Optimized Nb-Based Zeolites as Catalysts for the Synthesis of Succinic Acid and FDCA
Abstract
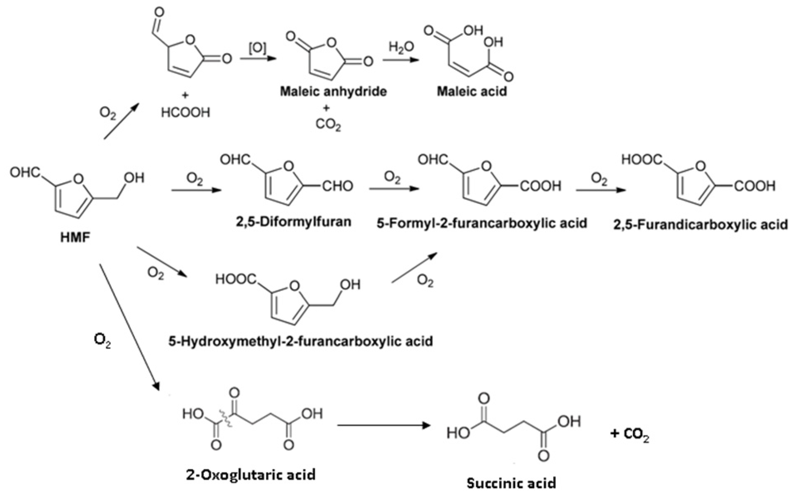
1. Introduction
2. Results and Discussion
2.1. Catalysts’ Characterization
2.2. Catalytic Tests
2.2.1. Catalytic Wet Oxidation (CWO) in Aqueous Phase
2.2.2. Oxidation Reactions with Organic Peroxides
3. Materials and Methods
3.1. Catalyst Preparation
3.1.1. Nb- Zeolite Catalysts Prepared through a Two-Step Post Synthesis Methodology
3.1.2. Nb-Silicalite Catalysts Preparation through the Sol-Gel Method
3.2. Catalyst Characterization
3.3. Catalytic Tests
3.3.1. Catalytic Wet Oxidation (CWO) in Aqueous Phase
3.3.2. Oxidation Reactions with Organic Peroxides
3.4. Products Analysis
4. Conclusions
Author Contributions
Funding
Conflicts of Interest
References
- Becker, J.; Lange, A.; Fabarius, J.; Wittmann, C. Top value platform chemicals: Bio-based production of organic acids. Curr. Opin. Biotechnol. 2015, 36, 168–175. [Google Scholar] [CrossRef] [PubMed]
- Corma, A.; Iborra, S.; Velty, A. Chemical routes for the transformation of biomass into chemicals. Chem. Rev. 2007, 107, 2411–2502. [Google Scholar] [CrossRef]
- Lewkowski, J. Synthesis, chewmistry and applications of 5-hydroxymethyl-furfural and its derivatives. ARKIVOC 2001, 2001, 17–54. [Google Scholar] [CrossRef]
- Bozell, J.J.; Petersen, G.R. Technology development for the production of biobased products from biorefinery carbohydrates—The US Department of Energy’s “Top 10” revisited. Green Chem. 2010, 12, 539–554. [Google Scholar] [CrossRef]
- Zhang, Z.; Deng, K. Recent advances in the catalytic synthesis of 2,5-furandicarboxylic acid and its derivatives. ACS Catal. 2015, 5, 6529–6544. [Google Scholar] [CrossRef]
- Danner, H.; Braun, R. Biotechnology for the production of commodity chemicals from biomass. Chem. Soc. Rev. 1999, 28, 395–405. [Google Scholar] [CrossRef]
- Delhomme, C.; Weuster-Botz, D.; Kuhn, F.E. Selective conversion of furfuryl alcohol to 1, 2-pentanediol over a Ru/MnOx catalyst in aqueous phase. Green Chem. 2009, 11, 13–26. [Google Scholar] [CrossRef]
- Podolean, I.; Kuncser, V.; Gheorghe, N.; Macovei, D.; Parvulescu, V.I.; Coman, S.M. Ru-based magnetic nanoparticles (MNP) for succinic acid synthesis from levulinic acid. Green Chem. 2013, 15, 3077–3082. [Google Scholar] [CrossRef]
- Podolean, I.; Rizescu, C.; Bala, C.; Rotariu, L.; Parvulescu, V.I.; Coman, S.M.; Garcia, H. Unprecedented catalytic wet oxidation of glucose to succinic acid induced by the addition of n-butylamine to a RuIII catalyst. ChemSusChem 2016, 9, 2307–2311. [Google Scholar] [CrossRef]
- Tirsoaga, A.; El Fergani, M.; Parvulescu, V.I.; Coman, S.M. Upgrade of 5-hydroxymethylfurfural to dicarboxylic acids onto multifunctional-based Fe3O4@SiO2 magnetic catalysts. ACS Sustain. Chem. Eng. 2018, 6, 14292–14301. [Google Scholar] [CrossRef]
- Román-Leshkov, Y.; Davis, M.E. Activation of carbonyl-containing molecules with solid Lewis acids in aqueous media. ACS Catal. 2011, 1, 1566–1580. [Google Scholar] [CrossRef]
