Novel 2,4-Disubstituted-1,3-Thiazole Derivatives: Synthesis, Anti-Candida Activity Evaluation and Interaction with Bovine Serum Albumine
Abstract
1. Introduction
2. Results and Discussion
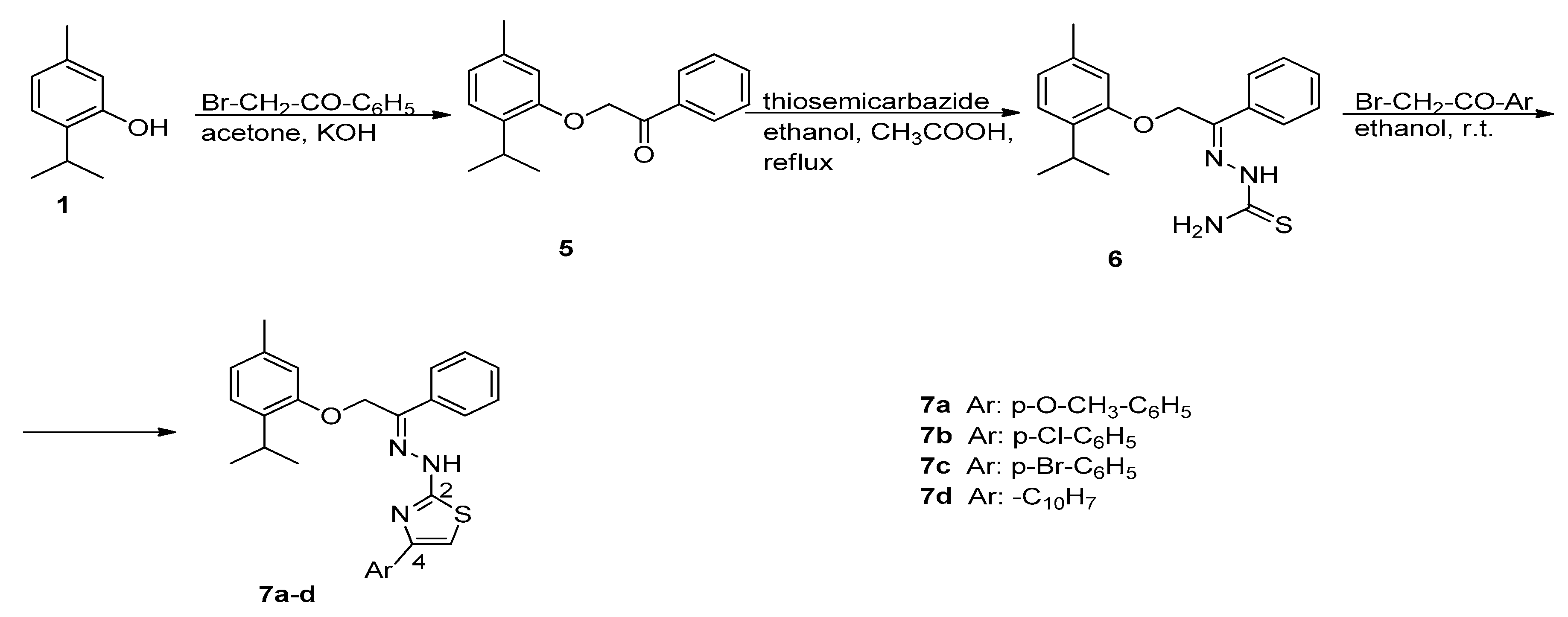
2.1. Chemistry
2.2. In Vitro Anti-Candida Activity
2.3. Molecular Docking Study
2.4. Propidium Iodide (PI) Dye Uptake Assay
2.5. Protein Binding Study
3. Materials and Methods
3.1. General Information
3.2. Chemistry
3.2.1. General Procedure for the Synthesis of 2-((2-isopropyl-5-methylphenoxy)methyl)-4-phenyl Thiazole Derivatives 4a–d
3.2.2. General Procedure for the Synthesis of 2-(2-(2-(2-isopropyl-5-methylphenoxy)-1-phenyl ethylidene)hydrazineyl)-4-phenylthiazole Derivatives 7a–d
3.3. In Vitro Anti-Candida Activity
3.4. Molecular Docking Study
3.5. Propidium Iodide (PI) Dye Uptake Assay
3.6. Protein Binding Study
4. Conclusions
Supplementary Materials
Author Contributions
Funding
Conflicts of Interest
References
- Shivarathri, R.; Tscherner, M.; Zwolanek, F.; Singh, N.K.; Neeraj, C.; Kuchler, K. The fungal histone acetyl transferase Gcn5 controls virulence of the human pathogen Candida albicans through multiple pathways. Sci. Rep. 2019, 9, 1–18. [Google Scholar] [CrossRef]
- Quindós, G.; Marcos-Arias, C.; San-Millán, R.; Mateo, E.; Eraso, E. The continuous changes in the aetiology and epidemiology of invasive candidiasis: From familiar Candida albicans to multiresistant Candida auris. Int. Microbiol. 2018, 21, 107–119. [Google Scholar] [CrossRef]
- Todd, O.A.; Peters, B.M. Candida albicans and Staphylococcus aureus pathogenicity and polymicrobial interactions: lessons beyond Koch’s postulates. J. Fungi 2019, 5, 81. [Google Scholar] [CrossRef]
- Araniciu, C.; Oniga, O.; Marc, G.; Palage, M.D.; Măruțescu, L.; Chifiriuc, M.C.; Stoica, C.I.; Ionuț, I.; Oniga, S.D. Anti-biofilm activity evaluation and molecular docking study of some 2 (3-pyridyl) -thiazolyl-1, 3, 4- oxadiazolines. Farmacia 2018, 66, 627–634. [Google Scholar] [CrossRef]
- Lohse, M.B.; Gulati, M.; Johnson, A.D.; Nobile, C.J. Development and regulation of single- and multi-species Candida albicans biofilms. Nat. Rev. Microbiol. 2018, 16, 19–31. [Google Scholar] [CrossRef]
- Ksiezopolska, E.; Gabaldón, T. Evolutionary emergence of drug resistance in Candida opportunistic pathogens. Genes (Basel) 2018, 9, 461. [Google Scholar] [CrossRef]
- Mazu, T.K.; Bricker, B.A.; Flores-Rozas, H.; Ablordeppey, S.Y. The mechanistic targets of antifungal agents: an overview. Mini-Rev. Med. Chem. 2016, 16, 555–578. [Google Scholar] [CrossRef]
- Sanglard, D.; Parkinson, T.; Falconer, D.; Bille, J. Candida albicans mutations in the ergosterol biosynthetic pathway and resistance to several antifungal agents. Antimicrob. Agents Chemother. 2003, 47, 2404–2412. [Google Scholar] [CrossRef]
