Synthesis, Characterization and Biological Evaluation of Magnolol and Honokiol Derivatives with 1,3,5-Triazine of Metformin Cyclization
Abstract
1. Introduction
2. Results and Discussion
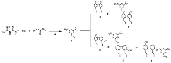
2.1. Chemistry
2.2. Biological Evaluation
2.2.1. The Inhibitory Effect of the Compounds on LPS-Activated NO, TNF-α, and IL-1β Release
2.2.2. The Inhibitory Potential of Compounds against the Proliferative Ability of Various Human Carcinoma Cells
2.2.3. Compound 2 Inhibited Bcl-2 and Caspase-3 Protein Expression in HepG2 Cells
3. Experimental Section
3.1. General Information
3.2. General Synthetic Procedure for Compounds
3.2.1. Compound 1
3.2.2. Compound-2 and -3
3.2.3. Compound-4
3.3. HPLC Analysis of Obtained Compounds
3.4. Biology
3.4.1. The Evaluation of Compound Cytotoxicity against RAW 264.7, MCF-7, HepG2, A549, and BxPC-3 Cells
3.4.2. Evaluation of NO Synthesis from LPS-Activated RAW 264.7 Cells
3.4.3. Analysis of TNF-α as well as IL-1β Release from LPS-Activated RAW 264.7 Cells
3.4.4. Immunoblotting
4. Conclusions
Supplementary Materials
Author Contributions
Funding
Conflicts of Interest
References
- Yahara, S.; Nishiyori, T.; Kohda, A.; Nohara, T.; Nishioka, I. Isolation and Characterization of Phenolic Compounds from Magnoliae Cortex Produced in China. Chem. Pharm. Bull. 1991, 39, 2024–2036. [Google Scholar] [CrossRef]
- Lee, Y.-J.; Lee, Y.M.; Lee, C.-K.; Jung, J.K.; Han, S.B.; Hong, J.T. Therapeutic applications of compounds in the Magnolia family. Pharmacol. Ther. 2011, 130, 157–176. [Google Scholar] [CrossRef] [PubMed]
- Woodbury, A.; Yu, S.P.; Wei, L.; García, P. Neuro-modulating effects of honokiol: A review. Front. Neurol. 2013, 4, 130. [Google Scholar] [CrossRef] [PubMed]
- Shen, J.-L.; Man, K.-M.; Huang, P.-H.; Chen, W.-C.; Chen, D.-C.; Cheng, Y.-W.; Liu, P.-L.; Chou, M.-C.; Chen, Y.-H. Honokiol and magnolol as multifunctional antioxidative molecules for dermatologic disorders. Molecules 2010, 15, 6452–6465. [Google Scholar] [CrossRef]
- Chang, B.; Lee, Y.; Ku, Y.; Bae, K.; Chung, C. Antimicrobial Activity of Magnolol and Honokiol against Periodontopathic Microorganisms. Planta Med. 1998, 64, 367–369. [Google Scholar] [CrossRef] [PubMed]
- Lin, S.-Y.; Liu, J.-D.; Chang, H.-C.; Yeh, S.-D.; Lin, C.-H.; Lee, W.-S. Magnolol suppresses proliferation of cultured human colon and liver cancer cells by inhibiting DNA synthesis and activating apoptosis. J. Cell. Biochem. 2002, 84, 532–544. [Google Scholar] [CrossRef]
- Liu, R.-X.; Ren, W.-Y.; Ma, Y.; Liao, Y.-P.; Wang, H.; Zhu, J.-H.; Jiang, H.-T.; Wu, K.; He, B.-C.; Sun, W.-J. BMP7 mediates the anticancer effect of honokiol by upregulating p53 in HCT116 cells. Int. J. Oncol. 2017, 51, 907–917. [Google Scholar] [CrossRef] [PubMed]
- Salpeter, S.R.; Greyber, E.; Pasternak, G.A.; Salpeter, E.E. Risk of fatal and nonfatal lactic acidosis with metformin use in type 2 diabetes mellitus. In Cochrane Database of Systematic Reviews; John Wiley & Sons, Ltd.: New York, NY, USA, 2010. [Google Scholar] [CrossRef]
- Cameron, A.R.; Morrison, V.L.; Levin, D.; Mohan, M.; Forteath, C.; Beall, C.; McNeilly, A.D.; Balfour, D.J.K.; Savinko, T.; Wong, A.K.F.; et al. Anti-Inflammatory Effects of Metformin Irrespective of Diabetes Status. Circ. Res. 2016, 119, 652–665. [Google Scholar] [CrossRef] [PubMed]
- Afshari, K.; Dehdashtian, A.; Haddadi, N.-S.; Haj-Mirzaian, A.; Iranmehr, A.; Ebrahimi, M.A.; Tavangar, S.M.; Faghir-Ghanesefat, H.; Mohammadi, F.; Rahimi, N.; et al. Anti-inflammatory effects of Metformin improve the neuropathic pain and locomotor activity in spinal cord injured rats: Introduction of an alternative therapy. Spinal Cord 2018, 56, 1032–1041. [Google Scholar] [CrossRef] [PubMed]
- Li, S.-N.; Wang, X.; Zeng, Q.-T.; Feng, Y.-B.; Cheng, X.; Mao, X.-B.; Wang, T.-H.; Deng, H.-P. Metformin inhibits nuclear factor κB activation and decreases serum high-sensitivity C-reactive protein level in experimental atherogenesis of rabbits. Heart Vessel. 2009, 24, 446–453. [Google Scholar] [CrossRef] [PubMed]
