Photoluminescence as a Valuable Tool in the Optical Characterization of Acetaminophen and the Monitoring of Its Photodegradation Reactions
Abstract
1. Introduction
2. Materials and Methods
2.1. Materials
2.2. Samples Preparation
2.3. Photodegradation of Samples
2.4. Samples Characterization
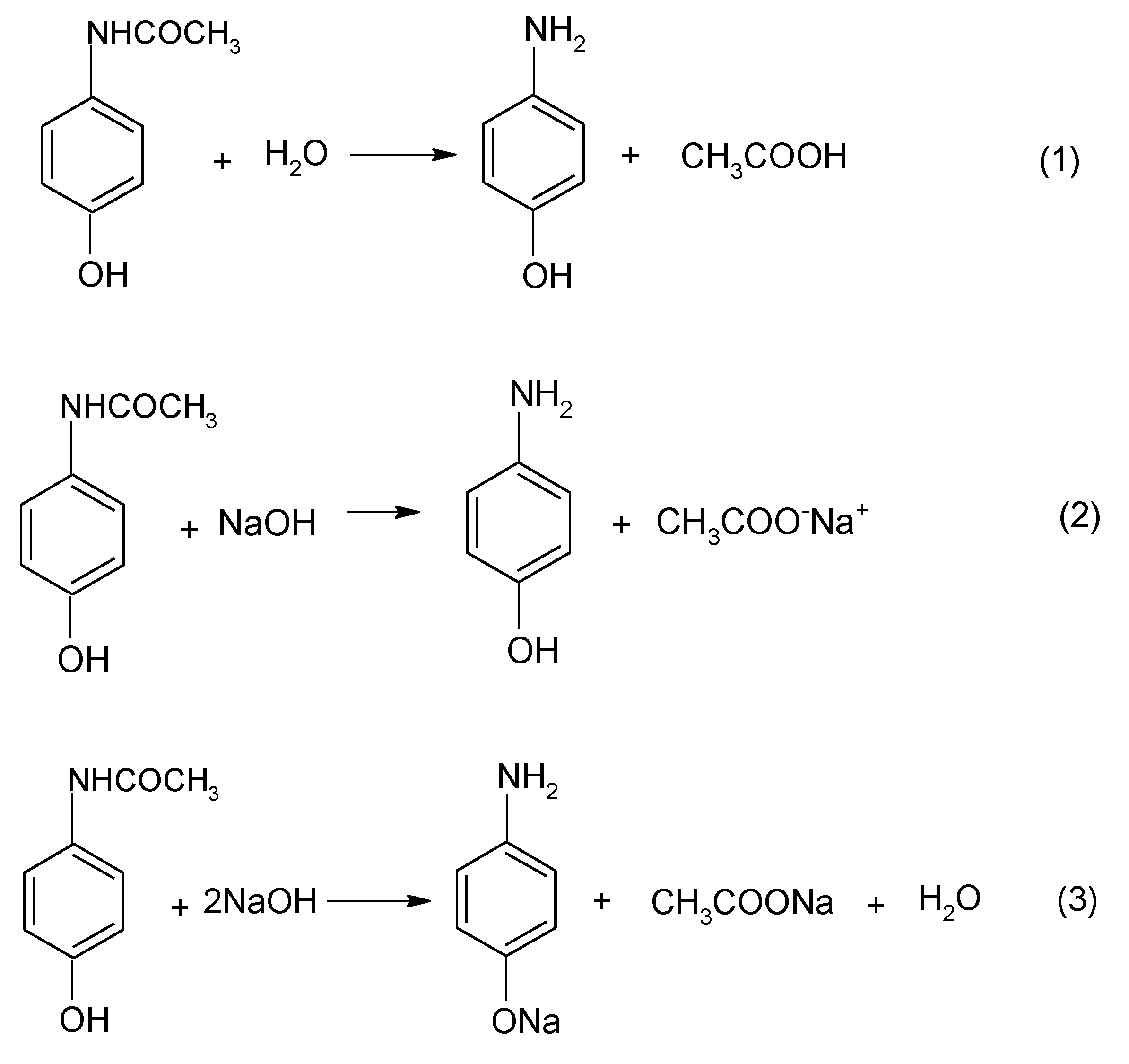
3. Results
4. Conclusions
Author Contributions
Funding
Conflicts of Interest
References
- Haag, G.; Diener, H.C.; May, A.; Meyer, C.; Marck, H.; Straube, A.; Wessely, P.; Evers, S. Self-medication of migraine and tension type headache summary of the evidence based recommendations of the Deutsche Migrane und Kopbschmerzgesellschaft (DMKG), the Deutsch Gesellschaft fur Neurologie (DGN), the Osterreichische Kopfschmerzgesellschaft (OKSG) and the Schweizerische Kopfwegesellschaft (SKG). J. Headache Pain 2011, 12, 201–217. [Google Scholar] [PubMed]
- Saragiotto, B.T.; Abdel Shaheed, C. Paracetamol for paint in adults. BMJ 2019, 367, I6693. [Google Scholar]
- Hochberg, M.C.; Altman, R.D.; April, K.T.; Benkhalti, M.; Guyatt, G.; McGowan, J.; Towheed, T.; Welch, V.; Wells, G.; Tugwell, P. American College of Rheumantology 2012 recommendations for the use of nonpharmacology and pharmacologic therapies in osteoarthritis of the hand, hip and knee. Arhritis Care Res. 2012, 64, 465–474. [Google Scholar] [CrossRef]
- Moore, R.A.; Derry, C. Efficacy of OTC analgesics. Int. J. Clin. Pract. Suppl. 2013, 67, 21–25. [Google Scholar] [CrossRef] [PubMed]
- Perrotd, D.A.; Pira, T.; Goodenough, B.; Champion, G.D. Efficacy and safety of acetaminophen vs. ibuprofen for treating children’s pain or fever: A meta-analysis. Arch. Pediatr. Adolesc. Med. 2004, 158, 521–526. [Google Scholar] [CrossRef]
- Tan, S.H.S.; Hong, C.C.; Saha, S.; Murphy, D.; Hui, J.H. Medications on COVID-19 patients: Summarizing the current literature from an orthopedic perspective. Int. Orthop. 2020. [Google Scholar] [CrossRef]
- Lee, W.M. Acetaminophen (APAP) hepatotoxicity isn’t it time for APAP to go away? J. Hepatol. 2017, 67, 1324–1337. [Google Scholar] [CrossRef] [PubMed]
- Larson, A.M.; Polson, J.; Fontana, R.J.; Davern, T.J.; Lalani, E.; Hynan, L.S.; Reisch, J.S.; Schiodt, F.V.; Ostapowicz, G.; Shaki, A.O.; et al. The acute live failure study group, acetaminophen induced acute liver failure: Results of a United States multicenter, perspective study. Hepatology 2005, 42, 1364–1372. [Google Scholar] [CrossRef]
