Synthesis of Tilmicosin Nanostructured Lipid Carriers for Improved Oral Delivery in Broilers: Physiochemical Characterization and Cellular Permeation
Abstract
1. Introduction
2. Results and Discussion
2.1. Characterization of TMS-NLCs
2.2. The Stability of TMS-NLCs
2.2.1. Storage Stability of TMS-NLCs
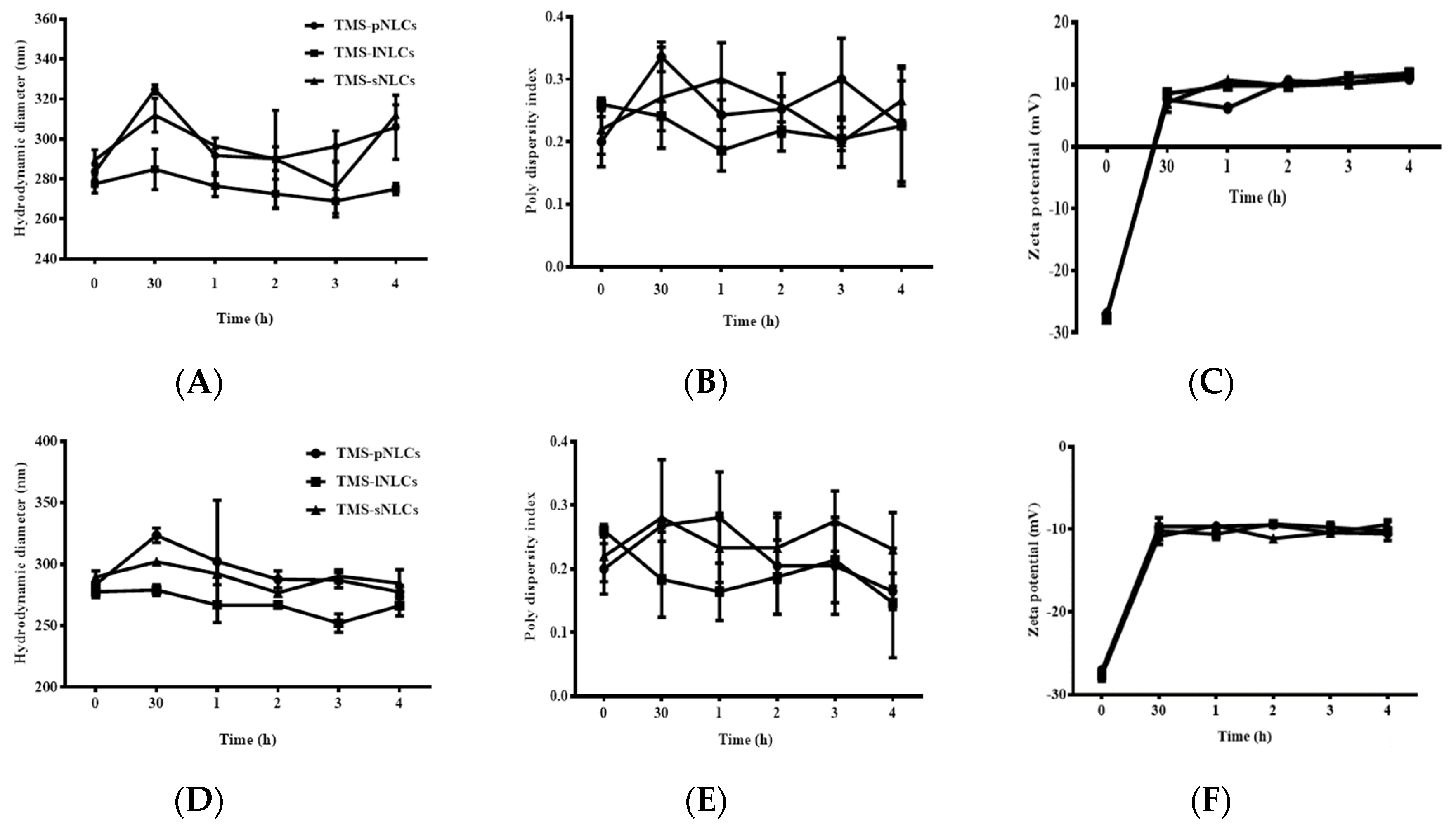
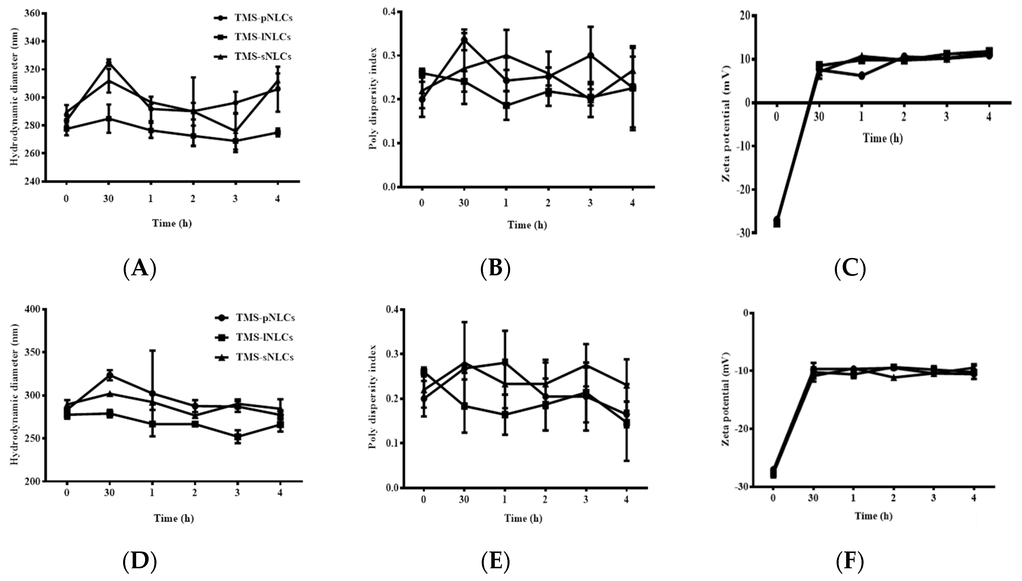
2.2.2. Stability of TMS-NLCs in the Stimulated Gastrointestinal Liquid
2.3. In Vivo Pharmacokinetic Study
2.4. Evaluation of TMS Permeability across Caco-2 Cell Monolayers
3. Materials and Methods
3.1. Materials
3.2. Preparation of Tilmicosin-Loaded Nanostructured Lipid Carriers
3.3. Measurement of Hydrodynamic Diameter and Zeta Potential of TMS-NLCs
3.4. Determination of Entrapment Efficiency and Drug Loading of TMS-NLCs
3.5. The Particle Morphology of TMS-NLCs
3.6. Fourier Transformed Infrared Spectroscopy of TMS-NLCs
3.7. Differential Scanning Calorimetry of TMS-NLCs
3.8. Stability Analysis of TMS-NLCs
3.9. In Vivo Examination
3.9.1. Induction of Experiment
3.9.2. Pharmacokinetic Study
3.9.3. Pharmacokinetic Analysis
3.10. In Vitro Studies for Cellular Permeation and Transport Activity Assay
3.11. Statistical Analysis
4. Conclusions
Supplementary Materials
Author Contributions
Funding
Conflicts of Interest
References
- Martínez-Cortés, I.; Acevedo-Domínguez, N.A.; Olguin-Alor, R.; Cortés-Hernández, A.; Álvarez-Jiménez, V.; Campillo-Navarro, M.; Sumano-López, H.S.; Gutiérrez-Olvera, L.; Martínez-Gómez, D.; Maravillas-Montero, J.L.; et al. Tilmicosin modulates the innate immune response and preserves casein production in bovine mammary alveolar cells during Staphylococcus aureus infection. J. Anim. Sci. 2019, 97, 644–656. [Google Scholar] [CrossRef]
- Mohammadsadegh, M. Impact of intramammary tilmicosin infusion as a dry cow therapy. J. Vet. Pharmacol. Ther. 2018, 41, 22–27. [Google Scholar] [CrossRef]
- Li, B.; Gong, S.Y.; Zhou, X.Z.; Yang, Y.J.; Li, J.Y.; Wei, X.J.; Cheng, F.S.; Niu, J.R.; Liu, X.W.; Zhang, J.Y. Determination of antibacterial agent tilmicosin in pig plasma by LC/MS/MS and its application to pharmacokinetics. Biomed. Chromatogr. 2017, 31, e3825. [Google Scholar] [CrossRef]