- Hirsch, H.A.; Iliopoulos, D.; Struhl, K. Metformin inhibits the inflammatory response associated with cellular transformation and cancer stem cell growth. Proc. Natl. Acad. Sci. USA 2013, 110, 972–977. [Google Scholar] [CrossRef] [PubMed]
- Maioli, M.; Basoli, V.; Carta, P.; Fabbri, D.; Dettori, M.A.; Cruciani, S.; Serra, P.A.; Delogu, G. Synthesis of magnolol and honokiol derivatives and their effect against hepatocarcinoma cells. PLoS ONE 2018, 13, e0192178. [Google Scholar] [CrossRef] [PubMed]
- Yang, T.-H.; Ma, Y.-B.; Geng, C.-A.; Yan, D.-X.; Huang, X.-Y.; Li, T.-Z.; Zhang, X.-M.; Chen, J.-J. Synthesis and biological evaluation of magnolol derivatives as melatonergic receptor agonists with potential use in depression. Eur. J. Med. Chem. 2018, 156, 381–393. [Google Scholar] [CrossRef] [PubMed]
- Hu, Y.; Shen, Y.; Tu, X.; Wu, X.; Wang, G.-X.; Ling, F. Isolation of anti-Saprolegnia lignans from Magnolia officinalis and SAR evaluation of honokiol/magnolol analogs. Bioorg. Med. Chem. Lett. 2019, 29, 389–395. [Google Scholar] [CrossRef] [PubMed]
- Koh, M.; Lee, J.-C.; Min, C.; Moon, A. A novel metformin derivative, HL010183, inhibits proliferation and invasion of triple-negative breast cancer cells. Bioorg. Med. Chem. 2013, 21, 2305–2313. [Google Scholar] [CrossRef] [PubMed]
- Cao, H.; Liao, S.; Zhong, W.; Xiao, X.; Zhu, J.; Li, W.; Wu, X.; Feng, Y. Synthesis, Characterization, and Biological Evaluations of 1,3,5-Triazine Derivatives of Metformin Cyclization with Berberine and Magnolol in the Presence of Sodium Methylate. Molecules 2017, 22, 1752. [Google Scholar] [CrossRef] [PubMed]
- Tran, H.N.K.; Nguyen, V.T.; Kim, J.A.; Rho, S.S.; Woo, M.H.; Choi, J.S.; Lee, J.-H.; Min, B.S. Anti-inflammatory activities of compounds from twigs of Morus alba. Fitoterapia 2017, 120, 17–24. [Google Scholar] [CrossRef] [PubMed]






| Compound | IC50 (µM) | |||
|---|---|---|---|---|
| MCF-7 | HepG2 | A549 | B × PC-3 | |
| Magnolol | 64.71 ± 0.73 | 51.23 ± 0.61 | 52.11 ± 0.94 | 74.02 ± 0.33 |
| Honokiol | 45.93 ± 0.46 | 41.84 ± 0.78 | 33.5 ± 0.48 | 49.24 ± 1.09 |
| 1 | 24.71 ± 0.58 | 31.23 ± 0.34 | 32.11 ± 0.17 | 34.02 ± 0.75 |
| 2 | 6.63 ± 0.39 | 5.57 ± 0.26 | 6.95 ± 0.27 | 8.74 ± 0.41 |
| 3 | 13.84 ± 0.53 | 14.42 ±1.31 | 18.5 ± 0.52 | 10.31 ± 0.87 |
Sample Availability: Samples of the compounds are available from the authors. |
Publisher’s Note: MDPI stays neutral with regard to jurisdictional claims in published maps and institutional affiliations. |
© 2020 by the authors. Licensee MDPI, Basel, Switzerland. This article is an open access article distributed under the terms and conditions of the Creative Commons Attribution (CC BY) license (http://creativecommons.org/licenses/by/4.0/).
Share and Cite
Ren, C.; Wang, J.; Tan, Y.; Guo, M.; Guo, J.; Liu, Y.; Wu, X.; Feng, Y. Synthesis, Characterization and Biological Evaluation of Magnolol and Honokiol Derivatives with 1,3,5-Triazine of Metformin Cyclization. Molecules 2020, 25, 5779. https://doi.org/10.3390/molecules25245779
Ren C, Wang J, Tan Y, Guo M, Guo J, Liu Y, Wu X, Feng Y. Synthesis, Characterization and Biological Evaluation of Magnolol and Honokiol Derivatives with 1,3,5-Triazine of Metformin Cyclization. Molecules. 2020; 25(24):5779. https://doi.org/10.3390/molecules25245779
Chicago/Turabian StyleRen, Cui, Juanxia Wang, Youzhen Tan, Mingxin Guo, Jieqing Guo, Ying Liu, Xia Wu, and Yifan Feng. 2020. "Synthesis, Characterization and Biological Evaluation of Magnolol and Honokiol Derivatives with 1,3,5-Triazine of Metformin Cyclization" Molecules 25, no. 24: 5779. https://doi.org/10.3390/molecules25245779
APA StyleRen, C., Wang, J., Tan, Y., Guo, M., Guo, J., Liu, Y., Wu, X., & Feng, Y. (2020). Synthesis, Characterization and Biological Evaluation of Magnolol and Honokiol Derivatives with 1,3,5-Triazine of Metformin Cyclization. Molecules, 25(24), 5779. https://doi.org/10.3390/molecules25245779
