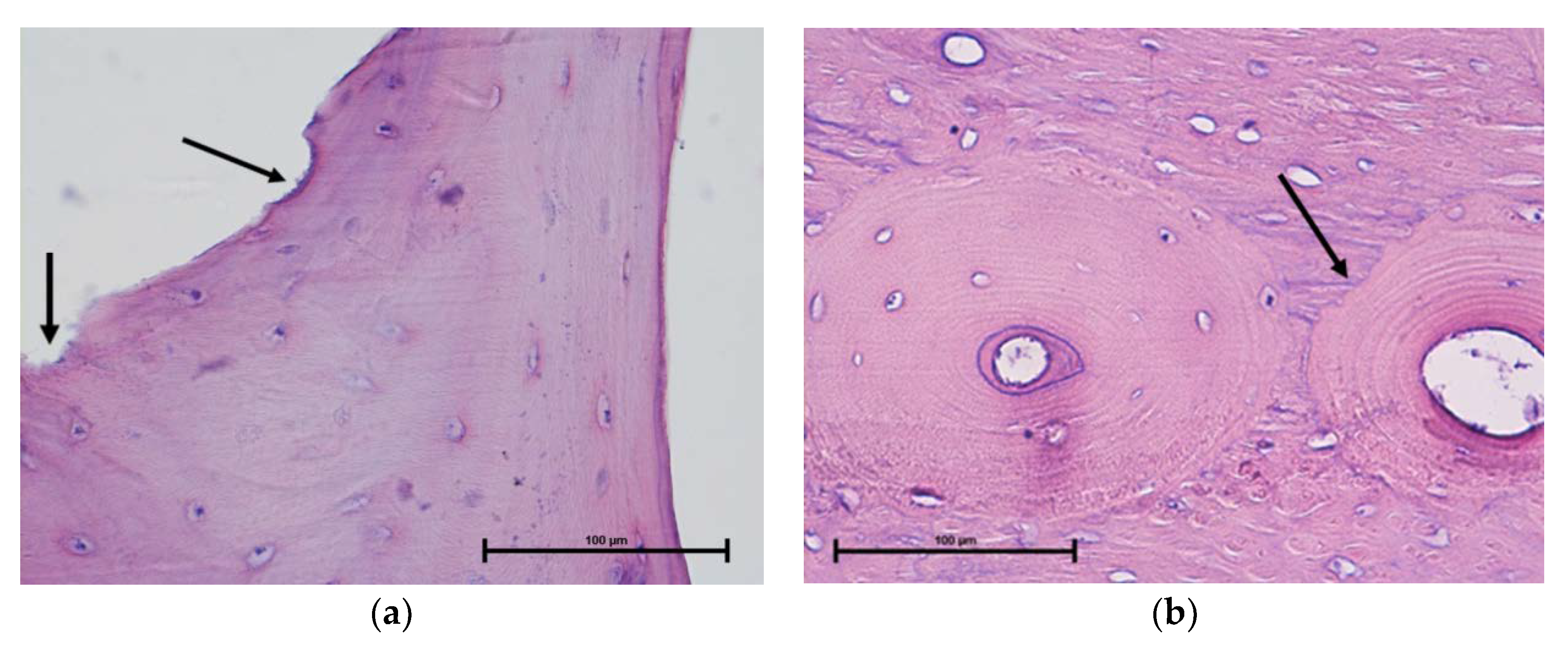
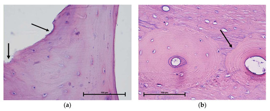
3.3.2. Histological Studies
4. Conclusions
Supplementary Materials
Author Contributions
Funding
Conflicts of Interest
References
- Chmielewska, E.; Kafarski, P. Physiologic Activity of Bisphosphonates – Recent Advances. Open Pharm. Sci. J. 2016, 3, 56–78. [Google Scholar] [CrossRef]
- Ebetino, F.H.; Hogan, A.-M.L.; Sun, S.; Tsoumpra, M.K.; Duan, X.; Triffitt, J.T.; Kwaasi, A.A.; Dunford, J.; Barnett, B.L.; Oppermann, U.; et al. The relationship between the chemistry and biological activity of the bisphosphonates. Bone 2011, 49, 20–33. [Google Scholar] [CrossRef] [PubMed]
- Russell, R. Bisphosphonates: The first 40 years. Bone 2011, 49, 2–19. [Google Scholar] [CrossRef] [PubMed]
- Byun, J.-H.; Jang, S.; Lee, S.; Park, S.; Yoon, H.K.; Yoon, B.-H.; Ha, Y.-C. The Efficacy of Bisphosphonates for Prevention of Osteoporotic Fracture: An Update Meta-analysis. J. Bone Metab. 2017, 24, 37–49. [Google Scholar] [CrossRef] [PubMed]
- Tanaka, Y.; Iwasaki, M.; Murata-Hirai, K.; Matsumoto, K.; Hayashi, K.; Okamura, H.; Sugie, T.; Minato, N.; Morita, C.; Toi, M. Anti-Tumor Activity and Immunotherapeutic Potential of a Bisphosphonate Prodrug. Sci. Rep. 2017, 7, 5987. [Google Scholar] [CrossRef] [PubMed]
- Abdou, W.; Barghash, R.; Bekheit, M.; Geronikaki, A. Cytotoxicity and Anti-Inflammation Profiles of Synthesized Thiazoles-BasedN-Bisphosphonates and Relevant Bisphosphonic acids. ChemistrySelect 2016, 1, 3797–3803. [Google Scholar] [CrossRef]
- Giberti, S.; Bertazzini, M.; Liboni, M.; Berlicki, Ł.; Kafarski, P.; Forlani, G. Phytotoxicity of aminobisphosphonates targeting bothδ1-pyrroline-5-carboxylate reductase and glutamine synthetase. Pest Manag. Sci. 2016, 73, 435–443. [Google Scholar] [CrossRef]
- Kosikowska-Adamus, P.; Bochno, M.; Macegoniuk, K.; Forlani, G.; Kafarski, P.; Berlicki, Ł. Bisphosphonic acids as effective inhibitors of Mycobacterium tuberculosis glutamine synthetase. J. Enzym. Inhib. Med. Chem. 2015, 31, 931–938. [Google Scholar] [CrossRef]
- Desai, J.; Wang, Y.; Wang, K.; Malwal, S.; Oldfield, E. Isoprenoid Biosynthesis Inhibitors Targeting Bacterial Cell Growth. ChemMedChem 2016, 11, 2205–2215. [Google Scholar] [CrossRef]
- Benlidayi, I.C.; Guzel, R. Oral Bisphosphonate Related Osteonecrosis of the Jaw: A Challenging Adverse Effect. ISRN Rheumatol. 2013, 2013, 1–6. [Google Scholar] [CrossRef]
