Phytochemical Profile, Mineral Content, and Bioactive Compounds in Leaves of Seed-Propagated Artichoke Hybrid Cultivars
Abstract
1. Introduction
2. Results and Discussion
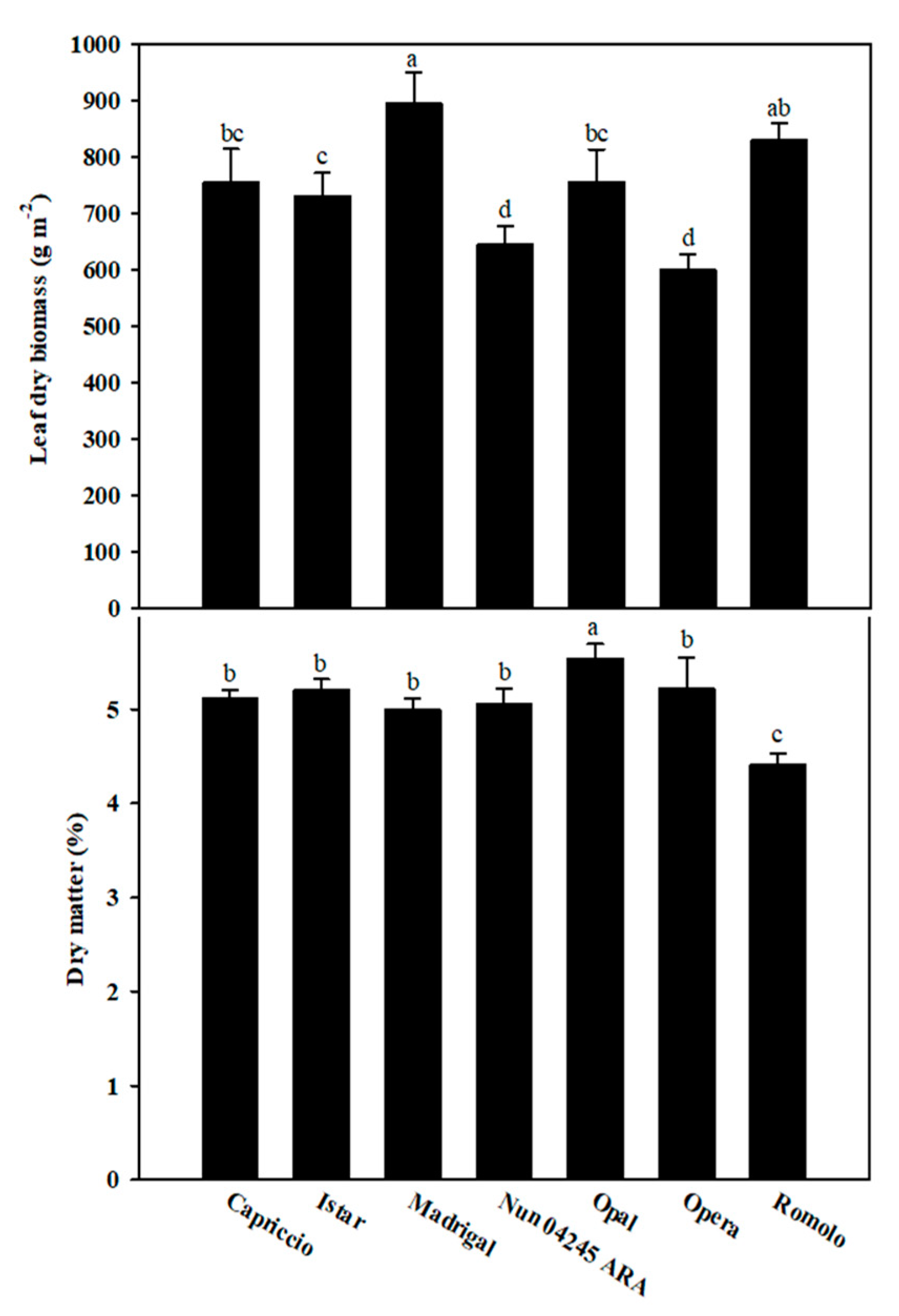
2.1. Leaf Biomass Production and Mineral Profile
2.2. Phytochemical Profile of the Different Artichoke Seed Propagated Cultivars
2.3. Multivariate Discrimination of the Seed-Propagated Artichoke Cultivars and Identification of Marker Compounds
3. Materials and Methods
3.1. Greenhouse Conditions, Artichoke Cultivars and Experimental Design
3.2. Leaf Biomass Determination and Mineral Analysis
3.3. Extraction of Phytochemicals and UHPLC-QTOF Profiling of the Different Artichoke Cultivars
3.4. Statistical Analysis
4. Conclusions
Supplementary Materials
Author Contributions
Funding
Acknowledgments
Conflicts of Interest
References
- Zayed, A.; Serag, A.; Farag, M.A. Cynara cardunculus L.: Outgoing and potential trends of phytochemical, industrial, nutritive and medicinal merits. J. Funct. Foods 2020, 69, 103937. [Google Scholar] [CrossRef]
- de Falco, B.; Incerti, G.; Amato, M.; Lanzotti, V. Artichoke: Botanical, agronomical, phytochemical, and pharmacological overview. Phytochem. Rev. 2015, 14, 993–1018. [Google Scholar] [CrossRef]
- Lattanzio, V.; Kroon, P.A.; Linsalata, V.; Cardinali, A. Globe artichoke: A functional food and source of nutraceutical ingredients. J. Funct. Foods 2009, 1, 131–144. [Google Scholar] [CrossRef]
- Gostin, A.I.; Waisundara, V.Y. Edible flowers as functional food: A review on artichoke (Cynara cardunculus L.). Trends Food Sci. Technol. 2019, 86, 381–391. [Google Scholar] [CrossRef]
- Rouphael, Y.; Bernardi, J.; Cardarelli, M.; Bernardo, L.; Kane, D.; Colla, G.; Lucini, L. Phenolic compounds and sesquiterpene lactones profile in leaves of nineteen artichoke cultivars. J. Agric. Food Chem. 2016, 64, 8540–8548. [Google Scholar] [CrossRef]
- Rocchetti, G.; Giuberti, G.; Lucchini, F.; Lucini, L. Polyphenols and sesquiterpene lactones from artichoke heads: Modulation of starch digestion, gut bioaccessibility, and bioavailability following in vitro digestion and large intestine fermentation. Antioxidants 2020, 9, 306. [Google Scholar] [CrossRef]
- Colla, G.; Rouphael, Y.; Cardarelli, M.; Svecova, E.; Rea, E.; Lucini, L. Effects of saline stress on mineral composition, phenolics acids and flavonoids in leaves of artichoke and cardoon genotypes grown in floating system. J. Sci. Food Agric. 2013, 93, 1119–1127. [Google Scholar] [CrossRef]
