Synthesis and Antiproliferative Evaluation of Novel Longifolene-Derived Tetralone Derivatives Bearing 1,2,4-Triazole Moiety
Abstract
1. Introduction
2. Results and Discussion
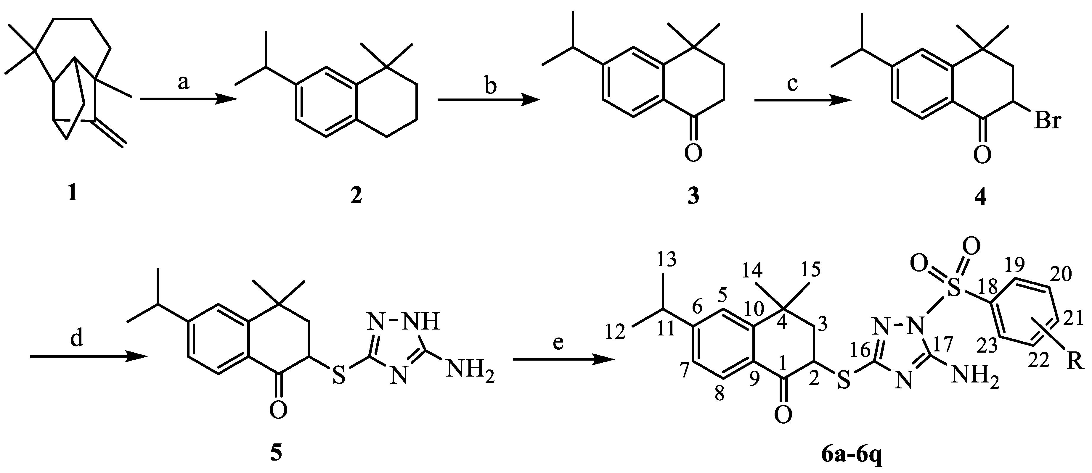
2.1. Synthesis and Characterization
2.2. In Vitro Assay of Antiproliferative Activity
2.3. Theoretical Calculation and Analysis
3. Experimental Section
3.1. General Information
3.2. Preparation of Catalyst
3.3. Synthesis of 7-isopropyl-1,1-dimethyl-1,2,3,4-tetrahydronaphthalene (2)
3.4. Synthesis of 6-isopropyl-4,4-dimethyl-3,4-dihydronaphthalen-1(2H)-one (3)
3.5. Synthesis of 2-bromo-6-isopropyl-4,4-dimethyl-3,4-dihydronaphthalen-1(2H)-one (4)
3.6. Synthesis of 2-(5-amino-1H-1,2,4-triazol-3-ylthio)-6-isopropyl-4,4-dimethyl-3,4-dihydronaphthalen-1 (2H)-one (5)
3.7. General Procedure for the Synthesis of the Target Compounds (6a–6q)
3.8. In Vitro Antiproliferative Evaluation
4. Conclusions
Supplementary Materials
Author Contributions
Funding
Acknowledgments
Conflicts of Interest
References
- Liang, X.X.; Wu, Q.; Luan, S.X.; Yin, Z.Q.; He, C.L.; Yin, L.Z.; Zou, Y.F.; Yuan, Z.X.; Li, L.X.; Song, X.; et al. A comprehensive review of topoisomerase inhibitors as anticancer agents in the past decade. Eur. J. Med. Chem. 2019, 171, 129–168. [Google Scholar] [CrossRef] [PubMed]
- Guerram, M.; Jiang, Z.Z.; Zhang, L.Y. Podophyllotoxin, a medicinal agent of plant origin: Past, present and future. Chin. J. Nat. Medicines 2012, 10, 161–169. [Google Scholar] [CrossRef]
- Guichard, N.; Guillarme, D.; Bonnabry, P. Fleury–Souverain, S. Antineoplastic drugs and their analysis: A state of the art review. Analyst 2017, 142, 2273–2321. [Google Scholar] [CrossRef] [PubMed]
- Abd El–Karim, S.; Anwar, M.; Syam, Y. Rational design and synthesis of new tetralin–sulfonamide derivatives as potent anti–diabetics and DPP–4 inhibitors: 2D & 3D QSAR, in vivo radiolabeling and bio distribution studies. Bioorg. Chem. 2018, 81, 481–493. [Google Scholar]
- Gamal–Eldeen, A.M.; Hamdy, N.A.; Abdel–Aziz, H.A.; El–Hussieny, E.A.; Fakhr, I.M. Induction of intrinsic apoptosis pathway in colon cancer HCT–116 cells by novel 2–substituted–5,6,7,8–tetrahydronaphthalene derivatives. Eur. J. Med. Chem. 2014, 77, 323–333. [Google Scholar] [CrossRef]
- Gouhar, R.S. Synthesis of (3–(naphthalen–1–yl)oxiran–2–yl)(5,6,7,8–tetrahydronaphthalen–2–yl) methanone and reaction with some nucleophiles for anticancer evaluation. Res. Chem. Intermediat. 2015, 41, 5529–5543. [Google Scholar] [CrossRef]