- Bui, L.; Luo, H.; Gunther, W.R.; Román-Leshkov, Y. Domino reaction catalysed by zeolites with Bronsted and Lewis acid sites for the production of gamma-valetolactone from furfural. Angew. Chem. Int. Ed. 2013, 52, 8022–8025. [Google Scholar] [CrossRef]
- D’Hondt, E.; Van de Vyver, S.; Sels, B.F.; Jacobs, P.A. Catalytic glycerol conversion into 1, 2-propanediol in absence of added hydrogen. Chem. Commun. 2008, 6011–6012. [Google Scholar] [CrossRef] [PubMed]
- Vermeiren, W.; Gilson, J.P. Impact of zeolites on the petroleum and petrochemical. Top. Catal. 2009, 52, 1131–1161. [Google Scholar] [CrossRef]
- Meyers, R.A. Handbook of Petroleum Refining Processes, 3rd ed.; McGraw Hill: New York, NY, USA, 2004; ISBN 0-07-139109-6. [Google Scholar]
- Moliner, M. State of the art of Lewis acid containing zeolites: Lessons from fine chemistry to new biomass transformation processes. Dalton Trans. 2014, 43, 4197–4208. [Google Scholar] [CrossRef] [PubMed]
- Jacobs, P.A.; Dusselier, M.; Sels, B.F. Will zeolite-based catalysis be as relevant in future biorefineries as in crude oil refineries? Angew. Chem. Int. Ed. 2014, 53, 8621–8626. [Google Scholar] [CrossRef]
- Delidovich, I.; Hausoul, P.J.C.; Deng, L.; Pfutzenreuter, R.; Rose, M.; Palkovits, R. Alternative monomers based on lignocelluloses and their use for polymer production. Chem. Rev. 2016, 116, 1540–1599. [Google Scholar] [CrossRef]
- Kubička, D.; Kubičková, I.; Čejka, J. Application of molecular sieves in transformations of biomass and biomass-derived feedstocks. Catal. Rev. Sci. Eng. 2013, 55, 1–78. [Google Scholar] [CrossRef]
- Taarning, E.; Osmundsen, C.M.; Yang, X.; Voss, B.; Andersen, S.I.; Christensen, C.H. Zeolite-catalyzed biomass conversion to fuels and chemicals. Energy Environ. Sci. 2011, 4, 793–804. [Google Scholar] [CrossRef]
- El Fergani, M.; Candu, N.; Coman, S.M.; Parvulescu, V.I. Nb-based zeolites: Efficient bi-functional catalysts for the one-pot synthesis of succinic acid from glucose. Molecules 2017, 22, 2218. [Google Scholar] [CrossRef] [PubMed]
- Yoshida, H.; Tanaka, T.; Yoshida, T.; Funabiki, T.; Yoshida, S. Control of the structure of niobium oxide species on silica by the equilibrium adsorption method. Catal. Today 1996, 28, 79–89. [Google Scholar] [CrossRef]
- Shirai, M.; Ichikuni, N.; Asakura, K.; Iwasawa, Y. Preparations and catalytic properties of single, pair, and monolayer niobium catalysts. Catal. Today 1990, 8, 57–66. [Google Scholar] [CrossRef]
- Shirai, M.; Asakura, K.; Iwasawa, Y. Monolayer structures of niobic acids supported on silica and their catalytic activities for esterification of acetic acid with ethanol. J. Phys. Chem. 1991, 95, 9999–10004. [Google Scholar] [CrossRef]
- Asakura, K.; Iwasawa, Y. Synthesis, characterization, and catalytic properties of silica-attached one-atomic-layer niobium oxide catalysts. J. Phys. Chem. 1991, 95, 1711–1716. [Google Scholar] [CrossRef]
- Brayner, R.; Bozon-Verduraz, F. Niobium pentoxide prepared by soft chemical routes: Morphology, structure, defects and quantum size effect. Phys. Chem. Chem. Phys. 2003, 5, 1457–1466. [Google Scholar] [CrossRef]
