Biocatalytic Strategy for Grafting Natural Lignin with Aniline
Abstract
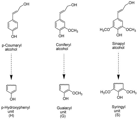
1. Introduction
2. Results and Discussion
2.1. Grafting Bioprocess of Lignin
2.2. Experimental Evidences of Grafted Lignin
2.3. Characterization of the Grafted Lignin
3. Materials and Methods
3.1. Substances and Materials
3.2. Grafting Lignin with Aniline
3.3. Spectrophotometric Analysis
3.4. Characterization of Grafted Lignin with Aniline
4. Conclusions
Supplementary Materials
Author Contributions
Funding
Acknowledgments
Conflicts of Interest
References
- Sjöström, E. Wood Chemistry, 2nd ed.; Academic Press: San Diego, CA, USA, 1993; pp. 71–89. [Google Scholar]
- Yang, H.; Yan, R.; Chen, H.; Zheng, C.; Lee, D.H.; Liang, D.T. In-Depth Investigation of Biomass Pyrolysis Based on Three Major Components: Hemicellulose, Cellulose and Lignin. Energy Fuels 2006, 20, 388–393. [Google Scholar] [CrossRef]
- Zakzeski, J.; Bruijnincx, P.C.A.; Jongerius, A.L.; Weckhuysen, B.M. The Catalytic Valorization of Lignin for the Production of Renewable Chemicals. Chem. Rev. 2010, 110, 3552–3599. [Google Scholar] [CrossRef] [PubMed]
- Welker, C.M.; Balasubramanian, V.K.; Petti, C.; Rai, K.M.; DeBolt, S.; Mendu, V. Engineering Plant Biomass Lignin Content and Composition for Biofuels and Bioproducts. Energies 2015, 8, 7654–7676. [Google Scholar] [CrossRef]
- Rencoret, J.; Gutiérrez, A.; Nieto, L.; Jiménez-Barbero, J.; Faulds, C.B.; Kim, H.; Ralph, J.; Martínez, Á.T.; del Río, J.C. Lignin Composition and Structure in Young versus Adult Eucalyptus globulus Plants. Plant Physiol. 2011, 155, 667–682. [Google Scholar] [CrossRef] [PubMed]
- Adler, A. Lignin chemistry—Past, present and future. Wood Sci. Technol. 1997, 11, 169–218. [Google Scholar] [CrossRef]
- Calvo-Flores, F.G.; Dobado, J.A. Lignin as Renewable Raw Material. ChemSusChem 2010, 3, 1227–1235. [Google Scholar] [CrossRef]
- Fellows, C.M.; Brown, T.C.; Doherty, W.O.S. Lignocellulosics as a Renewable Feedstock for Chemical Industry. Chemicals from Lignin. In Green Chemistry for Environmental Remediation; Sanghi, R., Singh, V., Eds.; Scrivener Publishing LLC: Beverly, MA, USA, 2012; pp. 1–24. [Google Scholar]
- Boerjan, W.; Ralph, J.; Baucher, M. Lignin Biosynthesis. Annu. Rev. Plant Biol. 2003, 54, 519–546. [Google Scholar] [CrossRef]
- Pereira, H. Chapter 3—The chemical composition of cork. In Cork; Elsevier Science B.V.: Amsterdam, The Netherland, 2007; pp. 55–99. [Google Scholar]
- Koivu, K.A.Y.; Sadeghifar, H.; Nousiainen, P.; Argyropoulos, D.S.; Sipila, J. The effect of fatty acid esterification on the thermal properties of softwood kraft lignin. ACS Sustain. Chem. Eng. 2016, 4, 5238–5247. [Google Scholar] [CrossRef]
- Brun, N.; Hesemann, P.; Esposito, D. Expanding the biomass derived chemical space. Chem. Sci. 2017, 8, 4724–4738. [Google Scholar] [CrossRef]
- Buono, P.; Duval, A.; Verge, P.; Averous, L.; Habibi, Y. New insights on the chemical modification of lignin: Acetylation versus silylation. ACS Sustain. Chem. Eng. 2016, 4, 5212–5222. [Google Scholar] [CrossRef]
- Chenhuan, L.; Maobing, T.; Changlei, X.; Zhiqiang, S.; Shaolong, S.; Qiang, Y.; Shiyuan, Y. Lignin Alkylation Enhances Enzymatic Hydrolysis of Lignocellulosic Biomass. Energy Fuels 2017, 31, 12317–12326. [Google Scholar]
