Next Article in Journal
Cyano Enone-Bearing Triterpenoid Soloxolone Methyl Inhibits Epithelial-Mesenchymal Transition of Human Lung Adenocarcinoma Cells In Vitro and Metastasis of Murine Melanoma In Vivo
Previous Article in Journal
7-Isopentenyloxycoumarin: What Is New across the Last Decade
 
 
Font Type:
Arial Georgia Verdana
Font Size:
Aa Aa Aa
Line Spacing:
Column Width:
Background:
Article

Synthesis, Structure and Cytotoxicity Testing of Novel 7-(4,5-Dihydro-1H-imidazol-2-yl)-2-aryl-6,7-dihydro-2H-imidazo[2,1-c][1,2,4]triazol-3(5H)-Imine Derivatives

1
Department of Chemical Technology of Drugs, Faculty of Pharmacy, Medical University of Gdańsk, Al. Gen. J. Hallera 107, 80-416 Gdańsk, Poland
2
Department of Pharmaceutical and Medicinal Chemistry, Institute of Pharmacy, University of Greifswald, F.-L. Jahn Strasse 17, D-17489 Greifswald, Germany
3
Faculty of Chemistry, Adam Mickiewicz University, ul. Uniwersytetu Poznańskiego 8, 61-614 Poznań, Poland
*
Author to whom correspondence should be addressed.
Deceased 18 October 2018.
Molecules 2020, 25(24), 5924; https://doi.org/10.3390/molecules25245924
Submission received: 16 November 2020 / Revised: 8 December 2020 / Accepted: 10 December 2020 / Published: 14 December 2020

Abstract

The appropriate 1-arylhydrazinecarbonitriles 1a–c are subjected to the reaction with 2-chloro-4,5-dihydro-1H-imidazole (2), yielding 7-(4,5-dihydro-1H-imidazol-2-yl)-2-aryl-6,7-dihydro-2H-imidazo[2,1-c][1,2,4]triazol-3(5H)-imines 3a–c, which are subsequently converted into the corresponding amides 4a–e, 8a–c, sulfonamides 5a–n, 9, ureas 6a–I, and thioureas 7a–d. The structures of the newly prepared derivatives 3a–c, 4a–e, 5a–n, 6a–i, 7a–d, 8a–c, and 9 are confirmed by IR, NMR spectroscopic data, as well as single-crystal X-ray analyses of 5e and 8c. The in vitro cytotoxic potency of these compounds is determined on a panel of human cancer cell lines, and the relationships between structure and antitumor activity are discussed. The most active 4-chloro-N-(2-(4-chlorophenyl)-7-(4,5-dihydro-1H-imidazol-2-yl)-6,7-dihydro-2H-imidazo[2,1-c][1,2,4]triazol-3(5H)-ylidene)benzamide (4e) and N-(7-(4,5-dihydro-1H-imidazol-2-yl)-2-(p-tolyl)-6,7-dihydro-2H-imidazo[2,1-c][1,2,4]triazol-3(5H)-ylidene)-[1,1′-biphenyl]-4-sulfonamide (5l) inhibits the growth of the cervical cancer SISO and bladder cancer RT-112 cell lines with IC50 values in the range of 2.38–3.77 μM. Moreover, N-(7-(4,5-dihydro-1H-imidazol-2-yl)-2-phenyl-6,7-dihydro-2H-imidazo[2,1-c][1,2,4]triazol-3(5H)-ylidene)-4-phenoxybenzenesulfonamide (5m) has the best selectivity towards the SISO cell line and induces apoptosis in this cell line.

1. Introduction

Commonly used antineoplastic drugs represent a group of structurally diverse compounds. Their incomplete efficacy and the acquired resistance of tumor cells remain major challenges in cancer treatment. Both imidazoline [1,2] and triazole scaffolds display important fragments in several promising classes of compounds with an interesting pharmacological profile [3,4,5,6,7,8]. Special attention is paid to imidazolines with anticancer activity. One of the best-known imidazoline-containing topoisomerase inhibitors is bisantrene, used for many years in the treatment of certain types of leukemia [9,10]. Furamidazoline (DB60), another topoisomerase inhibitor, inhibits the growth of various tumor cell lines, including the cisplatin-resistant line [11]. Moreover, imidazoline derivatives have shown a strong ability to inhibit the growth of human cancer cell lines such as H460, HeLa, MiaPaCa-2, SW620, and MCF-7 in micromolar concentrations. The activity of the compounds is related to the influence on DNA and tubulin [12]. Nutlins, imidazoline-containing small-molecule inhibitors blocking the MDM2-p53 protein-protein interaction [13,14], have been advanced into early phase clinical trials (RG7112, RO5045337 (Figure 1), NCT01164033, NCT00623870, NCT005595533) [15]. 2-Aminoimidazolines are creatine kinase (CK) or creatine transport inhibitors, and have recently been patented as novel anticancer agents [16]. Water-soluble derivatives bearing the 2-aminoimidazoline moiety arrest tumor cells in the G2/M phase [17]. Moreover, imidazoline derivatives were identified as potent oligodendrocyte lineage transcription factor 2 (OLIG2) inhibitors, promising agents in the treatment of glioblastoma tumors [18,19]. Fused imidazoline derivative (S)-6-phenyl-2,3,5,6-tetrahydroimidazo[2,1-b]thiazole—levamisole (Figure 1), an anti-parasitic drug, is used with 5-fluorouracil in adjuvant therapy in patients after colorectal tumor surgery due to its immunostimulatory activity. Levamisole reduced the frequency of relapses and improved prognosis [20] and completed phase 3 clinical trials for colon cancer stage III treatment (NCT00309530). On the other hand, the 1,2,4-triazole scaffold is present in the structure of anticancer drugs such as anastrozole, vorozole, and letrozole [21]. Based on the idea of hybrid compounds [22,23,24,25,26,27,28,29], we reasoned that compounds incorporating both the imidazoline and triazole pharmacophore groups could be effective as chemotherapeutic agents. It should be pointed out that the imidazo-triazole moiety is a recurring motif of synthetic compounds of pharmacological interest [30,31]. The antiproliferative effects of the imidazo-triazole derivatives may result from inhibition of EPH-B3 and FGF-R1 tyrosine kinases [32]. In addition, imidazo-triazoles have been extensively explored due to their antimicrobial [30,33,34,35,36], antifungal [30,34], and antiviral activity [37].
As a part of our research aimed at finding new anticancer pharmacophore structures, we previously described the synthesis and pronounced anticancer activity of 2-imino-2H-chromen-3-yl-1,3,5-triazines, 3-(benzoxazol/benzothiazol-2-yl)-2H-chromen-2-imines, 8-chloro-5,5-dioxoimidazo[1,2-b][1,4,2]benzodithiazines, 2-amino-4-(3,5,5-trimethyl-2-pyrazolino)-1,3,5-triazines, copper(II) complexes of 2-substituted benzimidazoles, and N-(2-pyridyl)imidazolidin-2-ones(thiones) [28,29,38,39,40,41]. In this study, we chose to synthesize a small library of 7-(4,5-dihydro-1H-imidazol-2-yl)-2-aryl-6,7-dihydro-2H-imidazo[2,1-c][1,2,4]triazol-3(5H)-imine derivatives of types A–E (Figure 2) to identify compounds with potential antitumor activity.

2. Results and Discussions

2.1. Chemistry

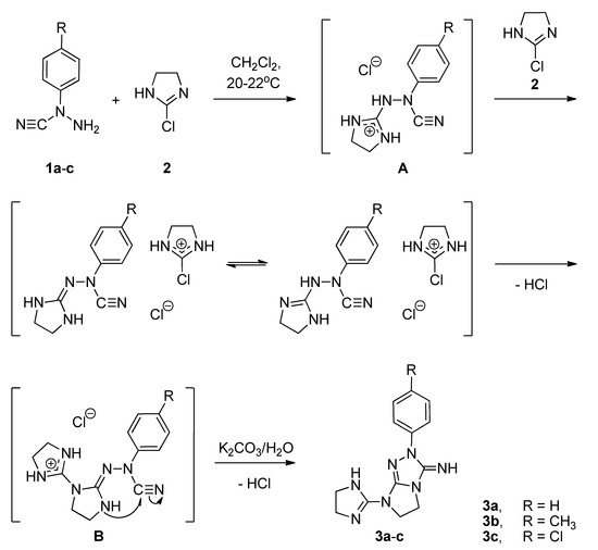
Our research started with reactions of 1-arylhydrazinecarbonitriles 1ac [42] with 2-chloro-4,5-dihydro-1H-imidazole (2) [43]. As outlined in Scheme 1, the treatment of 1ac with an excess of 2-chloro-4,5-dihydro-1H-imidazole (2) in dichloromethane at ambient temperature yielded the desired 7-(4,5-dihydro-1H-imidazol-2-yl)-2-aryl-6,7-dihydro-2H-imidazo[2,1-c][1,2,4]triazol-3(5H)-imine derivatives 3ac.
The mechanism of the formation of 3ac may be explained as follows. The nucleophilic attack of the NH2 group of 1-arylhydrazinecarbonitriles 1ac at the carbon atom C-2 of 2-chloro-4,5-dihydro-1H-imidazole (2) leads to the formation of the intermediate A. The use of a molar excess of 2-chloro-4,5-dihydro-1H-imidazole (2) allows the compound A to attack the second molecule of 2 to yield intermediate B. It should be noted that 2-chloroimidazoline (2) acts as a base in this process. In turn, the resulting intermediate B undergoes intramolecular cyclization to form fused imidazo-triazole derivatives 3ac (Scheme 1).
The imine moiety C=NH present in the structure of compounds 3ac allowed for their further transformations. Thus, reactions of 3ac carried out in chloroform with a variety of acyl chlorides or sulfonyl chlorides gave rise to the formation of the corresponding amides 4ae and sulfonamides 5an in good yields (Scheme 2).
Upon treatment of 7-(4,5-dihydro-1H-imidazol-2-yl)-2-aryl-6,7-dihydro-2H-imidazo[2,1-c][1,2,4]triazol-3(5H)-imines 3ac with aryl isocyanates or aryl isothiocyanates, the corresponding urea 6ai and thiourea derivatives 7ad were formed (Scheme 3).
During the course of our experimental research, it was found that heating compounds 3a and 3b with a two-fold molar excess of acyl or sulfonyl chloride in the presence of triethylamine (TEA) leads to the formation of products substituted both at the nitrogen atom of the imine C=N-H moiety and at the N-1 position of the 4,5-dihydro-1H-imidazole ring. In this way, the corresponding N-(7-(1-benzoyl-4,5-dihydro-1H-imidazol-2-yl)-2-aryl-6,7-dihydro-2H-imidazo[2,1-c][1,2,4]triazol-3(5H)-ylidene)benzamides 8a–c and N-(2-phenyl-7-(1-(phenylsulfonyl)-4,5-dihydro-1H-imidazol-2-yl)-6,7-dihydro-2H-imidazo[2,1-c][1,2,4]triazol-3(5H)-ylidene)benzenesulfonamide (9) were obtained (Scheme 4).
The structures of novel 7-(4,5-dihydro-1H-imidazol-2-yl)-2-aryl-6,7-dihydro-2H-imidazo[2,1-c][1,2,4]triazol-3(5H)-imine derivatives 3ac, 4ae, 5an, 6ai, 7ad, 8ac, and 9 were confirmed by IR, NMR spectroscopic data (see NMR spectra in Supplementary Materials), mass spectrometry, and elementary analysis. Thus, in the IR spectra of 3ac, bands in the range of 3408–3205 cm−1 are attributable to the N-H group, while the strong absorptions of the C=N group are observed in the range of 1531–1683 cm−1. In turn, the most diagnostic feature of the IR spectra of di-substituted derivatives 8ac and 9 is the absence of N-H bands.
In the 1H-NMR spectra of compounds 47, a broad singlet corresponding to the proton of the N-H group of the imidazoline ring is present in the range of 5.45–6.33 ppm. The characteristic methylene protons CH2-CH2 of the fused imidazo-triazole moiety and 4,5-dihydro-1H-imidazole ring are found in the range of 3.38–4.79 ppm.
The 13C-NMR spectra recorded for 7-(4,5-dihydro-1H-imidazol-2-yl)-2-aryl-6,7-dihydro-2H-imidazo[2,1-c][1,2,4]triazol-3(5H)-imines 39 revealed three signals of quaternary carbon atoms: C7a=N, C3=N of fused imidazo-triazole, and C2=N of the 4,5-dihydro-1H-imidazole ring at 144, 150, and 155 ppm, respectively. The aliphatic carbons of 4,5-dihydro-1H-imidazole and imidazo-triazole moieties are found in the range of 40–53 ppm. The signals of the urea carbonyl group C=O of compounds 6ai are located in the range of 155.50–158.68 ppm. The 13C-NMR spectra of 7a and 7d showed signals at 181.54 and 182.08 ppm, which may be assigned to the quaternary carbon atom C=S of the thiourea group.
Moreover, the crystal structures of compounds 5e and 8c were determined by X-ray crystallography. The molecules of 5e and 8c contain a common 7-(4,5-dihydro-1H-imidazol-2-yl)-2,5,6,7-tetrahydro-3H-imidazo[2,1-c][1,2,4]triazol-3-imine fragment that adopts the same configuration in both molecules (Figure 3 and Figure 4). The amino N13 atom of the imidazolidine substituent shows a pyramidal arrangement of its bonds with the sum of valence angles equal to 343.4° in 5e and 349.2° in 8c. A weak intramolecular N13-H···N1 hydrogen-bond interaction with H···N1 distance of 2.4 Å is observed in 5e. In turn, introduction of the acyl group at N13 results in an intramolecular strain that leads to a short contact of 2.822 Å between the imino N1 atom of the bicyclic system and the carbonyl C23 atom of the acyl group.

