Isolation and Cytotoxic Activity of Phyllocladanes from the Roots of Acacia schaffneri (Leguminosae)
Abstract
1. Introduction
2. Results
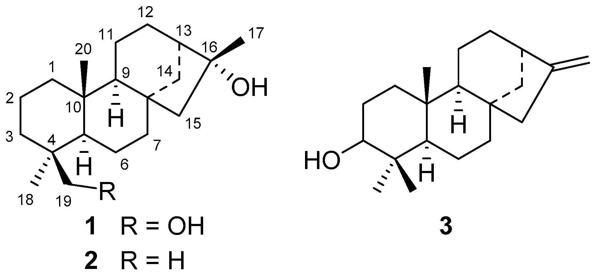
2.1. Extraction and Isolation
2.2. Cytotoxic Activity
2.3. Cell Cycle Analysis
2.4. Wound Migration Assay
3. Discussion
4. Materials and Methods
4.1. General Experimental Procedures
4.2. Plant Material
4.3. Extraction and Isolation
4.4. Cell Line and Culture Conditions
4.5. Cytotoxic Activity and Cell Viability Assays
4.6. Cell Cycle Analysis
4.7. Wound Migration Assay
4.8. Statistical Analysis
5. Conclusions
Supplementary Materials
Author Contributions
Funding
Acknowledgments
Conflicts of Interest
References
- Siegel, R.L.; Miller, K.D.; Jemal, A. Cancer Statistics, 2020. CA Cancer J. Clin. 2020, 70, 7–30. [Google Scholar] [CrossRef] [PubMed]
- Bussa, N.F.; Belayneh, A. Traditional medicinal plants used to treat cancer, tumors and inflammatory ailments in Harari Region. East. Ethiop. South. Afr. J. Bot. 2019, 122, 360–368. [Google Scholar] [CrossRef]
- Gezici, S.; Şekeroğlu, N. Current perspectives in the application of medicinal plants against cancer: Novel therapeutic agents. Anti-Cancer Agents Med. Chem. 2019, 19, 101–111. [Google Scholar] [CrossRef] [PubMed]
- Gordaliza, M. Natural products as leads to anticancer drugs. Clin. Transl. Oncol. 2007, 9, 767–776. [Google Scholar] [CrossRef] [PubMed]
- Alonso-Castro, A.J.; Villarreal, M.L.; Salazar-Olivo, L.A.; Gomez-Sanchez, M.; Dominguez, F.; Garcia-Carranca, A. Mexican medicinal plants used for cancer treatment: Pharmacological, phytochemical and ethnobotanical studies. J. Ethnopharmacol. 2011, 133, 945–972. [Google Scholar] [CrossRef] [PubMed]
- Jacobo-Herrera, N.J.; Jacobo-Herrera, F.E.; Zentella-Dehesa, A.; Andrade-Cetto, A.; Heinrich, M.; Pérez-Plasencia, C. Medicinal plants used in Mexican traditional medicine for the treatment of colorectal cancer. J. Ethnopharmacol. 2016, 179, 391–402. [Google Scholar] [CrossRef] [PubMed]
- Gerson-Cwillich, R.; Serrano-Olvera, A.; Villalobos-Prieto, A. Complementary and alternative medicine (CAM) in Mexican patients with cancer. Clin. Transl. Oncol. 2006, 8, 200–207. [Google Scholar] [CrossRef] [PubMed]
- Gomez-Martinez, R.; Tlacuilo-Parra, A.; Garibaldi-Covarrubias, R. Use of complementary and alternative medicine in children with cancer in Occidental, Mexico. Pediatric Blood Cancer 2007, 49, 820–823. [Google Scholar] [CrossRef] [PubMed]
- Manríquez-Torres, J.J.; Torres-Valencia, J.M.; Gómez-Hurtado, M.A.; Motilva, V.; García-Mauriño, S.; Ávila, J.; Talero, E.; Cerda-García-Rojas, C.M.; Joseph-Nathan, P. Absolute configuration of 7, 8-seco-7, 8-oxacassane diterpenoids from Acacia schaffneri. J. Nat. Prod. 2011, 74, 1946–1951. [Google Scholar] [CrossRef] [PubMed]