- Chen, X.; Wang, T.; Lu, M.; Zhu, L.; Wang, Y.; Zhou, W. Preparation and evaluation of tilmicosin-loaded hydrogenated castor oil nanoparticle suspensions of different particle sizes. Int. J. Nanomed. 2014, 9, 2655–2664. [Google Scholar]
- Oda, S.S.; Derbalah, A.E. Impact of diclofenac sodium on tilmicosin-induced acute cardiotoxicity in rats (tilmicosin and diclofenac cardiotoxicity). Cardiovasc. Toxicol. 2018, 18, 63–75. [Google Scholar] [CrossRef]
- Main, B.W.; Means, J.R.; Rinkema, L.E.; Smith, W.C.; Sarazan, R.D. Cardiovascular effects of the macrolide antibiotic tilmicosin, administered alone and in combination with propranolol or dobutamine, in conscious unrestrained dogs. J. Vet. Pharmacol. Ther. 1996, 19, 225–232. [Google Scholar] [CrossRef]
- Silva, A.C.; Santos, D.; Ferreira, D.; Lopes, C.M. Lipid-based nanocarriers as an alternative for oral delivery of poorly water- soluble drugs: Peroral and mucosal routes. Curr. Med. Chem. 2012, 19, 4495–4510. [Google Scholar] [CrossRef]
- Al-Qushawi, A.; Rassouli, A.; Atyabi, F.; Peighambari, S.M.; Esfandyari-Manesh, M.; Shams, G.R.; Yazdani, A. Preparation and characterization of three tilmicosin-loaded lipid nanoparticles: Physicochemical properties and in-vitro antibacterial activities. Iran. J. Pharm. Res. 2016, 15, 663–676. [Google Scholar]
- Wang, X.F.; Zhang, S.L.; Zhu, L.Y.; Xie, S.Y.; Dong, Z.; Wang, Y.; Zhou, W.Z. Enhancement of antibacterial activity of tilmicosin against Staphylococcus aureus by solid lipid nanoparticles in vitro and in vivo. Vet. J. 2012, 191, 115–120. [Google Scholar] [CrossRef]
- Xie, S.; Wang, F.; Wang, Y.; Zhu, L.; Dong, Z.; Wang, X.; Li, X.; Zhou, W. Acute toxicity study of tilmicosin-loaded hydrogenated castor oil-solid lipid nanoparticles. Part. Fibre Toxicol. 2011, 8, 33. [Google Scholar] [CrossRef]
- Müller, R.H.; Radtke, M.; Wissing, S.A. Nanostructured lipid matrices for improved microencapsulation of drugs. Int. J. Pharm. 2002, 242, 121–128. [Google Scholar] [CrossRef]
- Shah, N.V.; Seth, A.K.; Balaraman, R.; Aundhia, C.J.; Maheshwari, R.A.; Parmar, G.R. Nanostructured lipid carriers for oral bioavailability enhancement of raloxifene: Design and in vivo study. J. Adv. Res. 2016, 7, 423–434. [Google Scholar] [CrossRef]