- Nishimura, M.; Asakura, K.; Iwasawa, Y. New SiO2-supported niobium monomer catalysts for dehydrogenation of ethanol. J. Chem. Soc. Chem. Commun. 1986, 1660–1661. [Google Scholar] [CrossRef]
- Nishimura, M.; Asakura, K.; Iwasawa, Y. Carbon Monoxide Hydrogenation on SiO2−, Al2O3−, or TiO2-Attached Nb-Monomer Catalysts. Chem. Lett. 1987, 16, 573–576. [Google Scholar] [CrossRef]
- Ichikuni, N.; Iwasawa, Y. Structures and catalysis of new Nb dimers on SiO2. Catal. Today 1993, 16, 427–434. [Google Scholar] [CrossRef]
- Bayot, D.; Tinant, B.; Devillers, M. Water-soluble niobium peroxo complexes as precursors for the preparation of Nb-based oxide catalysts. Catal. Today 2003, 78, 439–447. [Google Scholar] [CrossRef]
- Jehng, J.M.; Wachs, I.E. Molecular structures of supported niobium oxide catalysts under in situ conditions. J. Phys. Chem. 1991, 95, 7373–7379. [Google Scholar] [CrossRef]
- Jehng, J.M.; Wachs, I.E. The molecular structures and reactivity of supported niobium oxide catalysts. Catal. Today 1990, 8, 37–55. [Google Scholar] [CrossRef]
- Jehng, J.M.; Wachs, I.E. Molecular structures of supported niobium oxide catalysts under ambient conditions. J. Mol. Catal. 1991, 67, 369–387. [Google Scholar] [CrossRef]
- Somma, F.; Puppinato, A.; Strukul, G. Niobia-silica aerogel mixed oxide catalysts: Effects of the niobium content, the calcination temperature and the surface hydrophilicity on the epoxidation of olefins with hydrogen peroxide. Appl. Catal. A General 2006, 309, 115–121. [Google Scholar] [CrossRef]
- Gao, X.; Wachs, I.E.; Wong, M.S.; Ying, J.Y. Structural and Reactivity Properties of Nb-MCM-41: Comparison with That of Highly Dispersed Nb2O5/SiO2 Catalysts. J. Catal. 2001, 203, 18–24. [Google Scholar] [CrossRef]
- Ziolek, M.; Sobczak, I.; Lewandowska, A.; Nowak, I.; Decyk, P.; Renn, M.; Jankowska, B. Oxidative properties of niobium-containing mesoporous silica catalysts. Catal. Today 2001, 70, 169–181. [Google Scholar] [CrossRef]
- Ziolek, M.; Nowak, I.; Lavalley, J.C. Acidity study of Nb-containing MCM-41 mesoporous materials. Comparison with that of Al-MCM-41. Catal. Lett. 1997, 45, 259–265. [Google Scholar] [CrossRef]
- Schumacher, K.; Grün, M.; Unger, K.K. Novel synthesis of spherical MCM-48. Microporous Mesoporous Mater. 1999, 27, 201–206. [Google Scholar] [CrossRef]
- Parvulescu, V.; Anastasescu, C.; Constantin, C.; Su, B.L. Mono (V, Nb) or bimetallic (V–Ti, Nb–Ti) ions modified MCM-41 catalysts: Synthesis, characterization and catalysis in oxidation of hydrocarbons (aromatics and alcohols). Catal. Today 2003, 78, 477–485. [Google Scholar] [CrossRef]
- Nowak, I.; Kilos, B.; Ziolek, M.; Lewandowska, A. Epoxidation of cyclohexene on Nb-containing meso- and macroporous materials. Catal. Today 2003, 78, 487–498. [Google Scholar] [CrossRef]
- Hartmann, M.; Prakash, A.M.; Kevan, L. Characterization and catalytic evaluation of mesoporous and microporous molecular sieves containing niobium. Catal. Today 2003, 78, 467–475. [Google Scholar] [CrossRef]