2.2. In Vitro Cytotoxic Activity

The in vitro cytotoxic potential of 7-(4,5-dihydro-1H-imidazol-2-yl)-2-aryl-6,7-dihydro-2H-imidazo[2,1-c][1,2,4]triazol-3(5H)-imine derivatives 3ac, 4ae, 5an, 6ai, 7ad, 8ac, and 9 was evaluated against human cancer cell lines by the crystal violet microtiter plate assay as described earlier [44]. This assay measures the antiproliferative potency of compounds towards actively dividing cancer cells.
First, primary screening of the new compounds was done to indicate whether a compound possesses enough activity at a concentration of 10 μM or 20 μM to inhibit cell growth by 50%. The human tumor cell lines used were: human non-small cell lung cancer LCLC-103H, human cervix cancer SISO, human bladder carcinoma 5637, and human bladder carcinoma epithelial RT-112. Compounds that inhibited cell growth by more than 50% at 10 or 20 µM in one or more cell line were further investigated.
It should be noted that all the imines 3ac (Scheme 1), as well as the di-substituted amides 8ac and benzenesulfonamide 9 (Scheme 4) were inactive. On the other hand, for amide 4e, sulfonamides 5e, 5im, ureas 6ef, and thiourea 7c, which passed the preliminary test, a secondary screening to determine their potency was performed on two human tumor cell lines: human cervix cancer SISO and human bladder carcinoma epithelial RT-112. The results of the secondary screening are presented in Table 1 as the average IC50 values calculated from dose-response data after 96 h of exposure to the tested compounds.
In the series of amides 4ae (Scheme 2), only compound 4e bearing electron-withdrawing groups R = Cl at position 4 of the phenyl ring and R1 = C6H4-Cl(4) of the amide functionality displayed growth inhibitory properties towards the two cell lines and showed slightly lower potency than the reference drug cisplatin (IC50 values 2.87–3.06 µM vs. 0.24–1.22 µM, Table 1). Other compounds with R = H, CH3 and R1 = C6H5, C6H4-CH3(4), C6H4-F(4), and C6H4-Cl(4) did not pass the preliminary test (4ad, Scheme 2). This may suggest that the presence of two electron-withdrawing substituents at both R- and R1-positions is important for the inhibitory activity of the tested compounds.
For the sulfonamide series 5an (Scheme 2), it was found that incorporation of a bulky lipophilic group at the R2-position of the sulfonamide moiety (R2 = 1-naphthyl, 2-naphthyl, C6H4-C6H5, or C6H4-O-C6H5) afforded compounds 5im with good to high activity (IC50 = 2.38–8.13 µM, Table 1). The most active compound 5l with methyl substituent at R-position (R = CH3) and 1,1′-biphenyl group at R2-position (R2 = C6H4-C6H5) displayed relatively high cell growth inhibitory potency (IC50 = 2.38–3.77 µM) compared to the reference cisplatin (IC50 = 0.24–1.96 µM). A slightly decreased antiproliferative activity was observed for unsubstituted at R-position analogue 5k (R = H, R2 = C6H4-C6H5, IC50 = 3.42–5.59 µM). Likewise, when 1,1′-biphenyl at the R2-position in compound 5k was replaced by the 1-naphthyl, 2-naphthyl, or phenoxyphenyl group, the resulting compounds 5i, 5j, and 5m were less potent with antitumor activity limited to the SISO cell line (IC50 = 5.37–8.13 µM). Interestingly, the sulfonamide 5e with R = H and R2 = C6H4-CH3(4) demonstrated moderate cytotoxic activity towards the SISO cell line (IC50 = 14.74 µM) while its analogue 5f featuring the methyl group at the R-position (R = CH3, R2 = C6H4-CH3(4)), as well as other compounds with R = H, CH3 and R2 = CH3, C6H5 or a variously substituted phenyl ring did not pass the preliminary test (5ad, 5gh, 5n, Scheme 2). It could be suggested from these results that the combination of R = CH3 and R2 = C6H4-C6H5 results in a compound with optimal properties.
Similarly to amides 4ae, in the series of ureas 6a–i, the best activity was found for compound 6f with two electron-withdrawing substituents: R = Cl at position 4 of the phenyl ring and R1 = C6H4-Cl(4) of the urea moiety (IC50 = 3.75–6.01 µM, Table 1). Replacement of the Cl-substituent at the R-position for the electron-donating methyl group yielded less active analogue 6e with selectivity to the cervical cancer cell line SISO (IC50 = 6.65 µM) over the bladder cancer cell line RT-112 (IC50 > 10 µM). Introduction of any of the substituents R = H, CH3 and R1 = C6H5, C6H4-CH3(4), and 1-naphthyl, SO2-C6H4-CH3(4), however, resulted in compounds that did not pass the preliminary test (6ad, 6gi, Scheme 3).
In turn, among the thiourea derivatives 7ad (Scheme 3), the only substituent R2 of the thiourea moiety that produced moderate activity in the SISO cell line was C6H4-Cl(4) (7c: IC50 = 14.16 µM, Table 1).
The sulfonamide 5m, which demonstrated pronounced cytotoxicity and selectivity for the cervical cancer cell line SISO (IC50 = 5.37 µM) over the bladder cancer cell line RT-112 (IC50 > 10 µM), was chosen to investigate whether it can induce apoptosis in the representative SISO cell line.

2.3. Induction of Apoptosis by Compound 5m

One of the most common methods used to detect apoptotic programmed cell death is to double stain treated cancer cells with the Annexin V-FITC (fluorescein isothiocyanate) and propidium iodide, which together distinguish cells as normal and in early or late stage of apoptosis. The Annexin V assay allows the quantification of the relative number of cancer cells undergoing apoptosis; by use of fluorescent flow cytometry the distribution of cells in early and late stages of apoptosis can be measured. In Figure 5 are summarized the average results of three independent experiments after treatment of the SISO cells for 24 h at the IC50 or doubled IC50 concentrations of compound 5m. The fractions of early apoptotic cells are displayed on left y-axis and the late apoptotic cells on right y-axis. The left displays 24 h solvent control (DMF). After 24 h of treatment with the IC50 and the doubled IC50 of 5m, 10.2 % and 17.2% of the SISO cells displayed signs of early apoptosis, respectively. As revealed, the percentage of cells in an early state of apoptosis increased with an increasing concentration of compound 5m. In the case of late apoptotic cells, there was a significant increase when the IC50 concentration was doubled.

3. Experimental Section

3.1. Chemistry

The melting points were determined with a Boëtius apparatus and were uncorrected. The infrared spectra were recorded on a Nicolet 380 FT-IR spectrophotometer (Thermo Fisher Scientific, Waltham, MA, USA). Magnetic resonance spectra (NMR) (Agilent, Santa Clara, CA, USA) were recorded on a Varian Gemini 200 BB (200 MHz) spectrometer, a Varian Mercury-Vx300 spectrometer (300 MHz), and a Varian Unity Inova 500 (500 MHz) spectrometer in DMSO-d6 or CDCl3. The residual peaks of solvents were used as internal standards. Chemical shifts (δ) are given in ppm, and coupling constants (J) are given in Hz. Mass spectra were recorded on an LCMS 2010 spectrometer (Shimadzu, Tokyo, Japan). The compounds were identified based on their molecular ions obtained through electrospray ionization. Compounds were purified by the use of preparative chromatography. Thin-layer chromatography was performed on silica gel plates with fluorescence detection (Merck Silica Gel 254, Merck KGaA, Darmstadt, Germany). After, drying spots were detected under UV light (λ = 254 nm). The elemental analyses of carbon, hydrogen, and nitrogen determined for the compounds were within ±0.4% of the theoretical values.

3.1.1. A General Procedure for the Preparation of Compounds 3ac

To a stirred solution of 2.5 g of 2-chloro-4,5-dihydro-1H-imidazole (25 mmol) (2) in dichloromethane (25–30 mL), five millimoles of the appropriate 1-arylhydrazinecarbonitrile 1a–c were added. When the exothermic reaction subsided, the reaction mixture was stirred at room temperature for 12 h. The precipitate was filtered and washed with dichloromethane (1a, 1c) or the oily residue was separated by decantation and washed with dichloromethane (1b). After drying, the resulting precipitate or oily residue was mixed with cooled water (15 mL) and filtered. The cooled filtrate was basified with 15 mL of a 20% potassium carbonate solution. The precipitate (3b, 3c) was separated by suction, washed with a small amount of cooled water, and dried or the resulting oil (3a) was extracted with chloroform (4 × 20 mL). The combined organic extract was dried with anhydrous magnesium sulfate(VI), filtered, and concentrated under reduced pressure.
7-(4,5-Dihydro-1H-imidazol-2-yl)-2-phenyl-6,7-dihydro-2H-imidazo[2,1-c][1,2,4]triazol-3(5H)-imine (3a). Starting from 5 mmol (0.6658 g) of 1-phenylhydrazinecarbonitrile (1a), to the resulting oily residue, ten milliliters of anhydrous 2-propanone were added, and the precipitate was filtered and washed with a small amount of cooled 2-propanone. Compound 3a was purified on silica gel by preparative thin-layer chromatography (chromatotron); eluent: ethyl acetate:methanol:triethylamine (7:2:1, v/v/v); yield 0,65 g (48%); m.p. 187–190 °C; IR (KBr, cm−1): 3404, 3315, 3205, 3065, 2946, 2862, 1677, 1626, 1533, 1287, 1217, 1055, 760; 1H-NMR (200 MHz, CDCl3): 3.66 (m, 4H, CH2-CH2), 3.99 (t, 2H, CH2), 4.39–4.47 (m, 2H, CH2), 5.05 (br.s, 2H, 2xNH), 7.15–7.22 (m, 1H, Ar), 7.30–7.44 (m, 2H, Ar), 7.53–7,57 (m, 2H, Ar); 13C-NMR (50 MHz, CDCl3): 39.88, 45.84, 51.04, 52.27, 121.17 (two overlapping signals), 125.72, 129.73 (two overlapping signals), 139.30, 149.84, 150.27, 155.51; m/z (ESI): 270 [M + H]+. Anal. Calcd for C13H15N7 (269.31): C, 57.98; H, 5.61; N, 36.41. Found: C, 57.91; H, 5.58; N, 36.11.
7-(4,5-Dihydro-1H-imidazol-2-yl)-2-(p-tolyl)-6,7-dihydro-2H-imidazo[2,1-c][1,2,4]triazol-3(5H)-imine (3b). Starting from 5 mmol (0.7359 g) of 1-(p-tolyl)hydrazinecarbonitrile (1b), compound 3b was purified on silica gel by preparative thin-layer chromatography (chromatotron); eluent: ethyl acetate:methanol:triethylamine (8:1:1, v/v/v); crystallized from acetonitrile; yield 0,9 g (64%); m.p. 213–216 °C; IR (KBr, cm−1): 3408, 3361, 3319, 3240, 3206, 3065, 2948, 2887, 2863, 1676, 1625, 1592, 1531, 1500, 1451, 1390, 1331, 1287, 1253, 1055, 1025, 975, 759, 707; 1H-NMR (500 MHz, DMSO-d6): 2.26 (s, 3H, CH3), 3.48 (s, 4H, CH2-CH2), 3.85 (t, 2H, CH2), 4.24 (t, 2H, CH2), 5.80–6.20 (br.s, 2H, 2xNH), 7.14 (d, J = 8.8 Hz, 2H, Ar), 7.85 (d, J = 8.8 Hz, 2H, Ar); 13C-NMR (125 MHz, DMSO-d6+TFA): 21.13, 43.06, 44.34 (two overlapping signals), 53.66, 125.69 (two overlapping signals), 130.91 (two overlapping signals), 132.74, 140.75, 147.16, 149.68, 153.75; m/z (ESI): 284 [M + H]+. Anal. Calcd for C14H17N7 (283.33): C, 59.35; H, 6.05; N, 34.60. Found: C, 59.28; H, 5.99; N, 34.62.
2-(4-Chlorophenyl)-7-(4,5-dihydro-1H-imidazol-2-yl)-6,7-dihydro-2H-imidazo[2,1-c][1,2,4]triazol-3(5H)-imine (3c). Starting from 5 mmol (0.838 g) of 1-(4-chlorophenyl)hydrazinecarbonitrile (1c), compound 3c was purified on silica gel by preparative thin-layer chromatography (chromatotron); yield 0.85 g (56%); m.p. 220–223 °C; IR (KBr, cm−1): 3384, 3243, 2963, 2930, 2892, 1683, 1625, 1594, 1537, 1492, 1390, 1289, 1255, 1063, 828; 1H-NMR (300 MHz, DMSO-d6): 3.51 (s, 4H, CH2-CH2), 3.87–3.89 (m, 2H, CH2), 4.24–4.28 (t, 2H, CH2), 6.16 (br.s, 2H, 2xNH), 7.37–7.39 (m, 2H, Ar), 8.12–8.14 (m, 2H, Ar); 13C-NMR (75 MHz, DMSO-d6): 45.64, 49.15, 51.21, 51.60, 118.74 (two overlapping signals), 125.97, 128.69 (two overlapping signals), 139.68, 149.10, 149.53, 155.12; m/z (ESI): 304 [M + H]+. Anal. Calcd for C13H14ClN7 (303.75): C, 51.40; H, 4.65; N, 32.28. Found: C, 51.36; H, 4.68; N, 32.34.