- Chung, Y.L.; Olsson, V.; Li, R.J.; Frank, C.; Waymouth, R.M.; Billington, S.L.; Sattely, E.S. A renewable lignin-lactide copolymer and application in biobased composites. ACS Sustain. Chem. Eng. 2013, 1, 1231–1238. [Google Scholar] [CrossRef]
- Laurichesse, S.; Avérous, L. Synthesis, thermal properties, rheological and mechanical behaviors of lignins-grafted-poly(ε-caprolactone). Polymer 2013, 54, 3882–3890. [Google Scholar] [CrossRef]
- Liu, X.; Zong, E.; Jiang, J.; Fu, S.; Wang, J.; Xu, B.; Li, W.; Lin, X.; Xu, Y.; Wang, C.; et al. Preparation and characterization of Lignin-graft-poly(ε-caprolactone) copolymers based on lignocellulosic butanol residue. Int. J. Biol. Macromol. 2015, 81, 521–529. [Google Scholar] [CrossRef] [PubMed]
- Zong, E.; Jiang, J.; Liu, X.; Fu, S.; Xu, Y.; Chu, F. Combination of lignin and l-lactide towards grafted copolymers from lignocellulosic butanol residue. Int. J. Biol. Macromol. 2016, 86, 80–88. [Google Scholar] [CrossRef]
- Kun, D.; Pukánszky, B. Polymer/Lignin blends: Interactions, properties, applications. Eur. Polym. J. 2017, 93, 618–641. [Google Scholar] [CrossRef]
- Liu, W.; Zhou, R.; Goh, H.L.S.; Huang, S.; Lu, X. From Waste to Functional Additive: Toughening Epoxy Resin with Lignin. ACS Appl. Mater. Interfaces 2014, 6, 5810–5817. [Google Scholar] [CrossRef]
- Kazzaz, A.E.; Feizi, Z.H.; Fatehi, P. Grafting strategies for hydroxy groups of lignin for producing materials. Green Chem. 2019, 21, 5714–5752. [Google Scholar] [CrossRef]
- Lebo, S.E., Jr.; Gargulak, J.D.; McNally, T.J. Lignin. In Kirk-Othmer Encyclopedia of Chemical Technology; John Wiley & Sons: New Jersey, NJ, USA, 2002; Volume 3, pp. 100–124. [Google Scholar]
- Kaur, R.; Uppal, S.K.; Sharma, P. Antioxidant and Antibacterial Activities of Sugarcane Bagasse Lignin and Chemically Modified Lignins. Sugar Tech. 2017, 19, 675–680. [Google Scholar] [CrossRef]
- Sequeiros, A.; Serrano, L.; Labidi, J. Bromination of guaiacol and syringol using ionic liquids to obtain bromides. J. Chem. Technol. Biotechnol. 2016, 91, 1809–1815. [Google Scholar] [CrossRef]
- Prieur, B.; Meub, M.; Wittemann, M.; Klein, R.; Bellayer, S.; Fontaine, G.; Bourbigot, S. Phosphorylation of lignin to flame retard acrylonitrile butadiene styrene (ABS). RSC Adv. 2017, 7, 16866–16877. [Google Scholar] [CrossRef]
- Cetin, N.S.; Özmen, N. Use of organosolv lignin in phenol–formaldehyde resins for particleboard production: I. Organosolv lignin modified resins. Int. J. Adhes. Adhes. 2002, 22, 477–480. [Google Scholar] [CrossRef]
- Wang, X.; Zhang, Y.; Hao, C.; Feng, F.; Yin, H.; Si, N. Solid-Phase Synthesis of Mesoporous ZnO Using Lignin-Amine Template and Its Photocatalytic Properties. Ind. Eng. Chem. Res. 2014, 53, 6585–6592. [Google Scholar] [CrossRef]
- Ruihua, H.; Bingchao, Y.; Zheng, D.; Wang, B. Preparation and characterization of a quaternized chitosan. J. Mater. Sci. 2012, 47, 845–851. [Google Scholar] [CrossRef]
- Ge, Y.; Song, Q.; Li, Z. A Mannich base biosorbent derived from alkaline lignin for lead removal from aqueous solution. J. Ind. Eng. Chem. 2015, 23, 228–234. [Google Scholar] [CrossRef]
- Pan, H.; Sun, G.; Zhao, T. Synthesis and characterization of aminated lignin. Int. J. Biol. Macromol. 2013, 59, 221–226. [Google Scholar] [CrossRef]