- Gençer, H.K.; Çevik, U.A.; Levent, S.; Saghk, B.N.; Korkut, B.; Özkay, Y.; Ilgın, S.; Öztürk, Y. New benzimidazole-1,2,4-triazole hybrid compounds: synthesis, anticandidal activity and cytotoxicity evaluation. Molecules 2017, 22, 1–22. [Google Scholar]
- Zhao, S.; Zhang, X.; Wei, P.; Su, X.; Zhao, L.; Wu, M.; Hao, C.; Liu, C.; Zhao, D.; Cheng, M. Design, synthesis and evaluation of aromatic heterocyclic derivatives as potent antifungal agents. Eur. J. Med. Chem. 2017, 8, 96–107. [Google Scholar] [CrossRef]
- Pratima, A.; Shailee, G.N.; Aniket, V.T.; Karnik, K.S. Imidazole-thiazole coupled derivatives as novel lanosterol 14- α demethylase inhibitors: ionic liquid mediated synthesis, biological evaluation and molecular docking study. Med. Chem. Res. 2017, 27, 592–606. [Google Scholar]
- Carradori, S.; Secci, D.; Bolasco, A.; Rivanera, D.; Mari, E.; Zicari, A.; Lotti, L.V.; Bizzarri, B. Synthesis and cytotoxicity of novel (thiazol-2-yl)hydrazine derivatives as promising anti-Candida agents. Eur. J. Med. Chem. 2013, 65, 102–111. [Google Scholar] [CrossRef]
- Gidaro, M.C.; Alcaro, S.; Secci, D.; Rivanera, D.; Mollica, A.; Agamennone, M.; Giampietro, L.; Concetta, M.; Alcaro, S.; Secci, D.; et al. Identification of new anti-Candida compounds by ligand-based pharmacophore virtual screening. J. Enzym. Inhib. Med. Chem. 2016, 31, 1703–1706. [Google Scholar] [CrossRef]
- Pricopie, A.-I.; Ionut, I.; Marc, G.; Arseniu, A.-M.; Gaină, L.I.; Grozav, A.; Vlase, L.; Vodnar, D.C.; Pîrnău, A.; Tiperciuc, B.; et al. Design and synthesis of novel 1,3-thiazole and 2-hydrazinyl-1,3-thiazole derivatives as anti-Candida agents: in vitro antifungal screening, molecular docking study, and spectroscopic investigation of their binding interaction with bovine serum albumin. Molecules 2019, 24, 3435. [Google Scholar] [CrossRef]
- Pinzi, L.; Rastelli, G. Molecular Docking: Shifting Paradigms in Drug Discovery. Int. J. Mol. Sci. 2019, 20, 4331. [Google Scholar] [CrossRef]
- Lee, M.-R.; Raman, N.; Lynn, D.M.; Palecek, S.P. 14-helical β-Peptides elicit toxicity against C. albicans by forming pores in the cell membrane and subsequently disrupting intracellular organelles. Cell Chem. Biol. 2019, 26, 289–299. [Google Scholar] [CrossRef]
- Raza, M.; Ahmad, A.; Yue, F.; Khan, Z.; Jiang, Y.; Wei, Y.; Raza, S.; He, W.W.; Khan, F.U.; Qipeng, Y. Biophysical and molecular docking approaches for the investigation of biomolecular interactions between amphotericin B and bovine serum albumin. J. Photochem. Photobiol. B 2017, 170, 6–15. [Google Scholar] [CrossRef]
- Ribeiro, A.G.; Mônica, S.; De Almeida, V.; De Oliveira, J.F.; Ricardo, T.; De Lima, C.; Lima, K.; Pinheiro, A.; Albuquerque, D.B.; Cajuba, M.; et al. Novel 4-quinoline-thiosemicarbazone derivatives: Synthesis, antiproliferative activity, in vitro and in silico biomacromolecule interaction studies and topoisomerase inhibition. Eur. J. Med. Chem. 2019, 182, 1–16. [Google Scholar] [CrossRef]
