Engineered Zero-Dimensional Fullerene/Carbon Dots-Polymer Based Nanocomposite Membranes for Wastewater Treatment
Abstract
1. Introduction
2. 0D carbon Nanomaterials (Fullerenes and Carbon Dots): Structure, Properties and Advantages
2.1. Fullerenes
2.2. Carbon Dots
3. Biocompatibility Implications of 0D Nano-Carbon in Water Effluent Treatments
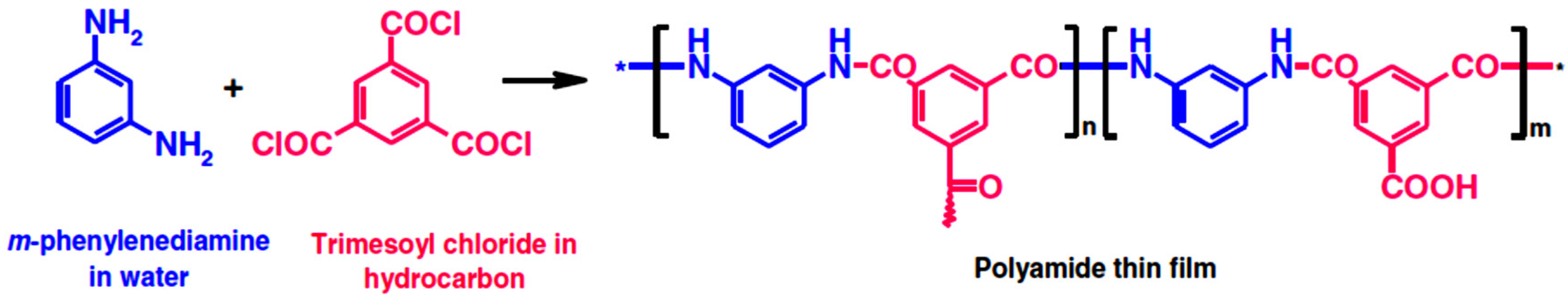
4. Development and Influences of 0D Carbon Nano-Forms Incorporated in Various Polymers to Form Nanocomposite Membranes
4.1. Fullerene-Incorporated Polymer Nanocomposites
4.2. Carbon Dot-Incorporated Polymer Nanocomposites
5. 0D Carbon-Incorporated Polymer Nanocomposite Membranes for Wastewater Treatment
5.1. Fullerene-Based Polymer-Nanocomposite Membranes
5.2. Carbon Dot-Based Polymer-Nanocomposite Membranes
6. Conclusions and Future Outlook
Author Contributions
Funding
Conflicts of Interest
Abbreviations
| 0D | zero-dimensional |
| µF | microfiltration |
| UF | ultrafiltration |
| NF | nanofiltration |
| IP | interfacial polymerization |
| TFC | thin-film composite |
| TFN | thin-film nanocomposite |
| C60 | spherical fullerene (buckyball) |
| nC60 | aggregate spherical fullerene (buckyball) |
| C60(OH)n | fullerenol (hydroxylated C60) |
| CDs | carbon dots |
| CnDs | carbon nano dots |
| CQDs | carbon quantum dots |
| GQDs | graphene quantum dots |
| GoQDs | graphene oxide quantum dots |
| CPDs | carbonized polymer dots |
| PV | pervaporation |
| THF-C | tetrahydrofuran (control without carbon) |
| PPO | polymer-poly (2, 6-dimethyl-1,4-phenylene oxide) |
| PVP | poly (vinylpyrrolidone) |
| PS | polystyrene |
| PVF | poly (vinylidene fluoride) |
References
- Shannon, M.A.; Bohn, P.W.; Elimelech, M.; Georgiadis, J.G.; Mariñas, B.J.; Mayes, A.M. Science and technology for water purification in the coming decades. Nature 2008, 452, 301–310. [Google Scholar] [CrossRef] [PubMed]
- Roy, S.; Ragunath, S. Emerging Membrane Technologies for Water and Energy Sustainability: Future Prospects, Constrains and Challenges. Energies 2018, 11, 2997. [Google Scholar] [CrossRef]
- Elimelech, M.; Phillip, W.A. The Future of Seawater Desalination: Energy, Technology, and the Environment. Science 2011, 333, 712–717. [Google Scholar] [CrossRef] [PubMed]
- Baker, R.W. Chapter 7: Microfiltration. In Membrane Technology and Applications; John Wiley & Sons, Ltd.: West Sussex, UK, 2004; Volume 2004, pp. 275–300. [Google Scholar]
- Bruggen, B.V.D.; Vandecasteele, C.; Gestel, T.V.; Doyen, W.; Leysen, R. A review of pressure-driven membrane processes in wastewater treatment and drinking water production. Environ. Prog. 2004, 22, 46–56. [Google Scholar] [CrossRef]
- Atab, M.S.; Smallbone, A.J.; Roskilly, A.P. An operational and economic study of a reverse osmosis desalination system for potable water and land irrigation. Desalination 2016, 397, 174–184. [Google Scholar] [CrossRef]
- Matthews, J.A.; Wnek, G.E.; Simpson, D.G.; Bowlin, G.L. Electrospinning of collagen nanofibers. Biomacromolecules 2002, 3, 232–238. [Google Scholar] [CrossRef]
- Lalia, B.S.; Kochkodan, V.; Hashaikeh, R.; Hilal, N. A review on membrane fabrication: Structure, properties and performance relationship. Desalination 2013, 326, 77–95. [Google Scholar] [CrossRef]
- Lau, W.J.; Ismail, A.F.; Misdan, N.; Kassim, M.A. A recent progress in thin film composite membrane: A review. Desalination 2012, 287, 190–199. [Google Scholar] [CrossRef]
- Ng, L.Y.; Mohammad, A.W.; Leo, C.P.; Hilal, N. Polymeric membranes incorporated with metal/metal oxide nanoparticles: A comprehensive review. Desalination 2013, 308, 15–33. [Google Scholar] [CrossRef]
- Chen, P.-C.; Xu, Z.-K. Mineral-Coated Polymer Membranes with Superhydrophilicity and Underwater Superoleophobicity for Effective Oil/Water Separation. Sci. Rep. 2013, 3, 1–6. [Google Scholar] [CrossRef]
- van der Marel, P.; Zwijnenburg, A.; Kemperman, A.; Wessling, M.; Temmink, H.; van der Meer, W. Influence of membrane properties on fouling in submerged membrane bioreactors. J. Membr. Sci. 2010, 348, 66–74. [Google Scholar] [CrossRef]
- Wang, L.; Yang, S.; Wang, J.; Wang, C.-F.; Chen, L. Fabrication of superhydrophobic TPU film for oil–water separation based on electrospinning route. Mater. Lett. 2011, 65, 869–872. [Google Scholar] [CrossRef]
- Seman, M.N.A.; Khayet, M.; Hilal, N. Development of antifouling properties and performance of nanofiltration membranes modified by interfacial polymerization. Desalination 2011, 273, 36–47. [Google Scholar] [CrossRef]
- Ba, C.; Economy, J. Preparation and characterization of a neutrally charged antifouling nanofiltration membrane by coating a layer of sulfonated poly(ether ether ketone) on a positively charged nanofiltration membrane. J. Membr. Sci. 2010, 362, 192–201. [Google Scholar] [CrossRef]
- Madaeni, S.S.; Zinadini, S.; Vatanpour, V. A new approach to improve antifouling property of PVDF membrane using in situ polymerization of PAA functionalized TiO2 nanoparticles. J. Membr. Sci. 2011, 380, 155–162. [Google Scholar] [CrossRef]
- Rana, D.; Kim, Y.; Matsuura, T.; Arafat, H. Development of antifouling thin-film-composite membranes for seawater desalination. J. Membr. Sci. 2011, 367, 110–118. [Google Scholar] [CrossRef]
- Wang, C.; Feng, R.; Yang, F. Enhancing the hydrophilic and antifouling properties of polypropylene nonwoven fabric membranes by the grafting of poly(N-vinyl-2-pyrrolidone) via the ATRP method. J. Colloid Interface Sci. 2011, 357, 273–279. [Google Scholar] [CrossRef]