- Nowak, I.; Ziolek, M. Effect of texture and structure on the catalytic activity of mesoporous niobosilicates for the oxidation of cyclohexene. Microporous Mesoporous Mater. 2005, 78, 281–288. [Google Scholar] [CrossRef]
- Beyerlein, R.A.; Choi Feng, C.; Hall, J.B.; Huggins, B.J.; Ray, G.J. Effect of steaming on the defect structure and acid catalysis of protonated zeolites. Top. Catal. 1997, 4, 27–42. [Google Scholar] [CrossRef]
- Remy, M.J.; Stanica, D.; Poncelet, G.; Feijen, E.J.P.; Grobet, P.J.; Martens, J.A.; Jacobs, P.A. Dealuminated H-Y zeolites: Relation between physicochemical properties and catalytic activity in heptanes and decane isomerization. J. Phys. Chem. 1996, 100, 12440–12447. [Google Scholar] [CrossRef]
- Candu, N.; El Fergani, M.; Verziu, M.; Cojocaru, B.; Jurca, B.; Apostol, N.; Teodorescu, C.; Parvulescu, V.I.; Coman, S.M. Efficient glucose dehydration to HMF onto Nb-BEA catalysts. Catal. Today 2019, 325, 109–116. [Google Scholar] [CrossRef]
- Thommes, M.; Kaneko, K.; Neimark, A.V.; Olivier, J.P.; Rodriguez-Reinoso, F.; Rouquerol, J.; Sing, K.S.W. Physisorption of Gases, with Special Reference to the Evaluation of Surface Area and Pore Size Distribution (IUPAC Technical Report). Pure Appl. Chem. 2015, 87, 1051–1069. [Google Scholar] [CrossRef]
- Prakash, A.M.; Kevan, L. Synthesis of niobium silicate molecular sieves of the MFI structure: Evidence for framework incorporation of the niobium ion. J. Am. Chem. Soc. 1998, 120, 13148–13155. [Google Scholar] [CrossRef]
- Denofre, S.; Gushikem, Y.; Castro, S.C.; Kawano, Y. Stability and surface acidity of niobium (V) oxide grafted on a silica gel surface. J. Chem. Soc. Faraday Trans. 1993, 89, 1057–1061. [Google Scholar] [CrossRef]
- Morselli, S.; Moggi, P.; Cauzzi, D.; Predieri, G. Preparation and characterization of niobia and silica-niobia systems. Stud. Surf. Sci. Catal. 1998, 118, 763–772. [Google Scholar] [CrossRef]
- Francisco, M.S.P.; Gushikem, Y. Synthesis and characterization of SiO2-Nb2O5 systems prepared by the sol-gel method: Structural stability studies. J. Mater. Chem. 2002, 12, 2552–2558. [Google Scholar] [CrossRef]
- Schröder, K.P.; Sauer, J. Preferred stability of aluminumoxygen- silicon-oxygen-aluminum linkages in high-silica zeolite catalysts: Theoretical predictions contrary to Dempsey’s rule. J. Phys. Chem. 1993, 97, 6579–6581. [Google Scholar] [CrossRef]
- Blasco, T.; Camblor, M.A.; Corma, A.; Esteve, P.; Guil, J.M.; Martinez, A.; Pedrigon-Melon, J.A.; Valencia, S. Direct synthesis and characterization of hydrophobic aluminium-free Ti-Beta zeolite. J. Phys. Chem. B 1998, 102, 75–88. [Google Scholar] [CrossRef]
- Sacchetto, V.; Gatti, G.; Paul, G.; Braschi, I.; Berlier, G.; Cossi, M.; Marchese, L.; Bagatin, R.; Bisio, C. The interactions of methyl tert-butyl ether on high silica zeolites: A combined experimental and computational study. Phys. Chem. Chem. Phys. 2013, 15, 13275–13287. [Google Scholar] [CrossRef] [PubMed]
- Ziolek, M.; Sobczak, I.; Nowak, I.; Decyk, P.; Lewandowska, A.; Kujawa, J. Nb-containing mesoporous molecular sieves—A possible application in the catalytic processes. Microporous Mesoporous Mater. 2000, 35–36, 195–207. [Google Scholar] [CrossRef]