- Hamdy, N.A.; Anwar, M.M.; Abu–Zied, K.M.; Awad, H.M. Synthesis, tumor inhibitory and antioxidant activity of new polyfunctionally 2–substituted 5,6,7,8–tetrahydronaphthalene derivatives containing pyridine, thioxopyridine and pyrazolopyridine moieties. Acta. Pol. Pharm. Drug Res. 2013, 70, 987–1001. [Google Scholar]
- Özgeriş, B.; Akbaba, Y.; Özdemir, Ö.; Türkez, H.; Göksu, S. Synthesis and anticancer activity of novel ureas and sulfamides incorporating 1–aminotetralins. Arch. Med. Res. 2017, 48, 513–519. [Google Scholar] [CrossRef]
- Turan–Zitouni, G.; Yurttaş, L.; Tabbi, A.; Akalın, Ç.G.; Temel, H.; Kaplancıkli, Z. New thiazoline–tetralin derivatives and biological activity evaluation. Molecules 2018, 23, 135. [Google Scholar] [CrossRef] [PubMed]
- Al–Omar, M.A.; Al–Abdullah, E.S.; Shehata, I.A.; Habib, E.E.; Ibrahim, T.M.; El–Emam, A.A. Synthesis, antimicrobial, and anti–inflammatory activities of novel 5–(1–adamantyl)–4–arylideneamino–3–mercapto–1,2,4–triazoles and related derivatives. Molecules 2010, 15, 2526–2550. [Google Scholar] [CrossRef] [PubMed]
- Barbuceanu, S.F.; Saramet, G.; Almajan, G.L.; Draghici, C.; Barbuceanu, F.; Bancescu, G. Cheminform abstract: New heterocyclic compounds from 1,2,4–triazole and 1,3,4–thiadiazole class bearing diphenylsulfone moieties. Synthesis, characterization and antimicrobial activity evaluation. J. Cheminformatics 2012, 43, 417–423. [Google Scholar] [CrossRef]
- Uzgoren–Baran, A.; Tel, B.C.; Sarigo, D.; Ozturk, E.I.; Kazkayasi, I.; Okay, G.; Ertan, M.; Tozkoparan, B. Thiazolo [3,2–b]–1,2,4–triazole–5(6H)–one substituted with ibuprofen: Novel non–steroidal anti–inflammatory agents with favorable gastrointestinal tolerance. Eur. J. Med. Chem. 2012, 57, 398–406. [Google Scholar] [CrossRef] [PubMed]
- Tatar, E.; Küçükgüzel, S.G.; Karaku, S.S.; Clercq, E.D.; Andrei, G.; Snoeck, R.; Pannecouque, C.; Öktem, O.S.; Ünübol, N.; Kocagöz, T. Synthesis and biological evaluation of some new 1,3,4–thiadiazole and 1,2,4–triazole derivatives from L–methionine as antituberculosis and antiviral agents. Marmara. Pharm. J. 2015, 2, 88–102. [Google Scholar] [CrossRef]
- Lin, G.S.; Duan, W.G.; Yang, L.X.; Huang, M.; Lei, F.H. Synthesis and antifungal activity of novel myrtenal–based 4–methyl–1,2,4–triazole–thioethers. Molecules 2017, 22, 193. [Google Scholar] [CrossRef] [PubMed]