- Torres-Valencia, J.M.; Motilva, V.; Manríquez-Torres, J.J.; García-Mauriño, S.; Lopez-Lazaro, M.; Zbakh, H.; Calderón-Montaño, J.M.; Gómez-Hurtado, M.A.; Gayosso-De-Lucio, J.A.; Cerda-García-Rojas, C.M.; et al. Antiproliferative Activity of seco-Oxacassanes from Acacia schaffneri. Nat. Prod. Commun. 2015, 10, 853–856. [Google Scholar] [CrossRef] [PubMed]
- Zubrik, A.; Šaman, D.; Vašíčková, S.; Simoneit, B.R.; Turčániová, L.U.; Lovás, M.; Cvačka, J. Phyllocladane in brown coal from Handlová, Slovakia: Isolation and structural characterization. Org. Geochem. 2009, 40, 126–134. [Google Scholar] [CrossRef]
- Anderson, D.M.W.; Gill, M.C.L.; McNab, C.G.A.; De Pinto, G. Some Acacia gum exudates of the section Phyllodineae. Phytochemistry 1984, 23, 1923–1926. [Google Scholar] [CrossRef]
- Anderson, D.M.W.; Gill, M.C.L.; Jeffrey, A.M.; McDougall, F.J. The gum exudates from some closely related Acacia species of the subseries Uninerves racemosae (section Phyllodineae). Phytochemistry 1985, 24, 71–75. [Google Scholar] [CrossRef]
- Skehan, P.; Storeng, R.; Scudiero, D.; Monks, A.; McMahon, J.; Vistica, D.; Warren, J.T.; Bokesch, H.; Kenney, S.; Boyd, M.R. New colorimetric cytotoxicity assay for anticancer-drug screening. JNCI J. Natl. Cancer Inst. 1990, 82, 1107–1112. [Google Scholar] [CrossRef] [PubMed]
- Lee, H.; Kang, C.; Jung, E.S.; Kim, J.S.; Kim, E. Antimetastatic activity of polyphenol-rich extract of Ecklonia cava through the inhibition of the Akt pathway in A549 human lung cancer cells. Food Chem. 2011, 127, 1229–1236. [Google Scholar] [CrossRef] [PubMed]
Sample Availability: Samples of the compounds phyllocladan-16α,19-diol (1), phyllocladan-16α-ol (2), and phylloclad-16-en-3-ol (3) are available from the authors. |



| Position | δC, mult. | ||
|---|---|---|---|
| 1 | 2 | 3 | |
| 1 | 41.9, CH2 | 39.3, CH2 | 33.6, CH2 |
| 2 | 20.3, CH2 | 20.3, CH2 | 24.7, CH2 |
| 3 | 35.4, CH2 | 42.0, CH2 | 75.9, CH |
| 4 | 37.7, C | 33.1, C | 56.2, C |
| 5 | 57.0, CH | 56.9, CH | 56.2, CH |
| 6 | 19.1, CH2 | 18.9, CH2 | 19.6, CH2 |
| 7 | 41.9, CH2 | 41.6, CH2 | 40.5, CH2 |
| 8 | 44.4, C | 44.5, C | 43.3, C |
| 9 | 56.9, CH | 56.2, CH | 49.1, CH |
| 10 | 38.4, C | 37.8, C | 37.3, C |
| 11 | 18.0, CH2 | 18.3, CH2 | 18.6, CH2 |
| 12 | 27.4, CH2 | 27.6, CH2 | 32.0, CH2 |
| 13 | 47.5, CH | 47.5, CH | 42.3, CH |
| 14 | 48.9, CH2 | 49.0, CH2 | 49.9, CH2 |
| 15 | 49.4, CH2 | 49.6, CH2 | 41.1, CH2 |
| 16 | 82.1, C | 82.2, C | 157.3, C |
| 17 | 23.9, CH3 | 23.9, CH3 | 102.1, CH2 |
| 18 | 27.1, CH3 | 21.9, CH3 | 28.2, CH3 |
| 19 | 69.6, CH2 | 33.7, CH3 | 22.0, CH3 |
| 20 | 15.4, CH3 | 14.8, CH3 | 14.6, CH3 |
| Sample | Colon Cells | Lung Cells | Skin Cells | |||
|---|---|---|---|---|---|---|
