Fostering Lavender as a Source for Valuable Bioactives for Food and Pharmaceutical Applications through Extraction and Microencapsulation
Abstract
1. Introduction
2. Materials and Methods
2.1. Reagents
2.2. Extraction of Phytochemicals from Lavender
2.3. Extraction of Phytochemicals from Lavender Using Ultrasound-Assisted Method
2.4. Supercritical Fluid CO2 Extraction
2.5. Phytochemicals Measurements
2.5.1. Chlorophylls and Carotenoids Measurements
2.5.2. Determination of Total Polyphenolic Content
2.5.3. Determination of Total Flavonoids Content
2.5.4. Fatty Acids Analysis
2.5.5. Determination of Volatile Profile Using ITEX/GC-MS Technique
2.6. Antioxidant Activity
2.7. Microencapsulation of the Extracts
2.8. Microencapsulation Efficiency and Powders Characterization
2.9. Confocal Laser Scanning Microscopy
2.10. Sizing the Particles of the Microencapsulated Powders
2.11. Antimicrobial Activity
2.12. Cell Culture and Treatment
2.13. In Vitro Cytotoxicity Test
2.14. Cell Morphology
2.15. Testing the Microencapsulated Powder in Food Matrices
2.16. Statistical Analysis of Data
3. Results and Discussion
3.1. Total Phytochemical Characterization of the Lavender Flowers Extracts
3.2. Microencapsulation Efficiency
3.3. Powders Characterization
3.4. Morphology and Particle Size of the Microencapsulated Powders
3.5. Antimicrobial Activity
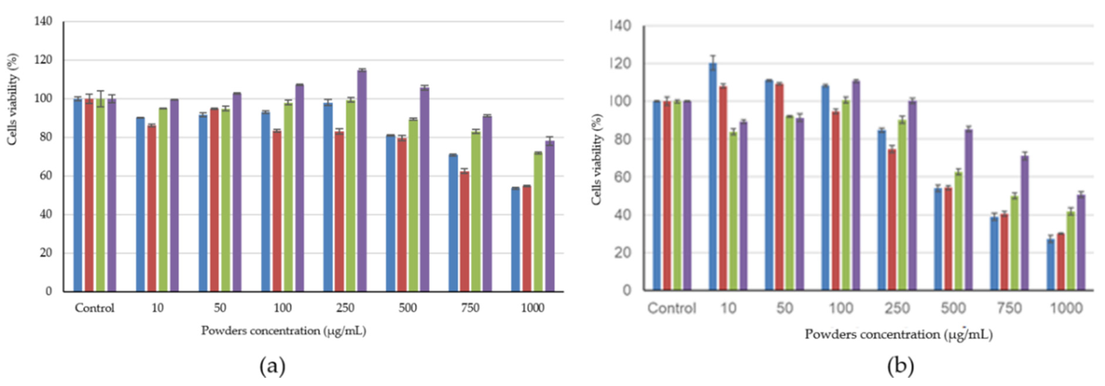
3.6. In Vitro Cytotoxicity
3.7. Value Added Food Products
4. Conclusions
Supplementary Materials
Author Contributions
Funding
Conflicts of Interest
References
- Downham, A.; Collins, P. Colouring our foods in the last and next millennium. Int. J. Food Sci. Technol. 2000, 35, 5–22. [Google Scholar] [CrossRef]
- Özkan, G.; Bilek, S.E. Microencapsulation of natural food colourants. Int. J. Nutr. Food Sci. 2014, 3, 145–156. [Google Scholar] [CrossRef]
- Hosikian, A.; Lim, S.; Halim, R.; Danquah, M.K. Chlorophyll extraction from microalgae: A review on the process engineering aspects. Int. J. Chem. Eng. 2010, 2020, 1–11. [Google Scholar] [CrossRef]
- Ramos, S. Cancer chemoprevention and chemotherapy: Dietary polyphenols and signaling pathways. Mol. Nutr. Food Res. 2008, 51, 507–526. [Google Scholar] [CrossRef] [PubMed]
- Seeram, N.P.; Bourquin, L.D.; Nair, M.G. Cyclooxygenase inhibitory and antioxidant cyanidin glycosides in cherries and berries. Phytomedicine 2001, 8, 362–369. [Google Scholar] [CrossRef]
- Kang, Y.R.; Lee, Y.K.; Kim, Y.J.; Chang, Y.H. Characterization and storage stability of chlorophylls microencapsulated in different combination of gum Arabic and maltodextrin. Food Chem. 2019, 272, 337–346. [Google Scholar] [CrossRef] [PubMed]
- Ribeiro, J.S.; Veloso, C.M. Microencapsulation of natural dyes with biopolymers for application in food: A review. Food Hydrocol. 2020, 112, 106374. [Google Scholar] [CrossRef]
- Jafari, S.M. Nanoencapsulation of Food Bioactive Ingredients: Principles and Applications. Elsevier Academic Press: London, UK, 2017. [Google Scholar]