- Gaba, B.; Fazil, M.; Ali, A.; Baboota, S.; Sahni, J.K.; Ali, J. Nanostructured lipid (NLCs) carriers as a bioavailability enhancement tool for oral administration. Drug Deliv. 2015, 22, 1–10. [Google Scholar] [CrossRef]
- Neves, A.R.; Queiroz, J.F.; Costa Lima, S.A.; Figueiredo, F.; Fernandes, R.; Reis, S. Cellular uptake and transcytosis of lipid-based nanoparticles across the intestinal barrier: Relevance for oral drug delivery. J. Colloid Interface Sci. 2016, 463, 258–265. [Google Scholar] [CrossRef]
- Niamprem, P.; Srinivas, S.P.; Tiyaboonchai, W. Penetration of Nile red-loaded nanostructured lipid carriers (NLCs) across the porcine cornea. Colloids Surf. B Biointerfaces 2019, 176, 371–378. [Google Scholar] [CrossRef]
- Li, H.; Chen, M.; Su, Z.; Sun, M.; Ping, Q. Size-exclusive effect of nanostructured lipid carriers on oral drug delivery. Int. J. Pharm. 2016, 511, 524–537. [Google Scholar] [CrossRef]
- Kanwar, R.; Gradzielski, M.; Prevost, S.; Kaur, G.; Clemens, D.; Appavou, M.S.; Mehta, S.K. Effect of lipid chain length on nanostructured lipid carriers: Comprehensive structural evaluation by scattering techniques. J. Colloid Interface Sci. 2019, 534, 95–104. [Google Scholar] [CrossRef]
- Yang, Y.; Corona, A.; Schubert, B.; Reeder, R.; Henson, M.A. The effect of oil type on the aggregation stability of nanostructured lipid carriers. J. Colloid Interface Sci. 2014, 418, 261–272. [Google Scholar] [CrossRef]
- Guo, D.; Dou, D.; Li, X.; Zhang, Q.; Bhutto, Z.A.; Wang, L. Ivermection-loaded solid lipid nanoparticles: Preparation, characterisation, stability and transdermal behavior. Artif. Cells Nanomed. Biotechnol. 2018, 46, 255–262. [Google Scholar] [CrossRef]
- He, C.; Yin, L.; Tang, C.; Yin, C. Size-dependent absorption mechanism of polymeric nanoparticles for oral delivery of protein drugs. Biomaterials 2012, 33, 8569–8578. [Google Scholar] [CrossRef]
- Granja, A.; Vieira, A.C.; Chaves, L.L.; Nunes, C.; Neves, A.R.; Pinheiro, M.; Reis, S. Folate-targeted nanostructured lipid carriers for enhanced oral delivery of epigallocatechin-3-gallate. Food Chem. 2017, 237, 803–810. [Google Scholar] [CrossRef]