- Kyriacou, M.C.; Rouphael, Y. Towards a new definition of quality for fresh fruits and vegetables. Sci. Hortic. Amst. 2018, 234, 463–469. [Google Scholar] [CrossRef]
- Rouphael, Y.; Kyriacou, M.C.; Petropoulos, S.A.; De Pascale, S.; Colla, G. Improving vegetable quality in controlled environments. Sci. Hortic. Amst. 2018, 234, 275–289. [Google Scholar] [CrossRef]
- Petropoulos, S.A.; Pereira, C.; Barros, L.; Ferreira, I.C.F.R. Leaf parts from Greek artichoke genotypes as a good source of bioactive compounds and antioxidants. Food Funct. 2017, 8, 2022–2029. [Google Scholar] [CrossRef]
- Rouphael, Y.; Colla, G.; Graziani, G.; Ritieni, A.; Cardarelli, M.; De Pascale, S. Phenolic composition, antioxidant activity and mineral profile in two seed-propagated artichoke cultivars as affected by microbial inoculants and planting time. Food Chem. 2017, 234, 10–19. [Google Scholar] [CrossRef] [PubMed]
- Rouphael, Y.; Cardarelli, M.; Lucini, L.; Rea, E.; Colla, G. Nutrient solution concentration affects growth, mineral composition, phenolic acids and flavonoids in leaves of artichoke and cardoon. HortScience 2012, 47, 1424–1429. [Google Scholar] [CrossRef]
- Tomasi, N.; Pinton, R.; Dalla Costa, L.; Cortella, G.; Terzano, R.; Mimmo, T.; Scampicchio, M.; Cesco, S. New ‘solutions’ for floating cultivation system of ready-to-eat salad: A review. Trends Food Sci. Technol. 2015, 4, 267–276. [Google Scholar] [CrossRef]
- Borgognone, D.; Rouphael, Y.; Cardarelli, M.; Lucini, L.; Colla, G. Changes in biomass, mineral composition, and quality of cardoon in response to NO3−:Cl− ratio and nitrate deprivation from the nutrient solution. Front. Plant. Sci. 2016, 7, 978. [Google Scholar] [CrossRef]
- Lucini, L.; Borgognone, D.; Rouphael, Y.; Cardarelli, M.; Bernardi, J.; Colla, G. Mild potassium chloride stress alters the mineral composition, hormone network, and phenolic profile in artichoke leaves. Front. Plant. Sci. 2016, 7, 948. [Google Scholar] [CrossRef]
- Frezza, D.; Leon, A.; Logegaray, V.; Chiesa, A.; Desimone, M.; Diaz, L. Soilless culture technology for high quality lettuce. Acta Hortic. 2005, 697, 43–48. [Google Scholar] [CrossRef]
- Gharibzahedi, S.M.T.; Jafari, S.M. The importance of minerals in human nutrition: Bioavailability, food fortification, processing effects and nanoencapsulation. Trends Food Sci. Technol. 2017, 62, 119–132. [Google Scholar] [CrossRef]
- Rincon, L.; Perez, C.; Pellicer, C.; Abadía, A.; Sáez, J. Nutrient uptake by artichoke. Acta Hort. 2007, 630, 287–292. [Google Scholar] [CrossRef]