- Shi, J.H.; Chen, J.; Wang, J.; Zhu, Y.Y.; Wang, Q. Binding interaction of sorafenib with bovine serum albumin: Spectroscopic methodologies and molecular docking. Spectrochim. Acta Part A Mol. Biomol. Spectrosc. 2015, 149, 630–637. [Google Scholar] [CrossRef]
- Jana, S.; Dalapati, S.; Ghosh, S.; Guchhait, N. Binding interaction between plasma protein bovine serum albumin and flexible charge transfer fluorophore: A spectroscopic study in combination with molecular docking and molecular dynamics simulation. J. Photochem. Photobiol. A 2012, 231, 19–27. [Google Scholar] [CrossRef]
- Qian, Y.; Zhou, X.; Chen, J.; Zhang, Y. Binding of bezafibrate to human serum albumin: Insight into the non-covalent interaction of an emerging contaminant with biomacromolecules. Molecules 2012, 17, 6821–6831. [Google Scholar] [CrossRef]
- Prasad, R.; Rawal, M.K. Efflux pump proteins in antifungal resistance. Front. Pharmacol. 2014, 5, 1–32. [Google Scholar] [CrossRef]
- Stana, A.; Vodnar, D.C.; Tamaian, R.; Pîrnău, A.; Vlase, L.; Ionuț, I.; Oniga, O.; Tiperciuc, B. Design, synthesis and antifungal activity evaluation of new thiazolin-4-ones as potential lanosterol 14α-demethylase inhibitors. Int. J. Mol. Sci. 2017, 18, 177. [Google Scholar] [CrossRef]
- Bahn, Y.-S. Exploiting fungal virulence-regulating transcription factors as novel antifungal drug targets. PLoS Pathog. 2015, 11, 1–7. [Google Scholar] [CrossRef]
- Sant, D.G.; Tupe, S.; Ramana, C.V.; Deshpande, M.V. Fungal cell membrane—Promising drug target for antifungal therapy. J. Appl. Microbiol. 2016, 121, 1498–1510. [Google Scholar] [CrossRef]
- Zhu, J.; Lu, J.; Zhou, Y.; Li, Y.; Cheng, J.; Zheng, C. Design, synthesis, and antifungal activities in vitro of novel tetrahydroisoquinoline compounds based on the structure of lanosterol 14 α -demethylase (CYP51) of fungi. Bioorganic Med. Chem. Lett. 2006, 16, 5285–5289. [Google Scholar] [CrossRef]
- Morris, G.M.; Huey, R.; Lindstrom, W.; Sanner, M.F.; Belew, R.K.; Goodsell, D.S.; Olson, A.J. AutoDock4 and AutoDockTools4: Automated Docking with Selective Receptor Flexibility. J. Comput. Chem. 2010, 30, 2785–2791. [Google Scholar] [CrossRef]
- Borcea, A.M.; Marc, G.; Ionut, I.; Vodnar, D.C.; Vlase, L.; Gligor, F.; Pricopie, A.; Pîrnău, A.; Tiperciuc, B.; Oniga, O. A novel series of acylhydrazones as potential anti-Candida agents: Design, synthesis, biological evaluation and in silico studies. Molecules 2019, 24, 184. [Google Scholar] [CrossRef]
