Ripening and Storage Time Effects on the Aromatic Profile of New Table Grape Cultivars in Chile
Abstract
1. Introduction
2. Results and Discussion
2.1. Progression of Basic Physical and Chemical Variables in the Table Grape Berries
2.2. Comparison among the Different Table Grape Volatile Profiles
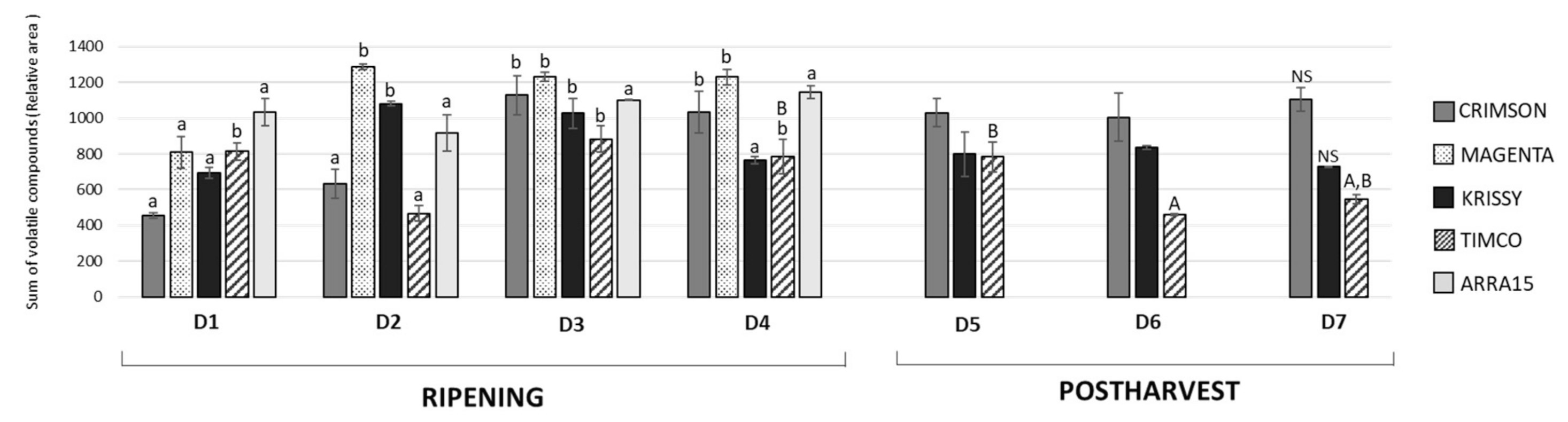
2.3. Evolution of Volatile Compounds during Ripening
2.4. Effects on Volatile Compounds during Storage Time
2.5. Multivariate Analysis
3. Materials and Methods
3.1. Plant Material
3.2. Reagents and Standards
3.3. Berry General Analyses
3.4. Solid-Phase Microextraction (SPME) and Gas Chromatography/Mass Spectrometry Analysis
3.5. Statistical Analysis
4. Conclusions
Supplementary Materials
Author Contributions
Funding
Acknowledgments
Conflicts of Interest
References
- International Organization of Vine and Wine, (OIV). Statistical Report on World Vitiviniculture. Available online: www.oiv.int/public/medias/6782/oiv-2019-statistical-report-on-world-vitiviniculture.pdf (accessed on 16 September 2020).
