Synthesis of 2,2,6-Trisubstituted 5-Methylidene-tetrahydropyran-4-ones with Anticancer Activity †
Abstract
1. Introduction
2. Results and Discussion
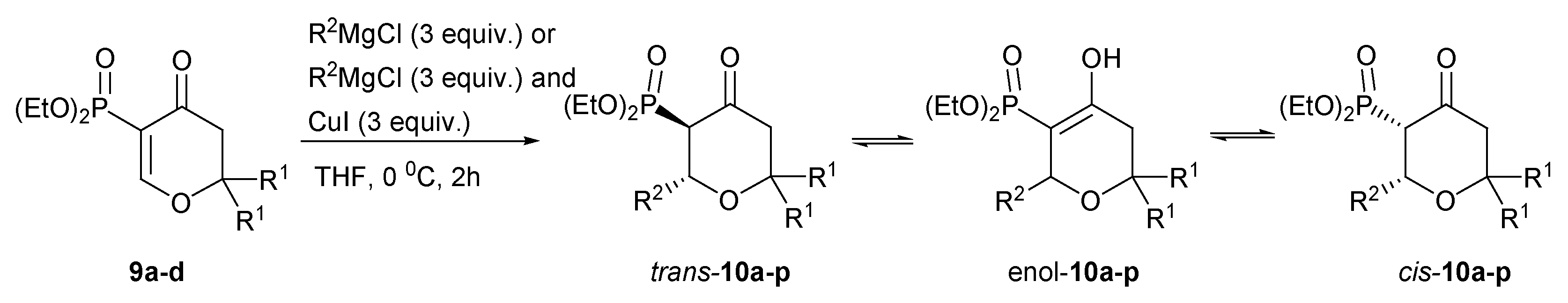
2.1. Chemistry
2.2. Biological Screening of Novel Pyranones
3. Materials and Methods
3.1. Chemistry
3.1.1. General Information
3.1.2. General Procedure for the Synthesis of 2,2,6-Triisubstituted-5-Methylidenetetrahydropyran-4-Ones 11a–p
3.2. Biology
3.2.1. Cell Culture
3.2.2. Cytotoxicity Determination (MTT Assay)
3.2.3. Analysis of DNA Damage and Apoptosis by Flow Cytometry
3.2.4. Cell Cycle Analyses by Flow Cytometry
3.2.5. Statistical Analysis
4. Conclusions
Supplementary Materials
Author Contributions
Funding
Conflicts of Interest
References
- Kędzia, J.; Bartosik, T.; Drogosz, J.; Janecka, A.; Krajewska, U.; Janecki, T. Synthesis and cytotoxic evaluation of 3-methylidenechroman-4-ones. Molecules 2019, 24, 1868. [Google Scholar] [CrossRef] [PubMed]
- Pięta, M.; Kędzia, J.; Kowalczyk, D.; Wojciechowski, J.; Wolf, W.M.; Janecki, T. Enantioselective synthesis of 5-methylidenedihydrouracils as potential anticancer agents. Tetrahedron 2019, 75, 2495–2505. [Google Scholar] [CrossRef]
- Jakubowski, R.; Pomorska, D.K.; Długosz, A.; Janecka, A.; Krajewska, U.; Różalski, M.; Mirowski, M.; Bartosik, T.; Janecki, T. Synthesis of 4,4-disubstituted 3-methylidenechroman-2-ones as potent anticancer agents. ChemMedChem 2017, 12, 599–605. [Google Scholar] [CrossRef] [PubMed]
- Jiang, Z.-Y.; Zhou, J.; Huang, C.-G.; Hu, Q.-F.; Huang, X.-Z.; Wang, W.; Zhang, L.-Z.; Li, G.-P.; Xia, F.-T. Two novel antiviral terpenoids from the cultured Perovskia atriplicifolia. Tetrahedron 2015, 71, 3844–3849. [Google Scholar] [CrossRef]
- Imai, H.; Suzuki, K.-I.; Morioka, M.; Numasaki, Y.; Kadota, S.; Nagai, K.; Sato, T.; Iwanami, M.; Saito, T. Okilactomycin, a novel antibiotic produced by a Streptomyces species. J. Antibiot. 1987, 40, 1475–1482. [Google Scholar] [CrossRef] [PubMed]
- Nakai, R.; Kakita, S.; Asai, A.; Chiba, S.; Akinaga, S.; Mizukami, T.; Yamashita, Y. Chrolactomycin, a novel antitumor antibiotic produced by Streptomyces sp. J. Antibiot. 2001, 54, 836–839. [Google Scholar] [CrossRef] [PubMed]
- Mojtahedi, M.M.; Abaee, M.S.; Khakbaz, M.; Alishiri, T.; Samianifard, M.; Mesbah, A.W.; Harms, K. An efficient procedure for the synthesis of α,β-unsaturated ketones and its application to heterocyclic systems. Synthesis 2011, 23, 3821–3826. [Google Scholar] [CrossRef]
- Gu, X.; Wang, X.; Wang, F.; Sun, H.; Liu, J.; Xie, Y.; Xiang, M. Pyrrolidine-mediated direct preparation of (E)-monoarylidene derivatives of homo- and heterocyclic ketones with various aldehydes. Molecules 2014, 19, 1976–1989. [Google Scholar] [CrossRef] [PubMed]
- Thottumkara, A.P.; Kurokawa, T.; Du Bois, J. Carbocyclization of unsaturated thioesters under palladium catalysis. Chem. Sci. 2013, 4, 2686–2689. [Google Scholar] [CrossRef]
- Okauchi, T.; Nagamori, H.; Kouno, R.; Ichikawa, J.; Minami, T. Synthesis of 5-diphenylphosphinoyl-2,3-dihydropyran-4-ones. Heterocycles 2000, 52, 1393–1398. [Google Scholar] [CrossRef]