3.1.2. A General Procedure for the Preparation of Compounds 4ae and 5an

To a stirring solution of compound 3ac in anhydrous chloroform (5 mL), the appropriate aryl chloride or sulfonyl chloride (sulfonic acid chloride) was added (in the molar ratio of 1:1). The mixture was heated in an oil bath at 90 °C (compound 5m: 20–22 °C) for 8–12 h. The progress of the reaction was controlled by TLC. After completion of the reaction, the mixture was evaporated under reduced pressure, and into the resulting residue, crushed ice was added. The precipitate was separated by suction and dried. The crude product was purified on silica gel by preparative thin-layer chromatography (chromatotron) or crystallization. In this manner, the following compounds were obtained.
N-(7-(4,5-dihydro-1H-imidazol-2-yl)-2-phenyl-6,7-dihydro-2H-imidazo[2,1-c][1,2,4]triazol-3(5H)-ylidene)benzamide (4a). Starting from 0.25 g (0.93 mmol) of 3a and 0.131 g (0.108 mL, 0.93 mmol) of benzoyl chloride; yield 0.18 g (52%); eluent: dichloromethane:ethyl acetate:2-propanone:triethylamine (3:3:3:1, v/v/v/v); m.p. 219–222 °C; IR (KBr, cm−1): 3325, 3058, 2925, 2865, 1665, 1611, 1521, 1537, 1456, 1352, 1292, 721; 1H-NMR (200 MHz, CDCl3): 3.72–3.73 (m, 4H, CH2-CH2), 4.45–4.55 (m, 4H, CH2-CH2), 5.55 (br.s, 1H, NH), 7.28–7.36 (m, 1H, Ar), 7.41–7.49 (m, 5H, Ar), 8.02 (d, J = 7.9 Hz, 2H, Ar), 8.20 (d, J = 7.1 Hz, 2H, Ar); m/z (ESI): 374 [M + H]+. Anal. Calcd for C20H19N7O (373.41): C, 64.33; H, 5.13; N, 26.26. Found: C, 64.46; H, 5.06; N, 25.95.
N-(7-(4,5-dihydro-1H-imidazol-2-yl)-2-(p-tolyl)-6,7-dihydro-2H-imidazo[2,1-c][1,2,4]triazol-3(5H)-ylidene)-4-methylbenzamide (4b). Starting from 0.142g (0.5 mmol) of 3b and 0.077 g (0.5 mmol) of p-toluoyl chloride; yield 0.1 g (25%); m.p. 238–240 °C; IR (KBr, cm−1): 3283, 3030, 2951, 2922, 2878, 1671, 1604, 1542, 1512, 1472, 1368, 1342, 1312, 1292, 815, 758; 1H-NMR (200 MHz, CDCl3): 2.39 (s, 6H, 2xCH3), 3.72 (br.s, 4H, CH2-CH2), 4.45–4.53 (m, 4H, CH2-CH2), 7.19–7.26 (m, 4H, Ar), 7.86 (d, J = 8.3 Hz, 2H, Ar), 8.08 (d, J = 7.9 Hz, 2H, Ar); 1H-NMR (200 MHz, CDCl3+TFA): 2.43 (s, 6H, 2xCH3), 4.08 (s, 4H, CH2-CH2), 4.94 (br.s, 4H, CH2-CH2), 7.28–7.37 (m, 6H, Ar), 7.07 (d, J = 7.9 Hz, 2H, Ar); 7.88 (br.s, 2H, NH+H+); m/z (ESI): 402 [M + H]+. Anal. Calcd for C22H23N7O (401.46): C, 65.82; H, 5.77; N, 24.42. Found: C, 65.78; H, 5.76; N, 24.38.
N-(7-(4,5-dihydro-1H-imidazol-2-yl)-2-phenyl-6,7-dihydro-2H-imidazo[2,1-c][1,2,4]triazol-3(5H)-ylidene)-4-fluorobenzamide (4c). Starting from 0.1347 g (0.5 mmol) of 3a and 0.079 g (0.5 mmol) of 4-fluorobenzoyl chloride; yield 0.09 g (46%); m.p. 238–242 °C; IR (KBr, cm−1): 3392, 3072, 2930, 2876, 1675, 1618, 1599, 1517, 1457, 1286, 1217, 1146, 767; 1H-NMR (500 MHz, CDCl3): 3.74 (s, 4H, CH2-CH2), 4.47–4.52 (m, 2H, CH2), 4.54–4.58 (m, 2H, CH2), 7.06 (t, 2H, Ar), 7.30 (t, 1H, Ar); 7.45 (t, 2H, Ar); 7.97 (d, J = 7.8 Hz, 2H, Ar), 8.17–8.19 (m, 2H, Ar); 13C-NMR (125 MHz, CDCl3): 45.57 (two overlapping signals), 50.62 (two overlapping signals), 115.10 (d, J(C-F) = 21.5 Hz, two overlapping signals), 122.01 (two overlapping signals), 126.84, 129.01 (two overlapping signals), 132.06 (d, J(C-F) = 9.2 Hz, two overlapping signals), 133.63 (d, J(C-F) = 3.1 Hz), 138.12, 148.37, 150.57, 154.85, 165.21 (d, J(C-F) = 250.7 Hz), 171.60; m/z (ESI): 392 [M + H]+. Anal. Calcd for C20H18FN7O (391.40): C, 61.37; H, 4.64; N, 25.05. Found: C, 61.28; H, 4.60; N, 24.98.
4-Chloro-N-(7-(4,5-dihydro-1H-imidazol-2-yl)-2-phenyl-6,7-dihydro-2H-imidazo[2,1-c][1,2,4]triazol-3(5H)-ylidene)benzamide (4d). Starting from 0.20 g (0.74 mmol) of 3a and 0.13 g (0.095 mL, 0.74 mmol) of 4-chlorobenzoyl chloride; yield 0.19 g (63%); eluent: dichloromethane:ethyl acetate:2-propanone:triethylamine (3:3:3:1, v/v/v/v); m.p. 249–251 °C; IR (KBr, cm−1): 3315, 3063, 2945, 2866, 1677, 1609, 1589, 1524, 1498, 1458, 1390, 1354, 1290, 1888, 1087, 1013, 760; 1H-NMR (200 MHz, CDCl3): 3.67–3.78 (m, 4H, CH2-CH2), 4.41–4.60 (m, 4H, CH2-CH2), 5.55 (br.s, 1H, NH), 7.24–7.50 (m, 5H, Ar), 7.96 (d, J = 7.6 Hz, 2H, Ar), 8.11 (d, J = 8.5 Hz, 2H, Ar); m/z (ESI): 408 [M + H]+. Anal. Calcd for C20H18ClN7O (407.86): C, 58.90; H, 4.45; N, 24.04. Found: C, 58.84; H, 4.42; N, 23.70.
4-Chloro-N-(2-(4-chlorophenyl)-7-(4,5-dihydro-1H-imidazol-2-yl)-6,7-dihydro-2H-imidazo[2,1-c][1,2,4]triazol-3(5H)-ylidene)benzamide (4e). Starting from 0.1519 g (0.5 mmol) of 3c and 0.0875 g (0.064 mL, 0.5 mmol) of 4-chlorobenzoyl chloride; yield 0.12 g (54%); eluent: ethyl acetate:dichloromethane:methanol:triethylamine (6:2:1:1, v/v/v/v); crystallized from methanol; m.p. 278–283 °C; IR (KBr, cm−1): 3326, 3079, 3053, 3034, 2944, 2866, 1680, 1645, 1615, 1567, 1543, 1525, 1492, 1445, 1418, 1348, 1303, 1287, 1275, 1097, 1086, 1011, 831; 1H-NMR (400 MHz, DMSO-d6): 3.54 (br.s, 4H, CH2-CH2), 4.31–4.38 (m, 4H, CH2-CH2), 6.32 (br.s, 1H, NH), 7.51–7.61 (m, 4H, Ar), 8.07–8.16 (m, 4H, Ar); m/z (ESI): 442 and 444 [M + H]+. Anal. Calcd for C20H17Cl2N7O (442.30): C, 54.31; H, 3.87; N, 22.17. Found: C, 54.25; H, 3.92; N, 22.02.
N-(7-(4,5-dihydro-1H-imidazol-2-yl)-2-phenyl-6,7-dihydro-2H-imidazo[2,1-c][1,2,4]triazol-3(5H)-ylidene)methanesulfonamide (5a). Starting from 0.135 g (0.5 mmol) of 3a and 0.0573 g (0.0387 mL, 0.5 mmol) of methanesulfonyl chloride; yield 0.1 g (58%); eluent: dichloromethane:ethyl acetate:2-propanone:triethylamine (3:3:3:1, v/v/v/v); m.p. 262–264 °C; IR (KBr, cm−1): 3378, 3072, 3015, 2950, 2875, 1681, 1643, 1606, 1578, 1521, 1498, 1460, 1271, 1128, 968, 934, 784, 762, 539; 1H-NMR (200 MHz, CDCl3): 3.10 (s, 3H, CH3), 3.69–3.74 (m, 4H, CH2-CH2), 4.45 (t, 2H, CH2), 4.66 (t, 2H, CH2), 5.49 (br.s, 1H, NH), 7.27 (t, 1H, Ar), 7.42 (t, 2H, Ar), 7.79 (d, J = 7.7 Hz, 2H, Ar); 13C-NMR (50 MHz, CDCl3): 43.43, 45.75 (br.), 46.75, 50.83, 53.00 (br.), 122.05 (two overlapping signals); 127.13, 129.26 (two overlapping signals), 137.95, 144.34, 155.45, 154.93; m/z (ESI): 348 [M + H]+. Anal. Calcd for C14H17N7O2S (347.40): C, 48.40; H, 4.93; N, 28.22. Found: C, 48.38; H, 4.89; N, 28.28.
N-(7-(4,5-dihydro-1H-imidazol-2-yl)-2-(p-tolyl)-6,7-dihydro-2H-imidazo[2,1-c][1,2,4]triazol-3(5H)-ylidene)methanesulfonamide (5b). Starting from 0.142 g (0.5 mmol) of 3b and 0.0573 g (0.0387 mL, 0.5 mmol) of methanesulfonyl chloride; yield 0.1 g (55%); eluent: 2-propanone:ethyl acetate:dichloromethane:triethylamine (2:1:1:1, v/v/v/v); m.p. 258–262 °C; IR (KBr, cm−1): 3384, 3297, 3037, 3008, 2924, 2865, 1673, 1633, 1613, 1593, 1574, 1520, 1474, 1387, 1274, 1121, 968, 926, 782, 534; 1H-NMR (200 MHz, CDCl3): 2.37 (s, 3H, CH3), 3.08 (s, 3H, CH3), 3.71 (br.s, 4H, CH2-CH2), 4.45 (t, 2H, CH2), 4.66 (t, 2H, CH2), 5.45 (br.s, 1H, NH), 7.21 (d, J = 8.4 Hz, 2H, Ar); 7.64 (d, J = 8.4 Hz, 2H, Ar); 13C-NMR (50 MHz, CDCl3): 21.52, 43.42 (two overlapping signals), 45.71 (two overlapping signals), 50.81, 122.23 (two overlapping signals), 129.82 (two overlapping signals), 135.44, 137.23, 144.76, 150.36, 154.97; m/z (ESI): 362 [M + H]+. Anal. Calcd for C15H19N7O2S (361.42): C, 49.85; H, 5.30; N, 27.13. Found: C, 49.87; H, 5.30; N, 27.06.
N-(7-(4,5-dihydro-1H-imidazol-2-yl)-2-phenyl-6,7-dihydro-2H-imidazo[2,1-c][1,2,4]triazol-3(5H)-ylidene)benzenesulfonamide (5c). Starting from 0.18 g (0.668 mmol) of 3a and 0.118 g (0.085 mL, 0.668 mmol) of benzenesulfonyl chloride; yield 0.18 g (66%); eluent: dichloromethane:ethyl acetate:2-propanone (1:2:2, v/v/v); crystallized from methanol; m.p. 233–234 °C; IR (KBr, cm−1): 3358, 3062, 2956, 2927, 2878, 1677, 1641, 1602, 1570, 1521, 1496, 1389, 1273, 1140, 1085, 925, 769, 690, 594; 1H-NMR (200 MHz, CDCl3): 3.51–3.91 (m, 4H, CH2-CH2), 4.46 (t, 2H, CH2), 4.72 (t, 2H, CH2), 5.49 (br.s, 1H, NH), 7.19–7.57 (m, 6H, Ar), 7.75 (d, J = 7.9 Hz, 2H, Ar), 7.94–7.99 (m, 2H, Ar); 13C-NMR (50 MHz, CDCl3): 45.83, 46.33, 50.84, 53.05, 121.97 (two overlapping signals), 126.59 (two overlapping signals), 127.16, 129,17 (two overlapping signals), 129.25 (two overlapping signals), 132.31, 137.88, 143.66, 144.32, 150.55, 154.92; m/z (ESI): 310 [M + H]+. Anal. Calcd for C19H19N7O2S (409.46): C, 55.73; H, 4.68; N, 23.95. Found: C, 55.69; H, 4.58; N, 24.30.
N-(7-(4,5-dihydro-1H-imidazol-2-yl)-2-(p-tolyl)-6,7-dihydro-2H-imidazo[2,1-c][1,2,4]triazol-3(5H)-ylidene)benzenesulfonamide (5d). Starting from 0.142 g (0.5 mmol) of 3b and 0.118 g (0.085 mL, 0.668 mmol) of benzenesulfonyl chloride; yield 0.14 g (66%); eluent: ethyl acetate:2-propanone (1:1, v/v); crystallized from 2-propanone; m.p. 219–221 °C; IR (KBr, cm−1): 3361, 3104, 3058, 2953, 2870, 1667, 1638, 1591, 1568, 1513, 1445, 1386, 1314, 1277, 1145, 1087, 926, 760, 603; 1H-NMR (200 MHz, CDCl3): 2.33 (s, 3H, CH3), 3.56–3.72 (m, 2H, CH2), 3.73–3.81 (m, 2H, CH2), 4.45 (t, 2H, CH2), 4.71 (t, 2H, CH2), 5.49 (br.s, 1H, NH), 7.15 (d, J = 8.3 Hz, 2H, Ar), 7.42–7.50 (m, 3H, Ar), 7.60 (d, J = 8.3 Hz, 2H, Ar), 7.94–7.97 (m, 2H, Ar); 13C-NMR (50 MHz, CDCl3): 21.49, 45.81, 46.51 (br.), 50.83, 53.09 (br.), 122.08 (two overlapping signals), 126.59 (two overlapping signals), 129.13 (two overlapping signals), 129.80 (two overlapping signals), 132.22, 135.41, 137.20, 143.76, 144.22, 150.48, 154.92. m/z (ESI): 424 [M + H]+; Anal. Calcd for C20H21N7O2S (423.49): C, 56.72; H, 5.00; N, 23.15. Found: C, 56.68; H, 5.01; N, 23.12.
N-(7-(4,5-dihydro-1H-imidazol-2-yl)-2-phenyl-6,7-dihydro-2H-imidazo[2,1-c][1,2,4]triazol-3(5H)-ylidene)-4-methylbenzenesulfonamide (5e). Starting from 0.135 g (0.5 mmol) of 3a and 0.095 g (0.5 mmol) of p-toluenesulfonyl chloride; yield 0.13 g (61%); crystallized from methanol; m.p. 227–231 °C; IR (KBr, cm−1): 3316, 3065, 2955, 2925, 2874, 1678, 1630, 1603, 1567, 1515, 1474, 1259, 1142, 1091, 926, 770, 565; 1H-NMR (200 MHz, CDCl3): 2.40 (s, 3H, CH3), 3.64–3.76 (m, 4H, CH2-CH2), 4.44 (t, 2H, CH2), 4.70 (t, 2H, CH2), 5.50 (br.s, 1H, NH), 7.18–7.29 (m, 5H, Ar), 7.74–7.86 (m, 4H, arom); 13C-NMR (50 MHz, CDCl3): 21.97, 45.85, 46.25 (br.), 50.82, 53.05 (br.), 121.88 (two overlapping signals), 126.61 (two overlapping signals), 127.02, 129.22 (two overlapping signals), 129.76 (two overlapping signals), 137.96, 140.90, 142.85, 144.29, 150.52, 154.91; m/z (ESI): 424 [M + H]+. Anal. Calcd for C20H21N7O2S (423.49): C, 56.72; H, 5.00; N, 23.15. Found: C, 56.69; H, 4.99; N, 23.27.
