Synthesis and Properties of Pentafluorosulfanyl Group (SF5)-Containing Meta-Diamide Insecticides
Abstract
1. Introduction
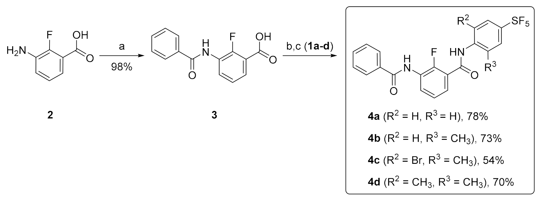
2. Results
3. Material and Methods
3.1. General Information
3.2. General Method for the Synthesis of 4a–d
4. Conclusions
Supplementary Materials
Author Contributions
Funding
Conflicts of Interest
References and Notes
- Purser, S.; Moore, P.R.; Swallow, S.; Gouverneur, V. Fluorine in medicinal chemistry. Chem. Soc. Rev. 2008, 37, 320–330. [Google Scholar] [CrossRef] [PubMed]
- Meanwell, N. Fluorine and Fluorinated Motifs in the Design and Application of Bioisosteres for Drug Design. J. Med. Chem. 2018, 61, 5822–5880. [Google Scholar] [CrossRef] [PubMed]
- Wang, J.; Sánchez-Roselló, M.; Aceña, J.L.; Del Pozo, C.; Sorochinsky, A.E.; Fustero, S.; Soloshonok, V.A.; Liu, H. Fluorine in Pharmaceutical Industry: Fluorine-Containing Drugs Introduced to the Market in the Last Decade (2001–2011). Chem. Rev. 2014, 114, 2432–2506. [Google Scholar] [CrossRef] [PubMed]
- Theodoridis, G. Chapter 4 Fluorine-Containing Agrochemicals: An Overview of Recent Developments. In Advances in Fluorine Science; Tressaud, A., Ed.; Elsevier: Amsterdam, The Netherlands, 2006; Volume 2, pp. 121–175. [Google Scholar] [CrossRef]
- Sowaileh, M.F.; Hazlitt, R.A.; Colby, D.A. Application of the Pentafluorosulfanyl Group as a Bioisosteric Replacement. ChemMedChem 2017, 12, 1481–1490. [Google Scholar] [CrossRef] [PubMed]
- Altomonte, S.; Zanda, M. Synthetic chemistry and biological activity of pentafluorosulfanyl (SF5) organic molecules. J. Fluorine Chem. 2012, 143, 57–93. [Google Scholar] [CrossRef]
- Savoie, P.R.; Welch, J.T. Preparation and Utility of Organic Pentafluorosulfanyl-Containing Compounds. Chem. Rev. 2015, 115, 1130–1190. [Google Scholar] [CrossRef] [PubMed]
- Carroll, W.A.; Dart, M.J.; Perez-Medrano, A.; Nelson, D.W.; Li, T.; Peddi, S.; Frost, J.; Kolasa, T.; Liu, B.; Latshaw, S.P.; et al. Novel compounds as cannabinoid receptor ligands. US Patent 2009/0105306 A1, 23 April 2009. [Google Scholar]
- Klar, U.; Koppitz, M.; Nguyen, D.; Kosemund, D.; Neuhaus, R.; Siemeister, G. Substituted benzimidazoles. WO Application 2012/130905 A1, 4 October 2012. [Google Scholar]
- Braeuer, N.; Mengel, A.; Roehn, U.; Rotgeri, A.; Buchmann, B.; Lindenthal, B.; Ter Laak, A. Preparation of novel 2H-indazoles as EP2 receptor antagonists. WO Application 2013/079425 A1, 6 June 2013. [Google Scholar]
- Andreotti, D.; Checchia, A.; Hamprecht, D.; Micheli, F. Preparation of 1-(pentafluorosulfanylphenyl)-3-(1,2,4-triazol-3-ylthioalkyl)-3-azabicyclo[3.1.0]hexanes as selective modulators of dopamine D3 receptors. WO Application 2006/108700 A1, 19 October 2006. [Google Scholar]