- Janecki, T. Organophosphorus reagents as versatile tool in the synthesis of α-alkylidene-γ-butyrolactones and α-alkylidene-γ-butyrolactams. In Targets in Heterocyclic Systems-Chemistry and Properties; Orazio, A., Attanasi, D., Eds.; Spinelli, Italian Chemical Society: Roma, Italy, 2006; Volume 10, pp. 301–320. [Google Scholar]
- Albrecht, Ł.; Albrecht, A.; Janecki, T. α-Alkylidene-γ- and δ lactones and lactams in natural lactones and lactams. In Natural Lactones and Lactams: Synthesis, Occurrence and Biological Activity; Janecki, T., Ed.; Wiley-VCH Verlag GmbH & Co.: Weinheim, Germany, 2014; pp. 147–192. [Google Scholar]
- Wada, E.; Kanemasa, S.; Tsuge, O. New synthesis of 2-oxo-3-alkenylphosphonates and hetero diels-Alder reactions with vinyl ethers leading to 5-substituted 2-phosphinyl-2-cyclohexen-1-ones. Bull. Chem. Soc. Jpn. 1989, 62, 866–868. [Google Scholar] [CrossRef]
- Koszuk, J.; Bartosik, T.; Wojciechowski, J.; Wolf, W.M.; Janecka, A.; Drogosz, J.; Długosz, A.; Krajewska, U.; Mirowski, M.; Janecki, T. Synthesis of 3-methylidene-1-tosyl-2,3-dihydroquinolin-4-(1H)-ones as potent cytotoxic agents. Chem. Biodivers. 2018, 15, e1800242. [Google Scholar] [CrossRef] [PubMed]
- Zhang, S.; Won, Y.; Ong, C.; Shen, H. Anti-cancer potential of sesquiterpene lactones: Bioactivity and molecular mechanisms. Curr. Med. Chem. Anticancer Agents 2005, 5, 239–249. [Google Scholar] [CrossRef] [PubMed]
- Pati, H.N.; Das, U.; Sharma, R.K.; Dimmock, J.R. Cytotoxic thiol alkylators. Mini Rev. Med. Chem. 2007, 7, 131–139. [Google Scholar] [CrossRef] [PubMed]
- Rowe, J.M. Will new agents impact survival in AML? Best Pr. Res. Clin. Haematol. 2019, 32, 101094. [Google Scholar] [CrossRef] [PubMed]
- Mosmann, T. Rapid colorimetric assay for cellular growth and survival: Application to proliferation and cytotoxicity assays. J. Immunol. Methods 1983, 65, 55–63. [Google Scholar] [CrossRef]
- Gach, K.; Modranka, J.; Szymański, J.; Pomorska, D.; Krajewska, U.; Mirowski, M.; Janecki, T.; Janecka, A. Anticancer properties of new synthetic hybrid molecules combining naphtho[2,3-b]furan-4,9-dione or benzo[f]indole-4,9-dione motif with phosphonate subunit. Eur. J. Med. Chem. 2016, 120, 51–63. [Google Scholar] [CrossRef] [PubMed]
- Gach, K.; Szymański, J.; Pomorska, D.; Długosz, A.; Modranka, J.; Janecki, T.; Janecka, A. Combined effects of anticancer drugs and new synthetic α-methylene-δ-lactones on MCF-7 cells. Tumour Biol. 2015, 36, 5971–5977. [Google Scholar] [CrossRef] [PubMed]
Sample Availability: Samples of the compounds 7a–d, 9a–d and 10a–n,p are available from the authors. |







| Compound | R1, R1 | Yield [%] a | |
|---|---|---|---|
| 7 | 9 | ||
| a | Me, Me | 66 | 84 |
| b | -(CH2)5- | 83 | 90 |
| c | Ph, Ph | 83 | 70 |
| d | ![]() | 77 | 66 |
| Compound | R1, R1 | R2 | 10 | 11 | |||
|---|---|---|---|---|---|---|---|
| Trans a | Enol a | Cis a | Yield b [%] | Yield b [%] | |||
| a | Me, Me | Et | 72 | 16 | 12 | 70 | 97 |
| b | n-Bu | 78 | 6 | 16 | 68 | 96 | |
| c | i-Pr | 71 | 9 | 20 | 80 | 51 | |