- Pereira, F.; Baptista, R.; Ladeiras, D.; Madureira, A.M.; Teixeira, G.; Rosado, C.; Fernandes, A.S.; Ascensão, L.; Oliveira Silva, C.; Pinto Reis, C.; et al. Production and characterization of nanoparticles containing methanol extracts of Portuguese Lavenders. Measurement 2015, 74, 170–177. [Google Scholar] [CrossRef]
- Zuzarte, M.; Goncalves, M.J.; Cavaleiro, C.; Dinis, A.M.; Canhoto, J.M.; Salgueiro, L.R. Chemical composition and antifungal activity of the essential oils of Lavandula pedunculata (Miller). Chem. Biodiv. 2009, 6, 1283–1292. [Google Scholar] [CrossRef] [PubMed]
- Zuzarte, M.; Goncalves, M.J.; Cruz, M.T.; Cavaleiro, C.; Canhoto, J.M.; Vaz, S.; Pinto, E.; Salgueiro, L.R. Lavandula luisieri essential oil as a source of antifungal drugs. Food Chem. 2012, 135, 1505–1510. [Google Scholar] [CrossRef]
- Teixeira, G.; Correia, A.I.; Vasconcelos, T.; Duarte, A.; Oliveira, N.; Madureira, A.M. Lavandula stoechas subsp. luisieri and L. pedunculata: Comparative antibacterial activity. Phytother. Res. 2012, 1, 11–15. [Google Scholar]
- Kim, N.S.; Lee, D.D. Comparison of different extraction method for the analysis of fragrance from Lavandula species by gas chromatography-mass spectrometry. J. Chromat. A 2002, 982, 31–47. [Google Scholar]
- Da Porto, C.; Decorti, D.; Kikic, I. Flavour compounds of Lavandula angustifolia L. to use in food manufacturing: Comparison of three different extraction methods. Food Chem. 2009, 112, 1072–1078. [Google Scholar]
- Radu (Lupoae), D.S.; Râpeanu, G.; Bahrim, G.E.; Stănciuc, N. Investigations on thermal degradationof phytochemicals from lavender extract. Ann. Univ. Dunarea Jos Galati Fascicle VI–Food Technol. 2019, 43, 33–47. [Google Scholar]
- Danh, L.T.; Han, L.N.; Triet, N.D.A.; Zhao, J.; Mammucari, R.; Foster, N. Comparison of chemical composition, antioxidant and antimicrobial activity of lavender (Lavandula angustifolia L.) essential oils extracted by supercritical CO2, hexane and hydrodistillation. Food Bioproc. Technol. 2013, 6, 3481–3489. [Google Scholar]
- Dulf, F.V.; Vodnar, D.C.; Socaciu, C. Effects of solid-state fermentation with two filamentous fungi on the total phenolic contents, flavonoids, antioxidant activities and lipid fractions of plum fruit (Prunus domestica L.) by-products. Food Chem. 2016, 209, 27–36. [Google Scholar]
- Socaci, S.A.; Socaciu, C.; Tofană, M.; Raţi, I.V.; Pintea, A. In-tube extraction and GC-MS Analysis of Volatile Components from Wild and Cultivated sea buckthorn (Hippophae rhamnoides L. ssp. Carpatica) Berry Varieties and Juice. Phytochem. Anal. 2013, 24, 319–328. [Google Scholar]
- The Pherobase: Database of Pheromones and Semiochemicals. Available online: http://www.pherobase.com (accessed on 20 March 2018).
- Flavornet and Human Odor Space. Available online: http://www.flavornet.org (accessed on 15 March 2018).
