Recent Advances in One-Pot Modular Synthesis of 2-Quinolones
Abstract
1. Introduction
2. Two-Component Reactions
2.1. Pd-Catalyzed Reactions
2.2. Other Transition-Metal-Catalyzed Reactions Using Cu, Ag, Rh, Ir, and Ni
2.3. Transition-Metal-Free Reactions
3. Three-Component Reactions
3.1. Pd-Catalyzed Reactions
3.2. Other Transition-Metal-Catalyzed Three-Component Reactions
4. Miscellaneous
4.1. Four-Component Reactions and Related Protocols
4.2. Recent Approaches to Fused 2-Quinolones
5. Conclusions and Outlook
Funding
Conflicts of Interest
References
- Pham, T.D.M.; Ziora, Z.M.; Blaskovich, M.A.T. Quinolone antibiotics. Med. Chem. Commun. 2019, 10, 1719–1739. [Google Scholar] [CrossRef]
- Xing, G.; Pan, L.; Yi, C.; Li, X.; Ge, X.; Zhao, Y.; Liu, Y.; Li, J.; Woo, A.; Lin, B.; et al. Design, synthesis and biological evaluation of 5-(2-amino-1-hydroxyethyl)-8-hydroxyquinolin-2(1H)-one derivatives as potent β2-adrenoceptor agonists. Bioorg. Med. Chem. 2019, 27, 2306–2314. [Google Scholar] [CrossRef]
- Aparici, M.; Carcasona, C.; Ramos, I.; Montero, J.L.; Otal, R.; Ortiz, J.L.; Cortijo, J.; Puig, C.; Vilella, D.; De Alba, J.; et al. Pharmacological profile of AZD8871 (LAS191351), a novel inhaled dual M3 receptor antagonist/β2-adrenoceptor agonist molecule with long-lasting effects and favorable safety profile. J. Pharmacol. Exp. Ther. 2019, 370, 127–136. [Google Scholar] [CrossRef] [PubMed]
- Ramos, I.; Aparici, M.; Letosa, M.; Puig, C.; Gavaldà, A.; Huerta, J.M.; Espinosa, S.; Vilella, D.; Miralpeix, M. Abediterol (LAS100977), an inhaled long-acting β2-adrenoceptor agonist, has a fast association rate and long residence time at receptor. Eur. J. Pharmacol. 2018, 819, 89–97. [Google Scholar] [CrossRef] [PubMed]
- Ge, X.; Woo, A.Y.-H.; Xing, G.; Lu, Y.; Mo, Y.; Zhao, Y.; Lan, Y.; Li, J.; Yan, H.; Pan, L.; et al. Synthesis and biological evaluation of β2-adrenoceptor agonists bearing the 2-amino-2-phenylethanol scaffold. Eur. J. Med. Chem. 2018, 152, 424–435. [Google Scholar] [CrossRef] [PubMed]
- Aparici, M.; Carcasona, C.; Ramos, I.; Montero, J.L.; Ortiz, J.L.; Cortijo, J.; Puig, C.; Vilella, D.; Doe, C.; Gavaldà, A.; et al. Pharmacological preclinical characterization of LAS190792, a novel inhaled bifunctional muscarinic receptor antagonist/β2-adrenoceptor agonist (MABA) molecule. Pulm. Pharmacol. Ther. 2017, 46, 1–10. [Google Scholar] [CrossRef] [PubMed]
- Hughes, A.D.; Chen, Y.; Hegde, S.S.; Jasper, J.R.; Jaw-Tsai, S.; Lee, T.-W.; McNamara, A.; Pulido-Rios, M.T.; Steinfeld, T.; Mammen, M. Discovery of (R)-1-(3-((2-chloro-4-(((2-hydroxy-2-(8-hydroxy-2-oxo-1,2-dihydroquinolin-5-yl)ethyl)amino)methyl)-5-methoxyphenyl)-amino)-3-oxopropyl)-piperidin-4-yl [1,1′-biphenyl]-2-ylcarbamate (TD-5959, GSK961081, Batefenterol): First-in-class dual pharmacology multivalent muscarinic antagonist and β2 agonist (MABA) for the treatment of chronic obstructive pulmonary disease (COPD). J. Med. Chem. 2015, 58, 2609–2622. [Google Scholar] [PubMed]
- Jones, L.H.; Burrows, J.; Feeder, N.; Glossop, P.; James, K.; Jones, R.M.; Kenyon, A.S.; Patel, S.; Roberts, D.F.; Selby, M.D.; et al. Molecular hybridization yields triazole bronchodilators for the treatment of COPD. Bioorg. Med. Chem. Lett. 2015, 25, 5121–5126. [Google Scholar] [CrossRef]
- Tang, Q.; Zhai, X.; Tu, Y.; Wang, P.; Wang, L.; Wu, C.; Wang, W.; Xie, H.; Gong, P.; Zheng, P. Synthesis and antiproliferative activity of 6,7-disubstituted-4-phenoxyquinoline derivatives bearing the 2-oxo-4-chloro-1,2-dihydroquinoline-3-carboxamide moiety. Bioorg. Med. Chem. Lett. 2016, 26, 1794–1798. [Google Scholar] [CrossRef]
- Han, S.-Y.; Choi, J.W.; Yang, J.; Chae, C.H.; Lee, J.; Jung, H.; Lee, K.; Ha, J.D.; Kim, H.R.; Cho, S.Y. Design and synthesis of 3-(4,5,6,7-tetrahydro-3H-imidazo[4,5-c]pyridin-2-yl)-1H-quinolin-2-ones as VEGFR-2 kinase inhibitors. Bioorg. Med. Chem. Lett. 2012, 22, 2837–2842. [Google Scholar] [CrossRef]
- Chen, J.; Peng, H.; He, J.; Huan, X.; Miao, Z.; Yang, C. Synthesis of isoquinolinone-based tricycles as novel poly(ADP-ribose)polymerase-1 (PARP-1) inhibitors. Bioorg. Med. Chem. Lett. 2014, 24, 2669–2673. [Google Scholar] [CrossRef] [PubMed]
- Hannigan, K.; Kulkarni, S.S.; Bdzhola, V.G.; Golub, A.G.; Yarmoluk, S.M.; Talele, T.T. Identification of novel PARP-1 inhibitors by structure-based virtual screening. Bioorg. Med. Chem. Lett. 2013, 23, 5790–5794. [Google Scholar] [CrossRef] [PubMed]
