Plant Milking Technology—An Innovative and Sustainable Process to Produce Highly Active Extracts from Plant Roots
Abstract
1. Introduction
2. Results
2.1. Plant Cultivation Performance
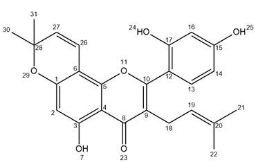
2.2. Plant Metabolite Quantification and Comparison with Commercial Sample
2.3. Plant Metabolites Reveal an Affinity for the Collagenase
2.4. The Unique Composition of N- Extract Exerts a Synergetic Collagenase Inhibition Effect
2.5. N- Extract Regulates the Expression of Key Matrisome Related Genes: CCN1, MMP-1 and COL3A1
2.6. N- Extract Protects Human Fibroblasts against UV-B-Induced Decline Procollagen Type I C Propeptide (CICP) Production
2.7. N- Extract Reduces Wrinkles Depth, Improves Skin Smoothness and Skin Plumping
3. Discussion
4. Materials and Methods
4.1. Comparison of Aeroponically Grown Plant Roots with Commercial Sample
4.2. Plant Cultivation in Aeroponic Systems
4.3. Solvents
4.4. Preparation of Crude Extract for Molecule Purification
4.5. Purification by Preparative Liquid Chromatography
4.6. Structural Elucidation of M. alba L. Metabolites (UHPLC-MS and NMR Analyses)





4.7. Preparation of the Sample for Biological Evaluation of the Extract
4.8. UHPLC Analyses
4.9. Target BindingTM Technology to Determine Collagenase Affinity
- Binding: Incubation of the target protein with test mixture to form protein-ligand complexes;
- Washing: Elimination of non-specifically bound compounds and separation of the target-ligand complexes from the incubation mixture;
- Denaturation of target-ligand complexes to desorb bound ligands and elimination of denatured target by precipitation/centrifugation;
- Analysis of the supernatant containing dissociated ligands and the initial test sample to determine Relative Affinities (RA) of individual components of the mixture.
4.10. Collagenase Inhibition Activity
4.11. Comparison of Collagenase Inhibition Potential of N- and the Commercial Extract of Morus alba L. Roots
4.12. Evaluation of the Synergic Effect of Metabolites on the Inhibition of Collagenase Enzyme
4.13. Matrisome Related Genes Expression Study
4.14. Procollagen Type I C Propeptide (CICP) Quantification
4.15. Clinical Investigation
5. Conclusions
Author Contributions
Funding
Conflicts of Interest
Appendix A
Fractionation

Appendix B
Plant Metabolite Identification








References
- Bensky, D.; Clavey, S.; Stõger, E. Chinese Herbal Medicine: Materia Medica; Eastland Press: Seattle, WA, USA, 2004; pp. 3–6. [Google Scholar]
- Zhang, L.; Zhang, Y.; Pei, S.; Geng, Y.; Wang, C.; Wang, Y. Ethnobotanical survey of medicinal dietary plants used by the Naxi People in Lijiang Area, Northwest Yunnan, China. J. Ethnobiol. Ethnomed. 2015, 11, 40. [Google Scholar] [CrossRef]
- Watson, B.S.; Bedair, M.F.; Urbanczyk-Wochniak, E.; Huhman, D.V.; Yang, D.S.; Allen, N.S.; Li, W.; Tang, Y.; Sumner, L.W. Integrated metabolomics and transcriptomics reveal enhanced specialized metabolism in Medicago truncatula root border cells. Plant Physiol. 2015, 167, 1699–1716. [Google Scholar] [CrossRef] [PubMed]
- Bourgaud, F.; Gravot, A.; Milesi, S.; Gontier, E. Production of plant secondary metabolites: A historical perspective. Plant Sci. 2001, 161, 839–851. [Google Scholar] [CrossRef]