- Guo, G.; Wang, Y.; Chou, S.; Cui, H.; Li, D.; Li, B. In vitro antioxidant capacities of eight different kinds of apples and their effects on lipopolysaccharide-induced oxidative damage in mice. PLoS ONE 2018, 13, e0191762. [Google Scholar]
- Cortes-Zavaleta, O.; Lopez-Malo, A.; Hernandes-Mendoza, A.; Garcia, H.S. Antifungal activity of lactobacilli and its relationship with 3-phenyllactic acid production. Int. J. Food Microbiol. 2014, 173, 30–35. [Google Scholar] [PubMed]
- Crăciunescu, O.; Gaspar, A.; Trif, M.; Moisei, M.; Oancea, A.; Moldovan, L.; Zarnescu, O. Preparation and characterization of a collagen-liposome-chondroitin sulfate matrix for inflammatory disorders treatment. J. Nanomat. 2014, 2014, 9. [Google Scholar]
- Komes, K.; Belščak-Cvitanović, A.; Horžić, D.; Rusak, G.; Likić, S.; Berendika, M. Phenolic composition and antioxidant properties of some traditionally used medicinal plants affected by the extraction time and hydrolysis. Phytochem. Anal. 2010, 22, 172–180. [Google Scholar] [PubMed]
- Lesage-Meessen, L.; Bou, M.; Sigoillot, J.C.; Faulds, C.B.; Lomascolo, A. Essential oils and distilled straws of lavender and lavandin: A review of current use and potential application in white biotechnology. Appl. Microbiol. Biotechnol. 2015, 99, 3375–3385. [Google Scholar] [PubMed]
- Flores, F.P.; Singh, R.K.; Kong, F. Anthocyanin extraction, microencapsulation and release properties during in vitro digestion. Food Rev. Int. 2016, 32, 46–67. [Google Scholar]
- Kirimer, N.; Mokhtarzadeh, S.; Demirci, B.; Goger, F.; Khawar, K.M.; Demirci, F. Phytochemical profiling of volatile components of Lavandula angustifolia Miller propagated under in vitro conditions. Ind. Crops Prod. 2017, 96, 120–125. [Google Scholar]
- Kitahara, T.; Koyama, N.; Matsuda, J.; Aoyama, Y.; Hirakata, Y.; Kamihira, S.; Kohno, S.; Nakashima, M.; Sasaki, H. Antimicrobial Activity of Saturated Fatty Acids and Fatty Amines against Methicillin-Resistant Staphylococcus aureus. Biol. Pharm. Bull. 2004, 27, 1321–1326. [Google Scholar]
- Czerwińska, E.; Szparaga, A. Antibacterial and antifungal activity of plant extracts. Ann. Set Env. Prot. 2015, 17, 209–229. [Google Scholar]
- Bidgoli, R.D.; Ebrahimabadi, A.H.; Heshmati, G.A.; Pessarakli, M. Antioxidant and antimicrobial activity evaluation and essential oil analysis of Artemisia aucheri Boiss. From Iran. Curr. Res. Chem. 2013, 5, 1–10. [Google Scholar]
- Kravchenko, I.A.; Golovenko, N.Y.; Larionov, V.B.; Aleksandrova, A.I.; Ovcharenko, N.V. Effect of lauric acid on transdermal penetration of phenazepam in vivo. Bull. Exp. Biol. Med. 2003, 6, 579–581. [Google Scholar]