- Zhao, D.; Zhao, X.; Zu, Y.; Li, J.; Zhang, Y.; Jiang, R.; Zhang, Z. Preparation, characterization, and in vitro targeted delivery of folate-decorated paclitaxel-loaded bovine serum albumin nanoparticles. Int. J. Nanomed. 2010, 5, 669–677. [Google Scholar]
- Heurtault, B.; Saulnier, P.; Pech, B.; Proust, J.E.; Benoit, J.P. Physico-chemical stability of colloidal lipid particles. Biomaterials 2003, 24, 4283–4300. [Google Scholar] [CrossRef]
- Cirri, M.; Maestrini, L.; Maestrelli, F.; Mennini, N.; Mura, P.; Ghelardini, C.; Di Cesare Mannelli, L. Design, characterization and in vivo evaluation of nanostructured lipid carriers (NLC) as a new drug delivery system for hydrochlorothiazide oral administration in pediatric therapy. Drug Deliv. 2018, 25, 1910–1921. [Google Scholar] [CrossRef]
- Zhang, Q.; Yang, H.; Sahito, B.; Li, X.; Peng, L.; Gao, X.; Ji, H.; Wang, L.; Jiang, S.; Guo, D. Nanostructured lipid carriers with exceptional gastrointestinal stability and inhibition of P-gp efflux for improved oral delivery of tilmicosin. Colloids Surf. B Biointerfaces 2019. [Google Scholar] [CrossRef]
- Luan, J.; Zhang, D.; Hao, L.; Qi, L.; Liu, X.; Guo, H.; Li, C.; Guo, Y.; Li, T.; Zhang, Q.; et al. Preparation, characterization and pharmacokinetics of Amoitone B-loaded long circulating nanostructured lipid carriers. Colloids Surf. B Biointerfaces 2014, 114, 255–260. [Google Scholar] [CrossRef]
- Saedi, A.; Rostamizadeh, K.; Parsa, M.; Dalali, N.; Ahmadi, N. Preparation and characterization of nanostructured lipid carriers as drug delivery system: Influence of liquid lipid types on loading and cytotoxicity. Chem. Phys. Lipids 2018, 216, 65–72. [Google Scholar] [CrossRef]
- El-Salamouni, N.S.; Farid, R.M.; El-Kamel, A.H.; El-Gamal, S.S. Nanostructured lipid carriers for intraocular brimonidine localization; development, in-vitro and in-vivo evaluation. J. Microencapsul. 2018, 35, 102–113. [Google Scholar] [CrossRef]
- Pereira, R.R.; Testi, M.; Rossi, F.; Silva Junior, J.O.C.; Ribeiro-Costa, R.M.; Bettini, R.; Santi, P.; Padula, C.; Sonvico, F. Ucuùba (Virola surinamensis) fat-based nanostructured lipid carriers for nail drug delivery of Ketoconazole: Development and optimization using Box-Behnken design. Pharmaceutics 2019, 11, 284. [Google Scholar] [CrossRef]
