Tetracycline Removal by Activating Persulfate with Diatomite Loading of Fe and Ce
Abstract
1. Introduction
2. Results
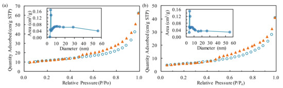
2.1. Characterization of the Composites
2.2. The Adsorptive and Catalytic Properties
2.3. Photocatalytic Property
2.4. Metal Leaching and the Reusability of Fe-Ce/DIA
2.5. Parameters on Tetracycline Removal by Fe-Ce/DIA
2.6. Degradation Mechanism
3. Materials and Methods
3.1. Chemicals
3.2. Synthesis of Composites
3.3. Characterization of Composites
3.4. Adsorption Study
3.5. Degradation Study
3.6. Batch Study of Tetracycline Removal
4. Conclusions
Supplementary Materials
Author Contributions
Funding
Conflicts of Interest
References
- Qiao, M.; Ying, G.-G.; Singer, A.C.; Zhu, Y.-G. Review of antibiotic resistance in China and its environment. Environ. Int. 2018, 110, 160–172. [Google Scholar] [CrossRef]
- Danner, M.-C.; Robertson, A.; Behrends, V.; Reiss, J. Antibiotic pollution in surface fresh waters: Occurrence and effects. Sci. Total Environ. 2019, 664, 793–804. [Google Scholar] [CrossRef] [PubMed]
- Li, D.; Yang, M.; Hu, J.; Ren, L.; Zhang, Y.; Li, K. Determination and fate of oxytetracycline and related compounds in oxytetracycline production wastewater and the receiving river. Environ. Toxicol. Chem. 2008, 27, 80–86. [Google Scholar] [CrossRef] [PubMed]
- Liu, J.; Wong, M. Pharmaceuticals and personal care products (PPCPs): A review on environmental contamination in China. Environ. Int. 2013, 59, 208–224. [Google Scholar] [CrossRef] [PubMed]
- Daghrir, R.; Drogui, P. Tetracycline antibiotics in the environment: A review. Environ. Chem. Lett. 2013, 11, 209–227. [Google Scholar] [CrossRef]
- Gherghel, A.; Teodosiu, C.; Notarnicola, M.; De Gisi, S. Sustainable design of large wastewater treatment plants considering multi-criteria decision analysis and stakeholders’ involvement. J. Environ. Manag. 2020, 261, 110158. [Google Scholar] [CrossRef]
- Han, Y.; Yang, T.; Xu, G.; Li, L.; Liu, J. Characteristics and interactions of bioaerosol microorganisms from wastewater treatment plants. J. Hazard. Mater. 2020, 391, 122256. [Google Scholar] [CrossRef]
- Zhou, C.; Wu, J.; Dong, L.; Liu, B.; Xing, D.; Yang, S.; Wu, X.; Wang, Q.; Fan, J.; Feng, L.; et al. Removal of antibiotic resistant bacteria and antibiotic resistance genes in wastewater effluent by UV-activated persulfate. J. Hazard. Mater. 2020, 388, 122070. [Google Scholar] [CrossRef]
- Talang, R.P.N.; Sirivithayapakorn, S.; Polruang, S. Environmental impacts and cost-effectiveness of Thailand’s centralized municipal wastewater treatment plants with different nutrient removal processes. J. Clean. Prod. 2020, 256, 120433. [Google Scholar] [CrossRef]
- Shao, S.; Hu, Y.; Cheng, J.; Chen, Y. Biodegradation mechanism of tetracycline (TEC) by strain Klebsiella sp. SQY5 as revealed through products analysis and genomics. Ecotox. Environ. Saf. 2019, 185, 109676. [Google Scholar] [CrossRef]
- Xu, Q.; Zhou, Q.; Pan, M.; Dai, L. Interaction between chlortetracycline and calcium-rich biochar: Enhanced removal by adsorption coupled with flocculation. Chem. Eng. J. 2020, 382, 122705. [Google Scholar] [CrossRef]