- Liu, F.; Abed, M.R.; Li, K. Preparation and characterization of poly(vinylidene fluoride) (PVDF) based ultrafiltration membranes using nano γ-Al2O3. J. Membr. Sci. 2011, 366, 97–103. [Google Scholar] [CrossRef]
- Xiang, T.; Zhou, Q.; Li, K.; Li, L.; Su, F.; Qian, B.; Zhao, C. Poly(Acrylic Acid-co-Acrylonitrile) Copolymer Modified Polyethersulfone Hollow Fiber Membrane with pH-Sensitivity. Sep. Sci. Technol. 2010, 45, 2017–2027. [Google Scholar] [CrossRef]
- Rahimpour, A.; Madaeni, S.S. Improvement of performance and surface properties of nano-porous polyethersulfone (PES) membrane using hydrophilic monomers as additives in the casting solution. J. Membr. Sci. 2010, 360, 371–379. [Google Scholar] [CrossRef]
- Al-anzi, B.S.; Siang, O.C. Recent developments of carbon based nanomaterials and membranes for oily wastewater treatment. RSC Adv. 2017, 7, 20981–20994. [Google Scholar] [CrossRef]
- Mona, J.; Perevedentseva, E.; Cheng, C.-L. Chapter 8: Biophysical Interaction of Nanodiamond with Biological Entities In Vivo. In Nanodiamond; Royal Society of Chemistry: Cambridge, UK, 2014; pp. 170–194. [Google Scholar]
- Chatterjee, A.; Perevedentseva, E.; Jani, M.; Cheng, C.-Y.; Ye, Y.-S.; Chung, P.-H.; Cheng, C.-L. Antibacterial effect of ultrafine nanodiamond against gram-negative bacteria Escherichia coli. J. Biomed. Opt. 2014, 20, 051014. [Google Scholar] [CrossRef]
- Fiorito, S.; Serafino, A.; Andreola, F.; Togna, A.; Togna, G. Toxicity and Biocompatibility of Carbon Nanoparticles. J. Nanosci. Nanotechnol. 2006, 6, 591–599. [Google Scholar] [CrossRef] [PubMed]
- Pramanik, G.; Slegerova, J.; Vanek, V.; Jani, M.; Kindermann, M.; Cigler, P. Chapter 2: Using Polymers to Enhance the Carbon Nanomaterial Biointerface. In Carbon Nanomaterials for Bioimaging, Bioanalysis, and Therapy; John Wiley & Sons, Ltd.: West Sussex, UK, 2018; pp. 15–42. [Google Scholar]
- Williams, C.D.; Carbone, P. Selective Removal of Technetium from Water Using Graphene Oxide Membranes. Environ. Sci. Technol. 2016, 50, 3875–3881. [Google Scholar] [CrossRef] [PubMed]
- Zhang, L.; Chen, B.; Ghaffar, A.; Zhu, X. Nanocomposite Membrane with Polyethylenimine-Grafted Graphene Oxide as a Novel Additive to Enhance Pollutant Filtration Performance. Environ. Sci. Technol. 2018, 52, 5920–5930. [Google Scholar] [CrossRef]
- Seo, D.H.; Pineda, S.; Woo, Y.C.; Xie, M.; Murdock, A.T.; Ang, E.Y.M.; Jiao, Y.; Park, M.J.; Lim, S.I.; Lawn, M.; et al. Anti-fouling graphene-based membranes for effective water desalination. Nat. Commun. 2018, 9, 1–12. [Google Scholar]
- Mojica, M.; Alonso, J.A.; Méndez, F. Synthesis of fullerenes. J. Phys. Org. Chem. 2013, 26, 526–539. [Google Scholar] [CrossRef]
- Ruoff, R.S.; Tse, D.S.; Malhotra, R.; Lorents, D.C. Solubility of fullerene (C60) in a variety of solvents. J. Phys. Chem. 1993, 97, 3379–3383. [Google Scholar] [CrossRef]
- Penkova, A.; Polotskaya, G.A.; Toikka, A.M.; Trchová, M.; Šlouf, M.; Urbanová, M.; Brus, J.; Brožová, L.; Pientka, Z. Structure and Pervaporation Properties of Poly(phenylene-iso-phthalamide) Membranes Modified by Fullerene C60. Macromol. Mater. Eng. 2009, 294, 432–440. [Google Scholar] [CrossRef]
- Hummelen, J.C.; Knight, B.W.; LePeq, F.; Wudl, F.; Yao, J.; Wilkins, C.L. Preparation and Characterization of Fulleroid and Methanofullerene Derivatives. J. Org. Chem. 1995, 60, 532–538. [Google Scholar] [CrossRef]
- Periya, V.K.; Koike, I.; Kitamura, Y.; Iwamatsu, S.; Murata, S. Hydrophilic [60] fullerene carboxylic acid derivatives retaining the original 60π electronic system. Tetrahedron Lett. 2004, 45, 8311–8313. [Google Scholar] [CrossRef]
- Djordjevic, A.; Srdjenovic, B.; Seke, M.; Petrovic, D.; Injac, R.; Mrdjanovic, J. Review of Synthesis and Antioxidant Potential of Fullerenol Nanoparticles. J. Nanomater. 2015, 2015, 1–15. [Google Scholar] [CrossRef]
- Song, Y.; Zhao, X.; Shao, J.; Zhang, J.; Yang, B. The photoluminescence mechanism in carbon dots (graphene quantum dots, carbon nanodots, and polymer dots): Current state and future perspective. Nano Res. 2015, 8, 355–381. [Google Scholar]
- Tian, L.; Ghosh, D.; Chen, W.; Pradhan, S.; Chang, X.; Chen, S. Nanosized Carbon Particles From Natural Gas Soot. Chem. Mater. 2009, 21, 2803–2809. [Google Scholar] [CrossRef]
- Zhao, Q.-L.; Zhang, Z.-L.; Huang, B.-H.; Peng, J.; Zhang, M.; Pang, D.-W. Facile preparation of low cytotoxicity fluorescent carbon nanocrystals by electrooxidation of graphite. Chem. Commun. 2008, 41, 5116–5118. [Google Scholar] [CrossRef] [PubMed]
- Li, H.; He, X.; Kang, Z.; Huang, H.; Liu, Y.; Liu, J.; Lian, S.; Tsang, C.H.A.; Yang, X.; Lee, S.-T. Water-soluble fluorescent carbon quantum dots and photocatalyst design. Angew. Chem. Int. Ed. 2010, 49, 4430–4434. [Google Scholar] [CrossRef] [PubMed]
- Ray, S.C.; Saha, A.; Jana, N.R.; Sarkar, R. Fluorescent Carbon Nanoparticles: Synthesis, Characterization, and Bioimaging Application. J. Phys. Chem. C 2009, 113, 18546–18551. [Google Scholar] [CrossRef]
- Zhou, J.; Zhou, X.; Li, R.; Sun, X.; Ding, Z.; Cutler, J.; Sham, T.-K. Electronic structure and luminescence center of blue luminescent carbon nanocrystals. Chem. Phys. Lett. 2009, 474, 320–324. [Google Scholar] [CrossRef]
- Cayuela, A.; Soriano, M.L.; Carrillo-Carrión, C.; Valcárcel, M. Semiconductor and carbon-based fluorescent nanodots: The need for consistency. Chem. Commun. 2016, 52, 1311–1326. [Google Scholar] [CrossRef]