- Rumack, B.M. Acetaminophen poisoning and toxicity. Pediatrics 1975, 55, 871–876. [Google Scholar]
- Bosch, M.E.; Sauche, A.J.R.; Rojas, F.S.; Ojeda, C.B. Determination of paracetamol: Historical evolution. J. Pharm. Biomed. Anal. 2006, 42, 291–321. [Google Scholar] [CrossRef]
- Ruiz-Medina, A.; Fernandez-de Cordona, M.L.; Ayora-Canada, M.J.; Pascual-Reguera, M.I.; Molina-Diaz, A. A flow-through solid phase UV spectrophotometer biparameter sensor for the sequential determination of ascorbic acid and paracetamol. Anal. Chim. Acta 2000, 404, 131–139. [Google Scholar] [CrossRef]
- Santos, E.D.B.; Lima, E.C.N.L.; De Oliveira, C.S.; Sigoli, F.A.; Mazali, I.O. Fast detection of paracetamol on a fold nanoparticle-chitosan substrate by SERS. Anal. Met. 2014, 6, 3564–3568. [Google Scholar] [CrossRef]
- Norrandri, I.; Rakhmana, R. Carbon paste electrode modified with poly(3-aminophenaol) for voltammetric determination of paracetamol. Int. J. Electrochem. Sci. 2012, 7, 4479–4487. [Google Scholar]
- Kutluay, A.; Aslanoglu, M. An electrochemical sensor prepared by sonochemical one-pot synthesis of multi-walled carbon nanotube-supported cobalt nanoparticles for the simultaneous determination of paracetamol and dopamine. Anal. Chem. Acta 2014, 839, 59–66. [Google Scholar] [CrossRef]
- Adhikari, B.R.; Govindhen, M.; Chen, A. Sensitive detection of acetaminophen with graphene based electrochemical sensor. Electrochim. Acta 2015, 162, 198–204. [Google Scholar] [CrossRef]
- Arvand, M.; Gholizadeh, T.M. Simultaneous voltametric determination of tyrosine and paracetamol using a carbon nanotube-graphene nanosheet nanocomposite modified electrode in human blood serum and pharmaceuticals. Colloids Surf. B 2013, 103, 84–93. [Google Scholar] [CrossRef]
- Feng, X.; Zhang, Q.; Cong, P.; Zhu, Z. Determination of the paracetamol degradation process with online UV spectroscopic and multivariate curve resolution—Alternating least squares methods comparative validation by HPLC. Anal. Methods 2013, 5, 5286–5293. [Google Scholar] [CrossRef]
- Stasilowicz, A.; Mizera, M.; Tykarska, E.; Lewandowska, K.L.; Miklaszewski, A.; Cielecka-Piontek, J. The possibility of using X-ray powder diffraction, infrared and Raman spectroscopy in the study of the identification of structural polymorphs of acetaminophen. Acta Pol. Pharm. Drug Res. 2019, 76, 997–1004. [Google Scholar] [CrossRef]