- Du, X.; Li, J.; Lindstrom, M.E. Modification of industrial softwood kraft lignin using Mannich reaction with and without phenolation pretreatment. Ind. Crop. Prod. 2014, 52, 729–735. [Google Scholar] [CrossRef]
- Liu, X.; Zhu, H.; Qin, C.; Zhou, J.; Zhao, J.R.; Wang, S. Adsorption of heavy metal ion from aqueous single metal solution by aminated epoxy-lignin. BioResources 2013, 8, 2257–2269. [Google Scholar] [CrossRef]
- Doherty, W.O.S.; Mousaviouna, P.; Fellows, C.M. Value-adding to cellulosic ethanol: Lignin polymers. Ind. Crop. Prod. 2011, 33, 259–276. [Google Scholar] [CrossRef]
- Lin, X.; Zhang, J.; Luo, X.; Zhang, C.; Zhou, Y. Removal of aniline using lignin grafted acrylic acid from aqueous solution. Chem. Eng. J. 2011, 172, 856–863. [Google Scholar] [CrossRef]
- Wang, K.; Cao, Y.; Wang, X.; Castro, M.A.; Luo, B.; Gu, Z.; Liu, J.; Hoefelmeyer, J.D.; Fan, Q. Rod-shape porous carbon derived from aniline modified lignin for symmetric supercapacitors. J. Power Sources 2016, 307, 462–467. [Google Scholar] [CrossRef]
- Lite, C.; Ion, S.; Tudorache, M.; Zgura, I.; Galca, A.C.; Enache, M.; Maria, G.M.; Parvulescu, V.I. Alternative lignopolymer-based composites useful as enhanced functionalized support for enzyme immobilization. Catal. Today 2020. [Google Scholar] [CrossRef]
- Yang, D.; Huang, W.; Qiu, X.; Lou, H.; Qian, Y. Modifying sulfomethylated alkali lignin by horseradish peroxidase to improve the dispersibility and conductivity of polyaniline. Appl. Surf. Sci. 2017, 426, 287–293. [Google Scholar] [CrossRef]
- Tudorache, M.; Opris, C.; Cojocaru, B.; Apostol, N.G.; Tirsoaga, A.; Coman, S.M.; Parvulescu, V.I.; Duraki, B.; Krumeich, F.; van Bokhoven, J.A. Highly Efficient, Easily Recoverable, and Recyclable Re-SiO2-Fe3O4 2 Catalyst for the Fragmentation of Lignin. ACS Sustain. Chem. Eng. 2018, 6, 9606–9618. [Google Scholar] [CrossRef]
- Wang, Y.; Liu, W.; Zhang, L.; Hou, Q. Characterization and comparison of lignin derived from corncob residues to better understand its potential applications. Int. J. Biol. Macromol. 2019, 134, 20–27. [Google Scholar] [CrossRef]
- Rahmouni, A.; Belbachir, M. Synthesis and characterization of block copolymer (PANI-POE) catalyzed by maghnite-H+ (Algerian MMT). J. Eng. Technol. (JET) 2015, 5, 11–18. [Google Scholar]
- Garcia-Ruiz, E.; Gonzalez-Perez, D.; Ruiz-Dueñas, F.J.; Martinez, A.T.; Alcalde, M. Directed evolution of a temperature-, peroxide- and alkaline pH-tolerant versatile peroxidase. Biochem. J. 2012, 441, 487–498. [Google Scholar] [CrossRef] [PubMed]
- Gonzalez-Perez, D.; Garcia-Ruiz, E.; Ruiz-Dueñas, F.J.; Martinez, A.T.; Alcalde, M. Structural Determinants of Oxidative Stabilization in an Evolved Versatile Peroxidase. ACS Catal. 2014, 4, 3891–3901. [Google Scholar] [CrossRef]
- Molina-Espeja, P.; Garcia-Ruiz, E.; Gonzalez-Perez, D.; Ullrich, R.; Hofrichter, M.; Alcalde, M. Directed Evolution of Unspecific Peroxygenase from Agrocybe aegerita. Appl. Environ. Microbiol. 2014, 80, 3496–3507. [Google Scholar] [CrossRef]
- Singleton, V.L.; Orthofer, R.; Lamuela-Raventos, R.M. Analysis of total phenols and other oxidation substrates and antioxidants by means of Folin-Ciocalteu Reagent. Methods Enzym. 1999, 299, 152–178. [Google Scholar]
- Deng, Y.; Feng, X.; Zhou, M.; Qian, Y.; Yu, H.; Qiu, X. Investigation of Aggregation and Assembly of Alkali Lignin Using Iodine as a Probe. Biomacromolecules 2011, 12, 1116–1125. [Google Scholar] [CrossRef] [PubMed]