| HT-29 | CCD-841 CoN | A-549 | MRC-5 | UACC-62 | VH-10 | |
| Hexane | 10.1 ± 0.5 | – a | 10.9 ± 0.1 | – a | 10.8 ± 0.8 | – a |
| CHCl3 | 9.9 ± 0.2 | – a | 13.8 ± 1.7 | – a | 16.8 ± 0.6 | – a |
| MeOH | >100 | – a | >100 | – a | >100 | – a |
| 1 | 33.5 ± 1.6 | 41.1 ± 1.9 | 24.1 ± 1.3 | 32.5 ± 2.0 | 28.3 ± 5.5 | 70.2 ± 16.9 |
| 2 | >100 | >100 | >100 | >100 | >100 | >100 |
| 5-FU b | 0.8 ± 0.9 | – a | 3.6 ± 0.3 | >130 | 0.7 ± 0.2 | >130 |
| Sample | HT29 | A-549 | ||||||
|---|---|---|---|---|---|---|---|---|
| Apop. | G1/G0 | S | G2/M | Apop. | G1/G0 | S | G2/M | |
| Control | 0.8 ± 0.1 | 48.9 ± 3.5 | 12.3 ± 0.8 | 30.5 ± 3.3 | 0.2 ± 0.1 | 58.4 ± 1.0 | 7.0 ± 1.1 | 22.6 ± 0.5 |
| Colchicine | 0.2 ± 0.2 | 9.0 ± 3.0 | 4.6 ± 1.2 | 82.2 ± 1.3 | 0.4 ± 0.1 | 5.9 ± 0.9 | 2.2 ± 0.2 | 88.0 ± 0.7 |
| 1 (30 µg) | 1.8 ± 0.2 | 59.1 ± 8.0 | 9.2 ± 2.3 | 19.8 ± 3.9 | 0.8 ± 0.1 | 73.6 ± 2.9 | 5.5 ± 1.4 | 14.7 ± 1.8 |
| 1 (60 µg) | 3.2 ± 0.3 | 76.6 ± 3.3 | 6.1 ± 1.5 | 9.7 ± 2.2 | 2.8 ± 0.5 | 67.8 ± 0.4 | 4.5 ± 0.9 | 19.0 ± 2.7 |
| 1 (100 µg) | 1.4 ± 0.2 | 64.2 ± 6.2 | 5.6 ± 1.1 | 11.4 ± 2.0 | 6.7 ± 0.1 | 53.2 ± 4.7 | 6.8 ± 0.5 | 21.5 ± 2.3 |
© 2020 by the authors. Licensee MDPI, Basel, Switzerland. This article is an open access article distributed under the terms and conditions of the Creative Commons Attribution (CC BY) license (http://creativecommons.org/licenses/by/4.0/).
Share and Cite
Manríquez-Torres, J.d.J.; Hernández-Lepe, M.A.; Chávez-Méndez, J.R.; González-Reyes, S.; Serafín-Higuera, I.R.; Rodríguez-Uribe, G.; Torres-Valencia, J.M. Isolation and Cytotoxic Activity of Phyllocladanes from the Roots of Acacia schaffneri (Leguminosae). Molecules 2020, 25, 3944. https://doi.org/10.3390/molecules25173944
Manríquez-Torres JdJ, Hernández-Lepe MA, Chávez-Méndez JR, González-Reyes S, Serafín-Higuera IR, Rodríguez-Uribe G, Torres-Valencia JM. Isolation and Cytotoxic Activity of Phyllocladanes from the Roots of Acacia schaffneri (Leguminosae). Molecules. 2020; 25(17):3944. https://doi.org/10.3390/molecules25173944
Chicago/Turabian StyleManríquez-Torres, José de Jesús, Marco Antonio Hernández-Lepe, José Román Chávez-Méndez, Susana González-Reyes, Idanya Rubí Serafín-Higuera, Genaro Rodríguez-Uribe, and Jesús Martín Torres-Valencia. 2020. "Isolation and Cytotoxic Activity of Phyllocladanes from the Roots of Acacia schaffneri (Leguminosae)" Molecules 25, no. 17: 3944. https://doi.org/10.3390/molecules25173944
APA StyleManríquez-Torres, J. d. J., Hernández-Lepe, M. A., Chávez-Méndez, J. R., González-Reyes, S., Serafín-Higuera, I. R., Rodríguez-Uribe, G., & Torres-Valencia, J. M. (2020). Isolation and Cytotoxic Activity of Phyllocladanes from the Roots of Acacia schaffneri (Leguminosae). Molecules, 25(17), 3944. https://doi.org/10.3390/molecules25173944