| d | Ph | 52 | 33 | 15 | 69 | 76 | |
| e | -(CH2)5- | Et | 79 | 6 | 15 | 73 | 99 |
| f | n-Bu | 71 | 17 | 12 | 71 | 92 | |
| g | i-Pr | 63 | 10 | 27 | 75 | 55 | |
| h | Ph | 66 | 23 | 11 | 70 | 75 | |
| i | Ph, Ph | Et | 40 | 34 | 26 | 70 | 95 |
| j | n-Bu | 39 | 36 | 25 | 75 | 91 | |
| k | i-Pr | 30 | 67 | 3 | 66 | 57 | |
| l | Ph | 23 | 72 | 5 | 55 | 85 | |
| m | ![]() | Et | 68 | 17 | 15 | 82 | 82 |
| n | n-Bu | 70 | 15 | 15 | 61 | 99 | |
| o | i-Pr | 59 | 30 | 11 | 40 | 58 | |
| p | Ph | 41 | 51 | 8 | 75 | 98 | |
| 11 | R1, R1 | R2 | IC50 [μM] a | ||
|---|---|---|---|---|---|
| HL-60 | NALM-6 | MCF-7 | |||
| a | Me, Me | Et | 35.51 ± 3.99 | 1.57 ± 0.19 | 12.85 ± 0.35 |
| b | n-Bu | 4.98 ± 0.41 | 0.35 ± 0.07 | 14.50 ± 0.14 | |
| c | i-Pr | 1.02 ± 0.03 | 0.27 ± 0.04 | 8.30 ± 0.30 | |
| d | Ph | 35.88 ± 2.64 | 5.45 ± 0.24 | 46.90 ± 0.20 | |
| e | (CH2)5 | Et | 45.70 ± 2.75 | 5.18 ± 0.68 | 18.30 ± 0.70 |
| f | n-Bu | 29.16 ± 2.30 | 4.72 ± 0.34 | 20.2 ± 0.40 | |
| g | i-Pr | 6.76 ± 0.48 | 0.74 ± 0.06 | 11.00 ± 1.20 | |
| h | Ph | 61.09 ± 6.06 | 55.97 ± 4.28 | 75.10 ± 7.00 | |
| i | Ph, Ph | Et | 21.15 ± 0.64 | 6.05 ± 0.49 | 56.35 ± 3.32 |
| j | n-Bu | 16.63 ± 1.88 | 5.63 ± 0.14 | 6.90 ± 0.21 | |
| k | i-Pr | 2.90 ± 0.07 | 1.15 ± 0.21 | 11.90 ± 0.99 | |
| l | Ph | 39.47 ± 2.97 | 6.31 ± 0.41 | 81.10 ± 4.90 | |
| m | ![]() | Et | 5.20 ± 0.57 | 2.70 ± 0.14 | 18.10 ± 0.28 |
| n | n-Bu | 16.95 ± 0.78 | 7.45 ± 0.07 | 30.30 ± 4.07 | |
| o | i-Pr | 1.10 ± 0.0 | 0.39 ± 0.01 | 4.50 ± 0.28 | |
| p | Ph | 47.28 ± 5.20 | 9.00 ± 0.75 | 26.60 ± 2.25 | |
| Carboplatin | 2.90 ± 0.10 | 0.70 ± 0.30 | 3.80 ± 0.45 | ||
| Parthenolide | 5.43± 0.85 | 2.82± 0.08 | 9.02± 0.18 | ||
© 2020 by the authors. Licensee MDPI, Basel, Switzerland. This article is an open access article distributed under the terms and conditions of the Creative Commons Attribution (CC BY) license (http://creativecommons.org/licenses/by/4.0/).
Share and Cite
Bartosik, T.; Kędzia, J.; Drogosz-Stachowicz, J.; Janecka, A.; Krajewska, U.; Mirowski, M.; Janecki, T. Synthesis of 2,2,6-Trisubstituted 5-Methylidene-tetrahydropyran-4-ones with Anticancer Activity. Molecules 2020, 25, 611. https://doi.org/10.3390/molecules25030611
Bartosik T, Kędzia J, Drogosz-Stachowicz J, Janecka A, Krajewska U, Mirowski M, Janecki T. Synthesis of 2,2,6-Trisubstituted 5-Methylidene-tetrahydropyran-4-ones with Anticancer Activity. Molecules. 2020; 25(3):611. https://doi.org/10.3390/molecules25030611
Chicago/Turabian StyleBartosik, Tomasz, Jacek Kędzia, Joanna Drogosz-Stachowicz, Anna Janecka, Urszula Krajewska, Marek Mirowski, and Tomasz Janecki. 2020. "Synthesis of 2,2,6-Trisubstituted 5-Methylidene-tetrahydropyran-4-ones with Anticancer Activity" Molecules 25, no. 3: 611. https://doi.org/10.3390/molecules25030611
APA StyleBartosik, T., Kędzia, J., Drogosz-Stachowicz, J., Janecka, A., Krajewska, U., Mirowski, M., & Janecki, T. (2020). Synthesis of 2,2,6-Trisubstituted 5-Methylidene-tetrahydropyran-4-ones with Anticancer Activity. Molecules, 25(3), 611. https://doi.org/10.3390/molecules25030611