- Stana, A.; Enache, A.; Vodnar, D.C.; Nastasǎ, C.; Benedec, D.; Ionuţ, I.; Login, C.; Marc, G.; Oniga, O.; Tiperciuc, B. New thiazolyl-triazole Schiff bases: Synthesis and evaluation of the anti-Candida potential. Molecules 2016, 21, 1595. [Google Scholar] [CrossRef]
- Borcea, A.-M.; Marc, G.; Pîrnău, A.; Vlase, L.; Ionuț, I.; Tiperciuc, B.; Oniga, O. Synthesis and molecular docking study of some new 1,4-phenylene-bisthiazoles as fungal lanosterol 14α-demethylase inhibitors. Farmacia 2017, 65, 683–689. [Google Scholar]
- Kumar, I.; Pathak, S.; Sharma, M.; Sanwal, H.; Chaudhary, P.; Tupe, S.; Deshpande, M.; Singh, V.; Prasad, R. Antifungal activity of novel synthetic peptides by accumulation of reactive oxygen species (ROS) and disruption of cell wall against Candida albicans. Peptides 2011, 32, 1732–1740. [Google Scholar]
- Patil, M.; Wanjare, S.; Vavia, P. Arginolipid: A membrane-active antifungal agent and its synergistic potential to combat drug resistance in clinical Candida isolates. Arch. Pharm. Chem. Life Sci. 2019, 1–13. [Google Scholar] [CrossRef] [PubMed]
- Iosin, M.; Canpean, V.; Astilean, S. Spectroscopic studies on pH- and thermally induced conformational changes of Bovine Serum Albumin adsorbed onto gold nanoparticles. J. Photochem. Photobiol. A 2011, 217, 395–401. [Google Scholar] [CrossRef]
- Mikesokpo, M.; Canpean, V.; Iosin, M.; Agbeko, M.; Astilean, S. Study of the interaction between CdSe / ZnS core-shell quantum dots and bovine serum albumin by spectroscopic techniques. J. Photochem. Photobiol. A 2010, 215, 118–122. [Google Scholar]
- Wang, Q.; Huang, C.R.; Jiang, M.; Zhu, Y.Y.; Wang, J.; Chen, J.; Shi, J.H. Binding interaction of atorvastatin with bovine serum albumin: Spectroscopic methods and molecular docking. Spectrochim. Acta Part A Mol. Biomol. Spectrosc. 2016, 156, 155–163. [Google Scholar] [CrossRef]
- Szkudlarek, A.; Pentak, D.; Ploch, A.; Po, J. In vitro investigation of the interaction of tolbutamide and losartan with human serum albumin in hyperglycemia states. Molecules 2017, 22, 1–29. [Google Scholar]
- Shakir, M.; Hanif, S.; Alam, F.; Younus, H. Molecular hybridization approach ofbio-potent CuII/ZnII complexes derived from N, O donor bidentate imine scaffolds: Synthesis, spectral, human serum albumin binding, antioxidant and antibacterial studies. J. Photochem. Photobiol. B 2016, 165, 96–114. [Google Scholar] [CrossRef]
- Alagesan, M.; Bhuvanesh, N.S.P.; Dharmaraj, N. Potentially cytotoxic new copper(ii) hydrazone complexes: Synthesis, crystal structure and biological properties. Dalt. Trans. 2013, 42, 7210–7223. [Google Scholar] [CrossRef]
- Suryawanshi, V.D.; Walekar, L.S.; Gore, A.H.; Anbhule, P.V.; Kolekar, G.B. Spectroscopic analysis on the binding interaction of biologically active pyrimidine derivative with bovine serum albumin. J. Pharm. Anal. 2016, 6, 56–63. [Google Scholar] [CrossRef]