- Demetzos, C. Differential scanning calorimetry (DSC): A tool to study the thermal behavior of lipid bilayers and liposomal stability. J. Liposome Res. 2008, 18, 159–173. [Google Scholar] [CrossRef]
- Bunjes, H.; Unruh, T. Characterization of lipid nanoparticles by differential scanning calorimetry, X-ray and neutron scattering. Adv. Drug Deliv. Rev. 2007, 59, 379–402. [Google Scholar] [CrossRef] [PubMed]
- Wang, T.; Xue, J.; Hu, Q.; Zhou, M.; Luo, Y. Preparation of lipid nanoparticles with high loading capacity and exceptional gastrointestinal stability for potential oral delivery applications. J. Colloid Interface Sci. 2017, 507, 119–130. [Google Scholar] [CrossRef] [PubMed]
- Das, S.; Chaudhury, A. Recent advances in lipid nanoparticle formulations with solid matrix for oral drug delivery. AAPS PharmSciTech 2011, 12, 62–76. [Google Scholar] [CrossRef] [PubMed]
- Fathi, H.A.; Allam, A.; Elsabahy, M.; Fetih, G.; El-Badry, M. Nanostructured lipid carriers for improved oral delivery and prolonged antihyperlipidemic effect of simvastatin. Colloids Surf. B Biointerfaces 2018, 162, 236–245. [Google Scholar] [CrossRef]
- Zhang, Y.; Huang, J.; Liu, Y.; Guo, T.; Wang, L. Using the lentiviral vector system to stably express chicken P-gp and BCRP in MDCK cells for screening the substrates and studying the interplay of both transporters. Arch. Toxicol. 2018, 92, 2027–2042. [Google Scholar] [CrossRef] [PubMed]
- National Archives & Records Service Office of FDA. Draft guidance for industry on drug interaction studies-study design, data analysis, implications for dosing, and labeling recommendations. Availab. Fed. Regist. 2012, 77, 9946. [Google Scholar]
- Al-Ali, A.A.A.; Nielsen, R.B.; Steffansen, B.; Holm, R.; Nielsen, C.U. Nonionic surfactants modulate the transport activity of ATP-binding cassette (ABC) transporters and solute carriers (SLC): Relevance to oral drug absorption. Int. J. Pharm. 2019, 566, 410–433. [Google Scholar] [CrossRef]
Sample Availability: Samples of the compounds tilmicosin are available from the authors. |









| Parameters | 10% TMS | TMS-pNLCs | TMS-lNLCs | TMS-sNLCs |
|---|---|---|---|---|
| Tmax (h) | 1.85 ± 0.67 | 3.23 ± 1.99 * | 2.85 ± 1.53 | 2.12 ± 1.32 |