- Park, C.-H.; Chun, K.; Choi, J.-H.; Ji, W.-K.; Kim, H.Y.; Kim, S.H.; Han, G.; Kim, M.-H. Synthesis and evaluation of tricyclic derivatives containing a non-aromatic amide as poly(ADP-ribose)polymerase-1 (PARP-1) inhibitors. Bull. Korean Chem. Soc. 2011, 32, 1650–1656. [Google Scholar] [CrossRef][Green Version]
- Park, C.-H.; Chun, K.; Joe, B.-Y.; Park, J.-S.; Kim, Y.-C.; Choi, J.-S.; Ryu, D.-K.; Koh, S.-H.; Cho, G.W.; Kim, S.H.; et al. Synthesis and evaluation of tricyclic derivatives containing a non-aromatic amide as inhibitors of poly(ADP-ribose)polymerase-1 (PARP-1). Bioorg. Med. Chem. Lett. 2010, 20, 2250–2253. [Google Scholar] [CrossRef] [PubMed]
- Lehtioe, L.; Jemth, A.-S.; Collins, R.; Loseva, O.; Johansson, A.; Markova, N.; Hammarstroem, M.; Flores, A.; Holmberg-Schiavone, L.; Weigelt, J.; et al. Structural basis for inhibitor specificity in human poly(ADP-ribose)polymerase-3. J. Med. Chem. 2009, 52, 3108–3111. [Google Scholar] [CrossRef] [PubMed]
- Tintori, C.; La Sala, G.; Vignaroli, G.; Botta, L.; Fallacara, A.L.; Falchi, F.; Radi, M.; Zamperini, C.; Dreassi, E.; Iacono, L.D.; et al. Studies on the ATP binding site of Fyn kinase for the identification of new inhibitors and their evaluation as potential agents against tauopathies and tumors. J. Med. Chem. 2015, 58, 4590–4609. [Google Scholar] [CrossRef] [PubMed]
- Brnardic, E.J.; Garbaccio, R.M.; Fraley, M.E.; Tasber, E.S.; Steen, J.T.; Arrington, K.L.; Dudkin, V.Y.; Hartman, G.D.; Stirdivant, S.M.; Drakas, B.A.; et al. Optimization of a pyrazoloquinolinone class of Chk1 kinase inhibitors. Bioorg. Med. Chem. Lett. 2007, 17, 5989–5994. [Google Scholar] [CrossRef]
- Huang, S.; Garbaccio, R.M.; Fraley, M.E.; Steen, J.; Kreatsoulas, C.; Hartman, G.; Stirdivant, S.; Drakas, B.; Rickert, K.; Walsh, E.; et al. Development of 6-substituted indolylquinolinones as potent Chek1 kinase inhibitors. Bioorg. Med. Chem. Lett. 2006, 16, 5907–5912. [Google Scholar] [CrossRef]
- Ni, Z.-J.; Barsanti, P.; Brammeier, N.; Diebes, A.; Poon, D.J.; Ng, S.; Pecchi, S.; Pfister, K.; Renhowe, P.A.; Ramurthy, S.; et al. 4-(Aminoalkylamino)-3-benzimidazole-quinolinones as potent CHK-1 inhibitors. Bioorg. Med. Chem. Lett. 2006, 16, 3121–3124. [Google Scholar] [CrossRef]
- Mugnaini, C.; Kostrzewa, M.; Bryk, M.; Mahmoud, A.M.; Brizzi, A.; Lamponi, S.; Giorgi, G.; Ferlenghi, F.; Vacondio, F.; Maccioni, P.; et al. Design, synthesis, and physicochemical and pharmacological profiling of 7-hydroxy-5-oxopyrazolo[4,3-b]pyridine-6-carboxamide derivatives with antiosteoarthritic activity In Vivo. J. Med. Chem. 2020, 63, 7369–7391. [Google Scholar] [CrossRef]
- Reyes-Batlle, M.; Freijo, M.B.; López-Arencibia, A.; Lorenzo-Morales, J.; McNaughton-Smith, G.; Pinero, J.E.; Abad-Grillo, T. Identification of N-acyl quinolin-2(1H)-ones as new selective agents against clinical isolates of Acanthamoeba keratitis. Bioorg. Chem. 2020, 99, 103791. [Google Scholar] [CrossRef] [PubMed]
- Xue, W.; Li, X.; Ma, G.; Zhang, H.; Chen, Y.; Kirchmair, J.; Xia, J.; Wu, S. N-Thiadiazole-4-hydroxy-2-quinolone-3-carboxamides bearing heteroaromatic rings as novel antibacterial agents: Design, synthesis, biological evaluation and target identification. Eur. J. Med. Chem. 2020, 188, 112022. [Google Scholar] [CrossRef] [PubMed]
- Yukawa, T.; Nakahata, T.; Okamoto, R.; Ishichi, Y.; Miyamoto, Y.; Nishimura, S.; Oikawa, T.; Kubo, K.; Adachi, R.; Satomi, Y.; et al. Discovery of 1,8-naphthyridin-2-one derivative as a potent and selective sphingomyelin synthase 2 inhibitor. Bioorg. Med. Chem. 2020, 28, 115376. [Google Scholar] [CrossRef] [PubMed]
- Sekgota, K.C.; Majumder, S.; Isaacs, M.; Mnkandhla, D.; Hoppe, H.C.; Khanye, S.D.; Kriel, F.H.; Coates, J.; Kaye, P.T. Application of the Morita-Baylis-Hillman reaction in the synthesis of 3-[(N-cycloalkylbenzamido)methyl]-2-quinolones as potential HIV-1 integrase inhibitors. Bioorg. Chem. 2017, 75, 310–316. [Google Scholar] [CrossRef]
- Badaoui, M.I.; Magid, A.A.; Benkhaled, M.; Bensouici, C.; Harakat, D.; Voutquenne-Nazabadioko, L.; Haba, H. Pyrroloquinolone A, a new alkaloid and other phytochemicals from Atractylis cancellata L. with antioxidant and anticholinesterase activities. Nat. Prod. Res. 2019, 1–7. [Google Scholar] [CrossRef]