- Shahraki, S.; Heydari, A. Binding forces between a novel Schiff base palladium (II) complex and two carrier proteins: human serum albumi and β -lactoglobulin. J. Biomol. Struct. Dyn. 2017, 36, 2807–2821. [Google Scholar] [CrossRef]
- Alexander, B.; Procop, G.W.; Dufresne, P.; Fuller, J.; Ghannoum, M.A.; Hanson, K.E.; Holliday, D.; Holliday, N.M.; Kovanda, L.; Lockhart, S.R.; et al. Reference Method for Broth Dilution Antifungal 486 Susceptibility Testing of Yeasts, 4th ed.; CLSI standard M27; CLSI: Wayne, PA, USA, 2017. [Google Scholar]
- Chen, C.; Huang, H.; Wu, C.H. Protein bioinformatics databases and resources. Methods Mol. Biol. 2017, 1558, 3–39. [Google Scholar]
- Waterhouse, A.; Bertoni, M.; Bienert, S.; Studer, G.; Tauriello, G.; Gumienny, R.; Heer, F.T.; De Beer, T.A.P.; Rempfer, C.; Bordoli, L.; et al. SWISS-MODEL: Homology modelling of protein structures and complexes. Nucleic Acids Res. 2018, 46, 296–303. [Google Scholar] [CrossRef]
- Pettersen, E.F.; Goddard, T.D.; Huang, C.C.; Couch, G.S.; Greenblatt, D.M.; Meng, E.C.; Ferrin, T.E. UCSF Chimera—A visualization system for exploratory research and analysis. J. Comput. Chem. 2004, 25, 1605–1612. [Google Scholar] [CrossRef]
Sample Availability: Samples of the compounds 4a–d and 7a–d are available from the authors. |





| Compound | C. albicans ATCC 10231 | C. parapsilosis ATCC 22019 | C. zeylanoides ATCC 201082 |
|---|---|---|---|
| 4a | 62.5 | 62.5 | 125 |
| 4b | 62.5 | 62.5 | 125 |
| 4c | 62.5 | 62.5 | 125 |
| 4d | 62.5 | 62.5 | 62.5 |
| 7a | 3.9 | 15.62 | 15.62 |
| 7b | 3.9 | 15.62 | 15.62 |
| 7c | 3.9 | 15.62 | 15.62 |
| 7d | 62.5 | 62.5 | 125 |
| Fluconazole | 15.62 | 7.81 | 15.62 |
| Broth control | No growth | ||
| Compound | C. albicans ATCC 10231 | C. parapsilosis ATCC 22019 | C. zeylanoides ATCC 201082 |
| 4a | 125 | 125 | 250 |
| 4b | 125 | 125 | 250 |
| 4c | 125 | 125 | 250 |
| 4d | 125 | 125 | 125 |
| 7a | 7.8 | 31.24 | 31.24 |
| 7b | 7.8 | 31.24 | 31.24 |
| 7c | 7.8 | 31.24 | 31.24 |
| 7d | 125 | 125 | 250 |
| Fluconazole | 31.24 | 15.62 | 31.24 |
| Broth control | No growth | ||
| Compound | Best Binding Conformation | The 2 Å Cluster Containing the Top Binding Conformation | Number of Distinct Clusters | |||||
|---|---|---|---|---|---|---|---|---|
| ΔG (kcal/mol) | Ki (nM) | NoC1 | Average ΔG (kcal/mol) | Standard Deviation | ||||
| ΔG (kcal/mol) | Cartesian Coordinates | Total | Multi-Member | |||||
| 4a | −10.87 | 10.77 | 30 | −10.24 | 0.49 | 0.59 | 20 | 14 |
| 4b | −11.17 | 6.49 | 24 | −10.61 | 0.56 | 0.50 | 22 | 13 |
| 4c | −11.45 | 4.05 | 29 | −10.48 | 0.52 | 0.54 | 19 | 11 |
| 4d | −12.36 | 0.87 | 17 | −11.38 | 0.57 | 0.45 | 27 | 16 |
| 7a | −12.63 | 0.55 | 10 | −11.90 | 0.46 | 0.67 | 48 | 19 |
| 7b | −13.16 | 0.74 | 10 | −11.95 | 0.45 | 0.65 | 54 | 23 |