N-(7-(4,5-dihydro-1H-imidazol-2-yl)-2-(p-tolyl)-6,7-dihydro-2H-imidazo[2,1-c][1,2,4]triazol-3(5H)-ylidene)-4-methylbenzenesulfonamide (5f). Starting from 0.142 g (0.5 mmol) of 3b and 0.095 g (0.5 mmol) of p-toluenesulfonyl chloride; yield 0.14 g (64%); eluent: 2-propanone:ethyl acetate (4:1, v/v); m.p. 203–206 °C; IR (KBr, cm−1): 3381, 3030, 2923, 2858, 1684, 1634, 1590, 1561, 1523, 1509, 1313, 1282, 1254, 1147, 1090, 935, 820, 556; 1H-NMR (200 MHz, CDCl3): 2.33 (s, 3H, CH3), 2.41 (s, 3H, CH3), 3.54–3.69 (m, 2H, CH2), 3.72–3.80 (m, 2H, CH2), 4.44 (t, 2H, CH2), 4.70 (t, 2H, CH2), 5.50 (br.s, 1H, NH), 7.15 (d, J = 8.4 Hz, 2H, Ar), 7.26 (d, J = 8.1 Hz, 2H, Ar), 7.61 (d, J = 8.4 Hz, 2H, Ar), 7.84 (d, J = 8.1 Hz, 2H, Ar); 13C-NMR (50 MHz, CDCl3): 21.48, 21.96, 45.82, 46.40 (br.), 50.82, 53.10 (br.), 122.01 (two overlapping signals), 126.61 (two overlapping signals), 129.72 (two overlapping signals), 129.78 (two overlapping signals), 135.48, 137.08, 140.97, 142.75, 144.20, 150.45, 154.95; m/z (ESI): 438 [M + H]+. Anal. Calcd for C21H23N7O2S (437.52): C, 57.65; H, 5.30; N, 22.41. Found: C, 57.61; H, 5.28; N, 22.44.
N-(7-(4,5-dihydro-1H-imidazol-2-yl)-2-phenyl-6,7-dihydro-2H-imidazo[2,1-c][1,2,4]triazol-3(5H)-ylidene)-4-methoxybenzenesulfonamide (5g). Starting from 0.269 g (1 mmol) of 3a and 0.207 g (1 mmol) of 4-methoxybenzenesulfonyl chloride; yield 0.15 g (34%); eluent: chloroform:ethyl acetate:2-propanone:triethylamine (3:4:2:1, v/v/v/v); m.p. 207–209 °C; IR (KBr, cm−1): 3379, 3072, 2945, 2876, 1677, 1596, 1572, 1521, 1499, 1257, 1139, 1087, 769, 570; 1H-NMR (200 MHz, CDCl3): 3.71 (br.s, 4H, CH2-CH2), 3.86 (s, 3H, OCH3), 4.46 (t, 2H, CH2), 4.72 (t, 2H, CH2), 6.95 (d, J = 8.2 Hz, 2H, Ar), 7.19–7.40 (m, 3H, Ar), 7.76 (d, J = 7.7 Hz, 2H, Ar), 7.89 (d, J = 8.2 Hz, 2H, Ar); 13C-NMR (50 MHz, CDCl3): 45.34 (two overlapping signals), 50.32 (two overlapping signals), 55.50, 113.76 (two overlapping signals), 121.33 (two overlapping signals), 126.49, 128.11 (two overlapping signals), 128.70 (two overlapping signals), 135.16, 137.42, 143.70, 149.85, 154.38; 162,15; m/z (ESI): 440 [M + H]+. Anal. Calcd for C20H21N7O3S (439.49): C, 54.66; H, 4.82; N, 22.31. Found: C, 54.61; H, 4.74; N, 22.26.
N-(7-(4,5-dihydro-1H-imidazol-2-yl)-2-phenyl-6,7-dihydro-2H-imidazo[2,1-c][1,2,4]triazol-3(5H)-ylidene)-4-nitrobenzenesulfonamide (5h). Starting from 0.135 g (0.5 mmol) of 3a and 0.111 g (0.5 mmol) of 4-nitrobenzenesulfonyl chloride; yield 0.19 g (84%); m.p. 263–269 °C; IR (KBr, cm−1): 3327, 3101, 3083, 2931, 2875, 1675, 1626, 1602, 1569, 1521, 1493, 1387, 1354, 1279, 1147, 1090, 926, 775, 747, 615; 1H-NMR (200 MHz, DMSO-d6): 3.52 (br.s, 4H, CH2-CH2), 4.34–4.36 (m, 4H, CH2-CH2), 6.33 (br.s, 1H, NH), 7.31–7.46 (m, 3H, Ar), 7.78 (d, J = 7.9 Hz, 2H, Ar), 8.1 (d, J = 8.3 Hz, 2H Ar), 8.37 (d, J = 8.7 Hz, 2H, Ar); m/z (ESI): 455 [M + H]+. Anal. Calcd for C19H18N8O4S (454.46): C, 50.21; H, 3.99; N, 24.66. Found: C, 50.19; H, 4.04; N, 24.78.
N-(7-(4,5-dihydro-1H-imidazol-2-yl)-2-phenyl-6,7-dihydro-2H-imidazo[2,1-c][1,2,4]triazol-3(5H)-ylidene)naphthalene-1-sulfonamide (5i). Starting from 0.134 g (0.5 mmol) of 3a and 0.113 g (0.5 mmol) of 1-naphthalenesulfonyl chloride; yield 0.1 g (44%); eluent: dichloromethane:ethyl acetate:2-propanone:triethylamine:methanol (6:6:5:2:1, v/v/v/v/v); m.p. > 350 °C; IR (KBr, cm−1): 3371, 3058, 2928, 2878, 1672, 1632, 1590, 1566, 1518, 1388, 1263, 1112, 922, 769, 597, 509; 1H-NMR (200 MHz, CDCl3): 3.71 (s, 4H, CH2-CH2), 4.49 (t, 2H, CH2), 4.79 (t, 2H, CH2), 7.10–7.27 (m, 4H, Ar+NH), 7.48 (d, J = 7.5 Hz, 1H, Ar), 7.54–7.65 (m, 2H, Ar), 7.68 (d, J = 7.9 Hz, 2H, Ar), 7.89–7.94 (m, 1H, Ar), 8.02 (d, J = 7.9 Hz, 1H, Ar), 8.29 (d, J = 7.5 Hz, 1H, Ar), 8.81–8.86 (m, 1H, Ar); 13C-NMR (50 MHz, CDCl3): 45.79 (two overlapping signals), 50.63 (two overlapping signals), 121.73 (two overlapping signals), 124.30, 126.23, 126.85, 126.93, 127.69, 128.68, 128.79, 128.89 (three overlapping signals), 133.62, 134.48, 137.44, 138.56, 143.88, 150.29, 154.64; m/z (ESI): 460 [M + H]+. Anal. Calcd for C23H21N7O2S (459.52): C, 60.12; H, 4.61; N, 21.34. Found: C, 60.02; H, 4.55; N, 21.30.
N-(7-(4,5-dihydro-1H-imidazol-2-yl)-2-phenyl-6,7-dihydro-2H-imidazo[2,1-c][1,2,4]triazol-3(5H)-ylidene)naphthalene-2-sulfonamide (5j). Starting from 0.269 g (1 mmol) of 3a and 0.227 g (1 mmol) of 2-naphthalenesulfonyl chloride; yield 0.13 g (28%); eluent: dichloromethane:ethyl acetate:2-propanone:triethylamine (1:3:3:3, v/v/v/v); crystallized from methanol; m.p. 214–217 °C; IR (KBr, cm−1): 3374, 3054, 2951, 2879, 1680, 1607, 1570, 1519, 1479, 1459, 1278, 1255, 1122, 1075, 925, 769, 751, 663, 558; 1H-NMR (200 MHz, CDCl3): 3.67–3.77 (m, 4H, CH2-CH2), 4.49 (t, 2H, CH2), 4.78 (t, 2H, CH2), 5.52 (br.s, 1H, NH), 7.23–7.35 (m, 3H, Ar), 7.60–7.62 (m, 2H, Ar), 7.78 (d, J = 7.5 Hz, 2H, Ar), 7.96 (m, 4H, Ar), 8.52 (s, 1H, Ar); 13C-NMR (50 MHz, CDCl3): 45.31, 45.87, 50.34, 52.54, 121.37 (two overlapping signals), 122.34, 126.56 (two overlapping signals), 127.12, 127.76, 128.21, 128.71 (two overlapping signals), 128.92, 129.18, 132.04, 134.44, 137.35, 140.01, 143.73, 150.01, 154.32; m/z (ESI): 460 [M + H]+. Anal. Calcd for C23H21N7O2S (459.52): C, 60.12; H, 4.61; N, 21.34. Found: C, 60.09; H, 4.58; N, 21.28.
N-(7-(4,5-dihydro-1H-imidazol-2-yl)-2-phenyl-6,7-dihydro-2H-imidazo[2,1-c][1,2,4]triazol-3(5H)-ylidene)-[1,1’-biphenyl]-4-sulfonamide (5k). Starting from 0.135 g (0.5 mmol) of 3a and 0.126 g (0.5 mmol) of biphenyl-4-sulfonyl chloride; yield 0.12 g (49%); eluent: dichloromethane:ethyl acetate:2-propanone:triethylamine:methanol (4:3:1:1:1, v/v/v/v/v) or ethyl acetate:triethylamine (4:1, v/v); crystallized from methanol; m.p. 241–244 °C; IR (KBr, cm−1): 3370, 3058, 3033, 2965, 2923, 2823, 1673, 1631, 1605, 1575, 1511, 1258, 1139, 1093, 1033, 935, 766, 597; 1H-NMR (500 MHz, CDCl3): 3.64–3.79 (m, 4H, CH2-CH2), 4.49 (t, 2H, CH2), 4.74 (t, 2H, CH2), 5.52 (br.s, 1H, NH), 7.23–7.27 (m, 1H, Ar), 7.37 (t, 2H, Ar), 7.41 (d, J = 7.8 Hz, 1H Ar), 7.47 (t, 2H, Ar), 7.61 (d, J = 7.3 Hz, 2H, Ar), 7.69 (d, J = 8.3 Hz, 2H, Ar), 7.77 (d, J = 8.8 Hz, 2H, Ar), 8.02 (d, J = 8.8 Hz, 2H, Ar); 13C-NMR (125 MHz, CDCl3): 45.61 (two overlapping signals), 50.62 (two overlapping signals), 121.79 (two overlapping signals), 126.89 (two overlapping signals), 126.97, 127.55 (two overlapping signals), 127.62 (two overlapping signals), 128.46, 129.05 (two overlapping signals), 129.21 (two overlapping signals), 137.62, 139.91, 142.06, 144.07, 144.97, 150.32, 154.67; m/z (ESI): 486 [M + H]+. Anal. Calcd for C25H23N7O2S (485.56): C, 61.84; H, 4.77; N, 20.19. Found: C, 61.80; H, 4.71; N, 20.08.
N-(7-(4,5-dihydro-1H-imidazol-2-yl)-2-(p-tolyl)-6,7-dihydro-2H-imidazo[2,1-c][1,2,4]triazol-3(5H)-ylidene)-[1,1’-biphenyl]-4-sulfonamide (5l). Starting from 0.142 g (0.5 mmol) of 3b and 0.126 g (0.5 mmol) of biphenyl-4-sulfonyl chloride; yield 0.09 g (36%); m.p. 214–218 °C; IR (KBr, cm−1): 3360, 3069, 3034, 2980, 2950, 2874, 1670, 1638, 1591, 1570, 1517, 1450, 1388, 1281, 1144, 1090, 924, 672, 604; 1H-NMR (300 MHz, CDCl3): 2.33 (s, 3H, CH3), 3.71 (br.s, 4H, CH2-CH2), 4.48 (t, 2H, CH2), 4.74 (t, 2H, CH2), 5.47 (br.s, 1H, NH), 7.17 (d, J = 8.4 Hz, 2H, Ar), 7.39–7.49 (m, 3H, Ar); 7.59–7.70 (m, 6H, Ar), 7.99–8.03 (m, 2H, Ar); 13C-NMR (75 MHz, CDCl3): 21.01, 45.34, 46.28, 50.37, 52.14, 121.63 (two overlapping signals), 126.62 (three overlapping signals), 127.29, 127.32 (two overlapping signals), 128.17, 128.94, 128.95, 129.34, 129.38, 134.89, 136.77, 139.70, 141.90, 143.71, 144.64, 149.97, 154.43; m/z (ESI): 500 [M + H]+. Anal. Calcd for C26H25N7O2S (499.59): C, 62.51; H, 5.04; N, 19.63. Found: C, 62.55; H, 4.89; N, 19.58.
N-(7-(4,5-dihydro-1H-imidazol-2-yl)-2-phenyl-6,7-dihydro-2H-imidazo[2,1-c][1,2,4]triazol-3(5H)-ylidene)-4-phenoxybenzenesulfonamide (5m). Starting from 0.135 g (0.5 mmol) of 3a and 0.134 g (0.5 mmol) of 4-phenoxybenzenesulfonyl chloride; yield 0.08 g (32%); eluent: ethyl acetate:methanol (9:1, v/v and 8:2, v/v); crystallized from methanol; m.p. 186–188 °C; IR (KBr, cm−1): 3372, 3247, 3069, 2924, 2848, 1671, 1607, 1590, 1522, 1488, 1390, 1280, 1266, 1241, 1142, 1087, 927, 769, 578; 1H-NMR (500 MHz, DMSO-d6): 3.46–3.55 (m, 4H, CH2-CH2), 4.29 (t, 2H, CH2), 4.40 (t, 2H, CH2), 6.11 (s, 1H, NH), 7.07 (d, J = 8.8 Hz, 2H, Ar), 7.12 (d, J = 7.8 Hz, 2H, Ar), 7.23 (t, 1H, Ar), 7.28 (t, 1H, Ar), 7.42 (d, J = 7.3 Hz, 2H, Ar), 7.45 (d, J = 7.3 Hz, 2H, Ar), 7.80 (d, J = 7.8 Hz, 2H, Ar), 7.84 (d, J = 8.8 Hz, 2H, Ar); 13C-NMR (125 MHz, DMSO-d6+TFA): 44.30 (two overlapping signals), 46.49, 52.61, 118.18 (two overlapping signals), 120.64 (two overlapping signals), 122.34 (two overlapping signals), 125.43, 127.76, 128.76 (two overlapping signals), 129.64 (two overlapping signals), 130.98 (two overlapping signals), 137.72, 138.35, 144.21, 149.57, 153.89, 155.67, 160.69; m/z (ESI): 502 [M + H]+. Anal. Calcd for C25H23N7O3S (501.56): C, 59.87; H, 4.62; N, 19.55. Found: C, 59.87; H, 4.62; N, 19.55.
N-(7-(4,5-dihydro-1H-imidazol-2-yl)-2-phenyl-6,7-dihydro-2H-imidazo[2,1-c][1,2,4]triazol-3(5H)-ylidene)-4-(trifluoromethyl)benzenesulfonamide (5n). Starting from 0.135 g (0.5 mmol) of 3a and 0.122 g (0.5 mmol) of 4-(trifluoromethyl)benzenesulfonyl chloride; yield 0.1 g (42%); eluent: dichloromethane:methanol (9:1, v/v); m.p. 221–223 °C; IR (KBr, cm−1): 3379, 3076, 2933, 2876, 1677, 1605, 1574, 1522, 1499, 1471, 1458, 1389, 1324, 1274, 1168, 1143, 1093, 1063, 939, 926, 769, 724, 610; 1H-NMR (500 MHz, DMSO-d6): 3.51 (s, 4H, CH2-CH2), 4.29–4.32 (m, 2H, CH2), 4.39–4.42 (m, 2H, CH2), 6.18 (br.s, 1H, NH), 7.31 (t, 1H, Ar), 7.45 (t, 2H, Ar), 7.77–7.79 (m, 2H, Ar), 7.93 (d, J = 8.3 Hz, 2H, Ar), 8.07 (d, J = 8.3 Hz, 2H, Ar); 13C-NMR (75 MHz, DMSO-d6): 45.58 (two overlapping signals), 51.21 (two overlapping signals), 122.21 (two overlapping signals), 124.03 (q, 1J(C-F) = 272 Hz), 126.71 (q, 3J(C-F) = 4.3 Hz, two overlapping signals), 127.00 (two overlapping signals), 127.25, 129.31 (two overlapping signals), 131.54 (q, 2J(C-F) = 32 Hz), 137.59, 143.90, 148.17, 151.04, 154.74; m/z (ESI): 478 [M + H]+. Anal. Calcd for C20H18F3N7O2S (477.46): C, 50.31; H, 3.80; N, 20.53. Found: C, 50.26; H, 3.84; N, 20.47.