- Zhang, X.; Yoon, H.J.; Kang, M.G.; Kim, G.J.; Shin, S.Y.; Baek, S.H.; Lee, J.G.; Bai, J.; Lee, S.Y.; Choi, M.J.; et al. Identification and evaluation of cytotoxicity of peptide liposome incorporated citron extracts in an in vitro system. Int. J. Mol. Sci. 2018, 19, 626. [Google Scholar] [CrossRef]
- Aprodu, I.; Milea, S.A.; Anghel, R.M.; Enachi, E.; Barbu, V.; Craciunescu, O.; Rapeanu, G.; Bahrim, G.E.; Oancea, A.; Stănciuc, N. New functional ingredients based on microencapsulation of aqueous anthocyanin-rich extracts derived from black rice. Molecules 2019, 24, 3389. [Google Scholar] [CrossRef]


| Compound Name | % of Total Peak Areas | ||
|---|---|---|---|
| SCE (S40) | SCE (S45) | UAE | |
| 2-Pentanone, 4-hydroxy-4-methyl- | - | - | 9.24 ± 0.89 * |
| 2(5H)-Furanone, 5.5-dimethyl- | - | - | 0.37 ± 0.10 |
| 1-Hexanol | 0.05 ± 0.01 | 0.08 ± 0.01 | - |
| Tricyclo[2.2.1.0(2,6)]heptane, 1,7,7-trimethyl- | 0.03 ± 0.01 | 0.13 ± 0.02 | - |
| Origanene | 0.06 ± 0.01 | 0.15 ± 0.02 | - |
| α-Pinene | 0.30 ± 0.02 | 0.77 ± 0.04 | - |
| 3-Heptanone, 6-methyl- | 0.11 ± 0.05 | 0.11 ± 0.01 | - |
| Heptane, 2.5.5-trimethyl- | 0.24 ± 0.17 | ||
| Camphene | 0.77 ± 0.09 | 1.97 ± 0.11 | - |
| u.i. | 0.17 ± 0.02 | 0.86 ± 0.11 | - |
| 2-Thujene | 0.04 ± 0.01 | 0.08 ± 0.01 | - |
| 4(10)-Thujene (Sabinen) | 0.10 ± 0.01 | 0.47 ± 0.02 | - |
| β-Pinene | 0.25 ± 0.05 | 0.41 ± 0.03 | - |
| 1-Octen-3-ol | 0.20 ± 0.05 | 0.17 ± 0.01 | - |
| 3-Octanone | 1.30 ± 0.07 | 1.09 ± 0.05 | 0.30 ± 0.10 |
| β-Myrcene | 1.34 ± 0.10 | 1.32 ± 0.11 | 2.83 ± 0.45 |
| Butanoic acid, butyl ester | 0.15 ± 0.01 | 0.18 ± 0.01 | - |
| u.i. | 0.09 ± 0.01 | 0.10 ± 0.01 | - |
| Acetic acid, hexyl ester (1-Hexyl acetate) | 0.85 ± 0.08 | 0.80 ± 0.11 | - |
| α.-Terpinene | 0.08 ± 0.01 | 0.11 ± 0.01 | - |
| p-Cymene | 0.83 ± 0.10 | 1.16 ± 0.41 | 0.23 ± 0.01 |
| Limonene | 3.48 ± 0.54 | 4.87 ± 0.58 | 0.97 ± 0.15 |
| Eucalyptol | 16.72 ± 0.98 | 17.62 ± 1.20 | 2.10 ± 0.08 |
| β-trans-Ocimene | 4.02 ± 0.45 | 5.13 ± 0.74 | 1.56 ± 0.02 |
| β-cis-Ocimene | 1.58 ± 0.23 | 1.60 ± 0.12 | 1.48 ± 0.09 |
| γ-Terpinene | 0.16 ± 0.08 | 0.36 ± 0.11 | - |
| 6-Methyl-2-(2-oxiranyl)-5-hepten-2-ol | 3.98 ± 0.23 | 3.45 ± 0.41 | 6.74 ± 1.02 |
| Linalool oxide (fr.1) | 3.04 ± 0.25 | 2.66 ± 0.52 | 5.76 ± 0.28 |
| β-Linalool | 19.94 ± 1.01 | 20.44 ± 1.20 | 15.18 ± 1.20 |
| Octen-1-ol, acetate | 1.01 ± 0.05 | 0.97 ± 0.11 | 1.85 ± 0.07 |
| 2,4,6-Octatriene, 2,6-dimethyl-, (E, Z)- | 0.71 ± 0.11 | 0.58 ± 0.15 | 0.18 ± 0.02 |
| Camphor | 10.3 ± 0.74 | 7.82 ± 1.21 | 4.39 ± 0.23 |
| Lavandulol | 0.35 ± 0.11 | 0.33 ± 0.08 | - |
| Borneol | 1.76 ± 0.25 | 2.38 ± 0.54 | 3.16 ± 0.78 |
| 1-Terpinen-4-ol | 1.41 ± 0.47 | 1.42 ± 0.69 | 1.46 ± 0.03 |
| u.i. | 1.30 ± 0.04 | ||
| Butanoic acid, hexyl ester | - | 0.37 | - |
| n-Hexyl butanoate | 0.44 ± 0.11 | - | - |
| α-Terpineol | - | 0.20 ± 0.01 | - |