- Van Gool, M.L.M.; Andres-Gil, J.I.; Alcazar-Vaca, M.J.; Bormans, G.M.R.; Celen, S.J.L.; Joost, V. Radiolabelled mGluR2 PET ligands. WO Application 2016/087489 A1, 9 June 2016. [Google Scholar]
- Chern, R.T.; Zingerman, J.R.; Clark, J.N.; Drag, M.D. Sulfur pentafluorophenyl pyrazoles for controlling ectoparasitic infestations. WO Application 9947139 A1, 23 September 1999. [Google Scholar]
- Howard, M.H., Jr.; Stevenson, T.M. Preparation of arthropodicidal pentafluorothio-substituted anilides. WO Application 9516676 A1, 22 June 1995. [Google Scholar]
- Silvey, G.A.; Cady, G.H. Trifluoromethylsulfur Pentafluoride. J. Am. Chem. Soc. 1950, 72, 3624–3626. [Google Scholar] [CrossRef]
- Chang, S.Y.; Heo, J.N.; Lee, H.; Lim, H.J.; Kim, B.T.; Kim, J.K.; Kim, J. Diaminoaryl Derivatives Substituted by Carbamate and Pesticidal Composition Containing Same. WO Application 2013/168967 A1, 14 November 2013. [Google Scholar]
- Park, S.J.; Lim, H.J.; Kim, B.T. Pyrazole carboxamide compound containing organosulfur group and pesticide composition containing pyrazole carboxamide compound. WO Application 2019/156425 A1, 15 August 2019. [Google Scholar]
- Lim, H.J.; Lee, W.H.; Park, S.J. Synthesis, Physicochemical Properties, and Biological Activities of 4-(S-Methyl-N-(2,2,2-Trifluoroacetyl)Sulfilimidoyl) Anthranilic Diamide. Molecules 2019, 24, 3451. [Google Scholar] [CrossRef] [PubMed]
- Nakao, T.; Banba, S. Broflanilide: A meta-diamide insecticide with a novel mode of action. Bioorg. Med. Chem. 2016, 24, 372–377. [Google Scholar] [CrossRef] [PubMed]
- Katsuta, H.; Nomura, M.; Wakita, T.; Daido, H.; Kobayashi, Y.; Kawahara, A.; Banba, S. Discovery of broflanilide, a novel insecticide. J. Pestic. Sci. 2019, 44, 120–128. [Google Scholar] [CrossRef] [PubMed]
- Menet, C.J.M.; Mammoliti, O.; Blanc, J.; Orsulic, M.; Roscic, M. Novel compounds and pharmaceutical compositions thereof for the treatment of inflammatory disorders. US Patent 2015/0203455 A1, 23 July 2015. [Google Scholar]
- Ibrahim, P.N.; Spevak, W.; Cho, H. Preparation of pyrrolo[2,3-b]pyrazine derivatives as Raf kinase modulators. US Patent 20090306087 A1, 10 December 2009. [Google Scholar]
- Nomura, M.; Tomura, N.; Kawahara, A.; Daido, H. Pesticide compositions containing amides. JP Patent 2010047478 A, 4 March 2010. [Google Scholar]
- Jingbo, X.; Hongfei, W.; Xueming, C.; Libao, X.; Hao, Y.; Ningning, S.; Haibo, Y. Method for preparing o-trifluoromethylaniline compound and intermediate thereof. CN Patent 109206335 A, 15 January 2019. [Google Scholar]
- According to the literature 16 method, the insecticidal assays were performed by Kyung Nong Co. Ltd., Korea. In detail, please see the supporting information.