- Lou, L.-L.; Cheng, Z.-Y.; Guo, R.; Yao, G.-D.; Song, S.-J. Alkaloids from Juglans Mandshurica maxim induce distinctive cell death in hepatocellular carcinoma cells. Nat. Prod. Res. 2019, 33, 911–914. [Google Scholar] [CrossRef]
- Choi, Y.-H.; Seo, C.; Jeong, W.; Lee, J.E.; Lee, J.Y.; Ahn, E.-K.; Kang, J.-S.; Lee, J.-H.; Choi, C.W.; Oh, J.S.; et al. Glycopentanolones A-D, four new geranylated quinolone alkaloids from Glycosmis pentaphylla. Bioorg. Chem. 2019, 87, 714–719. [Google Scholar] [CrossRef]
- Li, X.; Huo, X.; Li, J.; She, X.; Pan, X. A concise synthesis of (±)-yaequinolone A2. Chin. J. Chem. 2009, 27, 1379–1381. [Google Scholar] [CrossRef]
- Stephen, A.; Boyd, D.R.; Sharma, N.D.; Loke, P.L. Syntheses and absolute configuration assignments of mono- and di-substituted chiral quinoline alkaloids obtained by asymmetric oxidation. Heterocycles 2009, 79, 831–850. [Google Scholar]
- Chung, H.S.; Woo, W.S. A quinolone alkaloid with antioxidant activity from the aleurone layer of anthocyanin-pigmented rice. J. Nat. Prod. 2001, 64, 1579–1580. [Google Scholar] [CrossRef]
- Jacquemond-Collet, I.; Hannedouche, S.; Fourasté, I.; Moulis, C. Novel quinoline alkaloid from trunk bark of Galipea officinalis. Fitoterapia 2000, 71, 605–606. [Google Scholar] [CrossRef]
- Akhmedzhanova, V.I. New alkaloids from Haplophyllum. Chem. Nat. Compd. 1999, 35, 552–553. [Google Scholar] [CrossRef]
- Chen, I.-S.; Wu, S.-J.; Leu, Y.-L.; Tsai, I.-W.; Wu, T.-S. Alkaloids from root bark of Zanthoxylum simulans. Phytochemistry 1996, 42, 217–219. [Google Scholar] [CrossRef]
- Perrett, S.; Whitfield, P.J. Atanine (3-dimethylallyl-4-methoxy-2-quinolone), an alkaloid with anthelmintic activity from the Chinese medicinal plant, Evodia rutaecarpa. Planta Med. 1995, 61, 276–278. [Google Scholar] [CrossRef] [PubMed]
- Sarker, S.D.; Waterman, P.G.; Armstrong, J.A. 3,4,8-Trimethoxy-2-quinolone: A new alkaloid from Eriostemon gardneri. J. Nat. Prod. 1995, 58, 574–576. [Google Scholar] [CrossRef]
- Chen, I.-S.; Wu, S.-J.; Lin, Y.-C.; Tsai, I.-L.; Seki, H.; Ko, F.-N.; Teng, C.-M. Dimeric 2-quinolone alkaloid and antiplatelet aggregation constituents of Zanthoxylum simulans. Phytochemistry 1994, 36, 237–239. [Google Scholar]
- Wu, S.-J.; Chen, I.-S. Alkaloids from Zanthoxylum simulans. Phytochemistry 1993, 34, 1659–1661. [Google Scholar]
- Ngadjui, B.T.; Ayafor, J.F.; Mitaku, S.; Skaltsounis, A.-L.; Tillequin, F.; Koch, M. Dehydration of hydroxy-hemiterpenoid quinoline alkaloids and synthesis of Paraensidimerines. J. Nat. Prod. 1989, 52, 300–305. [Google Scholar] [CrossRef]
- Ayafor, J.F.; Sondengam, B.L.; Ngadjui, B.T. Veprisilone, a prenylated 2-quinolone, and limonin from Vepris louisii. Phytochemistry 1982, 21, 955–956. [Google Scholar] [CrossRef]
- Vaquette, J.; Hifnawy, M.S.; Pousset, J.L.; Fournet, A.; Bouquet, A.; Cavé, A. Alcaloides d’Araliopsis soyauxii. isolement d’un nouvel alcaloide, l’araliopsine. Phytochemistry 1976, 15, 743–745. [Google Scholar] [CrossRef]
- Rapoport, H.; Holden, K.G. Alkaloids of Balfourodendron riedelianum. Balfourodine and isobalfourodine. J. Am. Chem. Soc. 1960, 82, 4395–4404. [Google Scholar] [CrossRef]
- Rapoport, H.; Holden, K.G. Isolation of alkaloids from Balfourodendron riedelianum. The Structure of balfourodine. J. Am. Chem. Soc. 1959, 81, 3738–3743. [Google Scholar] [CrossRef]
- Goodwin, S.; Shoolery, J.N.; Horning, E.C. Alkaloids of Lunasia amara Blanco. Hydroxylunacridine. J. Am. Chem. Soc. 1959, 81, 3736–3738. [Google Scholar] [CrossRef]
- Hu, Z.; Deng, Q.; Yang, S.; Guo, D. Preparation and fluorescence properties of novel 2-quinolone derivatives and their corresponding Eu(III) complexes. Colloids Surf. A 2020, 599, 124861. [Google Scholar] [CrossRef]
- Lee, S.B.; Lee, N.-G.; Jung, Y.R.; Kim, D.; Hong, K.B.; Choi, S. Synthesis and verification of fluorescent pH probes based on 2-quinolone platform. Chem. Lett. 2018, 47, 433–435. [Google Scholar] [CrossRef]
- Murugan, N.A.S.; Yamesh, V.U.; Annaraj, J. A Schiff’s base receptor for red fluorescence live cell imaging of Zn2+ ions in zebrafish embryos and naked eye detection of Ni2+ ions for bio-analytical applications. J. Mater. Chem. B 2017, 5, 3195–3200. [Google Scholar] [CrossRef] [PubMed]
- Velmurugan, K.; Raman, A.; Don, D.; Tang, L.; Easwaramoorthi, S.; Nandhakumar, R. Quinoline benzimidazole-conjugate for the highly selective detection of Zn(II) by dual colorimetric and fluorescent turn-on responses. RSC Adv. 2015, 5, 44463–44469. [Google Scholar] [CrossRef]
