A Novel Eye Drop Candidate for Age-Related Macular Degeneration Treatment: Studies on its Pharmacokinetics and Distribution in Rats and Rabbits
Abstract
1. Introduction
2. Results and Discussion
2.1. Determination of CK41016 Using Ultra Performance Liquid Chromatography-Tandem Mass Spectrometer (UPLC-MS/MS)
2.2. Method Validation Result
2.2.1. Selectivity and Specificity
2.2.2. Calibration Curves and LLOQ
2.2.3. Precision and Accuracy
2.2.4. Sensitivity
2.2.5. Recovery and Matrix Effect
2.2.6. Stability
2.2.7. Incurred Sample Reanalysis
2.3. PK Study in Rats
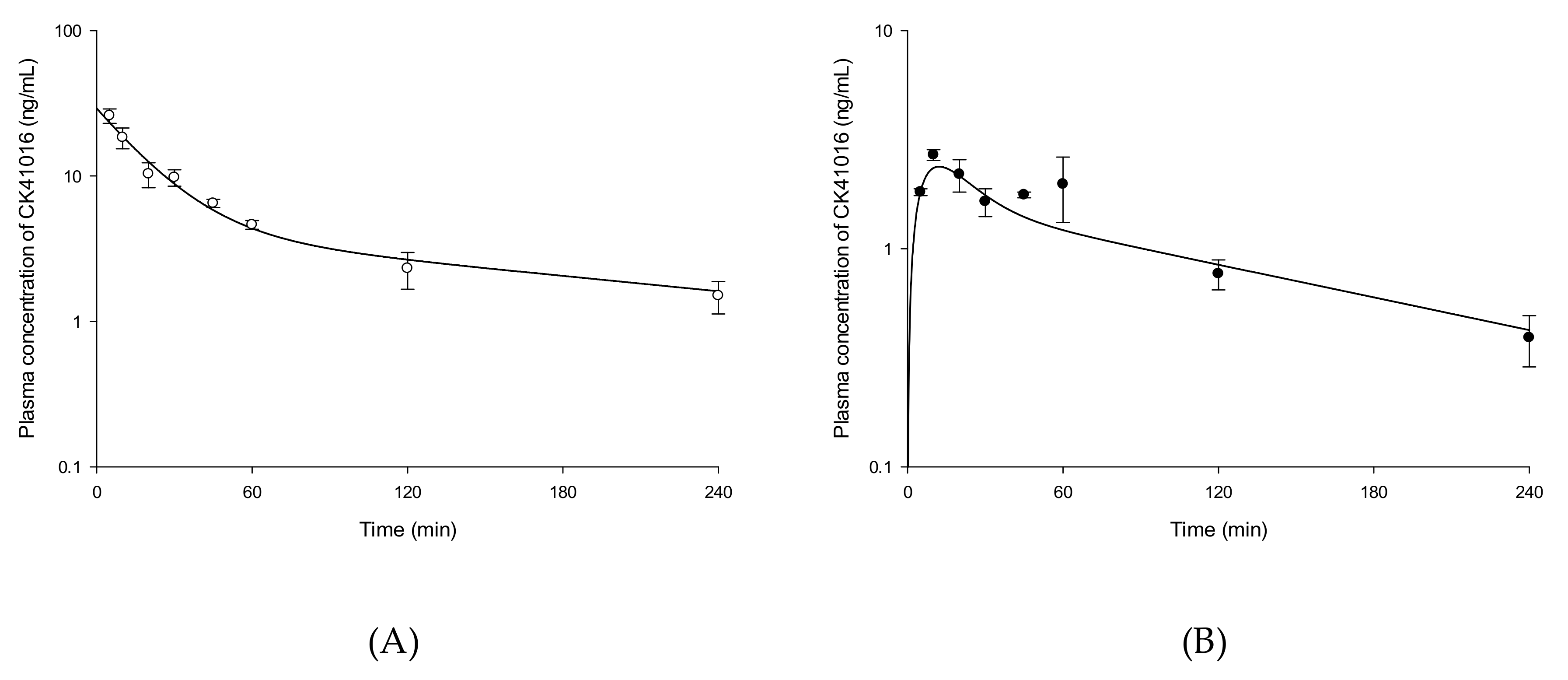
2.4. PK Study in Rabbits
2.5. Transport Assay of CK41016
2.5.1. Cytotoxicity Assay of CK41016
2.5.2. Efflux Transport Assay of CK41016
3. Materials and Methods
3.1. Chemicals and Reagents
3.2. Quantification of CK41016 in Biological Samples
3.3. Animals and PK Study in Rats
3.4. Animals and PK Study in Rabbits
3.5. Efflux Transport Assay
3.5.1. Cell Culture
3.5.2. In Vitro Cytotoxicity Assay
3.5.3. Transport Assay
4. Conclusions
Author Contributions
Funding
Acknowledgments
Conflicts of Interest
References
- Brazier, Y. What is age-related macular degeneration (AMD)? In Medical News Today. 2018. Available online: https://www.medicalnewstoday.com/articles/152105.php (accessed on 7 October 2019).