3.1.3. A General Procedure for the Preparation of Compounds 6ai and 7ad

To a stirring solution of compound 3a–c in anhydrous dichloromethane (5 mL), the appropriate aryl isocyanate or isothiocyanate was added (in the molar ratio of 1:1). The mixture was stirred at room temperature (20–22 °C) for 12 h. The progress of the reaction was controlled by TLC. After completion of the reaction, the precipitate was separated by suction, washed with a small amount of dichloromethane, and dried. The crude product was purified on silica gel by preparative thin-layer chromatography (chromatotron) or crystallization. In this manner, the following compounds were obtained.
1-(7-(4,5-Dihydro-1H-imidazol-2-yl)-2-phenyl-6,7-dihydro-2H-imidazo[2,1-c][1,2,4]triazol-3(5H)-ylidene)-3-phenylurea (6a). Starting from 0.135 g (0.5 mmol) of 3a and 0.0596 g (0.0543 mL, 0.5 mmol) of phenyl isocyanate; yield 0.12 g (62%); eluent: chloroform:ethyl acetate:2-propanone:methanol (1:1:1:1, v/v/v/v); m.p. 241–247 °C; IR (KBr, cm−1): 3402, 3201, 3076, 2930, 2873, 1686, 1633, 1598, 1570, 1512, 1497, 1436, 1305, 1234, 1143, 748; 1H-NMR (500 MHz, DMSO-d6): 3.52 (s, 4H, CH2-CH2), 4.25 (t, 2H, CH2), 4.34 (t, 2H, CH2), 6.21 (br.s, 1H, NH), 6.88 (t, 1H, Ar), 7.19–7.24 (m, 3H, Ar), 7.44 (t, 2H, Ar), 7.61 (d, J = 7.8 Hz, 2H, Ar), 8.11 (d, J = 7.8 Hz, 2H, Ar), 9.17 (s, 1H, NH); 1H-NMR (500 MHz, DMSO-d6+TFA): 3.85 (s, 4H, CH2-CH2), 4.41–4.48 (m, 4H, CH2-CH2), 6.90 (t, 1H, Ar), 7.22 (t, 2H, Ar), 7.28 (t, 1H, Ar), 7.48 (t, 2H, Ar), 7.62 (d, J = 7.3 Hz, 2H, Ar), 8.18 (d, J = 8.3 Hz, 2H, Ar), 9.20 (br.s, 2H, NH+NH+), 9.31 (s, 1H, NH); 13C-NMR (125 MHz, DMSO-d6+TFA): 44.29 (two overlapping signals), 46.20, 52.20, 118.86 (two overlapping signals), 121.54 (two overlapping signals), 122.12, 126.44, 129.10 (two overlapping signals), 129.44 (two overlapping signals), 138.93, 141.46, 146.90, 149.28, 154.00, 158.33; m/z (ESI): 389 [M + H]+. Anal. Calcd for C20H20N8O (388.43): C, 61.84; H, 5.19; N, 28.85. Found: C, 61.80; H, 5.15; N, 28.79.
1-(7-(4,5-Dihydro-1H-imidazol-2-yl)-2-(p-tolyl)-6,7-dihydro-2H-imidazo[2,1-c][1,2,4]triazol-3(5H)-ylidene)-3-phenylurea (6b). Starting from 0.142 g (0.5 mmol) of 3b and 0.0596 g (0.0543 mL, 0.5 mmol) of phenyl isocyanate; yield 0.16 g (80%); eluent: chloroform:ethyl acetate:2-propanone:methanol (1:1.5:1:0.5, v/v/v/v); crystallized from chloroform:ethyl acetate:methanol (1:1:1, v/v/v); m.p. 242–246 °C; IR (KBr, cm−1): 3411, 3312, 3046, 2950, 2873, 1684, 1638, 1589, 1570, 1498, 1432, 1303, 1223, 1141, 820, 758; 1H-NMR (500 MHz, DMSO-d6): 2.32 (s, 3H, CH3), 3.52 (s, 4H, CH2-CH2), 4.24 (t, 2H, CH2), 4.33 (t, 2H, CH2), 6.25 (br.s, 1H, NH), 6.87 (t, 1H, Ar), 7.20 (t, 2H, Ar), 7.24 (d, J = 8.3 Hz, 2H, Ar), 7.60 (d, J = 8.3 Hz, 2H, Ar), 7.96 (d, J = 8.3 Hz, 2H, Ar), 9.12 (s, 1H, NH); 13C-NMR (125 MHz, DMSO-d6+TFA): 20.87, 44.21 (two overlapping signals), 46.75, 52.28, 119.18 (two overlapping signals), 122.73, 123.18 (two overlapping signals), 129.09 (two overlapping signals), 130.05 (two overlapping signals), 135.18, 137.85, 140.41, 145.83, 149.67, 153.90, 155.50; m/z (ESI): 403 [M + H]+. Anal. Calcd for C21H22N8O (402.45): C, 62.67; H, 5.51; N, 27.84. Found: C, 62.65; H, 5.55; N, 27.92.
1-(7-(4,5-Dihydro-1H-imidazol-2-yl)-2-phenyl-6,7-dihydro-2H-imidazo[2,1-c][1,2,4]triazol-3(5H)-ylidene)-3-(p-tolyl)urea (6c). Starting from 0.135 g (0.5 mmol) of 3a and 0.0665 g (0.063 mL, 0.5 mmol) of p-tolyl isocyanate; crystallized from methanol; yield 0.16 g (80%); m.p. 262–264 °C; IR (KBr, cm−1): 3388, 3207, 3062, 3026, 2948, 2877, 1691, 1638, 1604, 1588, 1573, 1513, 1403, 1313, 1291, 1235, 1145, 769, 748; 1H-NMR (500 MHz, DMSO-d6): 2.21 (s, 3H, CH3), 3.52 (s, 4H, CH2-CH2), 4.25 (t, 2H, CH2), 4.33 (t, 2H, CH2), 6.20 (br.s, 1H, NH), 7.01 (d, J = 8.3 Hz, 2H, Ar), 7.22 (t, 1H, Ar), 7.43 (t, 2H, Ar), 7.49 (d, J = 7.3 Hz, 2H, Ar), 8.11 (d, J = 7.8 Hz, 2H, Ar), 9.08 (s, 1H, NH); 13C-NMR (125 MHz, DMSO-d6+TFA): 20.57, 44.20 (two overlapping signals), 46.71, 52.27, 119.25 (two overlapping signals), 122.95 (two overlapping signals), 127.48, 129.48 (two overlapping signals), 129.58 (two overlapping signals), 131.76, 137.79, 137.85, 145.88, 149.71, 153.92, 155.63; m/z (ESI): 403 [M + H]+. Anal. Calcd for C21H22N8O (402.45): C, 62.67; H, 5.51; N, 27.84. Found: C, 62.67; H, 5.51; N, 27.84.
1-(7-(4,5-Dihydro-1H-imidazol-2-yl)-2-(p-tolyl)-6,7-dihydro-2H-imidazo[2,1-c][1,2,4]triazol-3(5H)-ylidene)-3-(p-tolyl)urea (6d). Starting from 0.142 g (0.5 mmol) of 3b and 0.0665 g (0.063 mL, 0.5 mmol) of p-tolyl isocyanate; eluent: ethyl acetate:2-propanone:methanol (7:1:2, v/v/v); crystallized from methanol; yield 0.11 g (53%); m.p. 258–262 °C; IR (KBr, cm−1): 3398, 3205, 3079, 3030, 2958, 2919, 2876, 1686, 1637, 1587, 1514, 1312, 1291, 1236, 1181, 1144, 813; 1H-NMR (500 MHz, DMSO-d6): 2.20 (s, 3H, CH3), 2.32 (s, 3H, CH3), 3.52 (s, 4H, CH2-CH2), 4.24 (t, 2H, CH2), 4.33 (t, 2H, CH2), 6.25 (br.s, 1H, NH), 7.00 (d, J = 8.3 Hz, 2H, Ar), 7.23 (d, J = 8.3 Hz, 2H, Ar), 7.48 (d, J = 7.8 Hz, 2H, Ar), 7.96 (d, J = 8.3 Hz, 2H, Ar), 9.03 (s, 1H, NH); 13C-NMR (125 MHz, DMSO-d6+TFA): 20.58, 20.88, 44.23 (two overlapping signals), 47.12, 52.39, 119.38 (two overlapping signals), 123.92 (two overlapping signals), 129.59 (two overlapping signals), 130.25 (two overlapping signals), 132.25, 134.52, 137.25, 138.79, 145.25, 150.01, 153.90, 158.64; m/z (ESI): 417 [M + H]+. Anal. Calcd for C22H24N8O (416.48): C, 63.45; H, 5.81; N, 26.90. Found: C, 63.48; H, 5.74; N, 26.86.
1-(4-Chlorophenyl)-3-(7-(4,5-dihydro-1H-imidazol-2-yl)-2-(p-tolyl)-6,7-dihydro-2H-imidazo[2,1-c][1,2,4]triazol-3(5H)-ylidene)urea (6e). Starting from 0.142 g (0.5 mmol) of 3b and 0.0768 g (0.0639 mL, 0.5 mmol) of 4-chlorophenyl isocyanate; eluent: ethyl acetate:methanol (9:1, v/v); crystallized from methanol; yield 0.105 g (48%); m.p. 256–260 °C; IR (KBr, cm−1): 3408, 3374, 3272, 3063, 3037, 2927, 2866, 1680, 1622, 1574, 1492, 1391, 1309, 1286, 1270, 1229, 1151, 825; 1H-NMR (300 MHz, DMSO-d6): 2.31 (s, 3H, CH3), 3.51 (s, 4H, CH2-CH2), 4.21–4.27 (m, 2H, CH2), 4.30–4.36 (m, 2H, CH2), 6.17 (br.s, 1H, NH), 7.21–7.25 (m, 4H, Ar), 7.63 (d, J = 8.8 Hz, 2H, Ar), 7.93 (d, J = 8.3 Hz, 2H, Ar); 13C-NMR (75 MHz, DMSO-d6): 20.98, 45.28 (two overlapping signals), 50.88 (two overlapping signals), 119.87 (two overlapping signals), 121.37 (two overlapping signals), 124.90, 128.65 (two overlapping signals), 129.46 (two overlapping signals), 135.08, 136.53, 140.62, 147.01, 150.60, 155.08, 158.32; m/z (ESI): 437 and 439 [M + H]+. Anal. Calcd for C21H21ClN8O (436.90): C, 57.73; H, 4.84; N, 25.65. Found: C, 57.78; H, 4.81; N, 25.58.
1-(4-Chlorophenyl)-3-(2-(4-chlorophenyl)-7-(4,5-dihydro-1H-imidazol-2-yl)-6,7-dihydro-2H-imidazo[2,1-c][1,2,4]triazol-3(5H)-ylidene)urea (6f). Starting from 0.1519 g (0.5 mmol) of 3c and 0.0768 g (0.0639 mL, 0.5 mmol) of 4-chlorophenyl isocyanate; eluent: chloroform:methanol (9.5:0.5, v/v); yield 0.12 g (52%); m.p. 256–260 °C; IR (KBr, cm−1): 3385, 3291, 3101, 2955, 2927, 2876, 1686, 1662, 1630, 1584, 1514, 1490, 1304, 1234, 1145, 1090, 827; 1H-NMR (300 MHz, DMSO-d6): 3.51 (s, 4H, CH2-CH2), 4.20–4.27 (m, 2H, CH2), 4.30–4.35 (m, 2H, CH2), 6.21 (br.s, 1H, NH), 7.24–7.27 (m, 2H, Ar), 7.46–7.49 (m, 2H, Ar), 7.62–7.65 (m, 2H, Ar), 8.16–8.19 (m, 2H, Ar), 9.36 (s, 1H, NH); 13C-NMR (75 MHz, DMSO-d6): 45.38 (two overlapping signals), 50.89 (two overlapping signals), 119.94, 122.30, 125.13, 128.71 (two overlapping signals), 128.95 (three overlapping signals), 129.33 (two overlapping signals), 137.87, 140.42, 146.91, 150.80, 154.98, 158.06; m/z (ESI): 437 and 439 [M + H]+. Anal. Calcd for C20H18Cl2N8O (457.32): C, 52.53; H, 3.97; N, 24.50. Found: C, 52.44; H, 3.99; N, 24.45.
1-(7-(4,5-Dihydro-1H-imidazol-2-yl)-2-phenyl-6,7-dihydro-2H-imidazo[2,1-c][1,2,4]triazol-3(5H)-ylidene)-3-(naphthalen-1-yl)urea (6g). Starting from 0.135 g (0.5 mmol) of 3a and 0.085 g (0.5 mmol) of 1-naphthyl isocyanate; yield 0.11 g (50%); m.p. 190–194 °C; IR (KBr, cm−1): 3367, 3204, 3051, 3012, 2966, 2878, 1678, 1638, 1599, 1578, 1515, 1492, 1455, 1402, 1341, 1256, 1148, 1044, 772; 1H-NMR (500 MHz, DMSO-d6, recorded at a temperature of 70 °C): 3.55 (s, 4H, CH2-CH2), 4.27 (t, 2H, CH2), 4.38 (t, 2H, CH2), 7.19 (t, 1H, Ar), 7.38 (t, 2H, Ar), 7.43–7.50 (m, 3H, Ar), 7.65 (d, J = 7.8 Hz, 1H, Ar), 7.76 (d, J = 7.3 Hz, 1H, Ar), 7.86–7.89 (m, 1H, Ar), 8.07 (d, J = 7.8 Hz, 2H, Ar), 8.13–8.15 (m, 1H, Ar), 8.82 (s, 1H, NH); 1H-NMR (500 MHz, DMSO-d6+TFA): 3.83 (s, 4H, CH2-CH2), 4.44–4.46 (m, 2H, CH2), 4.55–4.56 (m, 2H, CH2), 7.33–7.34 (m, 1H, Ar), 7.44–7.59 (m, 5H, Ar), 7.68 (d, J = 8.3 Hz, 1H, Ar), 7.72–7.73 (m, 1H, Ar), 7.88 (d, J = 7.8 Hz, 1H, Ar), 8.00–8.08 (m, 3H, Ar), 9.24 (br.s, 2H, 2xNH+), 9.35 (br.s, 1H, NH); 13C-NMR (125 MHz, DMSO-d6+TFA): 44.23 (two overlapping signals), 46.97, 52.37, 123.10, 123.40, 125.30, 125.61, 126.06, 126.30 (two overlapping signals), 126.50, 128.68, 129.79 (two overlapping signals), 130.47, 134.36 (two overlapping signals), 134.55, 137.32, 145.56, 149.98, 153.87, 158.68; m/z (ESI): 439 [M + H]+. Anal. Calcd for C24H22N8O (438.48): C, 65.74; H, 5.06; N, 25.55. Found: C, 65.69; H, 5.12; N, 25.48.
N-((7-(4,5-dihydro-1H-imidazol-2-yl)-2-phenyl-6,7-dihydro-2H-imidazo[2,1-c][1,2,4]triazol-3(5H)-ylidene)carbamoyl)-4-methylbenzenesulfonamide (6h). Starting from 0.135 g (0.5 mmol) of 3a and 0.0986 g (0.0764 mL, 0.5 mmol) of p-toluenesulfonyl isocyanate; yield 0.148 g (63%); m.p. 228–232 °C; IR (KBr, cm−1): 3386, 3108, 3030, 2953, 2887, 1687, 1641, 1601, 1589, 1567, 1527, 1499, 1443, 1328, 1244, 1134, 1088, 1004, 914, 562; 1H-NMR (500 MHz, DMSO-d6): 2.35 (s, 3H, CH3), 3.50 (s, 4H, CH2-CH2), 4.13–4.16 (m, 2H, CH2), 4.19–4.22 (m, 2H, CH2), 7.23 (t, 1H, Ar), 7.32 (d, J = 7.8 Hz, 2H, Ar), 7.39 (t, 2H, Ar), 7.74 (d, J = 8.3 Hz, 2H, Ar), 8.01 (d, J = 8.3 Hz, 2H, Ar), 8.50 (br.s, 2H, 2 x NH); 1H-NMR (500 MHz, DMSO-d6+TFA): 2.30 (s, 3H, CH3), 3.79 (s, 4H, CH2-CH2), 4.33–4.35 (m, 4H, CH2-CH2), 7.23–7.27 (m, 3H, Ar), 7.37 (t, 2H, Ar), 7.73 (d, J = 8.3 Hz, 2H, Ar), 8.03 (d, J = 8.3 Hz, 2H, Ar), 9.15 (br.s, 3H, NH+NH2+); 13C-NMR (125 MHz, DMSO-d6+TFA): 21.18, 44.12 (two overlapping signals), 46.35, 52.13, 122.03 (two overlapping signals), 126.91, 127.80 (two overlapping signals), 129.16 (two overlapping signals), 129.68 (two overlapping signals), 138.21, 138.43, 143.76, 147.62, 149.25, 153.89, 155.81; m/z (ESI): 467 [M + H]+. Anal. Calcd for C21H22N8O3S (466.52): C, 54.07; H, 4.75; N, 24.02. Found: C, 54.01; H, 4.69; N, 23.88.
N-((7-(4,5-dihydro-1H-imidazol-2-yl)-2-(p-tolyl)-6,7-dihydro-2H-imidazo[2,1-c][1,2,4]triazol-3(5H)-ylidene)carbamoyl)-4-methylbenzenesulfonamide (6i). Starting from 0.142 g (0.5 mmol) of 3b and 0.0986 g (0.0764 mL, 0.5 mmol) of p-toluenesulfonyl isocyanate; yield 0.15 g (62%); m.p. 229–231 °C; IR (KBr, cm−1): 3346, 3063, 2953, 2889, 2808, 1686, 1644, 1617, 1523, 1443, 1363, 1332, 1315, 1159, 1092, 1022, 1012, 813, 754, 666, 585, 547; 1H-NMR (500 MHz, DMSO-d6): 2.31 (s, 3H, CH3), 2.35 (s, 3H, CH3), 3.49 (s, 4H, CH2-CH2), 4.12–4.15 (m, 2H, CH2), 4.18–4.22 (m, 2H, CH2), 7.18 (d, J = 8.3 Hz, 2H, Ar), 7.32 (d, J = 8.3 Hz, 2H, Ar), 7.73 (d, J = 8.3 Hz, 2H, Ar), 7.87 (d, J = 8.3 Hz, 2H, Ar), 8.35 (br.s, 2H, 2xNH); 1H-NMR (500 MHz, DMSO-d6+TFA): 2.31 (s, 3H, CH3), 2.33 (s, 3H, CH3), 3.81 (s, 4H, CH2-CH2), 4.30–4.33 (m, 2H, CH2), 4.35–4.39 (m, 2H, CH2), 7.21 (d, J = 8.5 Hz, 2H, Ar), 7.30 (d, J = 7.2 Hz, 2H, Ar), 7.74 (d, J = 7.2 Hz, 2H, Ar), 7.92 (d, J = 8.5 Hz, 2H, Ar), 15.46 (br.s, 3H, NH+NH2+); 13C-NMR (125 MHz, DMSO-d6+TFA): 20.94, 21.43, 44.08, 46.37, 52.23 (two overlapping signals), 121.96 (two overlapping signals), 127.84 (two overlapping signals), 129.70 (two overlapping signals), 129.81 (two overlapping signals), 135.89, 136.58, 138.48, 143.77, 147.53, 149.21, 153.83, 155.73; m/z (ESI): 481 [M + H]+. Anal. Calcd for C22H24N8O3S (480.54): C, 54.99; H, 5.03; N, 23.32. Found: C, 54.84; H, 5.13; N, 23.25.
1-(7-(4,5-Dihydro-1H-imidazol-2-yl)-2-phenyl-6,7-dihydro-2H-imidazo[2,1-c][1,2,4]triazol-3(5H)-ylidene)-3-phenylthiourea (7a). Starting from 0.135 g (0.5 mmol) of 3a and 0.0676 g (0.0597 mL, 0.5 mmol) of phenyl isothiocyanate; yield 0.17 g (84%); m.p. 221–223 °C; IR (KBr, cm−1): 3296, 3194, 3174, 3103 3023, 2945, 2878, 1676, 1638, 1596, 1558, 1514, 1460, 1421, 1380, 1325, 1285, 1189, 752, 691; 1H-NMR (500 MHz, DMSO-d6): 3.41–3.51 (m, 4H, CH2-CH2), 4.41 (s, 4H, CH2-CH2), 6.17 (s, 1H, NH), 6.97 (t, 1H, Ar), 7.21 (t, 2H, Ar), 7.31 (d, J = 7.2 Hz, 1H, Ar), 7.45 (t, 2H, Ar), 7.55 (d, J = 7.4 Hz, 2H, Ar), 7.85 (d, J = 7.9 Hz, 2H, Ar), 10.08 (s, 1H, NH); 13C-NMR (125 MHz, DMSO-d6, recorded at a temperature of 40 °C): 44.98, 49.34 (two overlapping signals), 51.85, 121.80 (two overlapping signals), 121.89 (two overlapping signals), 123.58, 127.27, 128.85 (two overlapping signals), 129.56 (two overlapping signals), 138.17, 141.14, 148.57, 151.75, 155.19, 181.54; m/z (ESI): 405 [M + H]+. Anal. Calcd for C20H20N8S (404.49): C, 59.39; H, 4.98; N, 27.70. Found: C, 59.42; H, 4.89; N, 27.65.
1-(7-(4,5-Dihydro-1H-imidazol-2-yl)-2-phenyl-6,7-dihydro-2H-imidazo[2,1-c][1,2,4]triazol-3(5H)-ylidene)-3-(p-tolyl)thiourea (7b). Starting from 0.135 g (0.5 mmol) of 3a and 0.0746 g (0.5 mmol) of p-tolyl isothiocyanate; crystallized from methanol; yield 0.12 g (57%); m.p. 212–214 °C; IR (KBr, cm−1): 3298, 3199, 3093, 3016, 2941, 2879, 1678, 1634, 1594, 1555, 1512, 1462, 1424, 1375, 1325, 1310, 1284, 1188, 1138, 752; 1H-NMR (500 MHz, CDCl3): 2.27 (s, 3H, CH3), 3.67–3.76 (m, 4H, CH2-CH2), 4.51–4.70 (m, 4H, CH2-CH2), 5.51 (br.s, 1H, NH), 6.91–7.02 (m, 2H, Ar), 7.26–7.39 (m, 5H, Ar), 7.77–7.99 (m, 2H, Ar), 8.10 (s, 1H, NH); m/z (ESI): 419 [M + H]+. Anal. Calcd for C21H22N8S (418.52): C, 60.27; H, 5.30; N, 26.77. Found: C, 60.19; H, 5.28; N, 26.75.
1-(4-Chlorophenyl)-3-(7-(4,5-dihydro-1H-imidazol-2-yl)-2-phenyl-6,7-dihydro-2H-imidazo[2,1-c][1,2,4]triazol-3(5H)-ylidene)thiourea (7c). Starting from 0.135 g (0.5 mmol) of 3a and 0.0848 g (0.5 mmol) of 4-chlorophenyl isothiocyanate; yield 0.13 g (59%); m.p. 229–231 °C; IR (KBr, cm−1): 3301, 3192, 3163, 3087, 3004, 2947, 2874, 1675, 1641, 1594, 1555, 1511, 1488, 1461, 1430, 1380, 1223, 1300, 1283, 1241, 1186, 1138, 1089, 916, 822, 778, 751, 644; 1H-NMR (500 MHz, DMSO-d6): 3.53 (s, 4H, CH2-CH2), 4.36–4.43 (m, 4H, CH2-CH2), 6.26 (br.s, 1H, NH), 7.24 (d, J = 8.8 Hz, 2H, Ar), 7.30 (t, 1H, Ar), 7.45 (t, 2H, Ar), 7.58 (m, 2H, Ar), 7.82 (d, J = 7.8 Hz, 2H, Ar), 10.19 (s, 1H, NH); m/z (ESI): 439 + 440 +441 [M + H]+. Anal. Calcd for C20H19ClN8S (438,94): C, 54.73; H, 4.36; N, 25.53. Found: C, 54.67; H, 4.31; N, 25.21.
1-(7-(4,5-Dihydro-1H-imidazol-2-yl)-2-phenyl-6,7-dihydro-2H-imidazo[2,1-c][1,2,4]triazol-3(5H)-ylidene)-3-(4-nitrophenyl)thiourea (7d). Starting from 0.135 g (0.5 mmol) of 3a and 0.09 g (0.5 mmol) of 4-nitrophenyl isothiocyanate; yield 0.15 g (67%); m.p. 253–255 °C; IR (KBr, cm−1): 3389, 3193, 3140, 3065, 3033, 2867, 1664, 1595, 1567, 1508, 1460, 1432, 1325, 1301, 1244, 1187, 1110, 772; 1H-NMR (500 MHz, DMSO-d6): 3.53 (s, 4H, CH2-CH2), 4.41 (s, 4H, CH2-CH2), 6.28 (br.s, 1H, NH), 7.34 (t, 1H, Ar), 7.48 (t, 2H, Ar), 7.81 (d, J = 8.3 Hz, 2H, Ar), 7.85 (d, J = 9.3 Hz, 2H, Ar), 8.08 (d, J = 9.3 Hz, 2H, Ar), 10.61 (s, 1H, NH); 1H-NMR (500 MHz, DMSO-d6+TFA): 3.84 (s, 4H, CH2-CH2), 4.56 (s, 4H, CH2-CH2), 7.32 (t, 1H, Ar), 7.45 (t, 2H, Ar), 7.83–7.86 (m, 4H, Ar), 8.03 (d, J = 9.3 Hz, 2H, Ar), 9.27 (s, 2H, NH+NH+), 10.69 (s, 1H, NH); 13C-NMR (125 MHz, DMSO-d6+TFA): 44.25 (two overlapping signals), 45.77, 53.05, 120.17 (two overlapping signals), 122.61 (two overlapping signals), 124.91 (two overlapping signals), 128.27, 129.66 (two overlapping signals), 137.41, 142.10, 146.78, 148.82, 150.30, 154.14, 182.08; m/z (ESI): 450 [M + H]+. Anal. Calcd for C20H19N9O2S (449.49): C, 53.44; H, 4.26; N, 28.05. Found: C, 53.34; H, 4.21; N, 28.12.