- Brouwer, A.M.; Wilbrandt, R. Vibrational spectra of N,N-dimethylaniline and its radical cation. An interpretation based on quantum chemical calculations. J. Phys. Chem. C 1996, 100, 9678–9688. [Google Scholar] [CrossRef]
- Shukla, A.R.; Asthana, B.P.; Dongre, N.G.; Pathak, C.M. Infrared and Raman spectra of non-vicinally trisubstituted 2, 5-dimethylaniline and 2-methyl-5-chloroaniline. Vibr. Spectrosc. 1992, 3, 245–253. [Google Scholar] [CrossRef]
- Koleva, V.; Stoilova, D. Infrared and Raman studies of the solids in the Mg(CH3COO)2—Zn(CH3COO)2—H2O system. J. Molec. Struct. 2002, 611, 1–8. [Google Scholar] [CrossRef]
- Wang, S.; Li, L.; Wang, Q.; Fan, Y.; Shen, J.; Zhang, K.; Yang, L.; Zhang, W. Aniline oligomer-modified graphene for enhanced electrochemical performances. Synth. Met. 2018, 243, 107–114. [Google Scholar] [CrossRef]
- Terzyk, A.P. The influence of activated carbon surface chemical composition of the adsorption of acetaminophen (paracetamol) in vitro Part II. TG, FTIR, and XPS analysis of carbons and the temperature dependence of adsorption kinetics at the neutral pH. Colloid Surf. A Physicochem. Eng. Asp. 2001, 177, 23–45. [Google Scholar] [CrossRef]
- Kong, X.; Castarede, D.; Boucly, A.; Artiglia, L.; Ammann, M.; Bartels-Rausch, T.; Thomson, E.S.; Pettersson, J.B.C. Reversibly physisorbed and chemisorbed water on carboxylic salt surfaces under atmospheric conditions. J. Phys. Chem. C. 2020, 124, 5263–5269. [Google Scholar] [CrossRef]
- Citrin, P.H. High-resolution X-ray photoemission from sodium metal and its hydroxide. Phys. Rev. B 1973, 8, 5545–5556. [Google Scholar] [CrossRef]
Sample Availability: Samples are available from the authors. |









| Drug Name | Conc. NaOH (M) | Exposure Time at UV Light (min) | λPLE (nm) | λPL (nm) | IPLE (counts/sec) | IPL (counts/sec) |
|---|---|---|---|---|---|---|
| Parasinus | 0 | 0 | 322 | 408 | 1.04 × 106 | 4.55 × 105 |
| 140 | 322 | 420 | 1.09 × 106 | 5.22 × 105 | ||
| 0.3 | 0 | 336 | 373 | 1.02 × 106 | 1.23 × 105 | |
| 140 | 336 | 428 | 1.5 × 107 | 2.45 × 105 | ||
| Pararemin | 0 | 0 | 322 | 360 | 1.6 × 106 | 6.4 × 104 |
| 140 | 322 | 360 | 1.73 × 106 | 8.4 × 104 | ||
| 0.3 | 0 | 340 | 368 | 1.48 × 106 | 7.36 × 104 | |
| 140 | 340 | 368 | 6.05 × 106 | 1.27 × 105 |
| PL Advantages | PL Drawbacks | PL vs. Another Method | References |
|---|---|---|---|
| Shorter time of collecting results in the case of the samples in powder state or as solutions | High cost of infrastructure | UV-VIS spectroscopy | This work; [11] |