- Patil, S.R.; Nandre, J.P.; Patil, P.A.; Bothra, S.; Sahoo, S.K.; Klasek, A.; Rodríguez-López, J.; Mahulikar, P.P.; Patil, U.D. Quinolone based chemosensor for the naked-eye and spectrophotometric detection of Cu2+ in aqueous media. Inorg. Chem. Commun. 2014, 49, 59–62. [Google Scholar] [CrossRef]
- Ganesan, P.; Chandiran, A.; Gao, P.; Rajalingam, R.; Grätzel, M.; Nazeeruddin, M.K. Molecular engineering of 2-quinolinone based anchoring groups for dye-sensitized solar cells. J. Phys. Chem. C 2014, 118, 16896–16903. [Google Scholar] [CrossRef]
- Murugavel, S.; Sundramoorthy, S.; Lakshmanan, D.; Subashini, R.; Kumar, P.P. Synthesis, crystal structure analysis, spectral (NMR, FT-IR, FT-Raman and UV-Vis) investigations, molecular docking studies, antimicrobial studies and quantum chemical calculations of a novel 4-chloro-8-methoxyquinoline-2(1H)-one: An effective antimicrobial agent and an inhibition of DNA gyrase and lanosterol-14α-demethylase enzymes. J. Mol. Struct. 2017, 1131, 51–72. [Google Scholar]
- Kieffer, C.; Cohen, A.; Verhaeghe, P.; Hutter, S.; Castera-Ducros, C.; Laget, M.; Remusat, V.; M’Rabet, M.K.; Rault, S.; Rathelot, P.; et al. Looking for new antileishmanial derivatives in 8-nitroquinolin-2(1H)-one series. Eur. J. Med. Chem. 2015, 92, 282–294. [Google Scholar] [CrossRef]
- Tashima, T. The structural use of carbostyril in physiologically active substances. Bioorg. Med. Chem. Lett. 2015, 25, 3415–3419. [Google Scholar] [CrossRef]
- Pedron, J.; Boudot, C.; Hutter, S.; Bourgeade-Delmas, S.; Stigliani, J.-L.; Sournia-Saquet, A.; Moreau, A.; Boutet-Robinet, E.; Paloque, L.; Mothes, E.; et al. Novel 8-nitroquinolin-2(1H)-ones as NRT-bioactivated antiknetoplastid molecules: Synthesis, electrochemical and SAR study. Eur. J. Med. Chem. 2018, 155, 135–152. [Google Scholar] [CrossRef]
- Kay, I.T.; Taylor, P.J. The synthesis and physical properties of some 2-alkylthio-4-oxoquinoline-3-carboxylate esters. J. Chem. Soc. C 1968, 2656–2661. [Google Scholar] [CrossRef]
- De la Cruz, A.; Elguero, J.; Goya, P.; Martínez, A.; Pfleiderer, W. Tautomerism and acidity in 4-quinolone-3-carboxylic acid derivatives. Tetrahedron 1992, 48, 6135–6150. [Google Scholar] [CrossRef]
- Murguly, E.; Norsten, T.B.; Branda, N. Tautomerism of 4-hydroxyterpyridine in the solid, solution and gas phase: An X-ray, FT-IR and NMR study. J. Chem. Soc. Perkin Trans. 2 1999, 2789–2794. [Google Scholar] [CrossRef]
- Mphahlele, M.J.; El-Naha, A.M. Tautomeric 2-arylquinolin-4(1H)-one derivatives- spectroscopic, X-ray and quantum chemical structural studies. J. Mol. Struct. 2004, 688, 129–136. [Google Scholar] [CrossRef]
- Horta, P.; Kus, N.; Henriques, M.S.C.; Paixão, J.; Coelho, L.; Nogueira, F.; O’Neill, P.M.; Fausto, R.; Cristiano, M.L.S. Quinolone-hydroxyquinoline tautomerism in quinolone 3-esters. Preserving the 4-oxoquinoline structure to retain antimalarial activity. J. Org. Chem. 2015, 80, 12244–12257. [Google Scholar] [CrossRef]
- Kang, O.-Y.; Park, S.J.; Ahn, H.; Jeong, K.C.; Lim, W.J. Structural assignment of the enol-keto tautomers of one-pot synthesized 4-hydroxyquinolines/4-quinolones. Org. Chem. Front. 2019, 6, 183–189. [Google Scholar] [CrossRef]
- Ewing, G.W.; Steck, E.A. Absorption spectra of heterocyclic compounds. I. quinolinols and isoquinolinols. J. Am. Chem. Soc. 1946, 68, 2181–2187. [Google Scholar] [CrossRef]
- Pfister-Guillouzo, G.; Cuimon, C.; Frank, J.; Ellison, J.; Katritzky, A.R. A photoelectron spectral study of the vapour phase tautomerism of 2- and 4-quinolone. Liebigs Ann. Chem. 1981, 1981, 366–375. [Google Scholar] [CrossRef]
- Mirek, J.; Sygula, A. Semiempirical MNDO and UV absorption studies on tautomerism of 2-quinolones. Z. Für Naturforschung A 1982, 37, 1276–1283. [Google Scholar] [CrossRef]
- Masoud, M.S.; Mohammed, M.S.; Abdel-Latif, F.F.; Soliman, E.M.A. Spectral studies on some 2-quinolones. Spectrosc. Lett. 1988, 21, 369–383. [Google Scholar] [CrossRef]
- Pan, Y.; Lau, K.-C.; Al-Mogren, M.M.; Mahjoub, A.; Hochlaf, M. Theoretical studies of 2-quinolinol: Geometries, vibrational frequencies, isomerization, tautomerism, and excited states. Chem. Phys. Lett. 2014, 613, 29–33. [Google Scholar] [CrossRef]
- Lewis, F.D.; Reddy, G.D.; Elbert, J.E.; Tillberg, B.E.; Meltzer, J.A.; Kojima, M. Spectroscopy and photochemistry of 2-quinolones and their Lewis acid complexes. J. Org. Chem. 1991, 56, 5311–5318. [Google Scholar] [CrossRef]