3.1.4. A General Procedure for Preparation of Compounds 8a–c and 9

To a stirring solution of compound 3a or 3b in anhydrous chloroform (5 mL) appropriate aryl chloride or sulfonyl chloride (sulfonic acid chloride) and anhydrous triethylamine were added (in the mole ratio of 1:2:6). A mixture was heated in an oil bath at 90 °C for 8 h. The progress of the reaction was controlled by TLC. After completion of the reaction the mixture was evaporated under reduced pressure and to the residue, 10 mL of 20% solution of potassium carbonate was added. The mixture was extracted with chloroform (3 × 20 mL). The organic extract was dried with anhydrous magnesium sulfate(VI), filtered, and concentrated under reduced pressure. The crude product was purified on silica gel by preparative thin-layer chromatography (chromatotron) or crystallization. In this manner, the following compounds were obtained.
4-Methyl-N-(7-(1-(4-methylbenzoyl)-4,5-dihydro-1H-imidazol-2-yl)-2-(p-tolyl)-6,7-dihydro-2H-imidazo[2,1-c][1,2,4]triazol-3(5H)-ylidene)benzamide (8a). Starting from 0.142 g (0.5 mmol) of 3b, 0.1546 g (1 mmol) of p-toluoyl chloride and 0.30357 g (0.418 mL, 3 mmol) of triethylamine; yield 0.14 g (27%); m.p. 245–248 °C; IR (KBr, cm−1): 3069, 3026, 2983, 2915, 2865, 1677, 1656, 1606, 1537, 1501, 1465, 1391, 1339, 1312, 1292, 820, 755; 1H-NMR (200 MHz, CDCl3): 2.30 (s, 3H, CH3), 2.39 (s, 3H, CH3), 2.45 (s, 3H, CH3), 3.81 (t, 2H, CH2), 4.03 (t, 2H, CH2), 4.54 (s, 4H, CH2-CH2), 7.05 (d, J = 8.4 Hz, 2H, Ar), 7.20 (d, J = 8.0 Hz, 2H, Ar), 7.28 (d, J = 7.6 Hz, 2H, Ar), 7.64–7.73 (m, 4H, Ar), 8.08 (d, J = 8.0 Hz, 2H, Ar); 13C-NMR (50 MHz, CDCl3): 21.43, 22.02, 22.18, 45.45, 52.09, 52.62, 52.70, 121.68 (two overlapping signals), 129.12 (two overlapping signals), 129.42 (two overlapping signals), 129.58 (two overlapping signals), 129.66 (two overlapping signals), 130.02 (two overlapping signals), 131.85, 135.29, 136.09, 136.39, 141.96, 143.96, 148.12, 149.75, 151.24, 171.46, 172.65; m/z (ESI): 520 [M + H]+. Anal. Calcd for C30H29N7O2 (519.60): C, 69.35; H, 5.63; N, 18.87. Found: C, 69.29; H, 5.61; N, 18.92.
4-Methoxy-N-(7-(1-(4-methoxybenzoyl)-4,5-dihydro-1H-imidazol-2-yl)-2-(p-tolyl)-6,7-dihydro-2H-imidazo[2,1-c][1,2,4]triazol-3(5H)-ylidene)benzamide (8b). Starting from 0.142 g (0.5 mmol) of 3b, 0.1706 g (1 mmol) of 4-methoxybenzoyl chloride (p-anisoyl chloride) and 0.30357 g (0.418 mL, 3 mmol) of triethylamine; yield 0.1 g (36%); m.p. 258–262 °C; IR (KBr, cm−1): 3076, 3010, 2964, 2905, 2838, 1672, 1604, 1537, 1505, 1462, 1417, 1401, 1341, 1316, 1291, 1252, 1172, 1160, 1029, 848, 772; 1H-NMR (200 MHz, CDCl3): 2.30 (s, 3H, CH3), 3.81 (t, 2H, CH2), 3.84 (s, 3H, OCH3), 3.89 (s, 3H, OCH3), 4.03 (t, 2H, CH2), 4.54 (s, 4H, CH2-CH2), 6.87–7.06 (m, 6H, Ar), 7.63 (d, J = 8.5 Hz, 2H, Ar), 7.80 (d, J = 8.8 Hz, 2H, Ar), 8.14 (d, J = 8.8 Hz, 2H, Ar); 13C-NMR (50 MHz, CDCl3): 21.42, 45.49, 52.15, 52.48, 52.78, 55.83, 56.06, 113.60 (two overlapping signals), 114.32 (two overlapping signals), 121.65 (two overlapping signals), 126.64, 129.42 (two overlapping signals), 130.62, 131.84 (two overlapping signals), 131.87 (two overlapping signals), 131.09, 136.39, 147.95, 149.63, 151.59, 162.66, 163.77, 171.14, 172.24; m/z (ESI): 552 [M + H]+. Anal. Calcd for C30H29N7O4 (551.60): C, 65.32; H, 5.30; N, 17.78. Found: C, 65.28; H, 5.34; N, 17.68.
4-Chloro-N-(7-(1-(4-chlorobenzoyl)-4,5-dihydro-1H-imidazol-2-yl)-2-phenyl-6,7-dihydro-2H-imidazo[2,1-c][1,2,4]triazol-3(5H)-ylidene)benzamide (8c). Starting from 0.135 g (0.5 mmol) of 3a, 0.175 g (1 mmol) of 4-chlorobenzoyl chloride and 0.30357 g (0.418 mL, 3 mmol) of triethylamine; eluent: dichloromethane:ethyl acetate:2-propanone:triethylamine (3:3:3:1, v/v/v/v); yield 0.1 g (18%); m.p. 199–204 °C; IR (KBr, cm−1): 3058, 2965, 2926, 2869, 1677, 1638, 1624, 1591, 1534, 1504, 1458, 1398, 1333, 1280, 1089, 1012, 845, 762, 754; 1H-NMR (500 MHz, DMSO-d6): 3.71 (t, 2H, CH2), 3.97 (t, 2H, CH2), 4.32 (m, 2H, CH2), 4.44 (t, 2H, CH2), 7.22 (t, 1H, Ar), 7.35 (t, 2H, Ar), 7.49 (d, J = 8.8 Hz, 2H, Ar), 7.60 (d, J = 8.3 Hz, 2H, Ar), 7.72 (d, J = 8.3 Hz, 2H, Ar), 7.77 (d, J = 8.3 Hz, 2H, Ar), 8.05 (d, J = 8.8 Hz, 2H, Ar); m/z (ESI): 547 [M + H]+. Anal. Calcd for C27H21Cl2N7O2 (546.41): C, 59.35; H, 3.87; N, 17.94. Found: C, 59.31; H, 3.84; N, 17.91.
N-(2-phenyl-7-(1-(phenylsulfonyl)-4,5-dihydro-1H-imidazol-2-yl)-6,7-dihydro-2H-imidazo[2,1-c][1,2,4]triazol-3(5H)-ylidene)benzenesulfonamide (9). Starting from 0.135 g (0.5 mmol) of 3a, 0.17662 g (0.1276 mL, 1 mmol) of benzenesulfonyl chloride and 0.30357 g (0.418 mL, 3 mmol) of triethylamine; eluent: dichloromethane:ethyl acetate:2-propanone:triethylamine (3:3:3:1, v/v/v/v); yield 0.121 g (44%); m.p. 213–216 °C; IR (KBr, cm−1): 3058, 2962, 2921, 2873, 1668, 1634, 1598, 1562, 1496, 1447, 1380, 1278, 1174, 1143, 1089, 936, 767, 732, 696, 608; 1H-NMR (200 MHz, CDCl3): 3.38 (t, 2H, CH2), 3.92 (t, 2H, CH2), 4.65–4.78 (m, 4H, CH2-CH2), 7.20–7.38 (m, 3H, Ar), 7.47–7.58 (m, 5H, Ar). 7.64–7.75 (m, 3H, Ar), 7.94–8.00 (m, 4H, Ar); 13C-NMR (50 MHz, CDCl3); 45.10, 50.17, 51.89, 53.59, 122.23 (two overlapping signals), 126.05 (two overlapping signals), 126.78, 127.64 (two overlapping signals), 128.61 (four overlapping signals), 129.60 (two overlapping signals), 131.70, 134.26, 137.07, 137.35, 143.26, 143.64, 149.10, 150.09; m/z (ESI): 550 [M + H]+. Anal. Calcd for C25H23N7O4S2 (549.62): C, 54.63; H, 4.22; N, 17.84. Found: C, 54.60; H, 4.26; N, 17.79.