| Signal δH/ppm | Assignments |
|---|---|
| 10.86–9.63 | Carboxyl and aldehyde groups |
| 8.27–7.00 | Aromatic protons in polyaniline/copolymers lignin-aniline (only in derivatized lignin) |
| 7.60–7.20 | Aromatic protons in hydroxyphenyl units (H) |
| 7.20–6.80 | Aromatic protons in guaiacyl units (G) |
| 6.8–6.40 | Aromatic protons in syringyl units (S) |
| 6.3–5.7 | Hα in β-O-4’ and β-1’ structures |
| 5.70–5.10 | Hα in β-5’ structures |
| 5.01–4.99 | NH protons from polyaniline (only in grafted lignin with aniline) |
| 4.90–4.00 | Hα and Hβ in β-O-4 structures and Hγ in β-β’ structures |
| 3.90–3.20 | Methoxyl protons |
| 2.40–1.90 | Aliphatic acetate protons |
| 1.60–0.60 | Aliphatic protons |
| Assignment | FTIR Band (cm−1) | |
|---|---|---|
| KL | KG | |
| O-H stretching | 3429 | 3311 |
| C-H stretching | 2953 | 2946 |
| C=O stretching | 1730 | 1734 |
| Aryl ring stretching, symmetric | 1601 | 1599 |
| Aryl ring stretching, asymmetric | 1516 | 1505 |
| C-H deformation, asymmetric | 1464 | 1460 |
| C-C of S-unit | 1334 | 1330 |
| C-O of S-unit | 1275 | 1274 |
| G-unit and C=O stretching vibration | 1221 | 1223 |
| C-H in plane deformation with G-unit | 1163 | 1158 |
| –CO-NH stretching vibration | - | 1120 |
| C-O stretching | 1044 | 1035 |
| C-H deformation of out-of-plane, aromatic ring | 848 | 845 |
| –NH2 deformation vibration | - | 755 |
| N-H wagging vibration | - | 698 |
| Sample | Mw | Mn | PDI |
|---|---|---|---|
| AL | 14,054 | 6319 | 2.224 |
| AG | 22,374 | 13,229 | 1.691 |
| ML | 6890 | 5880 | 1.172 |
| MG | 22,253 | 5814 | 3.828 |
| KL | 85,435 | 84,777 | 1.008 |
| KG | 106,026 | 91,987 | 1.153 |
| Sample | Basicity (µmol/g) | Acidity (µmol/g) |
|---|---|---|
| AL | 5.89 | 10.88 |
| AG | 16.98 | 4.49 |
Sample Availability: Samples of the compounds grafted polymers are available from the authors. |
Publisher’s Note: MDPI stays neutral with regard to jurisdictional claims in published maps and institutional affiliations. |
© 2020 by the authors. Licensee MDPI, Basel, Switzerland. This article is an open access article distributed under the terms and conditions of the Creative Commons Attribution (CC BY) license (http://creativecommons.org/licenses/by/4.0/).
Share and Cite
Ion, S.G.; Brudiu, T.; Hanganu, A.; Munteanu, F.; Enache, M.; Maria, G.-M.; Tudorache, M.; Parvulescu, V. Biocatalytic Strategy for Grafting Natural Lignin with Aniline. Molecules 2020, 25, 4921. https://doi.org/10.3390/molecules25214921
Ion SG, Brudiu T, Hanganu A, Munteanu F, Enache M, Maria G-M, Tudorache M, Parvulescu V. Biocatalytic Strategy for Grafting Natural Lignin with Aniline. Molecules. 2020; 25(21):4921. https://doi.org/10.3390/molecules25214921
Chicago/Turabian StyleIon, Sabina Gabriela, Teodor Brudiu, Anamaria Hanganu, Florentina Munteanu, Madalin Enache, Gabriel-Mihai Maria, Madalina Tudorache, and Vasile Parvulescu. 2020. "Biocatalytic Strategy for Grafting Natural Lignin with Aniline" Molecules 25, no. 21: 4921. https://doi.org/10.3390/molecules25214921
APA StyleIon, S. G., Brudiu, T., Hanganu, A., Munteanu, F., Enache, M., Maria, G.-M., Tudorache, M., & Parvulescu, V. (2020). Biocatalytic Strategy for Grafting Natural Lignin with Aniline. Molecules, 25(21), 4921. https://doi.org/10.3390/molecules25214921