- Krebs, C.; Förster, W.; Weiss, C.; Hofmann, H.-J. Theoretical description of solvent effects. V. The medium influence on the lactim-lactam tautomerism of hydroxyazines. J. Prakt. Chem. 1982, 324, 369–378. [Google Scholar] [CrossRef]
- Volle, J.-N.; Mävers, U.; Schlosser, M. The tautomeric persistence of electronically and sterically biased 2-quinolones. Eur. J. Org. Chem. 2008, 2008, 2430–2438. [Google Scholar] [CrossRef]
- Bird, C.W. The application of a new aromaticity index to six-membered ring heterocycles. Tetrahedron 1986, 42, 89–92. [Google Scholar] [CrossRef]
- Friedländer, P. Ueber o-amidobenzaldehyd. Chem. Ber. 1882, 15, 2572–2575. [Google Scholar] [CrossRef]
- Friedländer, P.; Gohring, C.F. Ueber eine darstellungsmethode im pyridinkern substituirter Chinolinderivate. Chem. Ber. 1883, 16, 1833–1839. [Google Scholar] [CrossRef]
- Knorr, L. Synthesis of quinoline-derivatives. Liebigs Ann. Chem. 1884, 46, 1198. [Google Scholar]
- Knorr, L. Synthetical experiments with ethyl acetoacetate. Liebigs Ann. Chem. 1886, 236, 69. [Google Scholar] [CrossRef]
- Knorr, L. Syntheses with ethyl acetoacetate. Liebigs Ann. Chem. 1888, 245, 357. [Google Scholar] [CrossRef]
- Bergstrom, F.W. Heterocyclic nitrogen compounds. Part IIA. Hexacyclic compounds: Pyridine, quinoline, and isoquinoline. Chem. Rev. 1944, 35, 77–277. [Google Scholar] [CrossRef]
- Hauser, C.R.; Reynolds, G.A. Reactions of β-keto esters with aromatic amines. Syntheses of 2- and 4-hydroxyquinoline derivatives. J. Am. Chem. Soc. 1948, 70, 2402–2404. [Google Scholar] [CrossRef]
- Staskun, B. The conversion of benzoylacetanilides into 2- and 4-hydroxyquinolines. J. Org. Chem. 1964, 29, 1153–1157. [Google Scholar] [CrossRef]
- Kumar, K.; Sai, S.; Gilbert, T.M.; Klumpp, D.A. Knorr cyclizations and distonic superelectrophiles. J. Org. Chem. 2007, 72, 9761–9764. [Google Scholar]
- Abdou, M.M. Chemistry of 4-hydroxy-2(1H)-quinolone. Part 1: Synthesis and reactions. Arab. J. Chem. 2017, 10, 3324–3337. [Google Scholar] [CrossRef]
- Aly, A.A.; El-Sheref, E.M.; Mourad, A.-F.; Bakheet, M.E.; Bräse, S. 4-Hydroxy-2-quinolones: Syntheses, reactions and fused heterocycles. Mol. Divers. 2020, 24, 477–524. [Google Scholar] [CrossRef]
- Yamamoto, Y. Recent advances in transition-metal-catalyzed synthesis of 3- and/or 4-aryl-2(1H)-quinolones. Heterocycles 2019, 98, 1309–1344. [Google Scholar] [CrossRef]
- Vessally, E.; Babazadeh, M.; Didehban, K.; Hosseinian, A.; Edjlali, L. Intramolecular cyclization of N-arylpropiolamides: A new strategy for the synthesis of functionalized 2-quinolones. Curr. Org. Chem. 2017, 21, 2561–2572. [Google Scholar] [CrossRef]
- Nishiwaki, N. Chemistry of nitroquinolones and synthetic application to unnatural 1-methyl-2-quinolone derivatives. Molecules 2010, 15, 5174–5195. [Google Scholar] [CrossRef] [PubMed]
- Silva, V.L.M.; Silva, A.M.S. Palladium-catalysed synthesis and transformation of quinolones. Molecules 2019, 24, 228. [Google Scholar] [CrossRef] [PubMed]
- Cortese, N.A.; Ziegler, C.B., Jr.; Hrnjez, B.J.; Heck, R.F. Palladium-catalyzed synthesis of 2-quinolone derivatives from 2-iodoanilines. J. Org. Chem. 1978, 43, 2952–2958. [Google Scholar] [CrossRef]
- Bernini, R.; Cacchi, S.; Fabrizi, G.; Sferrazza, A. 4-Aryl-2-quinolones via a domino Heck reaction/cyclization process. Heterocycles 2006, 69, 99–105. [Google Scholar] [CrossRef]
- Battistuzzi, G.; Bernini, R.; Cacchi, S.; De Salve, I.; Fabrizi, G. 4-Aryl-2-quinolones through a pseudo-domino Heck/Buchwald–Hartwig reaction in a molten tetrabutylammonium acetate/tetrabutylammonium bromide mixture. Adv. Synth. Catal. 2007, 349, 297–302. [Google Scholar] [CrossRef]
- Al-Amin, M.; Honma, T.; Hoshiya, N.; Shuto, S.; Arisawa, M. Ligand-free Buchwald–Hartwig aromatic aminations of aryl halides catalyzed by low-leaching and highly recyclable sulfur-modified gold-supported palladium material. Adv. Synth. Catal. 2012, 354, 1061–1068. [Google Scholar] [CrossRef]
- Cho, C.S.; Kim, J.U. An approach for quinolines via palladium-catalyzed Heck coupling followed by cyclization. Tetrahedron Lett. 2007, 48, 3775–3778. [Google Scholar] [CrossRef]
- Borhade, S.R.; Waghmode, S.B. An efficient synthesis of 4-arylquinolin-2(1H)-ones and 3-alkenyl-4-arylquinolin-2(1H)-one using a Pd/NiFe2O4-catalyzed consecutive Heck reaction. Can. J. Chem. 2011, 89, 1355–1363. [Google Scholar] [CrossRef]