- Rasmusson, L.; Abtahi, J. Bisphosphonate Associated Osteonecrosis of the Jaw: An Update on Pathophysiology, Risk Factors, and Treatment. Int. J. Dent. 2014, 2014, 1–9. [Google Scholar] [CrossRef]
- Jha, S.; Wang, Z.; Laucis, N.; Bhattacharyya, T.; Jha, S. Trends in Media Reports, Oral Bisphosphonate Prescriptions, and Hip Fractures 1996-2012: An Ecological Analysis. J. Bone Miner. Res. 2015, 30, 2179–2187. [Google Scholar] [CrossRef]
- Puljula, E.; Turhanen, P.; Vepsäläinen, J.; Monteil, M.; Lecouvey, M.; Weisell, J. Structural Requirements for Bisphosphonate Binding on Hydroxyapatite: NMR Study of Bisphosphonate Partial Esters. ACS Med. Chem. Lett. 2015, 6, 397–401. [Google Scholar] [CrossRef]
- Chmielewska, E.; Kafarski, P.; Wietrzyk, J.; Kempińska, K.; Kiełbowicz, Z.; Piątek, A. Novel Bisphosphonates and Their Use. International Patent Application No. WO2015/159153(A1), 22 October 2015. [Google Scholar]
- Chmielewska, E.; Kafarski, P. Synthetic Procedures Leading towards Aminobisphosphonates. Molecules 2016, 21, 1474. [Google Scholar] [CrossRef] [PubMed]
- Dabrowska, E.; Burzynska, A.; Mucha, A.; Matczak-Jon, E.; Sawka-Dobrowolska, W.; Berlicki, Ł.; Kafarski, P. Insight into the mechanism of three component condensation leading to aminomethylenebisphosphonates. J. Organomet. Chem. 2009, 694, 3806–3813. [Google Scholar] [CrossRef]
- Bálint, E.; Tajti, Á.; Dzielak, A.; Hägele, G.; Keglevich, G. Microwave-assisted synthesis of (aminomethylene)bisphosphine oxides and (aminomethylene)bisphosphonates by a three-component condensation. Beilstein J. Org. Chem. 2016, 12, 1493–1502. [Google Scholar] [CrossRef]
- Miszczyk, P.; Turowska-Tyrk, I.; Kafarski, P.; Chmielewska, E. Three-Component Reaction of Benzylamines, Diethyl Phosphite and Triethyl Orthoformate: Dependence of the Reaction Course on the Structural Features of the Substrates and Reaction Conditions. Molecules 2017, 22, 450. [Google Scholar] [CrossRef]
- Rogers, T.L.; Holen, I. Tumour macrophages as potential targets of bisphosphonates. J. Transl. Med. 2011, 9, 177. [Google Scholar] [CrossRef]
- Marino, S.; Logan, J.; Mellis, D.; Capulli, M. Generation and culture of osteoclasts. BoneKEy Rep. 2014, 3, 570. [Google Scholar] [CrossRef]
- Chambers, T.J. Diphosphonates inhibit bone resorption by macrophagesin vitro. J. Pathol. 1980, 132, 255–262. [Google Scholar] [CrossRef]