- Yao, N.; Li, C.; Yu, J.; Xu, Q.; Wei, S.; Tian, Z.; Yang, Z.; Yang, W.; Shen, J. Insight into adsorption of combined antibiotic-heavy metal contaminants on graphene oxide in water. Sep. Purif. Technol. 2020, 236, 116278. [Google Scholar] [CrossRef]
- Peng, J.; Wu, E.; Wang, N.; Quan, X.; Sun, M.; Hu, Q. Removal of sulfonamide antibiotics from water by adsorption and persulfate oxidation process. J. Mol. Liq. 2019, 274, 632–638. [Google Scholar] [CrossRef]
- Guo, Y.-S.; Ji, Y.-L.; Wu, B.; Wang, N.-X.; Yin, M.-J.; An, Q.-F.; Gao, C.-J. High-flux zwitterionic nanofiltration membrane constructed by in-situ introduction method for monovalent salt/antibiotics separation. J. Membrane Sci. 2020, 593, 117441. [Google Scholar] [CrossRef]
- Chen, Y.; Wu, Q.; Liu, L.; Wang, J.; Song, Y. The fabrication of floating Fe/N co-doped titania/diatomite granule catalyst with enhanced photocatalytic efficiency under visible light irradiation. Adv. Powder Technol. 2018, 30, 126–135. [Google Scholar] [CrossRef]
- Wammer, K.H.; Lapara, T.M.; Mcneill, K.; Arnold, W.A.; Swackhamer, D.L. Changes in antibacterial activity of triclosan and sulfa drugs due to photochemical transformations. Environ. Toxicol. Chem. 2006, 25, 1480–1486. [Google Scholar] [CrossRef]
- Rasheed, H.U.; Lv, X.; Zhang, S.; Wei, W.; Nabiullah; Xie, J. Ternary MIL-100(Fe)@Fe3O4/CA magnetic nanophotocatalysts (MNPCs): Magnetically separable and Fenton-like degradation of tetracycline hydrochloride. Adv. Powder Technol. 2018, 29, 3305–3314. [Google Scholar] [CrossRef]
- Sun, Y.; Cho, D.-W.; Graham, N.J.D.; Hou, D.; Yip, A.C.K.; Khan, E.; Song, H.; Li, Y.; Tsang, D.C.W. Degradation of antibiotics by modified vacuum-UV based processes: Mechanistic consequences of H2O2 and K2S2O8 in the presence of halide ions. Sci. Total Environ. 2019, 664, 312–321. [Google Scholar] [CrossRef]
- Jia, A.; Wan, Y.; Xiao, Y.; Hu, J. Occurrence and fate of quinolone and fluoroquinolone antibiotics in a municipal sewage treatment plant. Water Res. 2011, 46, 387–394. [Google Scholar] [CrossRef]
- Zessel, K.; Mohring, S.; Hamscher, G.; Kietzmann, M.; Stahl, J. Biocompatibility and antibacterial activity of photolytic products of sulfonamides. Chemosphere 2014, 100, 167–174. [Google Scholar] [CrossRef]
- Ji, L.; Chen, W.; Zheng, S.; Xu, Z.; Zhu, D. Adsorption of sulfonamide antibiotics to multiwalled carbon nanotubes. Langmuir 2009, 25, 11608–11613. [Google Scholar] [CrossRef] [PubMed]
- Martucci, A.; Cremonini, M.A.; Blasioli, S.; Gigli, L.; Gatti, G.; Marchese, L.; Braschi, I. Adsorption and reaction of sulfachloropyridazine sulfonamide antibiotic on a high silica mordenite: A structural and spectroscopic combined study. Micropor. Mesopor. Mater. 2013, 170, 274–286. [Google Scholar] [CrossRef]
- Srinivasan, P.; Sarmah, A.K.; Manley-Harris, M. Co-contaminants and factors affecting the sorption behaviour of two sulfonamides in pasture soils. Environ. Pollut. 2013, 180, 165–172. [Google Scholar] [CrossRef] [PubMed]
- Pan, J.; Dong, Z.; Wang, B.; Jiang, Z.; Zhao, C.; Wang, J.; Song, C.; Zheng, Y.; Li, C. The enhancement of photocatalytic hydrogen production via Ti3+ self-doping black TiO2/g-C3N4 hollow core-shell nano-heterojunction. Appl. Catal. B Environ. 2019, 242, 92–99. [Google Scholar] [CrossRef]