- Nakao, T.; Hirase, K. Effects of novel meta-diamide insecticides on GABA type A receptors α1β2γ2 and α1β3γ2 and on glycine receptor α1β. J. Pestic. Sci. 2014, 39, 144–151. [Google Scholar] [CrossRef]
- Note that this ligand-gated ion channels assays were performed by eurofins (in details, please see the supplementary materials).
- Gnamm, C.; Jeanguenat, A.; Dutton, A.C.; Grimm, C.; Kloer, D.P.; Crossthwaite, A.J. Novel diamide insecticides: Sulfoximines, sulfonimidamides and other new sulfonimidoyl derivatives. Bioorg. Med. Chem. Lett. 2012, 22, 3800–3806. [Google Scholar] [CrossRef]
- Chandrasekaran, B.; Abed, S.N.; Al-Attraqchi, O.; Kuche, K.; Tekade, R.K. Computer-Aided Prediction of Pharmacokinetic (ADMET) Properties. In Dosage Form Design Parameters; Tekade, R.K., Ed.; Elsevier Inc.: London, UK, 2018; Volume 2, pp. 731–755. [Google Scholar]
- Kerns, E.H.; Di, L. Drug-like Properties: Concepts, Structure Design and Methods: From ADME to Toxicity Optimization; Elsevier Inc: San Diego, CA, USA, 2008; p. 65. [Google Scholar]
- Dykstra, K.D.; Ichiishi, N.; Krska, S.W.; Richardson, P.F. Chapter 1—Emerging fluorination methods in organic chemistry relevant for life science applications. In Fluorine in Life Sciences. Pharmaceuticals, Medicinal Diagnostics, and Agrochemicals; Haufe, G., Leroux, F., Eds.; Academic Press: San Diego, CA, USA, 2019; pp. 1–90. [Google Scholar]
- Müller, K. Chapter 2—Fluorination patterns in small alkyl groups: Their impact on properties relevant to drug discovery. In Fluorine in Life Sciences. Pharmaceuticals, Medicinal Diagnostics, and Agrochemicals; Haufe, G., Leroux, F., Eds.; Academic Press: San Diego, CA, USA, 2019; pp. 91–139. [Google Scholar]
- Pertusati, F.; Serpi, M.; Pileggi, E. Chapter 3—Polyfluorinated scaffolds in drug discovery In Fluorine in Life Sciences. Pharmaceuticals, Medicinal Diagnostics, and Agrochemicals; Haufe, G., Leroux, F., Eds.; Academic Press: San Diego, CA, USA, 2019; pp. 141–180. [Google Scholar]
- Xing, L.; Honda, T.; Fitz, L.; Ojima, I. Chapter 4—Case studies of fluorine in drug disvovery. In Fluorine in Life Sciences. Pharmaceuticals, Medicinal Diagnostics, and Agrochemicals; Haufe, G., Leroux, F., Eds.; Academic Press: San Diego, CA, USA , 2019; pp. 181–211. [Google Scholar]
- Tredwell, M.; Gouverneur, V. 1.5 Fluorine in Medicinal Chemistry: Importance of Chirality. Compr. Chirality 2012, 1, 70–85. [Google Scholar] [CrossRef]
- Van De Waterbeemd, H. In Silico Models to Predict Oral Absorption. In Comprehensive Medicinal Chemistry II; Taylor, J.B., Triggle, D.J., Eds.; Elsevier: Amsterdam, The Netherlands, 2007; Volume 5, pp. 669–697. [Google Scholar] [CrossRef]
- Arora, N.; Bacani, G.M.; Cai, M.; Barbay, J.K.; Bembenek, S.D.; Chen, W.; Deckhut, C.P.; Edwards, J.P.; Ghosh, B.; Hao, B.; et al. Inhibitors of bruton’s kinase and methods of their use. WO Application 2018/103058 A1, 14 June 2018. [Google Scholar]