- Lampiasi, N.; Russo, R.; Zito, F. The Alternative Faces of Macrophage Generate Osteoclasts. BioMed Res. Int. 2016, 2016, 1–9. [Google Scholar] [CrossRef]
- Goldeman, W.; Nasulewicz-Goldeman, A. Synthesis and antiproliferative activity of aromatic and aliphatic bis[aminomethylidene(bisphosphonic)] acids. Bioorganic Med. Chem. Lett. 2014, 24, 3475–3479. [Google Scholar] [CrossRef]
- I Pearce, A.; Richards, G.; Milz, S.; Schneider, E.; Pearce, S.G. Animal models for implant biomaterial research in bone: a review. Eur. Cell Mater 2007, 13, 1–10. [Google Scholar] [CrossRef]
- Kiełbowicz, Z.; Piątek, A.; Biezyński, J.; Skrzypczak, P.; Chmielewska, E.; Kafarski, P.; Kuryszko, J. Improvement of Large Animal Model for Studying Osteoporosis. Bull. Vet. Inst. Pulawy 2015, 59, 123–128. [Google Scholar] [CrossRef]
- Kiełbowicz, Z.; Piątek, A.; Bieżyński, J.; Skrzypczak, P.; Kuropka, P.; Kuryszko, J.; Nikodem, A.; Kafarski, P.; Pezowicz, C. The experimental osteoporosis in sheep – clinical approach. Pol. J. Vet. Sci. 2015, 18, 645–654. [Google Scholar] [CrossRef][Green Version]
- Gałęzowska, J.; Czapor-Irzabek, H.; Chmielewska, E.; Kafarski, P.; Janek, T. Aminobisphosphonates based on cyclohexane backbone as coordinating agents for metal ions. Thermodynamic, spectroscopic and biological studies. New J. Chem. 2018, 42, 7723–7736. [Google Scholar] [CrossRef]
- Skehan, P.; Scudiero, M.; Vistica, D.; Bokesch, H.; Kenney, S.; Storeng, R.; Monks, A.; McMahon, J.; Warren, J.T.; Boyd, M.R. New Colorimetric Cytotoxicity Assay for Anticancer-Drug Screening. J. Natl. Cancer Inst. 1990, 82, 1107–1112. [Google Scholar] [CrossRef]
- Nevozhay, D. Cheburator Software for Automatically Calculating Drug Inhibitory Concentrations from In Vitro Screening Assays. PLoS ONE 2014, 9, e106186. [Google Scholar] [CrossRef]
Sample Availability: Samples of the compounds are available from the authors. |










| Compound No. | Structure | IC50 [μM] a | ||
|---|---|---|---|---|
| RAW 264.7 | PC-3 | MCF-7 | ||
| 1 | ![]() | 4.9 ± 2.3 | 215.8 ± 10.9 | 79.1 ± 25.6 |
| rac-6 | ![]() | 2.1 ± 5.3 | 496.9 ± 166.3 | UN b |
| trans-7 | ![]() | 23.3 ± 7.1 | 284.5 ± 19.8 | 13.0 ± 5.1 |
| (1S,2S)-8 | ![]() | 30.7 ± 2.0 | 616.5 ± 172.5 | 53.7 ± 10.9 |
| trans-8 | ![]() | 18.5 ± 8.3 | 854.8 ± 96.6 | 73.8 ± 22.0 |
| rac-8 | ![]() | 19.9 ± 5.4 | 794.8 ± 18.7 | 83.2 ± 10.8 |