- Manley, P.J.; Bilodeau, M.T. A new synthesis of naphthyridinones and quinolinones: Palladium-catalyzed amidation of o-carbonyl-substituted aryl halides. Org. Lett. 2004, 6, 2433–2435. [Google Scholar] [CrossRef]
- Teng, Y.; Suwanarusk, R.; Ngai, M.H.; Srinivasan, R.; Ong, A.S.M.; Ho, B.; Rénia, L.; Chai, C.L.L. An amidation/cyclization approach to the synthesis of N-hydroxyquinolinones and their biological evaluation as potential anti-plasmodial, anti-bacterial and iron(II)-chelating agents. Bioorg. Med. Chem. Lett. 2015, 25, 607–610. [Google Scholar] [CrossRef] [PubMed]
- Dong, Y.; Liu, B.; Chen, P.; Liu, Q.; Wang, M. Palladium-catalyzed C–S activation/aryne insertion/coupling sequence: Synthesis of functionalized 2-quinolinones. Angew. Chem. Int. Ed. 2014, 53, 3442–3446. [Google Scholar] [CrossRef] [PubMed]
- Wang, W.; Peng, X.; Qin, X.; Zhao, X.; Ma, C.; Tung, C.-H.; Xu, Z. Synthesis of quinolinones with palladium-catalyzed oxidative annulation between acrylamides and arynes. J. Org. Chem. 2015, 80, 2835–2841. [Google Scholar] [CrossRef] [PubMed]
- Wu, J.; Xiang, S.; Zeng, J.; Leow, M.; Liu, X.-W. Practical route to 2-quinolinones via a Pd-catalyzed C–H bond activation/C–C bond formation/cyclization cascade reaction. Org. Lett. 2015, 17, 222–225. [Google Scholar] [CrossRef] [PubMed]
- Xiao, C.; Wang, Z.; Lei, M.; Hu, L. Pd(II)-catalyzed cascade Heck/intramolecular C(sp2)–H amidation reaction: An efficient route to 4-aryl-2-quinolinones. Tetrahedron 2017, 73, 204–211. [Google Scholar] [CrossRef]
- Fu, L.; Huang, X.; Wang, D.; Zhao, P.; Ding, K. Copper(I) iodide catalyzed synthesis of quinolinones via cascade reactions of 2-halobenzocarbonyls with 2-arylacetamides. Synthesis 2011, 10, 1547–1554. [Google Scholar] [CrossRef]
- Ahn, B.H.; Lee, I.Y.; Lim, H.N. Step-economical synthesis of 3-amido-2-quinolones by dendritic copper powder-mediated one-pot reaction. Org. Biomol. Chem. 2018, 16, 7851–7860. [Google Scholar] [CrossRef]
- Mai, W.-P.; Sun, G.-C.; Wang, J.-T.; Song, G.; Mao, P.; Yang, L.-R.; Yuan, J.-W.; Xiao, Y.-M.; Qu, L.-B. Silver-catalyzed radical tandem cyclization: An approach to direct synthesis of 3-acyl-4-arylquinolin-2(1H)-ones. J. Org. Chem. 2014, 79, 8094–8102. [Google Scholar] [CrossRef]
- Chen, C.; Hao, Y.; Zhang, T.-Y.; Pan, J.-L.; Ding, J.; Xiang, H.-Y.; Whang, M.; Ding, T.-M.; Duan, A.; Zhang, S.-Y. Computational and experimental studies on copper-mediated selective cascade C–H/N–H annulation of electron-deficient acrylamide with arynes. Chem. Commun. 2019, 55, 755–758. [Google Scholar] [CrossRef]
- Charoenpol, A.; Meesin, J.; Khaikate, O.; Reutrakul, V.; Pohmakotr, M.; Leowanawat, P.; Soorukram, D.; Kuhakarn, C. Synthesis of 3-substituted quinolin-2(1H)-ones via the cyclization of o-alkynylisocyanobenzenes. Org. Biomol. Chem. 2018, 16, 7050–7054. [Google Scholar] [CrossRef]
- Manikandan, R.; Jeganmohan, M. Ruthenium-catalyzed cyclization of anilides with substituted propiolates or acrylates: An efficient route to 2-quinolones. Org. Lett. 2014, 16, 3568–3571. [Google Scholar] [CrossRef]
- Zhu, Y.-Q.; Hui, L.-W.; Niu, Y.-X.; Lv, L.-G.; Zhu, K. Reaction of cycloalkene-1-carboxamides with aryl boronates via rhodium(III)-catalyzed C–H activation: A versatile route to 3,4-cycloalkaquinolin-2(1H)-ones. Adv. Synth. Catal. 2019, 361, 5400–5405. [Google Scholar] [CrossRef]
- Zeng, R.; Dong, G. Rh-catalyzed decarbonylative coupling with alkynes via C–C bond activation of isatins. J. Am. Chem. Soc. 2015, 137, 1408–1411. [Google Scholar] [CrossRef]
- Jia, C.-S.; Dong, Y.-W.; Tu, S.-J.; Wang, G.-W. Microwave-assisted solvent-free synthesis of substituted 2-quinolones. Tetrahedron 2007, 22, 892–897. [Google Scholar] [CrossRef]
- Iwai, T.; Fujihara, T.; Terao, J.; Tsuji, Y. Iridium-catalyzed annulation of N-arylcarbamoyl chlorides with internal alkynes. J. Am. Chem. Soc. 2010, 132, 9602–9603. [Google Scholar] [CrossRef]
- Wang, Y.-X.; Zhang, F.-P.; Luan, Y.-X.; Ye, M. Ligand-enabled Ni−Al bimetallic catalysis for nonchelated dual C−H annulation of arylformamides and alkynes. Org. Lett. 2020, 22, 2230–2234. [Google Scholar] [CrossRef]
- Domínguez-Fernández, F.; López-Sanz, J.; Pérez-Mayoral, E.; Bek, D.; Martín-Aranda, R.M.; López-Peinado, A.J.; Čejka, J. Novel basic mesoporous catalysts for the Friedländer reaction from 2-aminoaryl ketones: Quinolin-2(1H)-ones versus quinolones. ChemCatChem 2009, 1, 241–243. [Google Scholar] [CrossRef]