| Shorter time of collecting results; no need additional reagents; the photodegradation process can be carried both in-situ and ex-situ | Unseparated products from the reaction mixture | HPLC | This work; [10] |
| In PL studies, pharmaceutical products can be both as powder, tablet or dilute solutions; the photodegradation process can be analyzed both in-situ and ex-situ. | High cost of infrastructure; higher time of collecting results; require information about the chemical structure of photo-generated products | IR spectroscopy | This work |
| Pharmaceutical products can be analyzed in the form of dilute solutions; the photodegradation process can be analyzed both in-situ and ex-situ. | Higher time of collecting results | Raman scattering | This work |
| Pharmaceutical products can be analyzed in the form of dilute solutions | Require information about the chemical structure of photo-generated products | XPS | This work |
© 2020 by the authors. Licensee MDPI, Basel, Switzerland. This article is an open access article distributed under the terms and conditions of the Creative Commons Attribution (CC BY) license (http://creativecommons.org/licenses/by/4.0/).
Share and Cite
Daescu, M.; Matea, A.; Negrila, C.; Serbschi, C.; Ion, A.C.; Baibarac, M. Photoluminescence as a Valuable Tool in the Optical Characterization of Acetaminophen and the Monitoring of Its Photodegradation Reactions. Molecules 2020, 25, 4571. https://doi.org/10.3390/molecules25194571
Daescu M, Matea A, Negrila C, Serbschi C, Ion AC, Baibarac M. Photoluminescence as a Valuable Tool in the Optical Characterization of Acetaminophen and the Monitoring of Its Photodegradation Reactions. Molecules. 2020; 25(19):4571. https://doi.org/10.3390/molecules25194571
Chicago/Turabian StyleDaescu, Monica, Adelina Matea, Catalin Negrila, Constantin Serbschi, Alina C. Ion, and Mihaela Baibarac. 2020. "Photoluminescence as a Valuable Tool in the Optical Characterization of Acetaminophen and the Monitoring of Its Photodegradation Reactions" Molecules 25, no. 19: 4571. https://doi.org/10.3390/molecules25194571
APA StyleDaescu, M., Matea, A., Negrila, C., Serbschi, C., Ion, A. C., & Baibarac, M. (2020). Photoluminescence as a Valuable Tool in the Optical Characterization of Acetaminophen and the Monitoring of Its Photodegradation Reactions. Molecules, 25(19), 4571. https://doi.org/10.3390/molecules25194571