- Pandino, G.; Lombardo, S.; Mauromicale, G. Mineral profile in globe artichoke as affected by genotype, head part and environment. J. Sci. Food Agric. 2011, 91, 302–308. [Google Scholar] [CrossRef]
- Sun, Y.; Zhou, D.; Shahidi, F. Antioxidant properties of tyrosol and hydroxytyrosol saturated fatty acid esters. Food Chem. 2018, 245, 1262–1268. [Google Scholar] [CrossRef]
- Cabrera, J.; Saavedra, E.; del Rosario, H.; Perdomo, J.; Loro, J.F.; Cifuente, D.A.; Tonn, C.E.; García, C.; Quintana, J.; Estévez, F. Gardenin B-induced cell death in human leukemia cells involves multiple caspases but is independent of the generation of reactive oxygen species. Chem. Biol. Interact. 2016, 256, 220–227. [Google Scholar] [CrossRef] [PubMed]
- de Armas-Ricard, M.; Ruiz-Reyes, E.; Ramírez-Rodríguez, O. Caffeates and Caffeamides: Synthetic methodologies and their antioxidant properties. Int. J. Med. Chem. 2019. [Google Scholar] [CrossRef] [PubMed]
- El Senousy, E.I.; Farag, M.A.; Al-Mahdy, D.A.; Wessjohann, L.A. Developmental changes in leaf phenolics composition from three artichoke cvs. (Cynara scolymus) as determined via UHPLC-MS and chemometrics. Phytochemistry 2014, 108, 67–76. [Google Scholar] [CrossRef] [PubMed]
- Ferro, A.M.; Ramos, P.; Guerreiro, O.; Jerónimo, E.; Pires, I.; Capel, C.; Capel, J.; Lozano, R.; Duarte, M.F.; Margarida Oliveira, M.; et al. Impact of novel SNPs identified in Cynara cardunculus genes on functionality of proteins regulating phenylpropanoid pathway and their association with biological activities. Bmc. Genom. 2017, 18, 183. [Google Scholar] [CrossRef]
- Zhu, X.; Zhang, H.; Lo, R. Phenolic compounds from the leaf extract of artichoke (Cynara scolymus L.) and their antimicrobial activities. J. Agric. Food Chem. 2004, 52, 7272–7278. [Google Scholar] [CrossRef]
- Negro, D.; Montesano, V.; Grieco, S.; Crupi, P.; Sarli, G.; De Lisi, A.; Sonnante, G. Polyphenol compounds in artichoke plant tissues and varieties. J. Food Sci. 2012, 77, C244–C252. [Google Scholar] [CrossRef]
- Dabbou, S.; Dabbou, S.; Flamini, G.; Peiretti, G.P.; Pandino, G.; Helal, A.N. Biochemical characterization and antioxidant activities of the edible part of globe artichoke cultivars grown in Tunisia. Int. J. Food Prop. 2017, 20, D810–S819. [Google Scholar] [CrossRef]
- Ramos, P.A.B.; Santos, S.A.O.; Guerra, A.R.; Guerriero, O.; Freire, C.S.R.; Rocha, S.M.; Duarte, M.F.; Silvestre, A.J.D. Phenolic composition and antioxidant activity of different morphological parts of Cynara cardunculus L. var. altilis (DC). Ind. Crop. Prod. 2014, 61, 460–471. [Google Scholar] [CrossRef]