- Ataka, A.; Kahraman, A.K. New table grapes in Turkey. In BIO Web of Conferences, 37th World Congress of Vine and Wine and 12th General Assembly of the OIV (Part 1); EDP Sciences: Mendoza, Argentina, 2014; pp. 1–7. [Google Scholar] [CrossRef]
- Callahan, A.M. Breeding for fruit quality. Acta Hortic. 2003, 622, 295–302. [Google Scholar]
- Doligez, A.; Audiot, E.; Baumes, R.; This, P. QTLs for Muscat flavor and monoterpenic odorant content in grapevine (Vitis vinifera L.). Mol Breed. 2006, 18, 109–125. [Google Scholar]
- Wu, Y.; Duan, S.; Zhao, L.; Gao, Z.; Luo, M.; Song, S.; Xu, W.; Zhang, C.; Ma, C.; Wang, S. Aroma characterization based on aromatic series analysis in table grapes. Sci. Rep. 2016, 6, 1–16. [Google Scholar]
- Kuhn, N.; Guan, L.; Wu Dai, Z.; Wu, B.H.; Lauvergeat, V.; Gomès, E.; Li, S.H.; Godoy, F.; Arce-Johnson, P.; Delrot, S. Berry ripening: Recently heard through the grapevine. J. Exp. Bot. 2014, 65, 4543–4559. [Google Scholar]
- Coombe, B.G. Growth Stages of the Grapevine: Adoption of a system for identifyinggrapevine growth stages. Aust. J. Grape Wine Res. 1995, 1, 104–110. [Google Scholar]
- Conde, C.; Silva, P.; Fontes, N.; Dias, A.C.P.; Tavares, R.M.; Sousa, M.J.; Agasse, A.; Delrot, S.; Geros, H. Biochemical changes throughout grape berry development and fruit and wine quality. Food 2007, 1, 1–22. [Google Scholar]
- Ebeler, S.E.; Thorngate, J.H. Wine chemistry and flavor: Looking into the crystal glass. J. Agric. Food Chem. 2009, 57, 8098–8108. [Google Scholar]
- Jayasena, V.; Cameron, Y. Brix/Acid ratio as a predictor of consumer acceptability of Crimson Seedless table grapes. J. Food Qual. 2008, 31, 736–750. [Google Scholar]
- Yang, C.; Wang, Y.; Wu, B.; Fang, J.; Li, S. Volatile compounds evolution of three table grapes with different flavour during and after maturation. Food Chem. 2011, 1280, 823–830. [Google Scholar]
- Eurofresh. Chile’s Grape Exports Remain Stable Despite Drought. Available online: www.eurofresh-distribution.com/news/chiles-grape-exports-remain-stable-despite-drought (accessed on 17 September 2020).
- Cid, P.; García, M.; Pinolef, A.; Barba, P. Phenotyping tools for genetic improvement of table grapes in Chile. Acta Hortic. 2019, 1248, 267–274. [Google Scholar]
- Salazar, E.; Durán, V.; Araya, C.; García, M.; Barba, P. Advances in phenology and harvest characterization of the Chilean Vitis sp. germplasm collection and its use in table grape breeding. In BIO Web of Conferences; EDP Sciences: Les Ulis, France, 2020; Volume 25. [Google Scholar]
- ASOEX. Available online: www.asoex.cl/estadisticas-de-exportacion.html (accessed on 15 September 2020).
- Park, S.K.; Morrison, J.C.; Adams, D.O.; Noble, A.C. Distribution of free and glycosidically bound monoterpenes in the skin and mesocarp of Muscat of Alexandria grapes during development. J. Agric. Food Chem. 1991, 39, 514–518. [Google Scholar] [CrossRef]
- Ribereau-Gayon, P.; Glories, Y.; Maujean, A.; Dubourdieu, D. Handbook of Enology: Vol. 2. The Chemistry of Wine, Stabilization and Treatments; John Wiley and Sons: Chichester, UK, 2006. [Google Scholar]