- Kleemann, H.-W. Pentafluorosulfanylphenyl-substituted benzoylguanidines, processes for their preparation, their use as medicament or diagnostic aid, and medicament comprising them. US Patent 2005/0043401 A1, 24 February 2005. [Google Scholar]




| Entry | SF5-Containing Meta-Diamide Insecticides | Against the 3rd Instar Larvae of Plutella xylostella at 10 ppm | ||||||
|---|---|---|---|---|---|---|---|---|
| Compound | R1 | R2 | R3 | X | Larvicidal Activity (%) at Time (h) | Eating Area (%) | ||
| 72 h | 96 h | 96 h | ||||||
| 1 | 4a | H | H | H | SF5 | 28 | 36 | >30 |
| 2 | 4b | H | H | CH3 | SF5 | 7 | 7 | >30 |
| 3 | 4c | H | Br | CH3 | SF5 | 90 | 90 | 5~10 |
| 4 | 4d | H | CH3 | CH3 | SF5 | 83 | 87 | 0~5 |
| 5 | Broflanilide | CH3 | Br | CF3 | CF(CF3)2 | 100 | 100 | 0~5 |
| Entry | Receptor | Estimated IC50 (μM) | |
|---|---|---|---|
| SF5-Containing Meta-Diamide 4d | Broflanilide | ||
| 1 | GABAAR α1β3γ2 | >30 | >30 |
| 2 | GlyRA1 | >30 | >30 |

| Entry | Compound | R1 | R2 | R3 | X | LogP a,b | Solubility c,d (Kinetic) |
|---|---|---|---|---|---|---|---|
| 1 | 4d | H | CH3 | CH3 | SF5 | 4.68 | 313.3 ± 1.3 μM (153.0 ± 0.6 μg/mL) |
| 2 | Broflanilide | CH3 | CF3 | Br | CF(CF3)2 | 4.22 | >500 μM (331.6 μg/mL) |
Sample Availability: Samples of the compounds are not available from the authors. | |
Publisher’s Note: MDPI stays neutral with regard to jurisdictional claims in published maps and institutional affiliations. |
© 2020 by the authors. Licensee MDPI, Basel, Switzerland. This article is an open access article distributed under the terms and conditions of the Creative Commons Attribution (CC BY) license (http://creativecommons.org/licenses/by/4.0/).
Share and Cite
Kim, J.G.; Kang, O.-Y.; Kim, S.M.; Issabayeva, G.; Oh, I.S.; Lee, Y.; Lee, W.H.; Lim, H.J.; Park, S.J. Synthesis and Properties of Pentafluorosulfanyl Group (SF5)-Containing Meta-Diamide Insecticides. Molecules 2020, 25, 5536. https://doi.org/10.3390/molecules25235536
Kim JG, Kang O-Y, Kim SM, Issabayeva G, Oh IS, Lee Y, Lee WH, Lim HJ, Park SJ. Synthesis and Properties of Pentafluorosulfanyl Group (SF5)-Containing Meta-Diamide Insecticides. Molecules. 2020; 25(23):5536. https://doi.org/10.3390/molecules25235536
Chicago/Turabian StyleKim, Jae Gon, On-Yu Kang, Sang Mee Kim, Guldana Issabayeva, In Seok Oh, Yaeji Lee, Won Hyung Lee, Hwan Jung Lim, and Seong Jun Park. 2020. "Synthesis and Properties of Pentafluorosulfanyl Group (SF5)-Containing Meta-Diamide Insecticides" Molecules 25, no. 23: 5536. https://doi.org/10.3390/molecules25235536
APA StyleKim, J. G., Kang, O.-Y., Kim, S. M., Issabayeva, G., Oh, I. S., Lee, Y., Lee, W. H., Lim, H. J., & Park, S. J. (2020). Synthesis and Properties of Pentafluorosulfanyl Group (SF5)-Containing Meta-Diamide Insecticides. Molecules, 25(23), 5536. https://doi.org/10.3390/molecules25235536