| Isobornyl formate | - | 0.11 ± 0.01 | 0.22 ± 0.01 |
| Linalool acetate | 18.08 ± 0.87 | 15.28 ± 1.25 | 25.86 ± 1.24 |
| Lavandulyl acetate | 2.63 ± 0.56 | 2.13 ± 0.52 | 5.62 ± 0.78 |
| u.i. | 0.15 ± 0.08 | 0.08 ± 0.01 | 1.06 ± 0.06 |
| 8-Hydroxylinalool | - | - | 2.54 ± 0.24 |
| Nerol | 0.14 ± 0.09 | 0.11 ± 0.01 | 0.53 ± 0.08 |
| u.i. ** | 0.38 ± 0.11 | 0.24 ± 0.05 | 1.17 ± 0.09 |
| Caryophyllene | 1.73 ± 0.12 | 1.20 ± 0.02 | 1.86 ± 0.08 |
| α-Bergamotene | 0.08 ± 0.01 | 0.05 ± 0.01 | - |
| β-Farnesene | 0.62 ± 0.22 | 0.49 ± 0.01 | 0.43 ± 0.09 |
| γ-Muurolene | 0.09 ± 0.01 | - | - |
| u.i. | 0.15 ± 0.04 | 0.17 ± 0.01 | 0.98 ± 0.14 |
| Acetic acid. hexyl ester | - | - | 0.39 ± 0.17 |
| Fatty Acids | SCE (S40) | SCE (S45) | UAE |
|---|---|---|---|
| α-linolenic acid (18:3n-3) | 31.67 ± 1.58 * | 25.61 ± 1.25 | 11.82 ± 0.55 |
| Palmitic acid (16:0) | 49.80 ± 2.31 | 25.10 ± 0.87 | 18.71 ± 0.80 |
| Linoleic acid (18:2n-6) | 7.66 ± 1.02 | 16.81 ± 1.05 | 19.66 ± 0.85 |
| Oleic acid (18:1n-9) | 5.37 ± 0.89 | 11.35 ± 0.99 | 27.21 ± 1.10 |
| Stearic acid (18:0) | 1.55 ± 0.25 | 8.39 ± 0.11 | 13.73 ± 0.62 |
| Behenic acid (22:0) | 2.52 ± 0.12 | 5.79 ± 0.35 | 3.58 ± 0.20 |
| Arachidic acid (20:0) | 0.86 ± 0.16 | 5.63 ± 0.52 | 4.62 ± 0.25 |
| Vaccenic acid (18:1n-7) | 0.59 ± 0.11 | 1.31 ± 0.07 | 0.67 ± 0.08 |
| SFAs | 54.73 ± 1.25 | 44.91 ± 1.53 | 40.64 ± 1.35 |
| MUFAs | 5.93 ± 1.20 | 12.66 ± 1.28 | 27.88 ± 1.20 |
| PUFAs | 39.33 ± 1.48 | 42.43 ± 1.87 | 31.48 ± 1.35 |
| n-3 PUFAs | 31.67 ± 1.59 | 25.61 ± 0.85 | 11.82 ± 0.55 |
| n-6 PUFAs | 7.66 ± 1.58 | 16.81 ± 0.98 | 19.66 ± 0.90 |
| n-6/n-3 | 0.24 | 0.66 | 1.66 |
| PUFAs/SFAs | 0.72 | 0.94 | 0.77 |
| Selected Parameter | Variant 1 (CMC) | Variant 2 (AG) | Variant 3 (WPI-WPH) | Variant 4 (WPI-CN) |
|---|---|---|---|---|
| Total chlorophylls | 41.97 ± 1.70 c,* | 49.02 ± 1.33 b | 95.22 ± 1.85 a | 94.65 ± 1.44 a |
| Chlorophyll a | 38.87 ± 1.43 c | 44.79 ± 0.57 b | 96.62 ± 2.87 a | 98.01 ± 1.56 a |
| Chlorophyll b | 43.90 ± 3.56 c | 51.79 ± 2.55 b | 90.61 ± 1.20 a | 90.61 ± 1.36 a |
| Total carotenoids | 49.32 ± 3.16 b | 50.14 ± 2.97 b | 94.79 ± 1.29 a | 97.04 ± 1.20 a |
| Total polyphenols | 61.79 ± 1.98 b | 61.92 ± 1.54 b | 93.88 ± 2.01 a | 93.93 ± 2.01 a |
| Total flavonoids | 73.36 ± 2.87 c | 69.82 ± 1.47 d | 90.22 ± 1.20 b | 90.72 ± 2.47 a |
| Selected Parameter | Variant 1 (CMC) | Variant 2 (AG) | Variant 3 (WPI-WPH) | Variant 4 (WPI-CN) |
|---|---|---|---|---|
| Total chlorophylls (mg/g D.W.) | 1.54 ± 0.05 a,* | 0.88 ± 0.03 b | 0.43 ± 0.05 c | 0.27 ± 1.44 d |
| Chlorophyll a (mg/g D.W.) | 0.61 ± 0.01 b | 0.68 ± 0.02 a | 0.17 ± 0.07 c | 0.10 ± 1.56 d |
| Chlorophyll b (mg/g D.W.) | 0.93 ± 0.10 b | 1.05 ± 0.10 a | 0.27 ± 0.02 c | 0.16 ± 1.36 d |