- Scheible, W.-R.; Morcuende, R.; Czechowski, T.; Fritz, C.; Osuna, D.; Palacios-Rojas, N.; Schindelasch, D.; Thimm, O.; Udvardi, M.K.; Stitt, M. Genome-wide reprogramming of primary and secondary metabolism, protein synthesis, cellular growth processes, and the regulatory infrastructure of Arabidopsis in response to nitrogen. Plant Physiol. 2004, 136, 2483–2499. [Google Scholar] [CrossRef] [PubMed]
- Benard, C.; Bourgaud, F.; Gautier, H. Impact of temporary nitrogen deprivation on tomato leaf phenolics. Int. J. Mol. Sci. 2011, 12, 7971–7981. [Google Scholar] [CrossRef]
- Poon, F.; Kang, S.; Chien, A.L. Mechanisms and treatments of photoaging. Photodermatol. Photoimmunol. Photomed. 2015, 31, 65–74. [Google Scholar] [CrossRef]
- Morard, P. Etude de l′oxygenation du systeme racinaire. In Les Cultures Végétales Hors-Sol; Pub Agricoles: Agen, France, 1995; pp. 245–252. [Google Scholar]
- Nguyen, T.K.O.; Dauwe, R.; Bourgaud, F.; Gontier, E. From Bioreactor to Entire Plants: Development of Production Systems for Secondary Metabolites. In New Light on Alkaloid Biosynthesis and Future Prospects; Elsevier: Amsterdam, The Netherlands, 2013; Volume 68, pp. 205–232. [Google Scholar]
- Rittié, L.; Fisher, G.J. Natural and sun-induced aging of human skin. Cold Spring Harb. Perspect. Med. 2015, 5, a015370. [Google Scholar] [CrossRef] [PubMed]
- Zhang, S.; Duan, E. Fighting against Skin Aging: The Way from Bench to Bedside. Cell Transplant. 2018, 27, 729–738. [Google Scholar] [CrossRef] [PubMed]
- Fisher, G.J.; Voorhees, J.J. Molecular mechanisms of photoaging and its prevention by retinoic acid: Ultraviolet irradiation induces MAP kinase signal transduction cascades that induce Ap-1-regulated matrix metalloproteinases that degrade human skin in vivo. J. Investig. Dermatol. Symp. Proc. 1998, 3, 61–68. [Google Scholar] [PubMed]
- Pittayapruek, P.; Meephansan, P.; Prapapan, O.; Komine, M.; Ohtsuki, M. Role of Matrix Metalloproteinases in Photoaging and Photocarcinogenesis. Int. J. Mol. Sci. 2016, 17, 868. [Google Scholar] [CrossRef] [PubMed]
- Khalil, C. Human skin explants an in vitro approach for assessing UVB induced damage. Toxicol. In Vitro 2018, 53, 193–199. [Google Scholar] [CrossRef] [PubMed]
- Varani, J.; Spearman, D.; Perone, P.; Fligiel, S.E.G.; Datta, S.C.; Wang, Z.Q.; Shao, Y.; Kang, S.; Fisher, G.J.; Voorhees, J.J. Inhibition of type U procollagen synthesis by damaged collagen in photoaged skin and by collagenase degraded collagen in vitro. Am. J. Pathol. 2001, 158, 931–942. [Google Scholar] [CrossRef]
- Qin, Z.; Robichaud, P.; He, T.; Fisher, G.J.; Voorhees, J.J.; Quan, T. Oxidant exposure induces cysteine-rich protein 61 (CCN1) via c-Jun/AP-1 to reduce collagen expression in human dermal fibroblasts. PLoS ONE 2014, 9, e115402. [Google Scholar] [CrossRef] [PubMed]
- Quan, T.; Qin, Z.; Robichaud, P.; Voorhees, P.P.; Fisher, G.J. CCN1 contributes to skin connective tissue aging by inducing age-associated secretory phenotype in human skin dermal fibroblasts. J. Cell Commun. Signaling 2011, 5, 201–207. [Google Scholar] [CrossRef] [PubMed]
- Hynes, R.O.; Naba, A. Overview of the matrisome—An inventory of extracellular matrix constituents and functions. Cold Spring Harb. Perspect. Biol. 2012, 4, a004903. [Google Scholar] [CrossRef] [PubMed]
- Naba, A.; Clauser, K.R.; Ding, H.; Whittaker, C.A.; Carr, S.A.; Hynes, R.O. The extracellular matrix: Tools and insights for the “omics” era. Matrix Biol. 2016, 49, 10–24. [Google Scholar] [CrossRef] [PubMed]