- Tielens, F.; Shishido, T.; Dzwigaj, S. What Do the Niobium Framework Sites Look Like in Redox Zeolites? A Combined Theoretical and Experimental Investigation. J. Phys. Chem. C 2010, 114, 3140–3147. [Google Scholar] [CrossRef]
- Sonoemans, M.H.W.; den Heijer, C.; Crocker, M. Studies on the acidity of mordenite and ZSM5.2. Loss of Broensted acidity by dehydroxylation and dealumination. J. Phys. Chem. 1993, 97, 440–445. [Google Scholar] [CrossRef]
- Lohse, U.; Parlitz, B.; Patzelova, V. Y zeolite acidity dependence on the silicon/aluminium ratio. J. Phys. Chem. 1989, 93, 3677–3683. [Google Scholar] [CrossRef]
- Corma, A.; Llabrés i Xamena, F.X.; Prestipino, C.; Renz, M.; Valencia, S. Water resistant, catalytically active Nb and Ta isolated Lewis acid sites, homogeneously distributed by direct synthesis in a Beta zeolite. J. Phys. Chem. C 2009, 113, 11306–11315. [Google Scholar] [CrossRef]
- Li, H.; Yang, S.; Riisager, A.; Pandey, A.; Sangwan, R.S.; Saravanamurugan, S.; Luque, R. Zeolite and zeotype-catalysed transformations of biofuranic compounds. Green Chem. 2016, 18, 5701–5735. [Google Scholar] [CrossRef]
- Tirsoaga, A.; El Fergani, M.; Nuns, N.; Simon, P.; Granger, P.; Parvulescu, V.I.; Coman, S.M. Multifunctional nanocomposites with non-precious metals and magnetic core for 5-HMF oxidation to FDCA. Appl. Catal. B Environ. 2020, 278, 119309. [Google Scholar] [CrossRef]
- Choudhary, V.R.; Dumbre, D.K.; Uphade, B.S.; Narkhede, V.S. Solvent-free oxidation of benzyl alcohol to benzaldehyde by tert-butyl hydroperoxide using transition metal containing layered double hydroxides and/or mixed hydroxides. J. Mol. Catal. A Chem. 2004, 215, 129–135. [Google Scholar] [CrossRef]
- Lei, D.; Yu, K.; Li, M.R.; Wang, Y.L.; Wang, Q.; Liu, T.; Liu, P.K.; Lou, L.L.; Wang, G.C.; Liu, S.X. Facet Effect of Single-Crystalline Pd Nanocrystals for Aerobic Oxidation of 5-Hydroxymethyl-2-furfural. ACS Catal. 2017, 7, 421–432. [Google Scholar] [CrossRef]
- Donoeva, B.; Masoud, N.; Jongh, P.E.D. Carbon Support Surface Effects in the Gold-Catalyzed Oxidation of 5-Hydroxymethylfurfural. ACS Catal. 2017, 7, 4581–4591. [Google Scholar] [CrossRef] [PubMed]








| Catalyst | SBET, m2/g | Vp, cm3/g | Pore Size, nm | Reference |
|---|---|---|---|---|
| BEA12 | 458 | 0.129 | 3.9 and 6.5 | 45 |
| Nb-BEA12 | 391 | 0.104 | 3.9 and 6.4 | 45 |
| BEA18 | 536 | 0.182 | 3.5 | 45 |
| Nb-BEA18 | 438 | 0.114 | 3.5 | 45 |
| Nb-Y30 | 624 | 0.297 | 3.9 | This work |
| Y5 | 465 | 0.149 | 3.9 and 6.5 | This work |
| Nb-Y5 | 303 | 0.127 | 4.0 and 6.5 | This work |
| Nb-ZSM25 | 324 | 0.119 | 3.8 | This work |
| Silicalite-1 | 415 | 0.150 | - | This work |
| Nb-Si-1 | 290 | 0.077 | 1.9 and 3.5 | This work |
| Sample | Acid Sites Concentration (mmols NH3/g Catalyst) | Base Sites Concentration (mmols CO2/g Catalyst) | Base/Acid Ratio | ||
|---|---|---|---|---|---|
| 100–170 °C | 190–250 °C | Total | |||
| Nb-Y5 | 0.235 (133 °C) | 0.046 | 0.001 | 0.047 | 0.20 |
| Nb-Y30 | 0.085 (99 °C) | 0.035 | 0.003 | 0.038 | 0.45 |