- Bartoshuk, L.M.; Klee, H.J. Better fruits and vegetables through sensory analysis. Curr. Biol. 2013, 23, R374–R378. [Google Scholar] [CrossRef]
- Kalua, C.M.; Boss, P.K. Comparison of major volatile compounds from Riesling and Cabernet Sauvignon grapes (Vitis vinifera L.) from fruitset to harvest. Aust. J. Grape Wine Res. 2010, 16, 337–348. [Google Scholar] [CrossRef]
- Wu, Y.; Zhang, W.; Duan, S.; Song, S.; Xu, W.; Zhang, C.; Bondada, B.; Ma, C.; Wang, S. In-depth aroma and sensory profiling of unfamiliar table-grape cultivars. Molecules 2018, 23, 1703. [Google Scholar] [CrossRef]
- Aubert, C.; Chalot, G. Chemical composition, bioactive compounds, and volatiles of six table grape varieties (Vitis vinifera L.). Food Chem. 2018, 240, 524–533. [Google Scholar] [CrossRef]
- Maoz, I.; Kaplunov, T.; Raban, E.; Dynkin, I.; Degani, O.; Lewinsohn, E.; Lichter, A. Insights into the chemosensory basis of flavor in table grapes. J. Agric. Food Chem. 2020, 100, 1405–1417. [Google Scholar] [CrossRef]
- Wu, Y.; Zhang, W.; Yu, W.; Zhao, L.; Song, S.; Xu, W.; Zhang, C.; Ma, C.; Wang, L.; Wang, S. Study on the volatile composition of table grapes of three aroma types. LWT 2019, 115, 108450. [Google Scholar] [CrossRef]
- Mateo, J.J.; Jiménez, M. Monoterpenes in grape juice and wines. J. Chromatogr. A 2000, 881, 557–567. [Google Scholar] [CrossRef]
- Lund, S.T.; Bohlmann, J. The molecular basis for wine grape quality-a volatile subject. Science 2006, 311, 804–805. [Google Scholar] [CrossRef]
- Fenoll, J.; del Carmen Martínez, M.; Hellín, P.; Flores, P. Changes of free and glycosidically bound monoterpenes and aromatic alcohols in Moscatel and Ruby seedless table grapes during development. OENO One 2012, 46, 41–50. [Google Scholar] [CrossRef]
- Matsumoto, H.; Ikoma, Y. Effect of postharvest temperature on the muscat flavor and aroma volatile content in the berries of ‘Shine Muscat’ (Vitis labruscana Baily× V. vinifera L.). Postharvest Biol. Technol. 2016, 112, 256–265. [Google Scholar] [CrossRef]
- Maoz, I.; Rikanati, R.D.; Schlesinger, D.; Bar, E.; Gonda, I.; Levin, E.; Kaplunov, T.; Sela, N.; Lichter, A.; Lewinsohn, E. Concealed ester formation and amino acid metabolism to volatile compounds in table grape (Vitis vinifera L.) berries. Plant Sci. 2018, 274, 223–230. [Google Scholar] [CrossRef] [PubMed]
- Piazzolla, F.; Pati, S.; Amodio, M.L.; Colelli, G. Effect of harvest time on table grape quality during on-vine storage. J. Sci. Food Agric. 2016, 96, 131–139. [Google Scholar] [CrossRef] [PubMed]
- Waterhouse, A.L.; Sacks, G.L.; Jeffery, D.W. Understanding Wine Chemistry; John Wiley & Sons: Chichester, UK, 2016. [Google Scholar]
- González-Barreiro, C.; Rial-Otero, R.; Cancho-Grande, B.; Simal-Gándara, J. Wine aroma compounds in grapes: A critical review. Crit. Rev. Food Sci. Nutr. 2015, 55, 202–218. [Google Scholar] [CrossRef]