- Qin, Z.; Okubo, T.; Voorhees, J.J.; Fisher, G.J.; Quan, T. Elevated cysteine-rich protein 61 (CCN1) promotes skin aging via upregulation of IL-1beta in chronically sun-exposed human skin. Age 2014, 36, 353–364. [Google Scholar] [CrossRef] [PubMed]
- Van Wart, H.E.; Steinbrink, D.R. A continuous spectrophotometric assay for Clostridium histolyticum collagenase. Anal. Biochem. 1981, 113, 356–365. [Google Scholar] [CrossRef]
Sample Availability: Samples of the compounds are not available from the authors. |








| Relative Affinity (RA) for Collagenase | ||||
|---|---|---|---|---|
| Morusin | Kuwanon C | Moracenin B (reference) | Moracenin A | Wittiorumin F |
| 0.9 | 0.9 | 1.0 | 1.1 | 1.1 |
| Condition | ACtR% (Relative Collagenase Activity) | Inhibition Rate (%) | |
|---|---|---|---|
| Collagenase inhibition synergy by the constituents of N- | Blank | 100% | 0% |
| N- extract containing a 20.8 µM equivalent prenylated compounds (N-, 1.37%) (Moracenin B: 6 µM, Kuwanone C: 6.7 µM, Morusin: 4 µM, Moracenin A: 4.1 µM) | 27% | 73% | |
| Moracenin B (20.8µM) | 58% | 42% | |
| Kuwanon C (20.8µM) | 62% | 38% | |
| Morusin (20.8 µM) | 68% | 32% | |
| Moracenin A (20.8 µM) | 38% | 62% | |
| Comparison with the commercial roots | N- extract, 8.33% | 9% | 91% |
| Extract of commercial Morus alba L. roots (8.33%) prepared in the same way as N- | 105% | 0% |
| Name of the Gene Modulated | Relative Expression (RQ) | p Value |
|---|---|---|
| Cysteine rich angiogenic protein 61 (CCN1) | 0.7 | 0.07 |
| Matrix metalloproteinase 1 (MMP1) | 0.6 | 0.0066 |
| Collagen 3 aplha 1 subunit (COL3A1) | 1.49 | 0.01 |
© 2020 by the authors. Licensee MDPI, Basel, Switzerland. This article is an open access article distributed under the terms and conditions of the Creative Commons Attribution (CC BY) license (http://creativecommons.org/licenses/by/4.0/).
Share and Cite
Chajra, H.; Salwinski, A.; Guillaumin, A.; Mignard, B.; Hannewald, P.; Duriot, L.; Warnault, P.; Guillet-Claude, C.; Fréchet, M.; Bourgaud, F. Plant Milking Technology—An Innovative and Sustainable Process to Produce Highly Active Extracts from Plant Roots. Molecules 2020, 25, 4162. https://doi.org/10.3390/molecules25184162
Chajra H, Salwinski A, Guillaumin A, Mignard B, Hannewald P, Duriot L, Warnault P, Guillet-Claude C, Fréchet M, Bourgaud F. Plant Milking Technology—An Innovative and Sustainable Process to Produce Highly Active Extracts from Plant Roots. Molecules. 2020; 25(18):4162. https://doi.org/10.3390/molecules25184162
Chicago/Turabian StyleChajra, Hanane, Aleksander Salwinski, Agnès Guillaumin, Benoit Mignard, Paul Hannewald, Léonor Duriot, Pierre Warnault, Carine Guillet-Claude, Mathilde Fréchet, and Frédéric Bourgaud. 2020. "Plant Milking Technology—An Innovative and Sustainable Process to Produce Highly Active Extracts from Plant Roots" Molecules 25, no. 18: 4162. https://doi.org/10.3390/molecules25184162
APA StyleChajra, H., Salwinski, A., Guillaumin, A., Mignard, B., Hannewald, P., Duriot, L., Warnault, P., Guillet-Claude, C., Fréchet, M., & Bourgaud, F. (2020). Plant Milking Technology—An Innovative and Sustainable Process to Produce Highly Active Extracts from Plant Roots. Molecules, 25(18), 4162. https://doi.org/10.3390/molecules25184162