| 7c | −12.46 | 0.23 | 4 | −12.54 | 0.44 | 0.90 | 49 | 15 |
| 7d | −13.61 | 0.11 | 9 | −13.05 | 0.64 | 0.61 | 47 | 16 |
| Compound | Kq × 1012 (L/mol·s) | a KSV × 104 (L/mol) | b R2 |
|---|---|---|---|
| 4a | 8.59 ± 0.0004 | 5.15± 0.0034 | 0.9838 |
| 4b | 4.94 ± 0.0001 | 2.94 ± 0.0008 | 0.9986 |
| 4c | 3.41 ± 0.0001 | 2.04 ± 0.0011 | 0.9877 |
| 4d | 17.77 ± 0.0008 | 10.66 ± 0.0059 | 0.9899 |
| 7a | 9.36 ± 0.0003 | 5.58 ± 0.0026 | 0.9918 |
| 7b | 22.21 ± 0.0012 | 13.32 ± 0.0086 | 0.9847 |
| 7c | 2.35 ± 0.0001 | 1.41 ± 0.0011 | 0.9872 |
| 7d | 12.75 ± 0.0007 | 7.65 ± 0.0051 | 0.9834 |
| Compound | n | logKb | Kb × 104 (M−1) | R2 |
|---|---|---|---|---|
| 4a | 0.773 ± 0.0327 | −1.1801 ± 0.0087 | 6.60 | 0.9911 |
| 4b | 0380 ± 0.0276 | −1.1559 ± 0.0073 | 6.98 | 0.9740 |
| 4c | 0.796 ± 0.0260 | −1.5819 ± 0.0070 | 2.61 | 0.9944 |
| 4d | 1.305 ± 0.0690 | −1.0696 ± 0.0186 | 8.51 | 0.9859 |
| 7a | 0.987 ± 0.0360 | −1.2482 ± 0.0096 | 5.64 | 0.9933 |
| 7b | 0.642 ± 0.0445 | −0.7441 ± 0.0122 | 18.02 | 0.9810 |
| 7c | 0.696 ± 0.0575 | −1.7314 ± 0.0158 | 1.85 | 0.9732 |
| 7d | 0.912 ± 0.0623 | −1.0390 ± 0.0160 | 9.14 | 0.9770 |
© 2020 by the authors. Licensee MDPI, Basel, Switzerland. This article is an open access article distributed under the terms and conditions of the Creative Commons Attribution (CC BY) license (http://creativecommons.org/licenses/by/4.0/).
Share and Cite
Pricopie, A.-I.; Focșan, M.; Ionuț, I.; Marc, G.; Vlase, L.; Găină, L.-I.; Vodnar, D.C.; Simon, E.; Barta, G.; Pîrnău, A.; et al. Novel 2,4-Disubstituted-1,3-Thiazole Derivatives: Synthesis, Anti-Candida Activity Evaluation and Interaction with Bovine Serum Albumine. Molecules 2020, 25, 1079. https://doi.org/10.3390/molecules25051079
Pricopie A-I, Focșan M, Ionuț I, Marc G, Vlase L, Găină L-I, Vodnar DC, Simon E, Barta G, Pîrnău A, et al. Novel 2,4-Disubstituted-1,3-Thiazole Derivatives: Synthesis, Anti-Candida Activity Evaluation and Interaction with Bovine Serum Albumine. Molecules. 2020; 25(5):1079. https://doi.org/10.3390/molecules25051079
Chicago/Turabian StylePricopie, Andreea-Iulia, Monica Focșan, Ioana Ionuț, Gabriel Marc, Laurian Vlase, Luiza-Ioana Găină, Dan C. Vodnar, Elemer Simon, Gabriel Barta, Adrian Pîrnău, and et al. 2020. "Novel 2,4-Disubstituted-1,3-Thiazole Derivatives: Synthesis, Anti-Candida Activity Evaluation and Interaction with Bovine Serum Albumine" Molecules 25, no. 5: 1079. https://doi.org/10.3390/molecules25051079
APA StylePricopie, A.-I., Focșan, M., Ionuț, I., Marc, G., Vlase, L., Găină, L.-I., Vodnar, D. C., Simon, E., Barta, G., Pîrnău, A., & Oniga, O. (2020). Novel 2,4-Disubstituted-1,3-Thiazole Derivatives: Synthesis, Anti-Candida Activity Evaluation and Interaction with Bovine Serum Albumine. Molecules, 25(5), 1079. https://doi.org/10.3390/molecules25051079