- Wang, X.; Cao, L.; Yang, S.-T.; Lu, F.; Meziani, M.J.; Tian, L.; Sun, K.W.; Bloodgood, M.A.; Sun, Y.-P. Bandgap-Like Strong Fluorescence in Functionalized Carbon Nanoparticles. Angew. Chem. Int. Ed. 2010, 49, 5310–5314. [Google Scholar] [CrossRef]
- Pan, D.; Zhang, J.; Li, Z.; Wu, M. Hydrothermal Route for Cutting Graphene Sheets into Blue-Luminescent Graphene Quantum Dots. Adv. Mater. 2010, 22, 734–738. [Google Scholar] [CrossRef] [PubMed]
- Tao, S.; Feng, T.; Zheng, C.; Zhu, S.; Yang, B. Carbonized Polymer Dots: A Brand New Perspective to Recognize Luminescent Carbon-Based Nanomaterials. J. Phys. Chem. Lett. 2019, 10, 5182–5188. [Google Scholar] [CrossRef]
- Zhao, X.; Tang, Q.; Zhu, S.; Bu, W.; Yang, M.; Liu, X.; Meng, Y.; Yu, W.; Sun, H.; Yang, B. Controllable acidophilic dual-emission fluorescent carbonized polymer dots for selective imaging of bacteria. Nanoscale 2019, 11, 9526–9532. [Google Scholar] [CrossRef] [PubMed]
- Baker, S.N.; Baker, G.A. Luminescent Carbon Nanodots: Emergent Nanolights. Angew. Chem. Int. Ed. 2010, 49, 6726–6744. [Google Scholar] [CrossRef] [PubMed]
- Roy, P.; Chen, P.-C.; Periasamy, A.P.; Chen, Y.-N.; Chang, H.-T. Photoluminescent carbon nanodots: Synthesis, physicochemical properties and analytical applications. Mater. Today 2015, 18, 447–458. [Google Scholar] [CrossRef]
- Ye, S.-L.; Huang, J.-J.; Luo, L.; Fu, H.-J.; Sun, Y.-M.; Shen, Y.-D.; Lei, H.-T.; Xu, Z.-L. Preparation of Carbon Dots and Their Application in Food Analysis as Signal Probe. Chin. J. Anal. Chem. 2017, 45, 1571–1581. [Google Scholar] [CrossRef]
- Hsu, P.-C.; Chang, H.-T. Synthesis of high-quality carbon nanodots from hydrophilic compounds: Role of functional groups. Chem. Commun. 2012, 48, 3984–3986. [Google Scholar] [CrossRef]
- Bao, L.; Zhang, Z.-L.; Tian, Z.-Q.; Zhang, L.; Liu, C.; Lin, Y.; Qi, B.; Pang, D.-W. Electrochemical Tuning of Luminescent Carbon Nanodots: From Preparation to Luminescence Mechanism. Adv. Mater. 2011, 23, 5801–5806. [Google Scholar] [CrossRef]
- Kong, B.; Zhu, A.; Ding, C.; Zhao, X.; Li, B.; Tian, Y. Carbon Dot-Based Inorganic–Organic Nanosystem for Two-Photon Imaging and Biosensing of pH Variation in Living Cells and Tissues. Adv. Mater. 2012, 24, 5844–5848. [Google Scholar] [CrossRef]
- Zhao, H.X.; Liu, L.Q.; Liu, Z.D.; Wang, Y.; Zhao, X.J.; Huang, C.Z. Highly selective detection of phosphate in very complicated matrixes with an off–on fluorescent probe of europium-adjusted carbon dots. Chem. Commun. 2011, 47, 2604–2606. [Google Scholar] [CrossRef]
- Wei, W.; Xu, C.; Ren, J.; Xu, B.; Qu, X. Sensing metal ions with ion selectivity of a crown ether and fluorescence resonance energy transfer between carbon dots and graphene. Chem. Commun. 2012, 48, 1284–1286. [Google Scholar] [CrossRef]
- Xiang, Q.; Yu, J.; Jaroniec, M. Graphene-based semiconductor photocatalysts. Chem. Soc. Rev. 2012, 41, 782–796. [Google Scholar] [CrossRef] [PubMed]
- Li, R.S.; Gao, P.F.; Zhang, H.Z.; Zheng, L.L.; Li, C.M.; Wang, J.; Li, Y.F.; Liu, F.; Li, N.; Huang, C.Z. Chiral nanoprobes for targeting and long-term imaging of the Golgi apparatus. Chem. Sci. 2017, 8, 6829–6835. [Google Scholar] [CrossRef] [PubMed]
- Sharma, V.; Tiwari, P.; Mobin, S.M. Sustainable carbon-dots: Recent advances in green carbon dots for sensing and bioimaging. J. Mater. Chem. B 2017, 5, 8904–8924. [Google Scholar] [CrossRef] [PubMed]
- Paul, S.; Gayen, K.; Nandi, N.; Banerjee, A. Carbon nanodot-induced gelation of a histidine-based amphiphile: Application as a fluorescent ink, and modulation of gel stiffness. Chem. Commun. 2018, 54, 4341–4344. [Google Scholar] [CrossRef] [PubMed]
- Tsuchiya, T.; Oguri, I.; Yamakoshi, Y.N.; Miyata, N. Novel harmful effects of [60] fullerene on mouse embryos in vitro and in vivo. Fed. Eur. Biochem. Soc. Lett. 1996, 393, 139–145. [Google Scholar] [CrossRef]
- Sayes, C.M.; Fortner, J.D.; Guo, W.; Lyon, D.; Boyd, A.M.; Ausman, K.D.; Tao, Y.J.; Sitharaman, B.; Wilson, L.J.; Hughes, J.B.; et al. The Differential Cytotoxicity of Water-Soluble Fullerenes. Nano Lett. 2004, 4, 1881–1887. [Google Scholar] [CrossRef]
- Scrivens, W.A.; Tour, J.M.; Creek, K.E.; Pirisi, L. Synthesis of 14C-Labeled C60, Its Suspension in Water, and Its Uptake by Human Keratinocytes. J. Am. Chem. Soc. 1994, 116, 4517–4518. [Google Scholar] [CrossRef]
- Moussa, F.; Trivin, F.; Céolin, R.; Hadchouel, M.; Sizaret, P.Y.; Greugny, V.; Fabre, C.; Rassat, A.; Szwarc, H. Early effects of C60 Administration in Swiss Mice: A Preliminary Account for In Vivo C60 Toxicity. Fuller. Sci. Technol. 1996, 4, 21–29. [Google Scholar] [CrossRef]
- Jia, G.; Wang, H.; Yan, L.; Wang, X.; Pei, R.; Yan, T.; Zhao, Y.; Guo, A. Cytotoxicity of carbon nanomaterials: Single-wall nanotube, multi-wall nanotube, and fullerene. Environ. Sci. Technol. 2005, 39, 1378–1383. [Google Scholar] [CrossRef]
- Cataldo, F.; da Ros, T. Medicinal Chemistry and Pharmacological Potential of Fullerenes and Carbon Nanotubes. Springer Science & Business Media: Dordrecht, The Netherlands, 2008. [Google Scholar]
- Bosi, S.; da Ros, T.; Castellano, S.; Banfi, E.; Prato, M. Antimycobacterial activity of ionic fullerene derivatives. Bioorg. Med. Chem. Lett. 2000, 10, 1043–1045. [Google Scholar] [CrossRef]
- Tsao, N.; Kanakamma, P.P.; Luh, T.-Y.; Chou, C.-K.; Lei, H.-Y. Inhibition of Escherichia coli-Induced Meningitis by Carboxyfullerence. Antimicrob. Agents Chemother. 1999, 43, 2273–2277. [Google Scholar] [CrossRef] [PubMed]
- Tsao, N.; Luh, T.-Y.; Chou, C.-K.; Wu, J.-J.; Lin, Y.-S.; Lei, H.-Y. Inhibition of Group A Streptococcus Infection by Carboxyfullerene. Antimicrob. Agents Chemother. 2001, 45, 1788–1793. [Google Scholar] [CrossRef] [PubMed]