- Heier, J.S.; Brown, D.M.; Chong, V.; Korobelnik, J.F.; Kaiser, P.K.; Nguyen, Q.D.; Kirchhof, B.; Ho, A.; Ogura, Y.; Yancopoulos, G.D.; et al. Intravitreal aflibercept (VEGF trap-eye) in wet age-related macular degeneration. Ophthalmology 2012, 119, 2537–2548. [Google Scholar] [CrossRef] [PubMed]
- Velez-Montoya, R.; Oliver, S.C.; Olson, J.L.; Fine, S.L.; Mandava, N.; Quiroz-Mercado, H. Current knowledge and trends in age-related macular degeneration: today’s and future treatments. Retina 2013, 33, 1487–1502. [Google Scholar] [CrossRef]
- Bowes Rickman, C.; Farsiu, S.; Toth, C.A.; Klingeborn, M. Dry age-related macular degeneration: Mechanisms, therapeutic targets, and imaging. Invest. Ophthalmol. Vis. Sci. 2013, 54, ORSF68–ORSF80. [Google Scholar] [CrossRef]
- Ivandic, B.T.; Ivandic, T. Low-level laser therapy improves vision in patients with age-related macular degeneration. Photomed. Laser Surg. 2008, 26, 241–245. [Google Scholar] [CrossRef] [PubMed]
- Prahs, P.; Walter, A.; Regler, R.; Theisen-Kunde, D.; Birngruber, R.; Brinkmann, R.; Framme, C. Selective retina therapy (SRT) in patients with geographic atrophy due to age-related macular degeneration. Graefes. Arch. Clin. Exp. Ophthalmol. 2010, 248, 651–658. [Google Scholar] [CrossRef] [PubMed]
- Virgili, G.; Michelessi, M.; Parodi, M.B.; Bacherini, D.; Evans, J.R. Laser treatment of drusen to prevent progression to advanced age-related macular degeneration. Cochrane Database Syst. Rev. 2015, CD006537. [Google Scholar] [CrossRef] [PubMed]
- Boyer, D.; Freund, K.B.; Regillo, C.; Levy, M.H.; Garg, S. Long-term (60-month) results for the implantable miniature telescope: Efficacy and safety outcomes stratified by age in patients with end-stage age-related macular degeneration. Clin. Ophthalmol. 2015, 9, 1099–1107. [Google Scholar] [CrossRef] [PubMed]
- Qureshi, M.A.; Robbie, S.J.; Tabernero, J.; Artal, P. Injectable intraocular telescope: Pilot study. J. Cataract Refract. Surg. 2015, 41, 2125–2135. [Google Scholar] [CrossRef]
- Koss, M.J.; Kurz, P.; Tsobanelis, T.; Lehmacher, W.; Fassbender, C.; Klingel, R.; Koch, F.H. Prospective, randomized, controlled clinical study evaluating the efficacy of Rheopheresis for dry age-related macular degeneration. Dry AMD treatment with Rheopheresis Trial-ART. Graefes Arch. Clin. Exp. Ophthalmol. 2009, 247, 1297–1306. [Google Scholar] [CrossRef]
- Rencova, E.; Blaha, M.; Studnicka, J.; Blaha, V.; Lanska, M.; Renc, O.; Stepanov, A.; Kratochvilova, V.; Langrova, H. Preservation of the Photoreceptor Inner/Outer Segment Junction in Dry Age-Related Macular Degeneration Treated by Rheohemapheresis. J. Ophthalmol. 2015, 2015, 359747. [Google Scholar] [CrossRef]
- Carr, A.J.; Smart, M.J.; Ramsden, C.M.; Powner, M.B.; da Cruz, L.; Coffey, P.J. Development of human embryonic stem cell therapies for age-related macular degeneration. Trends Neurosci. 2013, 36, 385–395. [Google Scholar] [CrossRef] [PubMed]
- Schwartz, S.D.; Tan, G.; Hosseini, H.; Nagiel, A. Subretinal Transplantation of Embryonic Stem Cell-Derived Retinal Pigment Epithelium for the Treatment of Macular Degeneration: An Assessment at 4 Years. Invest. Ophthalmol. Vis. Sci. 2016, 57, ORSFc1–ORSFc9. [Google Scholar] [CrossRef] [PubMed]