| Nb-ZSM25 | 0.043 (116 °C) | 0.070 | - | 0.070 | 1.63 |
| Nb-Si-1 | 0.016 (135 °C) | 0.001 | 0.026 | 0.027 | 1.69 |
| Entry | Reaction Temperature, °C | PO2, atm | C, % | S, % | |||
|---|---|---|---|---|---|---|---|
| LevA | SA | MAc | HMFCA | ||||
| 1 | 80 | 16 | 6.9 | 0 | 0 | 4.6 | 2.8 |
| 2 | 80 | 14 | 4.0 | 0 | 0 | 2.8 | 3.5 |
| 3 | 80 | 12 | 3.8 | 1.7 | 0 | 2.8 | 4.6 |
| 4 | 120 | 10 | 52.1 | 15.1 | 12.6 | 43.5 | 0 |
| 5 | 120 | 8 | 42.9 | 24.7 | 0 | 42.9 | 0 |
| 6 | 120 | 6 | 44.7 | 29.0 | 0 | 37.4 | 0 |
| 7 | 120 | 4 | 15.0 | 37.0 | 0 | 31.7 | 0 |
| 8 | 140 | 10 | 100 | 26.7 | 31.9 | 21.4 | 0.6 |
| 9 a | 140 | 10 | 100 | 15.3 | 34.8 | 31.0 | 0.3 |
| Entry | Catalyst | Substrate | C, % | S, % | |||
|---|---|---|---|---|---|---|---|
| LevA | SA | MAc | HMFCA | ||||
| 1 | Nb-Y30 | glucose | 100 | 6.5 | 53.8 | 4.9 | - |
| 2 | Nb-Y30 | HMF | 100 | 17.3 | 26.0 | 30.9 | 4.3 |
| 3 | Nb-Y5 | glucose | 100 | 2.1 | 69.1 | 20.1 | 2.5 |
| 4 | Nb-Y5 | HMF | 100 | 38.8 | 37.7 | 6.5 | - |
| 5 | Nb-ZSM25 | glucose | 100 | 15.4 | 33.7 | 7.8 | - |
| 6 | Nb-ZSM25 | HMF | 96.0 | 27.8 | 26.6 | 25.5 | - |
| Entry | Catalyst | Reaction Time, h | C, % | SHMFA, % | SDFF, % | SFDCA, % |
|---|---|---|---|---|---|---|
| 1 | Nb-BEA18 | 24 | 53.9 | 73.8 | 0 | 5.6 |
| 2 | Nb-Y30 | 12 | 85.8 | 22.3 | 0 | 8.1 |
| 3 | 24 | 99.1 | 41.7 | 0.6 | 22.5 | |
| 4 | Nb-Y5 | 12 | 80.5 | 52.1 | 0 | 21.4 |
| 5 | 24 | 71.0 | 53.1 | 0 | 23.1 | |
| 6 | Nb-ZSM25 | 12 | 53.3 | 73.2 | 1.2 | 12.6 |
| 7 | 24 | 96.7 | 15.0 | 0 | 61.3 | |
| 8 | Nb-Si-1 | 12 | 95.0 | 47.3 | 0.6 | 15.2 |
| 9 | 24 | 99.0 | 47.0 | 0 | 26.0 | |
| 10 | 48 | 99.0 | 9.2 | 0 | 63.8 |
Publisher’s Note: MDPI stays neutral with regard to jurisdictional claims in published maps and institutional affiliations. |
© 2020 by the authors. Licensee MDPI, Basel, Switzerland. This article is an open access article distributed under the terms and conditions of the Creative Commons Attribution (CC BY) license (http://creativecommons.org/licenses/by/4.0/).
Share and Cite
El Fergani, M.; Candu, N.; Tudorache, M.; Granger, P.; Parvulescu, V.I.; Coman, S.M. Optimized Nb-Based Zeolites as Catalysts for the Synthesis of Succinic Acid and FDCA. Molecules 2020, 25, 4885. https://doi.org/10.3390/molecules25214885
El Fergani M, Candu N, Tudorache M, Granger P, Parvulescu VI, Coman SM. Optimized Nb-Based Zeolites as Catalysts for the Synthesis of Succinic Acid and FDCA. Molecules. 2020; 25(21):4885. https://doi.org/10.3390/molecules25214885
Chicago/Turabian StyleEl Fergani, Magdi, Natalia Candu, Madalina Tudorache, Pascal Granger, Vasile I. Parvulescu, and Simona M. Coman. 2020. "Optimized Nb-Based Zeolites as Catalysts for the Synthesis of Succinic Acid and FDCA" Molecules 25, no. 21: 4885. https://doi.org/10.3390/molecules25214885
APA StyleEl Fergani, M., Candu, N., Tudorache, M., Granger, P., Parvulescu, V. I., & Coman, S. M. (2020). Optimized Nb-Based Zeolites as Catalysts for the Synthesis of Succinic Acid and FDCA. Molecules, 25(21), 4885. https://doi.org/10.3390/molecules25214885