- Lin, G.S.; Duan, W.G.; Liu, H.; Ma, Y.; Lei, F.H. Synthesis and bioactivity of N–(4–(N′–substituted sulfamoyl)phenyl) myrtenamides containing a heterocycle. Chem. Nat. Compd. 2018, 54, 56–62. [Google Scholar] [CrossRef]
- Bhat, K.S.; Poojary, B.; Prasad, D.J.; Naik, P.; Holla, B.S. Synthesis and antitumor activity studies of some new fused 1,2,4–triazole derivatives carrying 2,4–dichloro–5–fluorophenyl moiety. Eur. J. Med. Chem. 2009, 44, 5066–5070. [Google Scholar] [CrossRef] [PubMed]
- Kaur, R.; Ranjan, D.A.; Kumar, B.; Kumar, V. Recent developments on 1,2,4–triazole nucleus in anticancer compounds: A review. Anti Cancer Agents Med. Chem. 2016, 16, 465–489. [Google Scholar] [CrossRef]
- El–Sherief, H.A.M.; Youssif, B.G.M.; Bukhari, S.N.A.; Abdel–Aziz, M.; Abdel–Rahman, H.M. Novel 1,2,4–triazole derivatives as potential anticancer agents: Design, synthesis, molecular docking and mechanistic studies. Bioorg. Chem. 2017, 76, 314–349. [Google Scholar] [CrossRef]
- Han, M.; Bekci, H.; Cumaoğlu, A.; Küçükgüzel, Ş. Synthesis and characterization of 1,2,4–triazole containing hydrazide–hydrazones derived from (S)–naproxen as anticancer agents. Marmara. Pharm. J. 2018, 22, 559–569. [Google Scholar] [CrossRef]
- Irfan, A.; Batool, F.; Irum, S.; Ullah, S.; Umer, M.; Shaheen, R.; Chand, A.J. A therapeutic journey of sulfonamid derivatives as potent anticancer agents: A review. WJPR 2018, 7, 257–270. [Google Scholar]
- Ghorab, M.M.; Alsaid, M.S.; El–Gaby, M.S.A.; Elaasser, M.M.; Nissan, Y.M. Antimicrobial and anticancer activity of some novel fluorinated thiourea derivatives carrying sulfonamide moieties: Synthesis, biological evaluation and molecular docking. Chem. Cent. J. 2017, 11, 32–48. [Google Scholar] [CrossRef] [PubMed]
- Oksuzoglu, E.; Ertan–Bolelli, T.; Can, H.; Tarhan, M.; Ozturk, K.; Yildiz, I. Antitumor activities on HL–60 human leukemia cell line, molecular docking, and quantum–chemical calculations of some sulfonamide–benzoxazoles. Artif. Cell. Nanomed. B 2017, 45, 1388–1396. [Google Scholar] [CrossRef] [PubMed]
- Chen, N.Y.; Duan, W.G.; Lin, G.S.; Liu, L.Z.; Zhang, R.; Li, D.P. Synthesis and antifungal activity of dehydroabietic acid–based 1,3,4–thiadiazole–thiazolidinone compounds. Mol. Divers 2015, 20, 897–905. [Google Scholar] [CrossRef] [PubMed]
- Li, F.Y.; Huang, L.; Li, Q.; Wang, X.; Ma, X.L.; Jiang, C.N.; Zhou, X.Q.; Duan, W.G.; Lei, F.H. Synthesis and antiproliferative evaluation of novel hybrids of dehydroabietic acid bearing 1,2,3–triazole moiety. Molecules 2019, 24, 4191. [Google Scholar] [CrossRef]