- Kassa, E.; Ciulla, T.A.; Hussain, R.M.; Dugel, P.U. Complement inhibition as a therapeutic strategy in retinal disorders. Expert Opin. Biol. Ther. 2019, 19, 335–342. [Google Scholar] [CrossRef] [PubMed]
- Wong, W.T.; Kam, W.; Cunningham, D.; Harrington, M.; Hammel, K.; Meyerle, C.B.; Cukras, C.; Chew, E.Y.; Sadda, S.R.; Ferris, F.L. Treatment of geographic atrophy by the topical administration of OT-551: Results of a phase II clinical trial. Invest. Ophthalmol. Vis. Sc.i 2010, 51, 6131–6139. [Google Scholar] [CrossRef] [PubMed]
- Holz, F.G.; Sadda, S.R.; Busbee, B.; Chew, E.Y.; Mitchell, P.; Tufail, A.; Brittain, C.; Ferrara, D.; Gray, S.; Honigberg, L.; et al. Chroma; Spectri Study, I. Efficacy and Safety of Lampalizumab for Geographic Atrophy Due to Age-Related Macular Degeneration: Chroma and Spectri Phase 3 Randomized Clinical Trials. JAMA Ophthalmol. 2018, 136, 666–677. [Google Scholar] [CrossRef] [PubMed]
- Bandello, F.; Sacconi, R.; Querques, L.; Corbelli, E.; Cicinelli, M.V.; Querques, G. Recent advances in the management of dry age-related macular degeneration: A review. F1000Res. 2017, 6, 245. [Google Scholar] [CrossRef]
- Taskintuna, I.; Elsayed, M.E.; Schatz, P. Update on Clinical Trials in Dry Age-related Macular Degeneration. Middle East Afr. J. Ophthalmol. 2016, 23, 13–26. [Google Scholar]
- Tanito, M.; Li, F.; Anderson, R.E. Protection of retinal pigment epithelium by OT-551 and its metabolite TEMPOL-H against light-induced damage in rats. Exp. Eye. Res. 2010, 91, 111–114. [Google Scholar] [CrossRef]
- Jang, K.H.; Do, Y.J.; Koo, T.S.; Choi, J.S.; Song, E.J.; Hwang, Y.; Bae, H.J.; Lee, J.H.; Kim, E. Protective effect of RIPK1-inhibitory compound in in vivo models for retinal degenerative disease. Exp. Eye Res. 2019, 180, 8–17. [Google Scholar] [CrossRef]
- Boddu, S.H.; Gupta, H.; Patel, S. Drug delivery to the back of the eye following topical administration: An update on research and patenting activity. Recent Pat. Drug Deliv. Formul. 2014, 8, 27–36. [Google Scholar] [CrossRef]
- International Transporter, C.; Giacomini, K.M.; Huang, S.M.; Tweedie, D.J.; Benet, L.Z.; Brouwer, K.L.; Chu, X.; Dahlin, A.; Evers, R.; Fischer, V.; et al. Membrane transporters in drug development. Nat. Rev. Drug Discov. 2010, 9, 215–236. [Google Scholar] [CrossRef] [PubMed]
- Kennedy, B.G.; Mangini, N.J. P-glycoprotein expression in human retinal pigment epithelium. Mol. Vis. 2002, 8, 422–430. [Google Scholar] [PubMed]
- Constable, P.A.; Lawrenson, J.G.; Dolman, D.E.; Arden, G.B.; Abbott, N.J. P-Glycoprotein expression in human retinal pigment epithelium cell lines. Exp. Eye Res. 2006, 83, 24–30. [Google Scholar] [CrossRef] [PubMed]
- Mitra, A.K. Role of transporters in ocular drug delivery system. Pharm. Res. 2009, 26, 1192–1196. [Google Scholar] [CrossRef]
- FDA. The Guidance for Industry: Bioanalytical Method Validation; U.S. Department of Health and Human Services, F. a. D. A., Center for Drug Evaluation and Research (CDER): Rockville, MD, USA, 2018.