- Brant, J.; Lecoanet, H.; Hotze, M.; Wiesner, M. Comparison of Electrokinetic Properties of Colloidal Fullerenes (n-C60) Formed Using Two Procedures. Environ. Sci. Technol. 2005, 39, 6343–6351. [Google Scholar] [CrossRef] [PubMed]
- Lyon, D.Y.; Fortner, J.D.; Sayes, C.M.; Colvin, V.L.; Hughes, J.B. Bacterial cell association and antimicrobial activity of a C60 water suspension. Environ. Toxicol. Chem. 2005, 24, 2757–2762. [Google Scholar] [CrossRef]
- Fortner, J.D.; Lyon, D.Y.; Sayes, C.M.; Boyd, A.M.; Falkner, J.C.; Hotze, E.M.; Alemany, L.B.; Tai, Y.J.; Guo, W.; Ausman, K.D.; et al. C60 in Water: Nanocrystal Formation and Microbial Response. Environ. Sci. Technol. 2005, 39, 4307–4316. [Google Scholar] [CrossRef]
- Nyberg, L.; Turco, R.F.; Nies, L. Assessing the Impact of Nanomaterials on Anaerobic Microbial Communities. Environ. Sci. Technol. 2008, 42, 1938–1943. [Google Scholar] [CrossRef]
- Tong, Z.; Bischoff, M.; Nies, L.; Applegate, B.; Turco, R.F. Impact of Fullerene (C60) on a Soil Microbial Community. Environ. Sci. Technol. 2007, 41, 2985–2991. [Google Scholar] [CrossRef]
- Moussa, F.; Chretie, P.; Dubois, P.; Chuniaud, L.; Dessante, M.; Trivin, F.; Sizaret, P.-Y.; Agafonov, V.; Céolin, R.; Szwarc, H.; et al. The Influence of C60 Powders On Cultured Human Leukocytes. Fuller. Sci. Technol. 1995, 3, 333–342. [Google Scholar] [CrossRef]
- Moussa, F.; Chrétien, P.; Pressac, M.; Trivin, F.; Szwarc, H.; Céolin, R. Preliminary Study of the Influence of Cubic C60 on Cultured Human Monocytes: Lack of Interleukin-1 β Secretion. Fuller. Sci. Technol. 1997, 5, 503–510. [Google Scholar] [CrossRef]
- Baierl, T.; Drosselmeyer, E.; Seidel, A.; Hippeli, S. Comparison of immunological effects of Fullerene C60 and raw soot from Fullerene production on alveolar macrophages and macrophage like cells in vitro. Exp. Toxicol. Pathol. 1996, 48, 508–511. [Google Scholar] [CrossRef]
- Wolff, D.J.; Papoiu, A.D.P.; Mialkowski, K.; Richardson, C.F.; Schuster, D.I.; Wilson, S.R. Inhibition of Nitric Oxide Synthase Isoforms by Tris-Malonyl-C60-Fullerene Adducts. Arch. Biochem. Biophys. 2000, 378, 216–223. [Google Scholar] [CrossRef] [PubMed]
- Wolff, D.J.; Mialkowski, K.; Richardson, C.F.; Wilson, S.R. C60-Fullerene monomalonate adducts selectively inactivate neuronal nitric oxide synthase by uncoupling the formation of reactive oxygen intermediates from nitric oxide production. Biochemistry 2001, 40, 37–45. [Google Scholar] [CrossRef] [PubMed]
- Huczko, A.; Lange, H.; Calko, E. Short Communication: Fullerenes: Experimental Evidence for a Null Risk of Skin Irritation and Allergy. Fullererene Sci. Technol. 1999, 7, 935–939. [Google Scholar] [CrossRef]
- Rancan, F.; Rosan, S.; Boehm, F.; Cantrell, A.; Brellreich, M.; Schoenberger, H.; Hirsch, A.; Moussa, F. Cytotoxicity and photocytotoxicity of a dendritic C(60) mono-adduct and a malonic acid C(60) tris-adduct on Jurkat cells. J. Photochem. Photobiol. B 2002, 67, 157–162. [Google Scholar] [CrossRef]
- Sayes, C.M.; Gobin, A.M.; Ausman, K.D.; Mendez, J.; West, J.L.; Colvin, V.L. Nano-C60 cytotoxicity is due to lipid peroxidation. Biomaterials 2005, 26, 7587–7595. [Google Scholar] [CrossRef] [PubMed]
- Yáñez-Sedeño, P.; Campuzano, S.; Pingarrón, J.M. Fullerenes in Electrochemical Catalytic and Affinity Biosensing: A Review. C-J. Carbon Res. 2017, 3, 21. [Google Scholar]
- Cha, C.; Shin, S.R.; Annabi, N.; Dokmeci, M.R.; Khademhosseini, A. Carbon-Based Nanomaterials: Multifunctional Materials for Biomedical Engineering. Acs Nano 2013, 7, 2891–2897. [Google Scholar] [CrossRef]
- Pilehvar, S.; de Wael, K. Recent Advances in Electrochemical Biosensors Based on Fullerene-C60 Nano-Structured Platforms. Biosensors 2015, 5, 712–735. [Google Scholar] [CrossRef]
- Narayan, R. Nanobiomaterials: Nanostructured Materials for Biomedical Applications; Woodhead Publishing: Amsterdam, The Netherlands, 2017. [Google Scholar]
- Partha, R.; Conyers, J.L. Biomedical applications of functionalized fullerene-based nanomaterials. Int. J. Nanomed. 2009, 4, 261–275. [Google Scholar]
- Li, Q.; Chen, B.; Xing, B. Aggregation Kinetics and Self-Assembly Mechanisms of Graphene Quantum Dots in Aqueous Solutions: Cooperative Effects of pH and Electrolytes. Environ. Sci. Technol. 2017, 51, 1364–1376. [Google Scholar] [CrossRef]
- Ron, H. “A Toxicologic Review of Quantum Dots: Toxicity Depends on Physicochemical and Environmental Factors. Environ. Health Perspect. 2006, 114, 165–172. [Google Scholar]
- Nurunnabi, M.; Khatun, Z.; Huh, K.M.; Park, S.Y.; Lee, D.Y.; Cho, K.J.; Lee, Y.-K. In Vivo Biodistribution and Toxicology of Carboxylated Graphene Quantum Dots. Acs Nano 2013, 7, 6858–6867. [Google Scholar] [CrossRef] [PubMed]
- Wang, Y.; Anilkumar, P.; Cao, L.; Liu, J.-H.; Luo, P.G.; Tackett, K.N.; Sahu, S.; Wang, P.; Wang, X.; Sun, Y.-P. Carbon dots of different composition and surface functionalization: Cytotoxicity issues relevant to fluorescence cell imaging. Exp. Biol. Med. 2011, 236, 1231–1238. [Google Scholar] [CrossRef]
- Yang, S.-T.; Wang, X.; Wang, H.; Lu, F.; Luo, P.G.; Cao, L.; Meziani, M.J.; Liu, J.-H.; Liu, Y.; Chen, M.; et al. Carbon Dots as Nontoxic and High-Performance Fluorescence Imaging Agents. J. Phys. Chem. C Nanomater. Interfaces 2009, 113, 18110–18114. [Google Scholar] [CrossRef] [PubMed]
- Li, N.; Liang, X.; Wang, L.; Li, Z.; Li, P.; Zhu, Y.; Song, J. Biodistribution study of carbogenic dots in cells and in vivo for optical imaging. J. Nano. Res. 2012, 14, 1177. [Google Scholar] [CrossRef]