- Lin, G.S.; Bai, X.; Duan, W.G.; Cen, B.; Huang, M.; Lu, S.Z. High value–added application of sustainable natural forest product α–pinene: Synthesis of myrtenal oxime esters as potential KARI inhibitors. ACS Sustain. Chem. Eng. 2019, 7, 7862–7868. [Google Scholar] [CrossRef]
- Lin, G.S.; Chen, Z.C.; Duan, W.G.; Wang, X.Y.; Lei, F.H. Synthesis and biological activity of novel myrtenal–merived 2–acyl–1,2,4–triazole–3–thione compounds. Chin. J. Org. Chem. 2018, 38, 2085–2092. [Google Scholar] [CrossRef]
- Dolzhenko, A.V.; Pastorin, G.; Chui, W.K. An aqueous medium synthesis and tautomerism study of 3 (5)–amino–1,2,4–triazoles. Tetrahedron. Lett. 2009, 50, 2124–2128. [Google Scholar] [CrossRef]
- Wang, B.L.; Shi, Y.X.; Zhang, S.J.; Ma, Y.; Wang, H.X.; Zhang, L.Y.; Wei, W.; Liu, X.H.; Li, Y.H.; Li, Z.M.; et al. Syntheses, biological activities and SAR studies of novel carboxamide compounds. Eur. J. Med. Chem. 2016, 117, 167–178. [Google Scholar] [CrossRef]
- Frisch, M.J.; Trucks, G.W.; Schlegel, H.B.; Scuseria, G.E.; Robb, M.A.; Cheeseman, J.R.; Scalmani, G.; Barone, V.; Mennucci, B.; Petersson, G.A.; et al. Gaussian 09; Gaussian, Inc.: Wallingford, UK, 2009. [Google Scholar]
- Dennington, R.; Keith, T.; Millam, J. GaussView, Version 5; Semichem, Inc.: Shawnee Mission, KS, USA, 2009. [Google Scholar]
- Tyagi, B.; Mishra, M.K.; Jasra, R.V. Synthesis of 7-substituted 4-methyl coumarins by pechmann reaction using nano-crystalline sulfated-zirconia. Mol. Catal. A Chem. 2007, 276, 47–56. [Google Scholar] [CrossRef]
- Tyagi, B.; Mishra, M.K.; Jasra, R.V. Solvent free synthesis of 7–isopropyl–1,1–dimethyltetralin by the rearrangement of longifolene using nano–crystalline sulfated zirconia catalyst. J. Mol. Catal. A Chem. 2009, 301, 67–78. [Google Scholar] [CrossRef]
- Liu, Z.; Cheng, Z.; Wang, C.G. Process for Preparing a Floral Odorous Perfume and Perfume Obtained Thereform. U.S. Patent 5,817,616, 6 October 1998. [Google Scholar]
- Tanemura, K.; Suzuki, T.; Nishida, Y.; Satsumabayashi, K.; Horaguchi, T. A mild and efficient procedure for α-bromination of ketones using N-bromosuccinimide catalysed by ammonium acetate. Chem. Commun. 2004, 4, 470–471. [Google Scholar] [CrossRef] [PubMed]
Sample Availability: Samples of the compounds 2–5 and 6a–6q are available from the authors. |



| Comp. | R | Comp. | R | Comp. | R |
|---|---|---|---|---|---|