3.2. X-ray Crystallography

Diffraction experiments were carried out at room temperature with an Oxford Diffraction SuperNova diffractometer using Cu Kα radiation for 5e and with an Oxford Diffraction Xcalibur E diffractometer using Mo Kα radiation for 8c. Diffraction data were processed with CrysAlisPro software [45]. The structures were solved with the program SIR2004 [46] and refined by the full-matrix least-squares method on F2 with SHELXL-2018/3 [47]. Hydrogen atoms were placed in calculated positions and refined as riding on their carriers, except the N-H group H atom in 5e, which was freely refined. For 8c, the final difference Fourier map showed a residual electron density peak of ca. 1 e/Å3 close to the inversion center and at a distance of 2.97 Å from O16. This peak was interpreted as a water molecule with occupancy 0.25 disordered around the inversion center. The H atom positions of the disordered water molecule were not determined. Illustrations were prepared with the Mercury software [48].
Crystal data for 5e (C20H21N7O2S, M = 423.50 g/mol): monoclinic, space group P21/c (No. 14), a = 11.0126(11) Å, b = 11.4338(10) Å, c = 15.7222(13) Å, β = 97.819(9)°, V = 1961.3(3) Å3, Z = 4, T = 294 K, μ(Cu Kα) = 1.754 mm−1, Dcalc = 1.434 g/cm3, 7252 reflections measured (8.104° ≤ 2Θ ≤ 133.18°), 3424 unique (Rint = 0.0271, Rsigma = 0.0346), which were used in all calculations. The final R1 was 0.0415 (I > 2σ(I)), and wR2 was 0.1244 (all data).
Crystal data for 8c (C27H21Cl2N7O2⋯0.25H2O), M = 550.91 g/mol): triclinic, space group P-1 (No. 2), a = 8.8784(4) Å, b = 9.4988(5) Å, c = 15.3376(9) Å, α = 81.192(4)°, β = 77.160(4)°, γ = 83.356(4)°, V = 1241.78(11) Å3, Z = 2, T = 298 K, μ(Mo Kα) = 0.304 mm−1, Dcalc = 1.43 g/cm3, 14,261 reflections measured (8.25° ≤ 2Θ ≤ 52.73°), 4889 unique (Rint = 0.0240, Rsigma = 0.0324), which were used in all calculations. The final R1 was 0.0484 (I > 2σ(I)) and wR2 was 0.1289 (all data).

3.3. In Vitro Anticancer Activity

All cell culture reagents were purchased from Sigma (Deisenhofen, Germany). Cancer cell lines were obtained from the German Collection of Microorganisms and Cell Cultures (DSMZ, Braunschweig, Germany). The culture medium for cell lines was RPMI-1640 medium containing 2 g/L HCO3 and 10% FCS. Cells were incubated in a humid atmosphere of 5% CO2 at 37 °C in 75 cm2 plastic culture flasks (Sarstedt, Nümbrecht, Germany) and were passaged shortly before becoming confluent. For the cytotoxicity studies, one-hundred microliters of a cell suspension were seeded into 96 well microtiter plates (Sarstedt) at a density of 1000 cells per well except for the LCLC-103H cell line, which was plated out at 250 cells per well. One day after plating, the cells were treated with the test substance at five concentrations per compound. The 1000-fold concentrated stock solutions in DMF or DMSO were serially diluted by 50% in DMF or DMSO to give the feed solutions, which were diluted 500-fold into the culture medium. The controls received DMF or DMSO. Each concentration was tested in eight wells, with each well receiving 100 μL of the medium containing the substance. The concentration ranges were chosen to bracket the expected IC50 values as best as possible. Cells were then incubated for 96 h, after which time, the medium was removed and replaced with 1% glutaraldehyde/PBS. Optical density (OD) was measured at λ = 570 nm by the use of a Sunrise plate reader (Anthos 2010, Salzburg, Austria). Corrected T/C values were calculated according to the equation: (T/C)corr(%) = (O.D.T − O.D.c.0)/(O.D.C − O.D.c.0) × 100, where O.D.T is the mean absorbance of the treated cells, O.D.C the mean absorbance of the controls, and O.D.c.0 the mean absorbance at the time the drug was added. The IC50 values were estimated by linear least-squares regression of the T/Ccorr values versus the logarithm of the substance concentration; only concentrations that yielded T/Ccorr values between 10% and 90% were used in the calculation. The reported IC50 values are the averages of three independent experiments.

3.4. Annexin V Assay

For this assay, the SISO cell line was used. Cells were detached by trypsinization and counted with a Coulter Counter Z2. Two-hundred fifty-thousand cells were seeded in 2 mL per well of a 6 well plate and allowed to attach overnight. The stock solutions of compound 5m dissolved in DMF were added to the culture medium to the desired end concentration of 10 µM. For the control, only the solvent was added. The old medium was removed, and 3 mL of fresh medium containing the test compound were added to each well. The plates were incubated for 24 h. After centrifugation, supernatants were removed, and the cells were washed once with PBS, then 500 µL of a 25% trypsin/EDTA/PBS solution were added to each well. Plates were incubated for 5 min, and 1.0 mL of medium was added per well. Cells were resuspended, transferred to 1.5 mL tubes and centrifuged for 5 min. The supernatant was discarded, and 500 µL of 1× binding buffer were added to each tube followed by a 5 min centrifugation. Afterward, the supernatant was removed and 50 µL of 1× binding buffer were added to resuspend the cells. Five microliters of Annexin V-FITC staining solution were pipetted into each tube. To obtain a homogenous suspension, tubes were vortexed and incubated in the dark for 15 min at room temperature. Afterward, 500 µL of 1× binding buffer were added per tube to wash the cells. Tubes were centrifuged for 5 min, and the supernatant was aspired completely. The cell pellet was resuspended in 250 µL 1× binding buffer. Immediately before measurement, two-point-five microliters of the PI solution were added. The prepared samples were analyzed by flow cytometry using the FITC signal detector (FL1) and the phycoerythrin emission signal detector (FL2).

4. Conclusions

The newly obtained 7-(4,5-dihydro-1H-imidazol-2-yl)-2-aryl-6,7-dihydro-2H-imidazo[2,1-c][1,2,4]triazol-3(5H)-imine derivatives 3ac, 4ae, 5an, 6ai, 7ad, 8ac, and 9 constitute a small library of heterocyclic compounds in the anticancer drugs design process. The tested compounds exhibit cytotoxic activity, and their calculated IC50 values are in the range of 2.38–14.74 µM. The most active compounds are amide 4e and sulfonamide 5l, whereas compound 5m shows the highest selectivity for the SISO cell line. Preliminary results from the Annexin-V assay indicate that N-(7-(4,5-dihydro-1H-imidazol-2-yl)-2-phenyl-6,7-dihydro-2H-imidazo[2,1-c][1,2,4]triazol-3(5H)-ylidene)-4-phenoxybenzenesulfonamide (5m) induces apoptosis in human cancer cell line SISO.

Supplementary Materials

The following are available online. Supplementary data including the NMR spectra of 7-(4,5-dihydro-1H-imidazol-2-yl)-2-aryl-6,7-dihydro-2H-imidazo[2,1-c][1,2,4]triazol-3(5H)-imine derivatives associated with this article are available online. CCDC 2020645-2020646 contains the supplementary crystallographic data for this paper. These data can be obtained free of charge via http://www.ccdc.cam.ac.uk/conts/retrieving.html (or from the CCDC, 12 Union Road, Cambridge CB2 1EZ, UK; Fax: +44-1223-336033; E-mail: deposit@ccdc.cam.ac.uk).

Author Contributions

F.S. and Ł.B. conceived of and designed the experiments; Ł.B., L.W., and A.N. performed the experiments; M.G. analyzed the data; Ł.B., A.K., M.G., and P.J.B. wrote the paper. All authors have read and agreed to the published version of the manuscript.

Funding

This research was supported by the Funds for Statutory Activity of the Medical University of Gdańsk (ST-020038/07).

Acknowledgments

The NMR spectra were carried out at The Nuclear Magnetic Resonance Laboratory, Gdańsk University of Technology, Poland, and The Nuclear Magnetic Resonance Spectroscopy Laboratory, Collegium Medicum, Jagiellonian University, Kraków, Poland.

Conflicts of Interest

The authors declare no conflict of interest.