- Wang, J.; Qiu, J. A review of carbon dots in biological applications. J. Mater. Sci. 2016, 51, 4728–4738. [Google Scholar] [CrossRef]
- Huang, X.D.; Goh, S.H. Miscibility of C60-end-capped poly(ethylene oxide) with poly(vinyl chloride). Polymer 2002, 43, 1417–1421. [Google Scholar] [CrossRef]
- Huang, X.D.; Goh, S.H. Interpolymer Complexes through Hydrophobic Interactions: C60-End-Capped Poly(ethylene oxide)/Poly(methacrylic acid) Complexes. Macromolecules 2000, 33, 8894–8897. [Google Scholar] [CrossRef]
- Polotskaya, G.A.; Andreeva, D.V.; El’yashevich, G.K. Investigation of gas diffusion through films of fullerene-containing poly(phenylene oxide). Tech. Phys. Lett. Phys. Lett. 1999, 25, 555–557. [Google Scholar] [CrossRef]
- Sudareva, N. “Properties of casting solutions and ultrafiltration membranes based on fullerene-polyamide nanocomposites. Express Polym. Lett. 2012, 6, 178–188. [Google Scholar] [CrossRef]
- Yang, M.; Zhao, C.; Zhang, S.; Li, P.; Hou, D. Preparation of graphene oxide modified poly(m-phenylene isophthalamide) nanofiltration membrane with improved water flux and antifouling property. Appl. Surf. Sci. 2017, 394, 149–159. [Google Scholar] [CrossRef]
- Lin, C.-E.; Wang, J.; Zhou, M.-Y.; Zhu, B.-K.; Zhu, L.-P.; Gao, C.-J. Poly(m-phenylene isophthalamide) (PMIA): A potential polymer for breaking through the selectivity-permeability trade-off for ultrafiltration membranes. J. Membr. Sci. 2016, 518, 72–78. [Google Scholar] [CrossRef]
- Shawky, H. “Performance of aromatic polyamide RO membranes synthesized by interfacial polycondensation process in a water–tetrahydrofuran system. J. Membr. Sci. 2009, 339, 209–214. [Google Scholar] [CrossRef]
- Dmitrenko, M.E.; Penkova, A.V.; Kuzminova, A.I.; Atta, R.R.; Zolotarev, A.A.; Mazur, A.S.; Vezo, O.S.; Lahderanta, E.; Markelov, D.A.; Ermakov, S.S. Development and investigation of novel polyphenylene isophthalamide pervaporation membranes modified with various fullerene derivatives. Sep. Purif. Technol. 2019, 2019, 226. [Google Scholar] [CrossRef]
- Penkova, A.; Toikka, A.; Kostereva, T.; Sudareva, N.; Polotskaya, G. Structure and Transport Properties of Fullerene–Polyamide Membranes. Fuller. Nanotub. Carbon Nanostruct. 2008, 16, 666–669. [Google Scholar] [CrossRef]
- Tarabukina, E.; Krasnov, I.; Ratnikova, O.; Melenevskaya, E.; Filippov, A. Effect of Centrifugal Field upon Hydrodynamic Characteristics of Fullerene C60 and Poly(N-vinylpyrrolidone) Complex in Aqueous Solutions. Int. J. Polym. Anal. Charact. 2007, 12, 203–220. [Google Scholar] [CrossRef]
- Sushko, M.L.; Tenhu, H.; Klenin, S.I. Static and dynamic light scattering study of strong intermolecular interactions in aqueous solutions of PVP/C60 complexes. Polymer 2002, 43, 2769–2775. [Google Scholar] [CrossRef]
- Chubarova, E.; Melenevskaya, E.; Sudareva, N.; Andreeva, O.; Malachova, I.; Ratnikova, O. Degradation of Macromolecular Chains in Fullerene C60–Polystyrene Composites. J. Macromol. Sci. Part B 2005, 44, 455–469. [Google Scholar] [CrossRef]
- Brunet, L.; Lyon, D.Y.; Hotze, E.M.; Alvarez, P.J.J.; Wiesner, M.R. Comparative Photoactivity and Antibacterial Properties of C60 Fullerenes and Titanium Dioxide Nanoparticles. Environ. Sci. Technol. 2009, 43, 4355–4360. [Google Scholar] [CrossRef]
- Tasaki, K.; Gasa, J.; Wang, H.; DeSousa, R. Fabrication and characterization of fullerene–Nafion composite membranes. Polymer 2007, 48, 4438–4448. [Google Scholar] [CrossRef]
- Phillips, J.P.; Deng, X.; Stephen, R.R.; Fortenberry, E.L.; Todd, M.L.; McClusky, D.M.; Stevenson, S.; Misra, R.; Morgan, S.; Long, T.E. Nano- and bulk-tack adhesive properties of stimuli-responsive, fullerene–polymer blends, containing polystyrene-block-polybutadiene-block-polystyrene and polystyrene-block-polyisoprene-block-polystyrene rubber-based adhesives. Polymer 2007, 48, 6773–6781. [Google Scholar] [CrossRef]
- Li, F.; Li, Y.; Ge, Z.; Zhu, D.; Song, Y.; Fang, G. Synthesis and optical limiting properties of polycarbonates containing fullerene derivative. J. Phys. Chem. Solids 2000, 61, 1101–1103. [Google Scholar] [CrossRef]
- Zhang, F.; Svensson, M.; Andersson, M.R.; Maggini, M.; Bucella, S.; Menna, E.; Inganäs, O. Soluble Polythiophenes with Pendant Fullerene Groups as Double Cable Materials for Photodiodes. Adv. Mater. 2001, 13, 1871–1874. [Google Scholar] [CrossRef]
- Chen, Y.; Hunc, Z.-E.; Cai, R.-F.; Kong, S.-Q.; Chen, S.; Shao, Z.Q.; Yan, X.; Zhao, F.; Fu, D. Synthesis and characterization of soluble C60-chemically modified poly(p-bromostyrene). J. Polym. Sci. Part A Polym. Chem. 1996, 34, 3297–3302. [Google Scholar] [CrossRef]
- Cai, R.-F.; Bai, X.; Chen, Y.; Huang, Z.-E. Preparation and structural characterization of C70 chemically modified poly(N-vinylcarbazole). Eur. Polym. J. 1998, 34, 7–12. [Google Scholar] [CrossRef]
- Dai, L.; Mau, A.; Griesser, H.; Spurling, T.; White, J. Grafting of Buckminsterfullerene onto Polydiene: A New Route to Fullerene-Containing Polymers. J. Phys. Chem. 1995, 99, 17302–17304. [Google Scholar] [CrossRef]
- Bergbreiter, D.E.; Gray, H.N. Grafting of C60 onto polyethylene surfaces. J. Chem. Soc. Chem. Commun. 1993, 7, 645–646. [Google Scholar] [CrossRef]
- Yuan, Z.; Wu, X.; Jiang, Y.; Li, Y.; Huang, J.; Hao, L.; Zhang, J.; Wang, J. Carbon dots-incorporated composite membrane towards enhanced organic solvent nanofiltration performance. J. Membr. Sci. 2018, 549, 1–11. [Google Scholar] [CrossRef]