- Tsai, C.H.; Wang, P.Y.; Lin, I.C.; Huang, H.; Liu, G.S.; Tseng, C.L. Ocular Drug Delivery: Role of Degradable Polymeric Nanocarriers for Ophthalmic Application. Int. J. Mol. Sci. 2018, 19, 2830. [Google Scholar] [CrossRef]
- Thomasy, S.M.; Eaton, J.S.; Timberlake, M.J.; Miller, P.E.; Matsumoto, S.; Murphy, C.J. Species Differences in the Geometry of the Anterior Segment Differentially Affect Anterior Chamber Cell Scoring Systems in Laboratory Animals. J. Ocul. Pharmacol. Ther. 2016, 32, 28–37. [Google Scholar] [CrossRef]
- FDA. Guidance for Industry: In Vitro Metabolismand TransporterMediated Drug-Drug Interaction Studies; U.S. Department of Health and Human Services, F. a. D. A., Center for Drug Evaluation and Research (CDER): Rockville, MD, USA, 2017.
Sample Availability: Samples of the compounds are available from the authors. |











| Matrix | Calibration Curve (Rat) | Calibration Curve (Rabbit) | |
|---|---|---|---|
| Plasma | y = (0.21 ± 0.01)x + (0.01 ± 0.01) | y = (1.00 ± 0.06)x + (0.22 ± 0.06) | |
| Eye ball | Cornea | y = (0.31 ± 0.01)x + (0.14 ± 0.004) | y = (0.98 ± 0.12)x + (0.12 ± 0.05) |
| Vitreous humor | y = (0.32 ± 0.03)x + (0.13 ± 0.02) | y = (0.95 ± 0.11)x + (0.10 ± 0.02) | |
| Retina & choroid | y = (0.16 ± 0.01)x + (0.04 ± 0.01) | y = (1.03 ± 0.14)x + (0.07 ± 0.05) | |
| Aqueous humor a | − | y = (1.14 ± 0.07)x + (0.07 ± 0.20) | |
| Heart | y = (0.17 ± 0.01)x + (0.01 ± 0.01) | y = (0.80 ± 0.09)x + (0.08 ± 0.08) | |
| Liver | y = (0.12 ± 0.01)x + (0.04 ± 0.04) | y = (0.99 ± 0.10)x + (0.28 ± 0.17) | |
| Brain | y = (0.12 ± 0.004)x − (0.01 ± 0.04) | y = (0.98 ± 0.10)x + (0.05 ± 0.05) | |
| Lung | y = (0.17 ± 0.01)x + (0.01 ± 0.04) | y = (0.90 ± 0.12)x + (0.13 ± 0.03) | |
| Kidney | y = (0.15 ± 0.01)x + (0.02 ± 0.01) | y = (0.86 ± 0.12)x + (0.16 ± 0.14) | |
| GI tractb | Stomach | y = (0.13 ± 0.01)x + (0.01 ± 0.04) | y = (0.96 ± 0.11)x + (0.12 ± 0.12) |
| Small intestine | y = (0.69 ± 0.06)x + (0.06 ± 0.10) | ||
| Parameter | IV | Eye Drop | ||||
|---|---|---|---|---|---|---|
| 350.80 μg/kg | 694.00 μg/kg | 905.50 μg/kg | 37.14 μg/kg | 75.21 μg/kg | ||
| CL (mL/min/kg) a, * | 27.88 ± 1.18 | 19.28 ± 0.75 | 11.88 ± 0.31 | 88.69 ± 3.36 | 93.68 ± 5.06 | |
| CLD (mL/min/kg) a | 10.03 ± 1.35 | 6.71 ± 0.73 | 9.54 ± 0.81 | 57.60 ± 6.56 | 46.48 ± 2.92 | |
| V (L/kg) a | 1.07 ± 0.10 | 0.65 ± 0.06 | 0.82 ± 0.05 | 1.92 ± 0.22 | 1.58 ± 0.75 | |
| V2 (L/kg) a | 1.63 ± 0.16 | 1.48 ± 0.16 | 1.85 ± 0.18 | 7.20 ± 1.28 | 5.16 ± 0.92 | |
| Cmax (μg /mL) b | 0.33 ± 0.03 * | 1.06 ± 0.09 * | 1.09 ± 0.06 | 0.01 ± 0.004 * | 0.02 ± 0.002 * | |
| Tmax (min) | − | − | − | 4.30 ± 1.50 | 4.40 ± 1.00 | |
| AUC0–∞ (μg·min/mL) * | 12.58 ± 0.53 | 35.99 ± 1.40 | 76.25 ± 2.00 | 0.42 ± 0.05 | 0.76 ± 0.04 | |
| t1/2 (min) | 160.70 ± 13.09 | 213.18 ± 21.62 | 265.68 ± 23.08 | 129.28 ± 32.11 | 112.04 ± 9.44 | |