- López-Sanz, J.; Pérez-Mayoral, E.; Procházková, D.; Martín-Aranda, R.M.; López-Peinado, A.J. Zeolite promoting quinoline synthesis via Friedländer reaction. Top. Catal. 2010, 53, 1430–1437. [Google Scholar] [CrossRef]
- Subashini, R.; Khan, F.-R.N. Solvent-free synthesis and antibacterial studies of some quinolinones. Monatsh. Chem. 2012, 143, 485–489. [Google Scholar] [CrossRef]
- Bui, C.T. One-pot microwave-assisted synthesis of 3,4-disubstituted 2-quinolinones. Synth. Commun. 2014, 44, 1122–1127. [Google Scholar] [CrossRef]
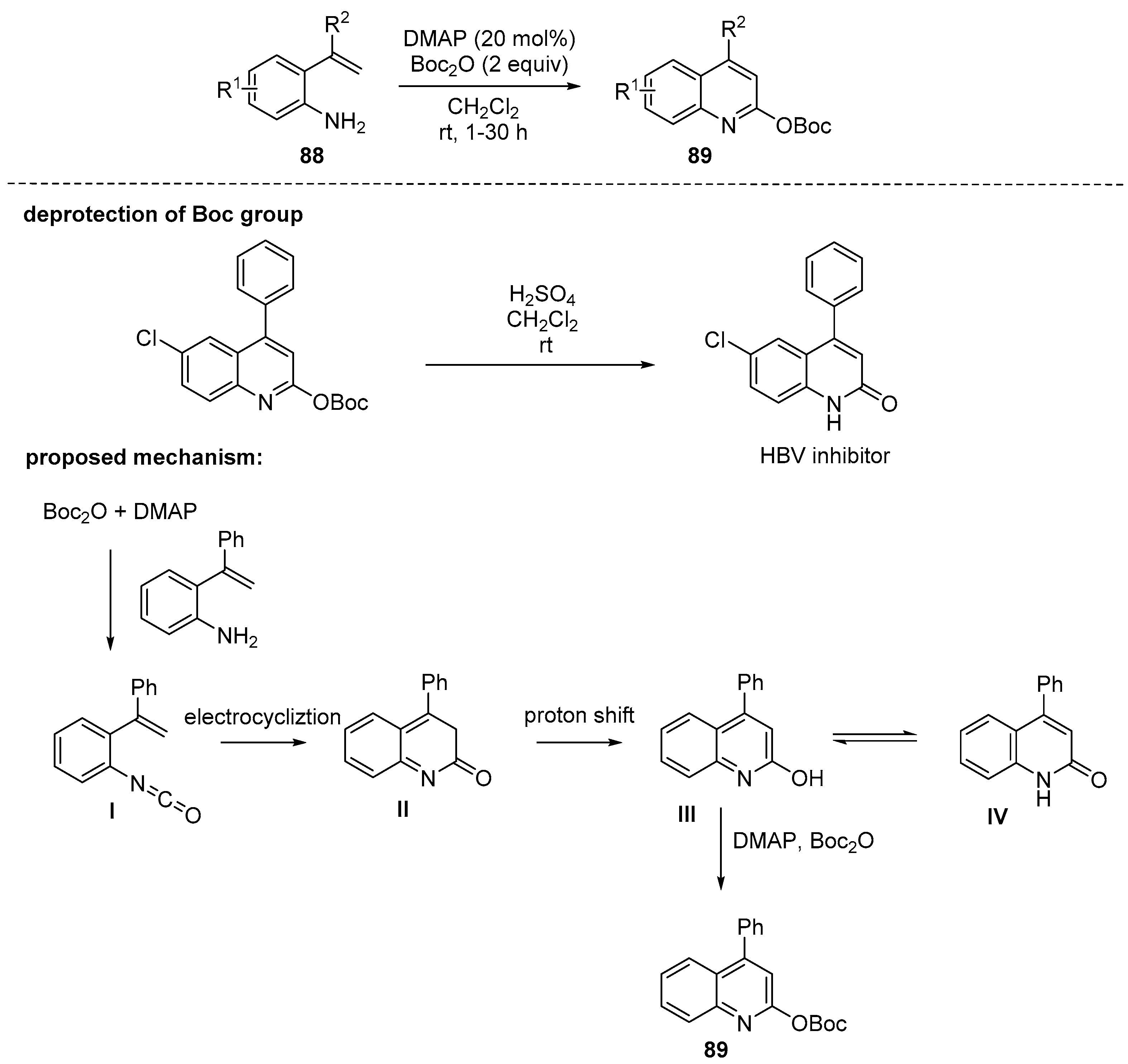
- Huang, Y.-N.; Li, Y.-L.; Li, J.; Deng, J. Beyond a protecting reagent: DMAP-catalyzed cyclization of Boc-anhydride with 2-alkenylanilines. J. Org. Chem. 2016, 81, 4645–4653. [Google Scholar] [CrossRef]
- Knölker, H.-J.; Braxmeier, T.; Schlechtingen, G. A novel method for the synthesis of isocyanates under mild conditions. Angew. Chem. Int. Ed. 1995, 34, 2497–2500. [Google Scholar] [CrossRef]
- Aksenov, A.V.; Smirnov, A.N.; Aksenov, N.A.; Aksenova, I.V.; Frolova, L.V.; Kornienko, A.; Magedov, I.V.; Rubin, M. Metal-free transannulation reaction of indoles with nitrostyrenes: A simple practical synthesis of 3-substituted 2-quinolones. Chem. Commun. 2013, 49, 9305–9307. [Google Scholar] [CrossRef] [PubMed]
- Aksenov, A.V.; Smirnov, A.N.; Aksenov, N.A.; Aksenova, I.V.; Bijieva, A.S.; Rubin, M. Highly efficient modular metal-free synthesis of 3-substituted 2-quinolones. Org. Biomol. Chem. 2014, 12, 9786–9788. [Google Scholar] [CrossRef]
- Aksenov, A.V.; Smirnov, A.N.; Aksenov, N.A.; Aksenova, I.V.; Matheny, J.P.; Rubin, M. Metal-free ring expansion of indoles with nitroalkenes: A simple, modular approach to 3-substituted 2-quinolones. RSC Adv. 2015, 5, 8647–8656. [Google Scholar] [CrossRef]
- Zhang, W.-Z.; Liu, S.; Lu, X.-B. DBU-promoted carboxylative cyclization of o-hydroxy- and o-acetamidoacetophenone. Beilstein J. Org. Chem. 2015, 11, 906–912. [Google Scholar] [CrossRef] [PubMed]
- Zhang, Z.; Liao, L.-L.; Yan, S.-S.; Wang, L.; He, Y.-Q.; Ye, J.-H.; Li, J.; Zhi, Y.-G.; Yu, D.-G. Lactamization of sp2 C–H bonds with CO2: Transition-metal-free and redox-neutral. Angew. Chem. Int. Ed. 2016, 5, 1–6. [Google Scholar]
- Kadnikov, D.V.; Larock, R.C. Palladium-catalyzed carbonylative annulation of terminal alkynes: Synthesis of coumarins and 2-quinolones. J. Organomet. Chem. 2003, 687, 425–435. [Google Scholar] [CrossRef]
- Kadnikov, D.V.; Larock, R.C. Synthesis of 2-quinolones via palladium-catalyzed carbonylative annulation of internal alkynes by N-substituted o-iodoanilines. J. Org. Chem. 2004, 69, 6772–6780. [Google Scholar] [CrossRef] [PubMed]
- Chen, J.; Natte, K.; Spannenberg, A.; Neumann, H.; Beller, M.; Wu, X.-F. Palladium-catalyzed carbonylative [3+2+1] annulation of N-aryl-pyridine-2-amines with internal alkynes by C–H activation: Facile synthesis of 2-quinolinones. Chem. Eur. J. 2014, 20, 14189–14193. [Google Scholar] [CrossRef]
- Jafarpour, F.; Otaredi-Kashani, A. Carbonylative annulation of unsaturated compounds using molybdenum hexacarbonyl: An efficient synthesis of 2(1H)-quinolones. ARKIVOC 2014, 2014, 193–203. [Google Scholar] [CrossRef]
- Chen, J.-R.; Liao, J.; Xiao, W.-J. Microwave-assisted, palladium-catalyzed carbonylative cyclization—Rapid synthesis of 2-quinolones from unprotected 2-iodoanilines and terminal alkynes. Can. J. Chem. 2010, 88, 331–337. [Google Scholar] [CrossRef]
- Thakur, V.; Sharma, A.; Yamini; Sharma, N.; Das, P. Supported palladium nanoparticles-catalyzed synthesis of 3-substituted 2-quinolones from 2-iodoanilines and alkynes using oxalic acid as C1 source. Adv. Synth. Catal. 2019, 361, 426–431. [Google Scholar] [CrossRef]
- Tadd, A.C.; Matsuno, A.; Fielding, M.R.; Willis, M.C. Cascade palladium-catalyzed alkenyl aminocarbonylation/intramolecular aryl amidation: An annulative synthesis of 2-quinolones. Org. Lett. 2009, 11, 583–586. [Google Scholar] [CrossRef] [PubMed]
- Sun, S.; Hu, W.-M.; Gu, N.; Cheng, J. Palladium-catalyzed multi-component reactions of N-tosylhydrazones, 2-iodoanilines and CO2 towards 4-aryl-2-quinolinones. Chem. Eur. J. 2016, 22, 18729–18732. [Google Scholar] [CrossRef] [PubMed]