- Gai, W.; Zhao, D.L.; Chung, T.-S. Novel thin film composite hollow fiber membranes incorporated with carbon quantum dots for osmotic power generation. J. Membr. Sci. 2018, 551, 94–102. [Google Scholar] [CrossRef]
- Li, Y.; Li, S.; Zhang, K. Influence of hydrophilic carbon dots on polyamide thin film nanocomposite reverse osmosis membranes. J. Membr. Sci. 2017, 537, 42–53. [Google Scholar] [CrossRef]
- Sun, H.; Wu, P. Tuning the functional groups of carbon quantum dots in thin film nanocomposite membranes for nanofiltration. J. Membr. Sci. 2018, 564, 394–403. [Google Scholar] [CrossRef]
- Wang, R.; Lu, K.-Q.; Tang, Z.-R.; Xu, Y.-J. Recent progress on carbon quantum dots: Synthesis, properties and applications in photocatalysis. J. Mater. Chem. 2017, 8, 5. [Google Scholar] [CrossRef]
- Fathizadeh, M.; Tien, H.N.; Khivantsev, K.; Song, Z.; Zhou, F.; Yu, M. Polyamide/nitrogen-doped graphene oxide quantum dots (N-GOQD) thin film nanocomposite reverse osmosis membranes for high flux desalination. Desalination 2019, 451, 125–132. [Google Scholar] [CrossRef]
- Jiang, Y.; Chung, T.S.; Cao, C.; Huang, Z.; Kulprathipanja, S. Fundamental understanding of nano-sized zeolite distribution in the formation of the mixed matrix single- and dual-layer asymmetric hollow fiber membranes. J. Membr. Sci. 2005, 252, 89–100. [Google Scholar] [CrossRef]
- Vrijenhoek, E.; Hong, S.; Elimelech, M. Influence of Membrane Surface Properties on Initial Rate of Colloidal Fouling of Reverse Osmosis and Nanofiltration Membranes. J. Membr. Sci. 2001, 188, 115–128. [Google Scholar] [CrossRef]
- Bi, R.; Zhang, Q.; Zhang, R.; Su, Y.; Jiang, Z. Thin film nanocomposite membranes incorporated with graphene quantum dots for high flux and antifouling property. J. Membr. Sci. 2018, 553, 17–24. [Google Scholar] [CrossRef]
- Zhao, D.L.; Das, S.; Chung, T.-S. Carbon Quantum Dots Grafted Antifouling Membranes for Osmotic Power Generation via Pressure-Retarded Osmosis Process. Environ. Sci. Technol. 2017, 51, 14016–14023. [Google Scholar] [CrossRef]
- Kang, G.; Cao, Y. Application and modification of poly(vinylidene fluoride) (PVDF) membranes – A review. J. Membr. Sci. 2014, 463, 145–165. [Google Scholar] [CrossRef]
- Zeng, Z.; Yu, D.; He, Z.; Liu, J.; Xiao, F.-X.; Zhang, Y.; Wang, R.; Bhattacharyya, D.; Tan, T.T.Y. Graphene Oxide Quantum Dots Covalently Functionalized PVDF Membrane with Significantly-Enhanced Bactericidal and Antibiofouling Performances. Sci. Rep. 2016, 6, 20142–20152. [Google Scholar] [CrossRef]
- Jafari, A.; Kebria, M.R.S.; Rahimpour, A.; Bakeri, G. Graphene quantum dots modified polyvinylidenefluride (PVDF) nanofibrous membranes with enhanced performance for air Gap membrane distillation. Chem. Eng. Process. 2018, 126, 222–231. [Google Scholar] [CrossRef]
- Guo, C.X.; Zhao, D.; Zhao, Q.; Wang, P.; Lu, X. Na+-functionalized carbon quantum dots: A new draw solute in forward osmosis for seawater desalination. Chem. Commun. 2014, 50, 7318–7321. [Google Scholar] [CrossRef] [PubMed]
- He, Y.; Zhao, D.L.; Chung, T.-S. Na+ functionalized carbon quantum dot incorporated thin-film nanocomposite membranes for selenium and arsenic removal. J. Membr. Sci. 2018, 564, 483–491. [Google Scholar] [CrossRef]
- Pal, A.; Sk, M.P.; Chattopadhyay, A. Conducting Carbon Dot–Polypyrrole Nanocomposite for Sensitive Detection of Picric acid. ACS Appl. Mater. Interfaces 2016, 8, 5758–5762. [Google Scholar] [CrossRef] [PubMed]
- Safaie, B.; Youssefi, M.; Rezaei, B.; Irannejad, N. Synthesis and Properties of Photoluminescent Carbon Quantum Dot/Polyacrylonitrile Composite Nanofibers. Smart Sci. 2017, 6, 1–8. [Google Scholar] [CrossRef]
- Pendergast, M.M.; Hoek, E.M.V. A review of water treatment membrane nanotechnologies. Energy Environ. Sci. 2011, 4, 1946–1971. [Google Scholar] [CrossRef]
- Mueller, N.C.; Bruggen, B.; Keuter, V.; Luis, P.; Melin, T.; Pronk, W.; Reisewitz, R.; Rickerby, D.; Riosh, G.M.; Wennekes, W.; et al. Nanofiltration and nanostructured membranes—Should they be considered nanotechnology or not? J. Hazard. Mater. 2012, 211–212, 275–280. [Google Scholar] [CrossRef]
- Qu, X.; Brame, J.; Li, Q.; Alvarez, P.J.J. Nanotechnology for a Safe and Sustainable Water Supply: Enabling Integrated Water Treatment and Reuse. Acc. Chem. Res. 2013, 46, 834–843. [Google Scholar] [CrossRef]
- Ma, S.; Zhan, S.; Jia, Y.; Zhou, Q. Highly Efficient Antibacterial and Pb(II) Removal Effects of Ag-CoFe2O4-GO Nanocomposite. ACS Appl. Mater. Interfaces 2015, 7, 10576–10586. [Google Scholar] [CrossRef]
- Zhao, G.; Li, J.; Ren, X.; Chen, C.; Wang, X. Few-Layered Graphene Oxide Nanosheets As Superior Sorbents for Heavy Metal Ion Pollution Management. Environ. Sci. Technol. 2011, 45, 10454–10462. [Google Scholar] [CrossRef]
- Zhang, B.-T.; Zheng, X.; Li, H.-F.; Lin, J.-M. Application of carbon-based nanomaterials in sample preparation: A review. Anal. Chim. Acta 2013, 784, 1–17. [Google Scholar] [CrossRef] [PubMed]
- Valcárcel, M.; Cárdenas, S.; Simonet, B.M.; Moliner-Martínez, Y.; Lucena, R. Carbon Nanostructures as Sorbent Materials in Analytical Processes. Trends Anal. Chem. Trac. 2008, 27, 34–43. [Google Scholar]
- Samonin, V.V.; Nikonova, V.Y.; Podvyaznikov, M.L. Carbon adsorbents on the basis of the hydrolytic lignin modified with fullerenes in producing. Russ. J. Appl. Chem. 2014, 87, 190–193. [Google Scholar] [CrossRef]
- Ma, J.; Guo, Q.; Gao, H.-L.; Qin, X. Synthesis of C60/Graphene Composite as Electrode in Supercapacitors. Fullererenes Nanotub. Carbon Nanostructures 2015, 23, 477–482. [Google Scholar] [CrossRef]