| F (%) † | − | − | − | 31.53 | 28.18 | |
| Parameter | IV | Eye Drop |
|---|---|---|
| 66.00 µg/kg | 20.98 µg/kg | |
| CL (mL/min/kg) b | 43.90 ± 6.36 | 77.26 ± 13.18 |
| CLD (mL/min/kg) b | 51.70 ± 9.54 | 182.78 ± 31.18 |
| V(L/kg) b | 2.35 ± 0.29 | 7.03 ± 2.87 |
| V2 (L/kg) b | 5.74 ± 0.38 | 18.27 ± 9.90 |
| Cmax (ng/mL) a | 28.14 ± 3.47 | 2.52 ± 0.41 |
| Tmax (min) | − | 15.39 ± 4.88 |
| AUC0–∞ (μg·min/mL) | 1.50 ± 0.22 | 0.28 ± 0.04 |
| t1/2 (min) | 104.38 ± 57.41 | 88.45 ± 32.13 |
| F (%) | − | 58.72 |
| CK41016 (μM) | Caco-2 Papp (×10−6 cm/sec) | Efflux Ratio | |
|---|---|---|---|
| AP→BL | BL→AP | ||
| 10 | 11.52 ± 0.55 | 13.88 ± 0.35 | 1.21 |
| 20 | 27.50 ± 2.47 | 27.59 ± 0.66 | 1.01 |
| 30 | 32.96 ± 1.47 | 30.11 ± 1.97 | 0.92 |
| 50 | 49.05 ± 3.53 | 35.98 ± 2.55 | 0.73 |
| Group | Route | Dose (μg/kg) | Sampling Time (min) |
|---|---|---|---|
| 1 | IV | 350.80 | 5, 10, 20, 30, 45, 60, 240, 480, 720 a |
| 2 | 694.00 | ||
| 3 | 905.50 | ||
| 4 | Eye drop | 37.14 | 2, 5, 15, 30, 60*, 120, 240, 360 b |
| 5 | 75.21 |
| Group | Route | Dose (μg/kg) | Sampling Time (min) |
|---|---|---|---|
| 1 | IV | 66.00 | 5, 10, 20, 30, 45, 60, 120, 240 |
| 2 | Eye drop | 20.98 |
© 2020 by the authors. Licensee MDPI, Basel, Switzerland. This article is an open access article distributed under the terms and conditions of the Creative Commons Attribution (CC BY) license (http://creativecommons.org/licenses/by/4.0/).
Share and Cite
Choi, E.-J.; Choi, G.-W.; Kim, J.H.; Jang, H.-W.; Lee, J.-H.; Bae, H.J.; Kim, Y.G.; Lee, Y.-B.; Cho, H.-Y. A Novel Eye Drop Candidate for Age-Related Macular Degeneration Treatment: Studies on its Pharmacokinetics and Distribution in Rats and Rabbits. Molecules 2020, 25, 663. https://doi.org/10.3390/molecules25030663
Choi E-J, Choi G-W, Kim JH, Jang H-W, Lee J-H, Bae HJ, Kim YG, Lee Y-B, Cho H-Y. A Novel Eye Drop Candidate for Age-Related Macular Degeneration Treatment: Studies on its Pharmacokinetics and Distribution in Rats and Rabbits. Molecules. 2020; 25(3):663. https://doi.org/10.3390/molecules25030663
Chicago/Turabian StyleChoi, Eun-Jeong, Go-Wun Choi, Ju Hee Kim, Hee-Woon Jang, Ju-Hee Lee, Hyun Ju Bae, Young Gwan Kim, Yong-Bok Lee, and Hea-Young Cho. 2020. "A Novel Eye Drop Candidate for Age-Related Macular Degeneration Treatment: Studies on its Pharmacokinetics and Distribution in Rats and Rabbits" Molecules 25, no. 3: 663. https://doi.org/10.3390/molecules25030663
APA StyleChoi, E.-J., Choi, G.-W., Kim, J. H., Jang, H.-W., Lee, J.-H., Bae, H. J., Kim, Y. G., Lee, Y.-B., & Cho, H.-Y. (2020). A Novel Eye Drop Candidate for Age-Related Macular Degeneration Treatment: Studies on its Pharmacokinetics and Distribution in Rats and Rabbits. Molecules, 25(3), 663. https://doi.org/10.3390/molecules25030663