- Keen, O.S.; Baik, S.; Linden, K.G.; Aga, D.S.; Love, N.G. Enhanced biodegradation of carbamazepine after UV/H2O2 advanced oxidation. Environ. Sci. Technol. 2012, 46, 6222–6227. [Google Scholar] [CrossRef] [PubMed]
- Zheng, X.; Xu, S.; Wang, Y.; Sun, X.; Gao, Y.; Gao, B. Enhanced degradation of ciprofloxacin by graphitized mesoporous carbon (GMC)-TiO2 nanocomposite: Strong synergy of adsorption-photocatalysis and antibiotics degradation mechanism. J. Colloid Interf. Sci. 2018, 527, 202–213. [Google Scholar] [CrossRef]
- Mousset, E.; Pontvianne, S.; Pons, M.N. Fate of inorganic nitrogen species under homogeneous Fenton combined with electro-oxidation/reduction treatments in synthetic solutions and reclaimed municipal wastewater. Chemosphere 2018, 201, 6–12. [Google Scholar] [CrossRef]
- Guan, R.; Yuan, X.; Wu, Z.; Jiang, L.; Zhang, J.; Li, Y.; Zeng, G.; Mo, D. Efficient degradation of tetracycline by heterogeneous cobalt oxide/cerium oxide composites mediated with persulfate. Sep. Purif. Technol. 2018, 212, 223–232. [Google Scholar] [CrossRef]
- Shabanloo, A.; Salari, M.; Shabanloo, N.; Dehghani, M.H.; Pittman, C.U.; Mohan, D. Heterogeneous persulfate activation by nano-sized Mn3O4 to degrade furfural from wastewater. J. Mol. Liq. 2019, 298, 112088. [Google Scholar] [CrossRef]
- Liang, C.; Wang, Z.; Bruell, C.J. Influence of pH on persulfate oxidation of TCE at ambient temperatures. Chemosphere 2007, 66, 106–113. [Google Scholar] [CrossRef]
- Ao, X.; Sun, W.; Li, S.; Yang, C.; Li, C.; Lu, Z. Degradation of tetracycline by medium pressure UV-activated peroxymonosulfate process: Influencing factors, degradation pathways, and toxicity evaluation. Chem. Eng. J. 2018, 361, 1053–1062. [Google Scholar] [CrossRef]
- Qu, J.; Meng, X.; Zhang, Y.; Meng, Q.; Tao, Y.; Hu, Q.; Jiang, X.; You, H.; Shoemaker, C.A. A combined system of microwave-functionalized rice husk and poly-aluminium chloride for trace cadmium-contaminated source water purification: Exploration of removal efficiency and mechanism. J. Hazard. Mater. 2019, 379, 120804. [Google Scholar] [CrossRef] [PubMed]
- Hu, L.; Zhang, G.; Liu, M.; Wang, Q.; Wang, P. Enhanced degradation of Bisphenol A (BPA) by peroxymonosulfate with Co3O4-Bi2O3 catalyst activation: Effects of pH, inorganic anions, and water matrix. Chem. Eng. J. 2018, 338, 300–310. [Google Scholar] [CrossRef]
- Espinosa, J.C.; Catalá, C.; Navalón, S.; Ferrer, B.; Álvaro, M.; García, H. Iron oxide nanoparticles supported on diamond nanoparticles as efficient and stable catalyst for the visible light assisted Fenton reaction. Appl. Catal. B Environ. 2018, 226, 242–251. [Google Scholar] [CrossRef]
- Wang, J.; Bai, Z. Fe-based catalysts for heterogeneous catalytic ozonation of emerging contaminants in water and wastewater. Chem. Eng. J. 2017, 312, 79–98. [Google Scholar] [CrossRef]
- Xu, X.-R.; Li, X.-Z. Degradation of azo dye Orange G in aqueous solutions by persulfate with ferrous ion. Sep. Purif. Technol. 2010, 72, 105–111. [Google Scholar] [CrossRef]
- Abbasi, M.; Mirzaei, A.A.; Atashi, H. Hydrothermal synthesis of Fe-Ni-Ce nano-structure catalyst for Fischer-Tropsch synthesis: Characterization and catalytic performance. J. Alloys Compd. 2019, 799, 546–555. [Google Scholar] [CrossRef]