| Cmax (μg/mL) | 1.45 ± 0.88 | 1.89 ± 0.60 | 1.51 ± 0.32 | 1.97 ± 0.81 * |
| AUC0-–-t (μg·h/mL) | 32.42 ± 12.86 | 44.75 ± 17.75 | 35.23 ± 5.39 | 65.99 ± 18.98 * |
| MRT0-–t (h) | 43.82 ± 4.19 | 39.53 ± 4.76 | 42.04 ± 4.90 | 45.26 ± 4.80 * |
| F (%) | / | 138.03 | 108.67 | 203.55 |
| Formulations | Papp (×10−6 cm/s) | Efflux Rate (ER) | |
|---|---|---|---|
| AP→BL | BL→AP | ||
| 10% TMS | 0.32 ± 0.08 | 0.74 ± 0.07 | 2.29 |
| TMS-pNLCs | 0.54 ± 0.06 | 0.88 ± 0.05 | 1.62 |
| TMS-lNLCs | 0.65 ± 0.10 | 1.01 ± 0.07 | 1.56 |
| TMS-sNLCs | 0.57 ± 0.05 | 1.07 ± 0.13 | 1.88 |
© 2020 by the authors. Licensee MDPI, Basel, Switzerland. This article is an open access article distributed under the terms and conditions of the Creative Commons Attribution (CC BY) license (http://creativecommons.org/licenses/by/4.0/).
Share and Cite
Sahito, B.; Zhang, Q.; Yang, H.; Peng, L.; Gao, X.; Kashif, J.; ul Aabdin, Z.; Jiang, S.; Wang, L.; Guo, D. Synthesis of Tilmicosin Nanostructured Lipid Carriers for Improved Oral Delivery in Broilers: Physiochemical Characterization and Cellular Permeation. Molecules 2020, 25, 315. https://doi.org/10.3390/molecules25020315
Sahito B, Zhang Q, Yang H, Peng L, Gao X, Kashif J, ul Aabdin Z, Jiang S, Wang L, Guo D. Synthesis of Tilmicosin Nanostructured Lipid Carriers for Improved Oral Delivery in Broilers: Physiochemical Characterization and Cellular Permeation. Molecules. 2020; 25(2):315. https://doi.org/10.3390/molecules25020315
Chicago/Turabian StyleSahito, Benazir, Qian Zhang, Haifeng Yang, Lin Peng, Xiuge Gao, Jam Kashif, Zain ul Aabdin, Shanxiang Jiang, Liping Wang, and Dawei Guo. 2020. "Synthesis of Tilmicosin Nanostructured Lipid Carriers for Improved Oral Delivery in Broilers: Physiochemical Characterization and Cellular Permeation" Molecules 25, no. 2: 315. https://doi.org/10.3390/molecules25020315
APA StyleSahito, B., Zhang, Q., Yang, H., Peng, L., Gao, X., Kashif, J., ul Aabdin, Z., Jiang, S., Wang, L., & Guo, D. (2020). Synthesis of Tilmicosin Nanostructured Lipid Carriers for Improved Oral Delivery in Broilers: Physiochemical Characterization and Cellular Permeation. Molecules, 25(2), 315. https://doi.org/10.3390/molecules25020315