- Fratianni, F.; Tucci, M.; De Palma, M.; Pepe, R.; Nazzaro, F. Polyphenolic composition in different parts of some cultivars of globe artichoke (Cynara cardunculus L. var. scolymus (L.) Fiori). Food Chem. 2007, 104, 1282–1286. [Google Scholar] [CrossRef]
- Liu, J.; Osbourn, A.; Ma, P. MYB transcription factors as regulators of phenylpropanoid metabolism in plants. Mol. Plant. 2015, 8, 689–708. [Google Scholar] [CrossRef]
- Panche, A.N.; Diwan, A.D.; Chandra, S.R. Flavonoids: An overview. J. Nutr. Sci. 2016, 5, e47. [Google Scholar] [CrossRef] [PubMed]
- Kumar, S.; Pandey, A.K. Chemistry and biological activities of flavonoids: An overview. Sci. World J. 2013, 2013, 1–16. [Google Scholar] [CrossRef] [PubMed]
- Calvo-Flores, F.G.; Dobado, J.A.; Isac-García, J.; Martín-Martínez, F.J. Lignin and Lignans as Renewable Raw Materials: Chemistry, Technology and Applications; John Wiley & Sons: Hoboken, NJ, USA, 2015. [Google Scholar]
- Rodríguez-García, C.; Sánchez-Quesada, C.; Toledo, E.; Delgado-Rodríguez, M.; Gaforio, J.J. Naturally lignan-rich foods: A dietary tool for health promotion? Molecules 2020, 24, 917. [Google Scholar] [CrossRef]
- De Silva, S.F.; Alcorn, J. Flaxseed lignans as important dietary polyphenols for cancer prevention and treatment: Chemistry, pharmacokinetics, and molecular targets. Pharmaceuticals 2019, 12, 68. [Google Scholar] [CrossRef] [PubMed]
- Clavel, T.; Doré, J.; Blaut, M. Bioavailability of lignans in human subjects. Nutr. Res. Rev. 2006, 19, 187–196. [Google Scholar] [CrossRef] [PubMed]
- López-Biedma, A.; Sánchez-Quesada, C.; Beltrán, G.; Delgado-Rodríguez, M.; Gaforio, J.J. Phytoestrogen (+)-pinoresinol exerts antitumor activity in breast cancer cells with different estrogen receptor statuses. BMC Complement. Altern Med. 2016, 16, 350. [Google Scholar] [CrossRef] [PubMed]
- Al-Subhi, F.M.M. Artichoke as a tool to natural antioxidants for lowering diabetics and hypolipidemia parameters. AJBAS 2017, 11, 46–54. [Google Scholar]
- Sofo, A.; Fausto, C.; Mininni, A.N.; Dichio, B.; Lucini, L. Soil management type differentially modulates the metabolomic profile of olive xylem sap. Plant. Physiol. Bioch. 2019, 139, 707–714. [Google Scholar] [CrossRef]
- Santin, M.; Lucini, L.; Castagna, A.; Rocchetti, G.; Hauser, M.T.; Ranieri, A. Comparative “phenol-omics” and gene expression analyses in peach (Prunus persica) skin in response to different postharvest UV-B treatments. Plant. Physiol. Bioch. 2019, 135, 511–519. [Google Scholar] [CrossRef]