- Su, S.; Liu, Y.; He, W.; Tang, X.; Jin, W.; Zhao, Y. A novel graphene oxide-carbon nanotubes anchored α-FeOOH hybrid activated persulfate system for enhanced degradation of Orange II. J. Environ. Sci. 2019, 83, 73–84. [Google Scholar] [CrossRef]
- Zhang, G.; Sun, Z.; Duan, Y.; Ma, R.; Zheng, S. Synthesis of nano-TiO2/diatomite composite and its photocatalytic degradation of gaseous formaldehyde. Appl. Surf. Sci. 2017, 412, 105–112. [Google Scholar] [CrossRef]
- Sorolla, M.G., II; Dalida, M.L.; Khemthong, P.; Grisdanurak, N. Photocatalytic degradation of paraquat using nano-sized Cu-TiO2/SBA-15 under UV and visible light. J. Environ. Sci. China 2012, 24, 1125–1132. [Google Scholar] [CrossRef]
- Semião, M.A.; Haminiuk, C.W.I.; Maria, G.M. Residual diatomaceous earth as a potential and cost effective biosorbent of the azo textile dye Reactive Blue 160. J. Environ. Chem. Eng. 2020, 8, 103617. [Google Scholar] [CrossRef]
- Xu, L.J.; Chu, W.; Gan, L. Environmental application of graphene-based CoFe2O4 as an activator of peroxymonosulfate for the degradation of a plasticizer. Chem. Eng. J. 2015, 263, 435–443. [Google Scholar] [CrossRef]
- Yi, L.M.; Liang, Z.; Liang, L.G.; Fang, N.L.; Chun, S.X. Synthesis and photocatalytic activity of BiOCl/diatomite composite photocatalysts: Natural porous diatomite as photocatalyst support and dominant facets regulator. Adv. Powder Technol. 2020, 31, 339–350. [Google Scholar]
- Wang, B.; Zhang, G.; Leng, X.; Sun, Z.; Zheng, S. Characterization and improved solar light activity of vanadium doped TiO2/diatomite hybrid catalysts. J. Hazard. Mater. 2015, 285, 212–220. [Google Scholar] [CrossRef]
- Zhu, Q.; Zhang, Y.; Zhou, F.; Lv, F.; Ye, Z.; Fan, F.; Chu, P.K. Preparation and characterization of Cu2O–ZnO immobilized on diatomite for photocatalytic treatment of red water produced from manufacturing of TNT. Chem. Eng. J. 2011, 171, 61–68. [Google Scholar] [CrossRef]
- Chen, Y.; Wu, Q.; Zhou, C.; Jin, Q. Facile preparation of Ce-doped TiO2/diatomite granular composite with enhanced photocatalytic activity. Adv. Powder Technol. 2018, 29, 106–116. [Google Scholar] [CrossRef]
- Sharma, V.K.; McDonald, T.J.; Kim, H.; Garg, V.K. Magnetic graphene–carbon nanotube iron nanocomposites as adsorbents and antibacterial agents for water purification. Adv. Colloid Interface 2015, 225, 229–240. [Google Scholar] [CrossRef]
- Hu, S.; Zhou, F.; Wang, L.; Zhang, J. Preparation of Cu2O/CeO2 heterojunction photocatalyst for the degradation of Acid Orange 7 under visible light irradiation. Catal. Commun. 2011, 12, 794–797. [Google Scholar] [CrossRef]
- Liu, Y.; Zhu, Y.; Xu, J.; Bai, X.; Zong, R.; Zhu, Y. Degradation and mineralization mechanism of phenol by BiPO4 photocatalysis assisted with H2O2. Appl. Catal. B Environ. 2013, 142, 561–567. [Google Scholar] [CrossRef]
- Liang, C.; Bruell, C.J.; Marley, M.C.; Sperry, K.L. Persulfate oxidation for in situ remediation of TCE. I. Activated by ferrous ion with and without a persulfate-thiosulfate redox couple. Chemosphere 2004, 55, 1213–1223. [Google Scholar] [CrossRef]
- Zhao, J.; Zhang, Y.; Quan, X.; Chen, S. Enhanced oxidation of 4-chlorophenol using sulfate radicals generated from zero-valent iron and peroxydisulfate at ambient temperature. Sep. Purif. Technol. 2009, 71, 302–307. [Google Scholar] [CrossRef]