References

  1. Krasavin, M. Biologically active compounds based on the privileged 2-imidazoline scaffold: The world beyond adrenergic/imidazoline receptor modulators. Eur. J. Med. Chem. 2015, 97, 525–537. [Google Scholar] [CrossRef] [PubMed]
  2. Shetnev, A.; Osipyan, A.; Baykov, S.; Sapegin, A.; Chirkova, Z.; Korsakov, M.; Petzer, A.; Engelbrecht, I.; Petzer, J.P. Novel monoamine oxidase inhibitors based on the privileged 2-imidazoline molecular framework. Bioorg. Med. Chem. Lett. 2019, 29, 40–46. [Google Scholar] [CrossRef] [PubMed]
  3. Zhou, C.-H.; Wang, Y. Recent researches in triazole compounds as medicinal drugs. Curr. Med. Chem. 2012, 19, 239–280. [Google Scholar] [CrossRef] [PubMed]
  4. Kumar, S.; Kavitha, H.P. Synthesis and biological applications of triazole derivatives-a review. Mini-Rev. Org. Chem. 2013, 10, 40–65. [Google Scholar] [CrossRef]
  5. Keri, R.S.; Patil, S.A.; Budagumpi, S.; Nagaraja, B.M. Triazole: A promising antitubercular agent. Chem. Biol. Drug Des. 2015, 86, 410–423. [Google Scholar] [CrossRef] [PubMed]
  6. Uliassi, E.; Piazzi, L.; Belluti, F.; Mazzanti, A.; Kaiser, M.; Brun, R.; Moraes, C.B.; Freitas-Junior, L.H.; Gul, S.; Kuzikov, M.; et al. Development of a focused library of triazole-linked privileged-structure-based conjugates leading to the discovery of novel phenotypic hits against protozoan parasitic infections. ChemMedChem 2018, 13, 678–683. [Google Scholar] [CrossRef]
  7. Wen, X.; Zhou, Y.; Zeng, J.; Liu, X. Recent development of 1,2,4-triazole-containing compounds as anticancer agents. Curr. Top. Med. Chem. 2020, 20, 1441–1460. [Google Scholar] [CrossRef]
  8. Zoidis, G.; Kritsi, E.; Lecinska, P.; Ivanov, M.; Zoumpoulakis, P.; Sokovic, M.; Catto, M. The triazole ring as a privileged scaffold for putative antifungals: Synthesis and evaluation of a series of new analogues. ChemMedChem 2020, 15. [Google Scholar] [CrossRef]
  9. Johnson, S.A.; Richardson, D.S. Anthracyclines in haematology: Pharmacokinetics and clinical studies. Blood Rev. 1998, 12, 52–71. [Google Scholar] [CrossRef]
  10. Capranico, G.; Guano, F.; Moro, S.; Zagotto, G.; Sissi, C.; Gatto, B.; Zunino, F.; Menta, E.; Palumbo, M. Mapping drug interactions at the covalent topoisomerase II-DNA complex by bisantrene/amsacrine congeners. J. Biol. Chem. 1998, 273, 12732–12739. [Google Scholar] [CrossRef]
  11. Bilik, P.; Tanious, F.; Kumar, A.; Wilson, W.D.; Boykin, D.W.; Colson, P.; Houssier, C.; Facompré, M.; Tardy, C.; Bailly, C. Novel dications with unfused aromatic systems: Trithiophene and trifuran derivatives of furimidazoline. ChemBioChem 2001, 2, 559–569. [Google Scholar] [CrossRef]
  12. Ester, K.; Hranjec, M.; Piantanida, I.; Ćaleta, I.; Jarak, I.; Pavelić, K.; Kralj, M.; Karminski-Zamola, G. Novel derivatives of pyridylbenzo[b]thiophene-2-carboxamides and benzo[b]thieno[2,3-c]naphthyridin-2-ones: Minor structural variations provoke major differences of antitumor action mechanisms. J. Med. Chem. 2009, 52, 2482–2492. [Google Scholar] [CrossRef] [PubMed]
  13. Zhao, Y.; Bernard, D.; Wang, S. Small molecule inhibitors of MDM2-p53 and MDMX-p53 interactions as new cancer therapeutics. BioDiscovery 2013, 4, 1–15. [Google Scholar] [CrossRef]
  14. Zhao, Y.; Aguilar, A.; Bernard, D.; Wang, S. Small-molecule inhibitors of the MDM2-p53 protein-protein interaction (MDM2 Inhibitors) in clinical trials for cancer treatment. J. Med. Chem. 2015, 58, 1038–1052. [Google Scholar] [CrossRef]
  15. Tisato, V.; Voltan, R.; Gonelli, A.; Secchiero, P.; Zauli, G. MDM2/X inhibitors under clinical evaluation: Perspectives for the management of hematological malignancies and pediatric cancer. J. Hematol. Oncol. 2017, 10, 133–149. [Google Scholar] [CrossRef]
  16. Rgeeix Inc. Inhibitors of Creatine Transport and Uses Thereof. WO2015168465, 30 April 2015. [Google Scholar]
  17. OncoArendi Therapeutics Sp. z o.o. Derivatives of 1-(Substituted Sulfonyl)-2-Aminoimidazoline as Antitumor and Antiproliferative Agents. WO2014167446, 27 March 2014. [Google Scholar]
  18. Tsigelny, I.F.; Mukthavaram, R.; Kouznetsova, V.L.; Chao, Y.; Babic, I.; Nurmemmedov, E.; Pastorino, S.; Jiang, P.; Calligaris, D.; Agar, N.; et al. Multiple spatially related pharmacophores define small molecule inhibitors of OLIG2 in glioblastoma. Oncotarget 2017, 8, 22370–22384. [Google Scholar] [CrossRef]
  19. The Regents of the University of California. Novel Therapeutics for Brain Cancer. WO2013188813, 19 December 2013. [Google Scholar]
  20. Moertel, C.G.; Fleming, T.R.; Macdonald, J.S.; Haller, D.G.; Laurie, J.A.; Tangen, C.M.; Ungerleider, J.S.; Emerson, W.A.; Tormey, D.C.; Glick, J.H.; et al. Fluorouracil plus levamisole as effective adjuvant therapy after resection of stage III colon carcinoma: A final report. Ann. Int. Med. 1995, 122, 321–326. [Google Scholar] [CrossRef]
  21. Carlini, P.; Bria, E.; Giannarelli, D.; Ferretti, G.; Felici, A.; Papaldo, P.; Fabi, A.; Nistico, C.; Di Cosimo, S.; Ruggeri, E.M.; et al. New aromatase inhibitors as second-line endocrine therapy in postmenopausal patients with metastatic breast carcinoma. Cancer 2005, 104, 1335–1342. [Google Scholar] [CrossRef]
  22. Decker, M. Hybrid molecules incorporating natural products: Applications in cancer therapy, neurodegenerative disorders and beyond. Curr. Med. Chem. 2011, 18, 1464–1475. [Google Scholar] [CrossRef]
  23. Solomon, V.R.; Hu, C.; Lee, H. Hybrid pharmacophore design and synthesis of isatin-benzothiazole analogs for their anti-breast cancer activity. Bioorg. Med. Chem. 2009, 17, 7585–7592. [Google Scholar] [CrossRef]
  24. Liu, K.; Zhang, D.; Chojnacki, J.; Du, Y.; Fu, H.; Grant, S.; Zhang, S. Design and biological characterization of hybrid compounds of curcumin and thalidomide for multiple myeloma. Org. Biomol. Chem. 2013, 11, 4757–4763. [Google Scholar] [CrossRef] [PubMed]
  25. Tang, C.; Li, C.; Zhang, S.; Hu, Z.; Wu, J.; Dong, C.; Huang, J.; Zhou, H.-B. Novel bioactive hybrid compound dual targeting estrogen receptor and histone deacetylase for the treatment of breast cancer. J. Med. Chem. 2015, 58, 4550–4572. [Google Scholar] [CrossRef] [PubMed]
  26. Kelly, P.M.; Keely, N.O.; Bright, S.A.; Yassin, B.; Ana, G.; Fayne, D.; Zisterer, D.M.; Meegan, M.J. Novel selective estrogen receptor ligand conjugates incorporating endoxifen-combretastatin and cyclofenil-combretastatin hybrid scaffolds: Synthesis and biochemical evaluation. Molecules 2017, 22, 1440. [Google Scholar] [CrossRef] [PubMed]
  27. Pingaew, R.; Saekee, A.; Mandi, P.; Nantasenamat, C.; Prachayasittikul, S.; Ruchirawat, S.; Prachayasittikul, V. Synthesis, biological evaluation and molecular docking of novel chalcone-coumarin hybrids as anticancer and antimalarial agents. Eur. J. Med. Chem. 2014, 85, 65–76. [Google Scholar] [CrossRef]
  28. Makowska, A.; Sączewski, F.; Bednarski, P.J.; Sączewski, J.; Balewski, Ł. Hybrid molecules composed of 2,4-diamino-1,3,5-triazines and 2-imino-coumarins and coumarins. Synthesis and cytotoxic properties. Molecules 2018, 23, 1616. [Google Scholar] [CrossRef]
  29. Makowska, A.; Wolff, L.; Sączewski, F.; Bednarski, P.J.; Kornicka, A. Synthesis and cytotoxic evaluation of benzoxazole/benzothiazole-2-imino-coumarin hybrids and their coumarin analogues as potential anticancer agents. Pharmazie 2019, 74, 648–657. [Google Scholar]
  30. Sztanke, K.; Tuzimski, T.; Rzymowska, J.; Pasternak, K.; Kandefer-Szerszeń, M. Synthesis, determination of the lipophilicity, anticancer and antimicrobial properties of some fused 1,2,4-triazole derivatives. Eur. J. Med. Chem. 2008, 43, 404–419. [Google Scholar] [CrossRef]
  31. Hassan, A.Y.; Sarg, M.T.; El Deeb, M.A.; El Rabeeb, S.I. Anticancer activity screening of a series of imidazo[2,1-c][1,2,4]triazolone and imidazo[1,2-b][1,2,4]triazolone derivatives synthesized under solvent free conditions. Org. Supramol. Chem. 2020, 5, 4755–4760. [Google Scholar] [CrossRef]
  32. Urich, R.; Wishart, G.; Kiczun, M.; Richters, A.; Tidten-Luksch, N.; Rauh, D.; Sherborne, B.; Wyatt, P.G.; Brenk, R. De novo design of protein kinase inhibitors by in silico identification of hinge region-binding fragments. ACS Chem. Biol. 2013, 8, 1044–1052. [Google Scholar] [CrossRef]
  33. Sztanke, K.; Pasternak, K.; Sidor-Wójtowicz, A.; Truchlińska, A.; Jóźwiak, K. Synthesis of imidazole and imidazo[2,1-c][1,2,4]triazole aryl derivatives containig the methylthio group as possibile antibacterial agents. Bioorg. Med. Chem. 2006, 14, 3635–3642. [Google Scholar] [CrossRef]
  34. Aouali, M.; Allouche, F.; Zouari, I.; Mhalla, D.; Trigui, M.; Chabchoub, F. Synthesis, antibacterial, and antifungal activities of imidazo [2,1-c] [1,2,4] triazoles and 1,2,4-triazolo [4,3-a] pyrimidinones. Synth. Commun. 2014, 44, 748–756. [Google Scholar] [CrossRef]
  35. Aouali, M.; Mhalla, D.; Allouche, F.; Kaim, L.E.; Tounsi, S.; Trigui, M.; Chabchoub, F. Synthesis, antimicrobial and antioxidant activities of imidazotriazoles and New multicomponent reaction toward 5-amino-1-phenyl [1,2,4] triazole derivatives. Med. Chem. Res. 2015, 24, 2734–2741. [Google Scholar] [CrossRef]
  36. Al-Tamamy, H.A.; Fattah, M.E.A. Synthesis and antibacterial activity of some new imidazole, imidazo [2,1-c] triazole and imidazo [1,2-e] tetrazole derivatives. Orient. J. Chem. 2010, 26, 421–427. [Google Scholar]
  37. Sztanke, K.; Pasternak, K.; Sztanke, M.; Rajtar, B.; Polz-Dacewicz, M. Antiviral evaluation of a novel ethyl 1-(7-phenyl-2H-3,5,6,7-tetrahydroimidazo [2,1-c] [1,2,4] triazol-3-yl) formate. Bull. Vet. Inst. Pulawy 2007, 51, 481–484. [Google Scholar]
  38. Brzozowski, Z.; Sączewski, F. A new type of mixed anhydride and its applications to the synthesis of 7-substituted 8-chloro-5,5-dioxoimidazo [1,2-b] [1,4,2] benzodithiazines with in vitro antitumor activity. J. Med. Chem. 2002, 45, 430–437. [Google Scholar] [CrossRef]
  39. Brzozowski, Z.; Sączewski, F. Synthesis and antitumor activity of novel 2-amino-4-(3,5,5-trimethyl-2-pyrazolino)-1,3,5-triazine derivatives. Eur. J. Med. Chem. 2002, 37, 709–720. [Google Scholar] [CrossRef]
  40. Sączewski, F.; Dziemidowicz-Borys, E.; Bednarski, P.J.; Grünert, R.; Gdaniec, M.; Tabin, P.J. Synthesis, crystal structure and biological activities of copper (II) complexes with chelating bidentate 2-substituted benzimidazole ligands. Inorg. Biochem. 2006, 100, 1389–1398. [Google Scholar] [CrossRef]
  41. Balewski, Ł.; Sączewski, F.; Bednarski, J.P.; Gdaniec, M.; Borys, E.; Makowska, A. Structural diversity of copper (II) complexes with N-(2-pyridyl) imidazolidin-2-ones (thiones) and their in vitro antitumor activity. Molecules 2014, 19, 17026–17051. [Google Scholar] [CrossRef]
  42. Mylari, B.L. Preparation of 2-Aryl-as-Triazine-3,5(2H,4H)-Diones. U.S. Patent 3882115A, 6 May 1975. [Google Scholar]
  43. Trani, A.; Bellasio, E. Synthesis of 2-chloro-2-imidazoline and its reactivity with aromatic amines, phenols, and thiophenols. J. Heterocycl. Chem. 1974, 11, 257–261. [Google Scholar] [CrossRef]
  44. Bracht, K.; Boubakari; Grünert, R.; Bednarski, J.P. Correlations between the activities of 19 antitumor agents and the intracellular glutathione concentrations in a panel of 14 human cancer cell lines: Comparisons with the National Cancer Institute data. Anticancer Drugs 2006, 11, 257–261. [Google Scholar]
  45. Agilent Technologies. CrysAlisPro Software System, Version 1.171.37.31; Agilent Technologies Ltd.: Oxfordshire, UK, 2014. [Google Scholar]
  46. Burla, M.C.; Caliandro, R.; Camalli, M.; Carrozzini, B.; Cascarano, G.L.; De Caro, L.; Giacovazzo, C.; Polidori, G.; Spagna, R.J. SIR2004: An improved tool for crystal structure determination and refinement. J. Appl. Cryst. 2005, 38, 381–388. [Google Scholar] [CrossRef]
  47. Sheldrick, G.M. Crystal structure refinement with SHELXL. Acta Cryst. 2015, C71, 3–8. [Google Scholar]
  48. Macrae, C.F.; Sovago, I.; Cottrell, S.J.; Galek, P.T.A.; McCabe, P.; Pidcock, E.; Platings, M.; Shields, G.P.; Stevens, J.S.; Towler, M.; et al. Mercury 4.0: From visualization to analysis, design and prediction. J. Appl. Cryst. 2020, 53, 226–235. [Google Scholar] [CrossRef] [PubMed]
Figure 1. Nutlin (RG7112, RO5045337) and (S)-6-phenyl-2,3,5,6-tetrahydroimidazo[2,1-b]thiazole (levamisole).
Figure 1. Nutlin (RG7112, RO5045337) and (S)-6-phenyl-2,3,5,6-tetrahydroimidazo[2,1-b]thiazole (levamisole).
Molecules 25 05924 g001
Figure 2. General structure of novel 7-(4,5-dihydro-1H-imidazol-2-yl)-2-aryl-6,7-dihydro-2H-imidazo[2,1-c][1,2,4]triazol-3(5H)-imines (A) and the series of amide derivatives (B), sulfonamide derivatives (C), ureas or thioureas (D), and N,N-disubstituted 7-(4,5-dihydro-1H-imidazol-2-yl)-2-aryl-6,7-dihydro-2H-imidazo[2,1-c][1,2,4]triazol-3(5H)-imine derivatives (E).
Figure 2. General structure of novel 7-(4,5-dihydro-1H-imidazol-2-yl)-2-aryl-6,7-dihydro-2H-imidazo[2,1-c][1,2,4]triazol-3(5H)-imines (A) and the series of amide derivatives (B), sulfonamide derivatives (C), ureas or thioureas (D), and N,N-disubstituted 7-(4,5-dihydro-1H-imidazol-2-yl)-2-aryl-6,7-dihydro-2H-imidazo[2,1-c][1,2,4]triazol-3(5H)-imine derivatives (E).
Molecules 25 05924 g002
Scheme 1. Synthesis of 7-(4,5-dihydro-1H-imidazol-2-yl)-2-aryl-6,7-dihydro-2H-imidazo[2,1-c][1,2,4]triazol-3(5H)-imine derivatives 3a–c in the reaction of 1-arylhydrazinecarbonitriles 1a–c with 2-chloro-4,5-dihydro-1H-imidazole (2).
Scheme 1. Synthesis of 7-(4,5-dihydro-1H-imidazol-2-yl)-2-aryl-6,7-dihydro-2H-imidazo[2,1-c][1,2,4]triazol-3(5H)-imine derivatives 3a–c in the reaction of 1-arylhydrazinecarbonitriles 1a–c with 2-chloro-4,5-dihydro-1H-imidazole (2).
Molecules 25 05924 sch001
Scheme 2. Synthesis of amides 4a–e and sulfonamides 5a–n in the reactions of acyl or sulfonyl chlorides with compounds 3a–c.
Scheme 2. Synthesis of amides 4a–e and sulfonamides 5a–n in the reactions of acyl or sulfonyl chlorides with compounds 3a–c.
Molecules 25 05924 sch002
Scheme 3. Synthesis of ureas 6a–i and thioureas 7a–d in the reactions of compounds 3a–c with aryl isocyanates or aryl isothiocyanates.
Scheme 3. Synthesis of ureas 6a–i and thioureas 7a–d in the reactions of compounds 3a–c with aryl isocyanates or aryl isothiocyanates.
Molecules 25 05924 sch003
Scheme 4. Synthesis of N-(7-(1-benzoyl-4,5-dihydro-1H-imidazol-2-yl)-2-aryl-6,7-dihydro-2H-imidazo[2,1-c][1,2,4]triazol-3(5H)-ylidene)benzamides 8a–c and N-(2-phenyl-7-(1-(phenylsulfonyl)-4,5-dihydro-1H-imidazol-2-yl)-6,7-dihydro-2H-imidazo[2,1-c][1,2,4]triazol-3(5H)-ylidene)benzenesulfonamide (9).
Scheme 4. Synthesis of N-(7-(1-benzoyl-4,5-dihydro-1H-imidazol-2-yl)-2-aryl-6,7-dihydro-2H-imidazo[2,1-c][1,2,4]triazol-3(5H)-ylidene)benzamides 8a–c and N-(2-phenyl-7-(1-(phenylsulfonyl)-4,5-dihydro-1H-imidazol-2-yl)-6,7-dihydro-2H-imidazo[2,1-c][1,2,4]triazol-3(5H)-ylidene)benzenesulfonamide (9).
Molecules 25 05924 sch004
Figure 3. Molecular structure of 5e. Displacement ellipsoids are shown at the 50% probability level.
Figure 3. Molecular structure of 5e. Displacement ellipsoids are shown at the 50% probability level.
Molecules 25 05924 g003
Figure 4. Molecular structure of 8c. Displacement ellipsoids are shown at the 50% probability level. The disordered water molecule is not shown.
Figure 4. Molecular structure of 8c. Displacement ellipsoids are shown at the 50% probability level. The disordered water molecule is not shown.
Molecules 25 05924 g004
Figure 5. Annexin V assay results for compound 5m on cell line SISO following a 24 h incubation. Data displayed as the mean ± standard deviation. Statistical comparison of treatment conditions with solvent control DMF was performed via one-way ANOVA and Dunnett’s multiple comparison post-hoc test in GraphPad Prism 7, * p < 0.05, n = 3.
Figure 5. Annexin V assay results for compound 5m on cell line SISO following a 24 h incubation. Data displayed as the mean ± standard deviation. Statistical comparison of treatment conditions with solvent control DMF was performed via one-way ANOVA and Dunnett’s multiple comparison post-hoc test in GraphPad Prism 7, * p < 0.05, n = 3.
Molecules 25 05924 g005
Table 1. Cytotoxic activity as IC50 values (µM, average ± SD of three independent experiments) of 7-(4,5-dihydro-1H-imidazol-2-yl)-2-aryl-6,7-dihydro-2H-imidazo[2,1-c][1,2,4]triazol-3(5H)-imine derivatives 4e, 5e, 5im, 6e, 6f, and 7c on human tumor cell lines compared to cisplatin after 96 h.
Table 1. Cytotoxic activity as IC50 values (µM, average ± SD of three independent experiments) of 7-(4,5-dihydro-1H-imidazol-2-yl)-2-aryl-6,7-dihydro-2H-imidazo[2,1-c][1,2,4]triazol-3(5H)-imine derivatives 4e, 5e, 5im, 6e, 6f, and 7c on human tumor cell lines compared to cisplatin after 96 h.
Cell Line/CompoundSISORT-112
4e2.87 ± 0.413.06 ± 0.38
5e14.74 ± 0.47nd
5i8.13 ± 1.64>10
5j7.36 ± 1.61nd
5k3.42 ± 0.585.59 ± 0.66
5l2.38 ± 0.203.77 ± 0.64
5m5.37 ± 0.33>10
6e6.65 ± 0.55>10
6f3.75 ± 1.126.01 ± 0.85
7c14.16 ± 0.80nd
cisplatin ref. [44]0.24 ± 0.061.22 ± 0.13
nd—not determined.
Sample Availability: Not available.
Publisher’s Note: MDPI stays neutral with regard to jurisdictional claims in published maps and institutional affiliations.

Share and Cite

MDPI and ACS Style

Balewski, Ł.; Sączewski, F.; Bednarski, P.J.; Wolff, L.; Nadworska, A.; Gdaniec, M.; Kornicka, A. Synthesis, Structure and Cytotoxicity Testing of Novel 7-(4,5-Dihydro-1H-imidazol-2-yl)-2-aryl-6,7-dihydro-2H-imidazo[2,1-c][1,2,4]triazol-3(5H)-Imine Derivatives. Molecules 2020, 25, 5924. https://doi.org/10.3390/molecules25245924

AMA Style

Balewski Ł, Sączewski F, Bednarski PJ, Wolff L, Nadworska A, Gdaniec M, Kornicka A. Synthesis, Structure and Cytotoxicity Testing of Novel 7-(4,5-Dihydro-1H-imidazol-2-yl)-2-aryl-6,7-dihydro-2H-imidazo[2,1-c][1,2,4]triazol-3(5H)-Imine Derivatives. Molecules. 2020; 25(24):5924. https://doi.org/10.3390/molecules25245924

Chicago/Turabian Style

Balewski, Łukasz, Franciszek Sączewski, Patrick J. Bednarski, Lisa Wolff, Anna Nadworska, Maria Gdaniec, and Anita Kornicka. 2020. "Synthesis, Structure and Cytotoxicity Testing of Novel 7-(4,5-Dihydro-1H-imidazol-2-yl)-2-aryl-6,7-dihydro-2H-imidazo[2,1-c][1,2,4]triazol-3(5H)-Imine Derivatives" Molecules 25, no. 24: 5924. https://doi.org/10.3390/molecules25245924

APA Style

Balewski, Ł., Sączewski, F., Bednarski, P. J., Wolff, L., Nadworska, A., Gdaniec, M., & Kornicka, A. (2020). Synthesis, Structure and Cytotoxicity Testing of Novel 7-(4,5-Dihydro-1H-imidazol-2-yl)-2-aryl-6,7-dihydro-2H-imidazo[2,1-c][1,2,4]triazol-3(5H)-Imine Derivatives. Molecules, 25(24), 5924. https://doi.org/10.3390/molecules25245924

Article Metrics

Back to TopTop