- Zhu, D.; Li, J.; Xu, Y.; Liu, H.; Meng, X. Changes of volatile compounds in table grapes during postharvest storage by SPME coupled with GC-MS. Asian J. Chem. 2013, 25, 9647–9652. [Google Scholar] [CrossRef]
- Aubert, C.; Chalot, G.; Cottet, V. Changes in the quality parameters, bioactive compounds and volatiles of two table grape varieties (Vitis vinifera L. cv Muscat de Hambourg and Alphonse Lavallée) during storage. Eur. Food Res. Technol. 2019, 245, 951–961. [Google Scholar] [CrossRef]
- Costantini, V.; Bellincontro, A.; De Santis, D.; Botondi, R.; Mencarelli, F. Metabolic changes of Malvasia grapes for wine production during postharvest drying. J. Agric. Food Chem. 2006, 54, 3334–3340. [Google Scholar] [CrossRef]
- Chkaiban, L.; Botondi, R.; Bellincontro, A.; De Santis, D.; Kefalas, P.; Mencarelli, F. Influence of postharvest water stress on lipoxygenase and alcohol dehydrogenase activities, and on the composition of some volatile compounds of Gewürtztraminer grapes dehydrated under controlled and uncontrolled thermohygrometric conditions. Aust. J. Grape Wine Res. 2007, 13, 142–149. [Google Scholar] [CrossRef]
- Cirilli, M.; Bellincontro, A.; De Santis, D.; Botondi, R.; Colao, M.C.; Muleo, R.; Mencarelli, F. Temperature and water loss affect ADH activity and gene expression in grape berry during postharvest dehydration. Food Chem. 2012, 132, 447–454. [Google Scholar] [CrossRef]
- Feussner, I.; Wasternack, C. The lipoxygenase pathway. Annu. Rev. Plant Biol. 2002, 53, 275–297. [Google Scholar] [CrossRef]
- International Organization of Vine and Wine, (OIV). Compendium of International Methods of Wine and Must Analysis; International Organisation of Vine and Wine: Paris, France, 2016. [Google Scholar]
- Bordeu, E.; Scarpa, J. Análisis Químico del Vino; Universidad Católica de Chile: Santiago, Chile, 1998; p. 253. [Google Scholar]
- Ubeda, C.; Gil i Cortiella, M.; del Barrio Galán, R.; Peña-Neira, A. Influence of maturity and vineyard location on free and bound aroma compounds of grapes from the País cultivar. S. Afr. J. Enol. Vitic. 2017, 38, 201–211. [Google Scholar] [CrossRef]
Sample Availability: Not available. |








| Volatile Compounds | LRI | ID | Aromatic Description | Grape Cultivars | ||||
|---|---|---|---|---|---|---|---|---|
![]() CRIMSON | ![]() MAGENTA | ![]() KRISSY | ![]() TIMCO | ![]() ARRA15 | ||||
| ALDEHYDES | ||||||||
| Pentanal | 996 | B | Almond/malt/pungent | 21.7 ± 3.3 b | 13.2 ± 1.4 ab | 9.77 ± 2.39 a | 11.6 ± 0.6 a | 10.4 ± 3.1 a |
| Hexanal | 1093 | A | Grass/tallow/fat | 474 ± 138 b | 572 ± 16 b | 212 ± 22 a | 414 ± 23 ab | 517 ± 27 b |
| Heptanal | 1179 | B | Fat/citrus/rancid | 5.92 ± 1.75 a | 7.15 ± 0.63 a | 6.56 ± 1.19 a | 6.09 ± 0.06 a | 17.5 ± 2.2 b |
| (E)-2-Hexenal | 1216 | A | Green/leaf | 174 ± 1 b | 169 ± 21 b | 131 ± 11 ab | 101 ± 26 a | 102 ± 10 a |
| Octanal | 1294 | B | Fat/soap/lemon/green | 2.16 ± 0.33 b | 1.51 ± 0.06 a | 1.47 ± 0.08 a | 1.48 ± 0.06 a | 2.68 ± 0.52 b |
| (Z)-2-Heptenal | 1332 | B | Pungent/vegetable/soap/fat | 14.0 ± 3.2 b | 9.71 ± 0.07 ab | 5.70 ± 0.16 a | 9.87 ± 1.72 ab | 8.38 ± 1.42 ab |