| 6a | 2′,4′,6′-Me | 6g | 2′,3′,4′′,5′,6′-F | 6m | 4′-Me |
| 6b | 2′,5′-Me | 6h | 3′-NO2-4′-Cl | 6n | 2′-Cl |
| 6c | 2′-NO2 | 6i | H | 6o | 4′-Br |
| 6d | 3′-Br | 6j | 4′-Cl | 6p | 2′,4′-F |
| 6e | 4′-CF3 | 6k | 3′-NO2 | 6q | 4′-CN |
| 6f | 4′-OMe | 6l | 4′-NO2 |
| Compound | IC50 (µM) | ||||
|---|---|---|---|---|---|
| A549 | HT-29 | T-24 | MCF-7 | HepG2 | |
| 6a (R = 2′,4′,6′-Me) | >100 | >100 | 72.46±2.02 | >100 | >100 |
| 6b (R = 2′,5′-Me) | 48.73 ± 3.43 | 41.52 ± 1.45 | >100 | >100 | >100 |
| 6c (R = 2′-NO2) | 29.73 ± 3.07 | 37.27 ± 1.67 | >100 | >100 | >100 |
| 6d (R = 3′-Br) | 30.21 ± 0.02 | 25.86 ± 2.59 | 45.51 ± 0.95 | >100 | 44.31 ± 1.29 |
| 6e (R = 4′-CF3) | 82.36 ± 3.49 | >100 | >100 | >100 | >100 |
| 6f (R = 4′-OMe) | 84.61 ± 3.90 | 25.35 ± 3.30 | >100 | >100 | >100 |
| 6g (R = 2′,3′,4 ′,5′,6′-F) | 13.28 ± 1.55 | 23.49 ± 3.48 | 17.09 ± 0.02 | 4.42 ± 0.93 | 15.51 ± 2.39 |
| 6h (R = 3′-NO2-4′-Cl) | 9.89 ± 1.77 | 22.22 ± 2.42 | 26.91 ± 1.19 | 28.86 ± 1.73 | 21.43 ± 2.36 |
| 6i–6q and 2–5 | >100 | >100 | >100 | >100 | >100 |
| 5-FU | >100 | >100 | 42.81 ± 0.59 | 52.54 ± 0.67 | 20.71 ± 0.52 |
© 2020 by the authors. Licensee MDPI, Basel, Switzerland. This article is an open access article distributed under the terms and conditions of the Creative Commons Attribution (CC BY) license (http://creativecommons.org/licenses/by/4.0/).
Share and Cite
Zhu, X.-P.; Lin, G.-S.; Duan, W.-G.; Li, Q.-M.; Li, F.-Y.; Lu, S.-Z. Synthesis and Antiproliferative Evaluation of Novel Longifolene-Derived Tetralone Derivatives Bearing 1,2,4-Triazole Moiety. Molecules 2020, 25, 986. https://doi.org/10.3390/molecules25040986
Zhu X-P, Lin G-S, Duan W-G, Li Q-M, Li F-Y, Lu S-Z. Synthesis and Antiproliferative Evaluation of Novel Longifolene-Derived Tetralone Derivatives Bearing 1,2,4-Triazole Moiety. Molecules. 2020; 25(4):986. https://doi.org/10.3390/molecules25040986
Chicago/Turabian StyleZhu, Xia-Ping, Gui-Shan Lin, Wen-Gui Duan, Qing-Min Li, Fang-Yao Li, and Shun-Zhong Lu. 2020. "Synthesis and Antiproliferative Evaluation of Novel Longifolene-Derived Tetralone Derivatives Bearing 1,2,4-Triazole Moiety" Molecules 25, no. 4: 986. https://doi.org/10.3390/molecules25040986
APA StyleZhu, X.-P., Lin, G.-S., Duan, W.-G., Li, Q.-M., Li, F.-Y., & Lu, S.-Z. (2020). Synthesis and Antiproliferative Evaluation of Novel Longifolene-Derived Tetralone Derivatives Bearing 1,2,4-Triazole Moiety. Molecules, 25(4), 986. https://doi.org/10.3390/molecules25040986