- Li, X.; Li, X.; Jiao, N. Rh-catalyzed construction of quinolin-2(1H)-ones via C–H bond activation of simple anilines with CO and alkynes. J. Am. Chem. Soc. 2015, 137, 9246–9249. [Google Scholar] [CrossRef] [PubMed]
- Li, X.; Pan, J.; Wu, H.; Jiao, N. Rh-catalyzed aerobic oxidative cyclization of aniline, alkynes, and CO. Chem. Sci. 2017, 8, 6266–6273. [Google Scholar] [CrossRef]
- Zhu, F.; Li, Y.; Wang, Z.; Wu, X.-F. Iridium-catalyzed carbonylative synthesis of halogen-containing quinoline-2(1H)-ones from internal alkynes and simple anilines. Adv. Synth. Catal. 2016, 358, 3350–3354. [Google Scholar] [CrossRef]
- Kim, A.R.; Lim, H.N. One-pot copper-catalyzed three-component reaction: A modular approach to functionalized 2-quinolones. RSC. Adv. 2020, 10, 7855–7866. [Google Scholar] [CrossRef]
- Marcaccini, S.; Pepino, R.; Pozo, M.C.; Basurto, S.; García-Valverde, M.; Torroba, T. One-pot synthesis of quinolin-2-(1H)-ones via tandem Ugi-Knoevenagel condensations. Tetrahedron Lett. 2004, 4, 3999–4001. [Google Scholar] [CrossRef]
- Kaïm, L.E.; Grimaud, L.; Oble, J. Phenol Ugi-Smiles systems: Strategies for the multicomponent N-arylation of primary amines with isocyanides, aldehydes, and phenols. Angew. Chem. Int. Ed. 2005, 44, 7961–7964. [Google Scholar] [CrossRef]
- Heiden, G.V.; Jong, J.A.W.; Ruijter, E.; Orru, R.V.A. 2-Bromo-6-isocyanopyridine as a universal convertible isocyanide for multicomponent chemistry. Org. Lett. 2016, 18, 984–987. [Google Scholar]
- Gordon, C.P.; Young, K.A.; Hizartzidis, L.H.; Deane, F.M.; McCluskey, A. Investigation of the one-pot synthesis of quinolin-2-(1H)-ones and the discovery of a variation of the three-component Ugi reaction. Org. Biomol. Chem. 2011, 9, 1419–1428. [Google Scholar] [CrossRef] [PubMed]
- Rasouli, M.A.; Mahdavi, M.; Saeedi, M.; Ranjbar, P.R.; Shafiee, A.; Foroumadi, A. Synthesis of novel 2-oxoquinoline derivatives via Ugi-four-component-Heck reaction. J. Heterocycl. Chem. 2015, 52, 386–391. [Google Scholar] [CrossRef]
- Du, X.; Huang, J.; Nechaev, A.A.; Yao, R.; Gong, J.; Eycken, E.V.V.; Pereshivko, O.P.; Peshkov, V.A. Gold-catalyzed post-Ugi alkyne hydroarylation for the synthesis of 2-quinolones. Beilstein J. Org. Chem. 2018, 14, 2572–2579. [Google Scholar] [CrossRef]
- Singh, K.; Malviya, B.K.; Verma, V.P.; Badsara, S.S.; Bhardwaj, V.K.; Sharma, S. Cationic Pd(II) catalyzed regioselective intramolecular hydroarylation for the efficient synthesis of 4-aryl-2-quinolones. Tetrahedron 2019, 75, 2506–2520. [Google Scholar] [CrossRef]
- Wang, Q.; Osipyan, A.; Konstantinidou, M.; Butera, R.; Mgimpatsang, K.C.; Shishkina, S.; Dömling, A. Pd-catalyzed de novo assembly of diversely substituted indole-fused polyheterocycles. J. Org. Chem. 2019, 84, 12148–12156. [Google Scholar] [CrossRef]
- Zhang, T.-Y.; Liu, C.; Chen, C.; Liu, J.-X.; Xiang, H.-Y.; Jiang, W.; Ding, T.-M.; Zhang, S.-Y. Copper-mediated cascade C–H/N–H annulation of indolocarboxamides with arynes: Construction of tetracyclic indoloquinoline alkaloids. Org. Lett. 2018, 20, 220–223. [Google Scholar] [CrossRef]
- Ding, D.; Zhu, G.; Jiang, X. Ligand-controlled palladium(II)-catalyzed regiodivergent carbonylation of alkynes: Syntheses of indolo[3,2-c]coumarins and benzofuro[3,2-c]quinolinones. Angew. Chem. Int. Ed. 2018, 57, 9028–9032. [Google Scholar] [CrossRef]




















































Publisher’s Note: MDPI stays neutral with regard to jurisdictional claims in published maps and institutional affiliations. |
© 2020 by the authors. Licensee MDPI, Basel, Switzerland. This article is an open access article distributed under the terms and conditions of the Creative Commons Attribution (CC BY) license (http://creativecommons.org/licenses/by/4.0/).
Share and Cite
Hong, W.P.; Shin, I.; Lim, H.N. Recent Advances in One-Pot Modular Synthesis of 2-Quinolones. Molecules 2020, 25, 5450. https://doi.org/10.3390/molecules25225450
Hong WP, Shin I, Lim HN. Recent Advances in One-Pot Modular Synthesis of 2-Quinolones. Molecules. 2020; 25(22):5450. https://doi.org/10.3390/molecules25225450
Chicago/Turabian StyleHong, Wan Pyo, Inji Shin, and Hee Nam Lim. 2020. "Recent Advances in One-Pot Modular Synthesis of 2-Quinolones" Molecules 25, no. 22: 5450. https://doi.org/10.3390/molecules25225450
APA StyleHong, W. P., Shin, I., & Lim, H. N. (2020). Recent Advances in One-Pot Modular Synthesis of 2-Quinolones. Molecules, 25(22), 5450. https://doi.org/10.3390/molecules25225450