| Total carotenoids (mg/g D.W.) | 338.70 ± 24.60 a | 339.30 ± 2.39 a | 95.00 ± 1.29 b | 53.82 ± 1.20 c |
| Total polyphenols (mg GAE/g D.W.) | 5.17 ± 0.42 d | 5.47 ± 1.54 c | 9.71 ± 2.01 b | 10.78 ± 0.10 a |
| Total flavonoids (mg CE/g D.W.) | 4.25 ± 0.87 c | 3.98 ± 0.47 d | 6.61 ± 1.20 b | 6.92 ± 0.92 a |
| Antioxidant activity (mMol Trolox/g D.W.) | 2.85 ± 0.12 c | 3.44 ± 0.32 b | 4.77 ± 0.26 a | 4.80 ± 0.15 a |
| Variant 1 (CMC) | Variant 2 (AG) | Variant 3 (WPH) | Variant 4 (WPI-CN) | |
|---|---|---|---|---|
| D [2,3], µm | 4.494 | 4.701 | 4.620 | 4.738 |
| D [3,4], µm | 4.684 | 5.048 | 4.909 | 5.108 |
| D10, µm | 3.613 | 3.648 | 3.635 | 3.654 |
| D50, µm | 4.497 | 4.608 | 4.563 | 4.629 |
| D90, µm | 5.698 | 7.612 | 6.665 | 7.860 |
Sample Availability: Samples of the compounds are not available from the authors. | |
Publisher’s Note: MDPI stays neutral with regard to jurisdictional claims in published maps and institutional affiliations. |
© 2020 by the authors. Licensee MDPI, Basel, Switzerland. This article is an open access article distributed under the terms and conditions of the Creative Commons Attribution (CC BY) license (http://creativecommons.org/licenses/by/4.0/).
Share and Cite
, S.D.R.; Mihalcea, L.; Aprodu, I.; Socaci, S.A.; Cotârleț, M.; Enachi, E.; Crăciunescu, O.; Barbu, V.; Oancea, A.; Dulf, F.V.; et al. Fostering Lavender as a Source for Valuable Bioactives for Food and Pharmaceutical Applications through Extraction and Microencapsulation. Molecules 2020, 25, 5001. https://doi.org/10.3390/molecules25215001
SDR, Mihalcea L, Aprodu I, Socaci SA, Cotârleț M, Enachi E, Crăciunescu O, Barbu V, Oancea A, Dulf FV, et al. Fostering Lavender as a Source for Valuable Bioactives for Food and Pharmaceutical Applications through Extraction and Microencapsulation. Molecules. 2020; 25(21):5001. https://doi.org/10.3390/molecules25215001
Chicago/Turabian Style(Lupoae), Simona Daniela Radu, Liliana Mihalcea, Iuliana Aprodu, Sonia A. Socaci, Mihaela Cotârleț, Elena Enachi, Oana Crăciunescu, Vasilica Barbu, Anca Oancea, Francisc Vasile Dulf, and et al. 2020. "Fostering Lavender as a Source for Valuable Bioactives for Food and Pharmaceutical Applications through Extraction and Microencapsulation" Molecules 25, no. 21: 5001. https://doi.org/10.3390/molecules25215001
APA Style, S. D. R., Mihalcea, L., Aprodu, I., Socaci, S. A., Cotârleț, M., Enachi, E., Crăciunescu, O., Barbu, V., Oancea, A., Dulf, F. V., Alexe, P., Bahrim, G. E., Râpeanu, G., & Stănciuc, N. (2020). Fostering Lavender as a Source for Valuable Bioactives for Food and Pharmaceutical Applications through Extraction and Microencapsulation. Molecules, 25(21), 5001. https://doi.org/10.3390/molecules25215001