- Alekseeva, O.V.; Bagrovskaya, N.A.; Noskov, A.V. Sorption of heavy metal ions by fullerene and polystyrene/fullerene film compositions. Prot. Met. Phys. Chem. Surf. 2016, 52, 443–447. [Google Scholar] [CrossRef]
- Samonin, V.V.; Nikonova, V.Y.; Podvyaznikov, M.L. Sorption properties of fullerene-modified activated carbon with respect to metal ions. Prot. Met. 2008, 44, 190–192. [Google Scholar] [CrossRef]
- Jin, X.; Hu, J.Y.; Tint, M.L.; Ong, S.L.; Biryulin, Y.; Polotskaya, G. Estrogenic compounds removal by fullerene-containing membranes. Desalination 2007, 214, 83–90. [Google Scholar] [CrossRef]
- Plisko, T.V.; Liubimova, A.S.; Bildyukevich, A.V.; Penkova, A.V.; Dmitrenko, M.E.; Mikhailovskii, V.Y.; Melnikova, G.B.; Semenov, K.N.; Doroshkevich, N.V.; Kuzminova, A.I. Fabrication and characterization of polyamide-fullerenol thin film nanocomposite hollow fiber membranes with enhanced antifouling performance. J. Membr. Sci. 2018, 551, 20–36. [Google Scholar] [CrossRef]
- Perera, M.G.N.; Galagedara, Y.R.; Ren, Y.; Jayaweera, M.; Zhao, Y.; Weerasooriya, R. Fabrication of fullerenol-incorporated thin-film nanocomposite forward osmosis membranes for improved desalination performances. J. Polym. Res. 2018, 25, 199. [Google Scholar] [CrossRef]
- Shen, Q.; Xu, S.-J.; Xu, Z.-L.; Zhang, H.-Z.; Dong, Z.-Q. Novel thin-film nanocomposite membrane with water-soluble polyhydroxylated fullerene for the separation of Mg2+/Li+ aqueous solution. J. Appl. Polym. Sci. 2019, 136, 48029. [Google Scholar] [CrossRef]
- Liu, Y.; Phillips, B.; Li, W.; Zhang, Z.; Fang, L.; Qiu, J.; Wang, S. Fullerene-Tailored Graphene Oxide Interlayer Spacing for Energy-Efficient Water Desalination. Acs Appl. Nanomater. 2018, 1, 6168–6175. [Google Scholar] [CrossRef]
- Wang, L.; Cheng, C.; Tapas, S.; Lei, J.; Matsuoka, M.; Zhang, J.; Zhang, F. Carbon dots modified mesoporous organosilica as an adsorbent for the removal of 2,4-dichlorophenol and heavy metal ions. J. Mater. Chem. A 2015, 3, 13357–13364. [Google Scholar] [CrossRef]
- Yang, W.-J.; Shao, D.-D.; Zhou, Z.; Xia, Q.-C.; Chen, J.; Cao, X.-L.; Zheng, T.; Sun, S.-P. Carbon quantum dots (CQDs) nanofiltration membranes towards efficient biogas slurry valorization. Chem. Eng. J. 2020, 385, 123993. [Google Scholar] [CrossRef]
- Koulivand, H.; Shahbazi, A.; Vatanpour, V.; Rahmandoust, M. Development of carbon dot-modified polyethersulfone membranes for enhancement of nanofiltration, permeation and antifouling performance. Sep. Purif. Technol. 2020, 230, 115895. [Google Scholar] [CrossRef]
- Gai, W.; Zhao, D.L.; Chung, T.-S. Thin film nanocomposite hollow fiber membranes comprising Na+-functionalized carbon quantum dots for brackish water desalination. Water Res. 2019, 154, 54–61. [Google Scholar] [CrossRef] [PubMed]
- Lei, S.; Zeng, M.; Huang, D.; Wang, L.; Zhang, L.; Xi, B.; Ma, W.; Chen, G.; Cheng, Z. Synergistic High-flux Oil–Saltwater Separation and Membrane Desalination with Carbon Quantum Dots Functionalized Membrane. ACS Sustain. Chem. Eng. 2019, 7, 13708–13716. [Google Scholar] [CrossRef]
- Shao, D.-D.; Yang, W.J.; Xiao, H.-F.; Wang, Z.-Y.; Zhou, C.; Cao, X.-L.; Sun, S.-P. Self-Cleaning Nanofiltration Membranes by Coordinated Regulation of Carbon Quantum Dots and Polydopamine. ACS Appl. Mater. Interfaces 2020, 12, 580–590. [Google Scholar] [CrossRef]
- Punrat, E.; Maksuk, C.; Chuanuwatanakul, S.; Wonsawat, W.; Chailapakul, O. Polyaniline/graphene quantum dot-modified screen-printed carbon electrode for the rapid determination of Cr(VI) using stopped-flow analysis coupled with voltammetric technique. Talanta 2016, 150, 198–205. [Google Scholar] [CrossRef]
- Bi, R.; Zhang, R.; Shen, J.; Liu, Y.; He, M.; You, X.; Su, Y.; Jiang, Z. Graphene quantum dots engineered nanofiltration membrane for ultrafast molecular separation. J. Membr. Sci. 2019, 572, 504–511. [Google Scholar] [CrossRef]
- Wu, X.; Zhou, G.; Cui, X.; Li, Y.; Wang, J.; Cao, X.; Zhang, P. Nanoparticle-Assembled Thin Film with Amphipathic Nanopores for Organic Solvent Nanofiltration. ACS Appl. Mater. Interfaces 2019, 11, 17804–17813. [Google Scholar] [CrossRef]
- Li, S.; Li, C.; Song, X.; Su, B.; Prasad, B.M.B.; Gao, X.; Gao, C. Graphene Quantum Dots-Doped Thin Film Nanocomposite Polyimide Membranes with Enhanced Solvent Resistance for Solvent-Resistant Nanofiltration. ACS Appl. Mater. Interfaces 2019, 11, 6527–6540. [Google Scholar] [CrossRef] [PubMed]
- Li, S.; Li, C.; Su, B.; Hu, M.Z.; Gao, X.; Gao, C. Amino-functionalized graphene quantum dots (aGQDs)-embedded thin film nanocomposites for solvent resistant nanofiltration (SRNF) membranes based on covalence interactions. J. Membr. Sci. 2019, 588, 117212. [Google Scholar] [CrossRef]
- Seyedpour, S.F.; Rahimpour, A.; Shamsabadi, A.A.; Soroush, M. Improved performance and antifouling properties of thin-film composite polyamide membranes modified with nano-sized bactericidal graphene quantum dots for forward osmosis. Chem. Eng. Res. Des. 2018, 139, 321–334. [Google Scholar] [CrossRef]
- Xu, S.; Li, F.; Su, B.; Hu, M.Z.; Gao, X.; Gao, C. Novel graphene quantum dots (GQDs)-incorporated thin film composite (TFC) membranes for forward osmosis (FO) desalination. Desalination 2019, 451, 219–230. [Google Scholar] [CrossRef]
- Song, X.; Zhou, Q.; Zhang, T.; Xu, H.; Wang, Z. Pressure-assisted preparation of graphene oxide quantum dot-incorporated reverse osmosis membranes: Antifouling and chlorine resistance potentials. J. Mater. Chem. A 2016, 4, 16896–16905. [Google Scholar] [CrossRef]