- Figueroa, R.A.; Leonard, A.; MacKay, A.A. Modeling Tetracycline Antibiotic Sorption to Clays. Environ. Sci. Technol. 2004, 38, 476–483. [Google Scholar] [CrossRef] [PubMed]
- Chu, W.; Li, D.; Gao, N.; Templeton, M.R.; Tan, C.; Gao, Y. The control of emerging haloacetamide DBP precursors with UV/persulfate treatment. Water Res. 2015, 72, 340–348. [Google Scholar] [CrossRef] [PubMed]
- Qu, J.; Tian, X.; Jiang, Z.; Cao, B.; Akindolie, M.S.; Hu, Q.; Feng, C.; Feng, Y.; Meng, X.; Zhang, Y. Multi-component adsorption of Pb(II), Cd(II) and Ni(II) onto microwave-functionalized cellulose: Kinetics, isotherms, thermodynamics, mechanisms and application for electroplating wastewater purification. J. Hazard. Mater. 2020, 387, 121718. [Google Scholar] [CrossRef]










| Dosage of Fe-Ce/DIA (g/L) | Reaction Rate Constant k (min−1) | R2 |
|---|---|---|
| 0 | 2.4 × 10−3 | 0.9928 |
| 0.005 | 6.9 × 10−3 | 0.9468 |
| 0.008 | 7.5 × 10−3 | 0.8700 |
| 0.010 | 8.3 × 10−3 | 0.8473 |
| 0.020 | 6.1 × 10−3 | 0.7022 |
| Dosage of PS (mM) | Reaction Rate Constant k (min−1) | R2 |
|---|---|---|
| 0 | 0.6 × 10−4 | 0.0782 |
| 1 | 6.7 × 10−3 | 0.9080 |
| 5 | 7.1 × 10−3 | 0.9061 |
| 10 | 8.3 × 10−3 | 0.9094 |
| 30 | 8.5 × 10−3 | 0.9016 |
| 50 | 8.2 × 10−3 | 0.9203 |
| Concentration of TC (mg/L) | Reaction Rate Constant k (min−1) | R2 |
|---|---|---|
| 25 | 9.2 × 10−3 | 0.8321 |
| 50 | 8.3 × 10−3 | 0.8473 |
| 100 | 6.0 × 10−3 | 0.006 |
| 150 | 5.3 × 10−3 | 0.0053 |
| pH of Solution | Reaction Rate Constant k (min−1) | R2 |
|---|---|---|
| 3.05 | 7.4 × 10−3 | 0.8089 |
| 3.77 | 7.3 × 10−3 | 0.7661 |
| 7.34 | 8.0 × 10−3 | 0.8179 |
| 9.53 | 7.5 × 10−3 | 0.8780 |
| T (°C) | Reaction Rate (min−1) | R2 |
|---|---|---|
| 25 | 1.81 × 10−2 | 0.9194 |
| 30 | 1.83 × 10−2 | 0.9920 |
| 35 | 1.86 × 10−2 | 0.9686 |
| 40 | 1.98 × 10−2 | 0.9524 |
Sample Availability: Samples of the compounds Fe-Ce/DIA, Fe-DIA, Ce-DIA are available from the authors. |
Publisher’s Note: MDPI stays neutral with regard to jurisdictional claims in published maps and institutional affiliations. |
© 2020 by the authors. Licensee MDPI, Basel, Switzerland. This article is an open access article distributed under the terms and conditions of the Creative Commons Attribution (CC BY) license (http://creativecommons.org/licenses/by/4.0/).
Share and Cite
Lv, C.; Shi, J.; Tang, Q.; Hu, Q. Tetracycline Removal by Activating Persulfate with Diatomite Loading of Fe and Ce. Molecules 2020, 25, 5531. https://doi.org/10.3390/molecules25235531
Lv C, Shi J, Tang Q, Hu Q. Tetracycline Removal by Activating Persulfate with Diatomite Loading of Fe and Ce. Molecules. 2020; 25(23):5531. https://doi.org/10.3390/molecules25235531
Chicago/Turabian StyleLv, Chongning, Jindou Shi, Qiuju Tang, and Qi Hu. 2020. "Tetracycline Removal by Activating Persulfate with Diatomite Loading of Fe and Ce" Molecules 25, no. 23: 5531. https://doi.org/10.3390/molecules25235531
APA StyleLv, C., Shi, J., Tang, Q., & Hu, Q. (2020). Tetracycline Removal by Activating Persulfate with Diatomite Loading of Fe and Ce. Molecules, 25(23), 5531. https://doi.org/10.3390/molecules25235531