| Nonanal | 1397 | A | Fat/citrus/green | 22.0 ± 1.2 b | 15.7 ± 2.9a b | 9.82 ± 2.33 a | 11.7 ± 4.2 ab | 7.86 ± 2.19 a |
| (E,E)-2,4-Hexadienal | 1418 | A | Green | 8.14 ± 0.20 b | 8.16 ± 0.96 b | 6.33 ± 0.69 ab | 4.64 ± 0.94 a | 4.21 ± 0.77 a |
| (E)-2-Octenal | 1437 | A | Green leaf/walnut | 25.0 ± 4.3 b | 18.8 ± 1.0 ab | 10.9 ± 3.3 a | 21.6 ± 3.7 ab | 30.9 ± 3.3 b |
| (E,E)-2-4-Heptadienal | 1486 | B | Nut/fat | 2.35 ± 0.72 a | 2.53 ± 0.35 a | 1.67 ± 0.09 a | 1.94 ± 0.36 a | 2.74 ± 0.48 a |
| (E)-2-Nonenal | 1548 | A | Fatty/green | 0.753 ± 0.001 a | 1.56 ± 0.45 a | 0.849 ± 0.278 a | 1.00 ± 0.12 a | 1.24 ± 0.06 a |
| Benzaldehyde | 1557 | B | Almond/burnt sugar | 4.07 ± 0.36 a | 4.53 ± 0.81 a | 3.37 ± 0.65 a | 4.86 ± 0.56 a | 4.04 ± 0.47 a |
| Benzeneacetaldehyde | 1660 | B | Green/floral/hyacinth | 4.16 ± 0.20 a | 10.2 ± 3.2 a | 4.70 ± 0.29 a | 10.1 ± 1.2 a | 23.4 ± 2.5 b |
| ALCOHOLS | ||||||||
| Pentanol | 1226 | A | Fruit | 3.60 ± 0.25 a | 90.7 ± 24.6 b | 75.9 ± 8.2 b | 1.56 ± 0.12 a | 3.71 ± 0.76 a |
| Hexanol | 1340 | A | Resin/flower/green | 140 ± 27 a | 103 ± 6 a | 72.0 ± 12.9 a | 81.3 ± 26.6 a | 69.3 ± 7.2 a |
| (Z)-3-Hexen-1-ol | 1382 | A | Grass | 23.9 ± 4.6 b | 3.51 ± 0.05 a | 4.97 ± 0.99 a | 5.82 ± 0.73 a | 8.87 ± 0.13 a |
| (E)-2-Hexen-1-ol | 1401 | A | Green/leaf/walnut | 4.44 ± 0.70 a | 3.28 ± 0.23 a | 3.51 ± 0.48 a | 3.54 ± 0.15 a | 16.1 ± 2.0 b |
| 2-Methyl-6-heptenol | 1429 | B | Coriander/green | 0.339 ± 0.094 a | 0.486 ± 0.087 a | 0.459 ± 0.050 a | 0.149 ± 0.009 a | 2.09 ± 0.44 b |
| 2-Ethyl-1-hexanol | 1489 | B | Rose/green | 11.8 ± 0.9 a | 11.2 ± 1.9 a | 9.74 ± 2.46 a | 11.1 ± 0.2 a | 12.9 ± 2.6 a |
| Nonanol | 1659 | A | Fat/green | 0.910 ± 0.105 b | 0.538 ± 0.031 a | 0.574 ± 0.160 a | 0.429 ± 0.009 a | 0.441 ± 0.017 a |
| Benzyl alcohol | 1902 | A | Sweet/flower | 10.9 ± 2.1 b | 3.62 ± 0.08 a | 1.52 ± 0.18 a | 4.60 ± 0.17 a | 3.60 ± 0.35 a |
| 2-Phenylethanol | 1931 | A | Honey/spice/rose/lilac | 4.47 ± 0.97 abc | 3.11 ± 0.46 ab | 1.60 ± 0.12 a | 6.37 ± 1.30 bc | 7.77 ± 1.30 c |
| TERPENES | ||||||||
| Limonene | 1191 | A | Citrus/mint | 3.85 ± 0.01 ab | 5.26 ± 0.85 b | 4.97 ± 1.26 b | 1.47 ± 0.10 a | 8.46 ± 0.63 c |
| Eucalyptol | 1198 | B | Mint/sweet | 1.12 ± 0.07 b | 0.870 ± 0.090 ab | 1.31 ± 0.21 b | 0.609 ± 0.119 a | 0.868 ± 0.010 ab |
| α-Ocimene | 1231 | A | Fruit/wet clothes | 0.447 ± 0.085 a | 5.42 ± 0.35 b | 6.67 ± 1.29 b | 0.558 ± 0.001 a | 10.3 ± 1.1 c |
| p-Cymene | 1262 | B | Fresh citrus/woody spice | 1.34 ± 0.18 a | 4.42 ± 0.09 b | 5.06 ± 0.92 b | 0.998 ± 0.088 a | 4.86 ± 0.64 b |
| γ-Terpinene | 1287 | B | Gasoline/turpentine | nd a | 0.836 ± 0.048 b | 0.843 ± 0.220 b | 0.052 ± 0.011 a | 1.28 ± 0.17 b |
| Linalool | 1541 | A | Flower/lavender | 0.328 ± 0.099 a | 5.96 ± 0.84 bc | 3.20 ± 0.90 ab | 0.436 ± 0.039 a | 9.98 ± 2.71 c |
| Terpinen-4-ol | 1626 | B | Turpentine/nutmeg/must | 0.313 ± 0.031 b | 0.429 ± 0.058 b | 0.309 ± 0.016 b | nd a | 0.563 ± 0.022 c |