- Zhang, C.; Wei, K.; Zhang, W.; Bai, Y.; Sun, Y.; Gu, J. Graphene Oxide Quantum Dots Incorporated into a Thin Film Nanocomposite Membrane with High Flux and Antifouling Properties for Low-Pressure Nanofiltration. ACS Appl. Mater. Interfaces 2017, 9, 11082–11094. [Google Scholar] [CrossRef]
- Lecaros, R.L.G.; Deseo, K.M.; Hung, W.-S.; Tayo, L.L.; Hu, C.-C.; An, Q.-F.; Tsai, H.-A.; Lee, K.-R.; Lai, J.-Y. Influence of integrating graphene oxide quantum dots on the fine structure characterization and alcohol dehydration performance of pervaporation composite membrane. J. Membr. Sci. 2019, 576, 36–47. [Google Scholar] [CrossRef]











| Membranes | The Second Regime (PV of Only the Azeotropic Methanol-Toluene Mixture) | The First Regime (PV of the Azeotropic Methanol-Toluene Mixture in Series of Experiments in a Wide Concentration Range) | ||||
|---|---|---|---|---|---|---|
| Permeation Flux, kg/(m2h) | Methanol Content in the Permeate, wt% | PV Separation Index | Permeation Flux, kg/(m2h) | Methanol Content in the Permeate, wt% | PV Separation Index | |
| polyphenylene isophthalamide | 0.332 | 92.0 | 1.15 | 0.147 | 94.2 | 0.78 |
| polyphenylene isophthalamide/C60 | 0.400 | 91.8 | 1.34 | 0.160 | 94.8 | 0.97 |
| polyphenylene isophthalamide/carboxy C60 | 0.492 | 93.1 | 2.09 | 0.179 | 97.7 | 2.78 |
| polyphenylene isophthalamide/L-arginine | 0.552 | 92.2 | 1.99 | 0.191 | 95.7 | 1.46 |
| polyphenylene isophthalamide/fullerenol | 0.649 | 92.1 | 2.25 | 0.214 | 95.9 | 1.73 |
| Nanofiller | Size of Fillers (nm) | Resulting Membrane Pore Size | Filteration Ranges (L/m2h.bar)/ LMH.bar | Ref. |
|---|---|---|---|---|
| C60 | 0.14 | - | - | [140] |
| C60 | - | Bigger pore size with inclusion of C60 | - | [142] |
| C60 | - | 17 nm | - | [96] |
| C60 | 0.375 | - | - | [32] |
| C60 (aggregates, hydroxylated coated) | 4.4–122 | - | - | [105] |
| C60 and derivatives | 9–15 | - | 0.084–0.214 kg/(m2h) (5 wt% fullerenol) | [100] |
| Polyhydroxylated C60 | - | 0.639 nm | 6.7 LMH.bar | [145] |
| C60(OH)24–28 | ~1 | 0.86 to 0.59 nm (thickness) | 26.1 LMH | [144] |
| C60(OH)22–24 | 14–59 | 33–34 nm to 53–55 nm (thickness) | [143] | |
| GO laminates by grafting C60molecules | ~10 | - | 10.85 LMH.bar | [146] |
| CDs | 2–5 | ~10 nm pore size improves with high content | 76.5 (kg/m2h) | [149] |
| CDs | 6.79 ± 1.65 | Pores are blocked | 88.7 LMH | [116] |
| CDs | 2–5 | >100 nm | 42.6 LMH | [114] |
| mesoporous organosilica embedded with CDs | ~1 | ~5.50 nm | - | [147] |
| CQD | 6 | <2 nm | 3.6 to 9.72 LMH.bar | [148] |
| CQDs | 3.3–3.4 | - | 42.1 LMH | [117] |
| CQD | 4–6 | pores of CQDs-TFC become larger while the pores of PDA-CQDs-TFC becomes smaller than that of TFC (0.2–0.8 nm) | 14.6 LMH.bar | [152] |
| CQD and Na+ - CQD | 3 and 9 | - | 53 LMH at 23 bar | [115] |
| CQD and Na+ - CQD | 2 and 6 | - | 57.65 LMH | [150] |
| Na+ - CQD | avg. 3.5 | 0.5 nm | 29.8 LMH | [127] |
| Na+ - CQD | 2.5 to 4 | 0.5 (high composition) −0.66 nm (low composition) | 10.4 LMH.bar | [128] |
| C18-CQDs | 38.5 ± 11.7 | avg. 200 μm | (>600 L/m2·min1) and water vapor (>145 kg/m2·h1). | [151] |
| GQD | 2 | <1.5 nm increases with GQD content (0 to 0.39 wt%) | 15 to102 LMH (0.2 Mpa) | [122] |
| GQDs | - | Fiber diameter decreases with GQDs to 279.81 ± 84.1 nm | 10.8 and 13.6 kg/m2h | [126] |
| GQDs | 1.9 | From 0.77 to 0.67 nm with increase of GQDs (smaller pores and narrower pores) | 18.3 LMH.MPa | [156] |
| GQDs | 3.4–8.8 | thickness decreases | 3.35±0.18 LMH.bar | [158] |
| GQDs | 2.19 | pore size decreases with GQDs | 12.9 LMH | [159] |
| GQD flakes | ~1.86 | 0.2 wt% and 0.4 wt% GQDs conc. were 2.42 and 2.64 nm | 244.7 LMH.bar 5–6 times higher | [154] |
| Amino functionalized GQDs nanosheets | ~1.6 | 0.74 to 0.66 nm pore size decreases with GQDS | 41 LMH.MPa | [157] |
| GoQDs | ~5.5 | - | - | [125] |
| GoQDs | 7.5–21 | - | 37.5 LMH.bar | [160] |
| Nitrogen-doped GoQD | 3–8 | >10 and 30 nm at interface | 500 to >3800 LMH while improving antibacterial properties | [119] |
| GoQDs sheets | 15–20 | - | Decreased to 436.2 ± 27.4 g/m2h | [162] |
Publisher’s Note: MDPI stays neutral with regard to jurisdictional claims in published maps and institutional affiliations. |
© 2020 by the authors. Licensee MDPI, Basel, Switzerland. This article is an open access article distributed under the terms and conditions of the Creative Commons Attribution (CC BY) license (http://creativecommons.org/licenses/by/4.0/).
Share and Cite
Jani, M.; Arcos-Pareja, J.A.; Ni, M. Engineered Zero-Dimensional Fullerene/Carbon Dots-Polymer Based Nanocomposite Membranes for Wastewater Treatment. Molecules 2020, 25, 4934. https://doi.org/10.3390/molecules25214934
Jani M, Arcos-Pareja JA, Ni M. Engineered Zero-Dimensional Fullerene/Carbon Dots-Polymer Based Nanocomposite Membranes for Wastewater Treatment. Molecules. 2020; 25(21):4934. https://doi.org/10.3390/molecules25214934
Chicago/Turabian StyleJani, Mona, Jose A. Arcos-Pareja, and Ming Ni. 2020. "Engineered Zero-Dimensional Fullerene/Carbon Dots-Polymer Based Nanocomposite Membranes for Wastewater Treatment" Molecules 25, no. 21: 4934. https://doi.org/10.3390/molecules25214934
APA StyleJani, M., Arcos-Pareja, J. A., & Ni, M. (2020). Engineered Zero-Dimensional Fullerene/Carbon Dots-Polymer Based Nanocomposite Membranes for Wastewater Treatment. Molecules, 25(21), 4934. https://doi.org/10.3390/molecules25214934