| (1S,2S)-9 | ![]() | 341.8 ± 56.8 | 212.3 ± 5.7 | 124.6 ± 4.0 |
| (1S, 2S)-10 | ![]() | 16.3 ± 11.1 | 492.1 ± 173.5 | 55.4 ± 19.2 |
| (1R, 2R)-10 | ![]() | 16.6 ± 4.7 | 640.6 ± 162.3 | 66.4 ± 25.3 |
| trans-10 | ![]() | 26.9 ± 8.2 | 668.1 ± 158.8 | 213.6 ± 85.9 |
| 11 | ![]() | 7.0 ± 12.6 | UN b | UN b |
| trans-13 | ![]() | 40.8 ± 9.7 | 228.2 ± 112.9 | 23.6 ± 86.0 |
| rac-14 | ![]() | 259.7 ± 28.9 | 6.1 ± 2.2 | 542.1 ± 40.4 |
| 15 c | ![]() | 12.2 ± 4.0 | 169.6 ± 78.5 | 60.9 ± 18.6 |
| 16 | ![]() | 20.8 ± 1.6 | 293.0 ± 91.4 | 23.2 ± 6.2 |
| Incadronic acid | ![]() | 48.4 ± 12.6 | 228.6 ± 64.5 | 186.8 ± 24.7 |
| Zoledronic acid | ![]() | 42.2 ± 8.4 | 146 ± 67.4 | 115.3 ± 87.6 |
| cisplatin | (H2N)2PtCl2 | 0.93 ± 0.4 | 9.83 ± 1.7 | 6.37 ± 0.8 |
© 2020 by the authors. Licensee MDPI, Basel, Switzerland. This article is an open access article distributed under the terms and conditions of the Creative Commons Attribution (CC BY) license (http://creativecommons.org/licenses/by/4.0/).
Share and Cite
Petruczynik, P.; Kafarski, P.; Psurski, M.; Wietrzyk, J.; Kiełbowicz, Z.; Kuryszko, J.; Chmielewska, E. Three-Component Reaction of Diamines with Triethyl Orthoformate and Diethyl Phosphite and Anti-Proliferative and Antiosteoporotic Activities of the Products. Molecules 2020, 25, 1424. https://doi.org/10.3390/molecules25061424
Petruczynik P, Kafarski P, Psurski M, Wietrzyk J, Kiełbowicz Z, Kuryszko J, Chmielewska E. Three-Component Reaction of Diamines with Triethyl Orthoformate and Diethyl Phosphite and Anti-Proliferative and Antiosteoporotic Activities of the Products. Molecules. 2020; 25(6):1424. https://doi.org/10.3390/molecules25061424
Chicago/Turabian StylePetruczynik, Patrycja, Paweł Kafarski, Mateusz Psurski, Joanna Wietrzyk, Zdzisław Kiełbowicz, Jan Kuryszko, and Ewa Chmielewska. 2020. "Three-Component Reaction of Diamines with Triethyl Orthoformate and Diethyl Phosphite and Anti-Proliferative and Antiosteoporotic Activities of the Products" Molecules 25, no. 6: 1424. https://doi.org/10.3390/molecules25061424
APA StylePetruczynik, P., Kafarski, P., Psurski, M., Wietrzyk, J., Kiełbowicz, Z., Kuryszko, J., & Chmielewska, E. (2020). Three-Component Reaction of Diamines with Triethyl Orthoformate and Diethyl Phosphite and Anti-Proliferative and Antiosteoporotic Activities of the Products. Molecules, 25(6), 1424. https://doi.org/10.3390/molecules25061424


