| β-Cyclocitral | 1650 | B | Mint | 1.12 ± 0.14 c | 0.594 ± 0.020 ab | 0.356 ± 0.029 a | 0.935 ± 0.167 bc | 0.553 ± 0.012 ab |
| (Z)-Citral | 1671 | B | Lemon | nd a | 1.12 ± 0.19 bc | 1.14 ± 0.04 c | 0.150 ± 0.009 ab | 2.05 ± 0.51 c |
| (E)-Citral | 1699 | B | Citrus | 0.338 ± 0.050 a | 6.11 ± 0.51 b | 8.09 ± 0.17 bc | 0.585 ± 0.061 a | 11.6 ± 2.45 c |
| Citronellol | 1722 | A | Rose | 0.337 ± 0.044 a | 0.545 ± 0.087 a | 0.697 ± 0.070 a | 0.188 ± 0.013 a | 3.64 ± 1.46 b |
| Nerol | 1804 | A | Sweet | 1.25 ± 0.03 a | 18.9 ± 1.7 ab | 16.2 ± 1.1 ab | 0.511 ± 0.044 a | 31.9 ± 15.1 b |
| Geraniol | 1852 | A | Rose/geranium | 2.49 ± 0.47 a | 66.1 ± 8.1 bc | 78.1 ± 21.1 c | 4.17 ± 0.03 ab | 127 ± 26 c |
| Geranyl acetone | 1859 | C | Magnolia/green | 0.992 ± 0.125 a | 1.37 ± 0.15 a | 0.802 ± 0.055 a | 0.890 ± 0.224 a | 0.930 ± 0.200 a |
| KETONES | ||||||||
| Methyl isobutyl ketone | 1010 | C | Green/herbal/fruity | 10.8 ± 0.1 a | 10.1 ± 0.4 a | 10.6 ± 0.1 a | 11.2 ± 0.2 a | 9.9 ± 0.7 a |
| 4-Methyl-2-hexanone | 1129 | B | - | 4.39 ± 0.28 a | 4.26 ± 0.27 a | 4.49 ± 0.16 a | 4.51 ± 0.03 a | 4.83 ± 0.19 a |
| Isovalerone | 1195 | A | Mild, sweet odor | 40.1 ± 1.9 a | 36.1 ± 6.8 a | 40.5 ± 0.9 a | 34.4 ± 5.8 a | 41.1 ± 4.1 a |
| C13-NORISOPRENOIDS | ||||||||
| β-Ionone | 1951 | A | Violet, flower, raspberry | 3.29 ± 0.80 c | 1.53 ± 0.12 ab | 1.05 ± 0.04 a | 1.48 ± 0.11 ab | 2.40 ± 0.51 bc |
| ACIDS | ||||||||
| Pentanoic acid | 1861 | C | Cheesy | 8.92 ± 0.08 a | 8.56 ± 0.06 a | 7.7 ± 1.2 a | 10.1 ± 2.4 a | 19.1 ± 6.1 a |
Publisher’s Note: MDPI stays neutral with regard to jurisdictional claims in published maps and institutional affiliations. |
© 2020 by the authors. Licensee MDPI, Basel, Switzerland. This article is an open access article distributed under the terms and conditions of the Creative Commons Attribution (CC BY) license (http://creativecommons.org/licenses/by/4.0/).
Share and Cite
Ubeda, C.; Gil i Cortiella, M.; Villalobos-González, L.; Gómez, C.; Pastenes, C.; Peña-Neira, Á. Ripening and Storage Time Effects on the Aromatic Profile of New Table Grape Cultivars in Chile. Molecules 2020, 25, 5790. https://doi.org/10.3390/molecules25245790
Ubeda C, Gil i Cortiella M, Villalobos-González L, Gómez C, Pastenes C, Peña-Neira Á. Ripening and Storage Time Effects on the Aromatic Profile of New Table Grape Cultivars in Chile. Molecules. 2020; 25(24):5790. https://doi.org/10.3390/molecules25245790
Chicago/Turabian StyleUbeda, Cristina, Mariona Gil i Cortiella, Luis Villalobos-González, Camila Gómez, Claudio Pastenes, and Álvaro Peña-Neira. 2020. "Ripening and Storage Time Effects on the Aromatic Profile of New Table Grape Cultivars in Chile" Molecules 25, no. 24: 5790. https://doi.org/10.3390/molecules25245790
APA StyleUbeda, C., Gil i Cortiella, M., Villalobos-González, L., Gómez, C., Pastenes, C., & Peña-Neira, Á. (2020). Ripening and Storage Time Effects on the Aromatic Profile of New Table Grape Cultivars in Chile. Molecules, 25(24), 5790. https://doi.org/10.3390/molecules25245790