- Alvarez-Suarez, J.M.; Giampieri, F.; Tulipani, S.; Casoli, T.; Di Stefano, G.; González-Paramás, A.M.; Santos-Buelga, C.; Busco, F.; Quiles, J.L.; Cordero, M.D.; et al. One-month strawberry-rich anthocyanin supplementation ameliorates cardiovascular risk, oxidative stress markers and platelet activation in humans. J. Nutr. Biochem. 2014, 25, 289–294. [Google Scholar] [CrossRef]
- Bremner, J.M. Total nitrogen. In Methods of Soil Analysis; Black, C.A., Evans, D.D., White, I.L., Ensminger, L.E., Clark, F.E., Eds.; American Society of Agronomy: Madison, WI, USA, 1965; pp. 1149–1178. [Google Scholar]
- Salek, R.M.; Steinbeck, C.; Viant, M.R.; Goodacre, R.; Dunn, W.B. The role of reporting standards for metabolite annotation and identification in metabolomic studies. GigaScience 2013, 2, 13. [Google Scholar] [CrossRef] [PubMed]
- Schrimpe-Rutledge, A.; Codreanu, S.G.; Sherrod, S.D.; McLean, J.A. Untargeted metabolomics strategies—challenges and emerging directions. J. Am. Soc. Mass Spectrom. 2016, 27, 1897–1905. [Google Scholar] [CrossRef] [PubMed]
Sample Availability: Samples of compounds are not available from the authors. |



| Cultivars | N | P | K | Ca | Mg |
|---|---|---|---|---|---|
| (mg g−1 dw) | (mg g−1 dw) | (mg g−1 dw) | (mg g−1 dw) | (mg g−1 dw) | |
| Capriccio | 50.07 ± 0.85 | 7.12 ± 0.29 ab | 72.95 ± 1.35 c | 9.52 ± 0.27 | 3.47 ± 0.38 c |
| Istar | 50.23 ± 2.05 | 5.76 ± 0.20 d | 76.06 ± 2.46 bc | 10.33 ± 0.35 | 4.35 ± 0.41 a |
| Madrigal | 47.19 ± 2.61 | 7.80 ± 0.57 a | 80.00 ± 2.46 a | 9.96 ± 0.72 | 4.17 ± 0.25 ab |
| Nun 04245 ARA | 47.08 ± 2.11 | 5.32 ± 0.69 d | 73.77 ± 1.41 c | 9.58 ± 0.70 | 3.82 ± 0.36 abc |
| Opal | 47.27 ± 2.22 | 6.68 ± 0.20 bc | 68.92 ± 2.05 d | 10.43 ± 0.78 | 3.91 ± 0.04 abc |
| Opera | 47.31 ± 0.47 | 6.86 ± 0.38 b | 78.75 ± 1.74 ab | 9.93 ± 0.71 | 4.03 ± 0.13 ab |
| Romolo | 45.74 ± 1.79 | 5.89 ± 0.63 cd | 82.25 ± 2.97 a | 9.16 ± 0.16 | 3.79 ± 0.07 bc |
| Significance | ns | *** | *** | ns | * |
| Capriccio | Istar | Madrigal | Nun 04245 ARA | Opal | Opera | Romolo | |
|---|---|---|---|---|---|---|---|
| Anthocyanins | 0.018 ± 0.001 b | 0.036 ± 0.010 c | 0.006 ± 0.003 a | 0.007 ± 0.002 a | 0.008 ± 0.001 a | 0.016 ± 0.001 b | 0.017 ± 0.001 b |
| Phenyl Alcohols | 1.705 ± 0.060 ab | 3.334 ± 0.214 f | 2.611 ± 0.276 d | 2.264 ± 0.122 cd | 3.011 ± 0.160 e | 1.450 ± 0.341 a | 1.894 ± 0.192 bc |
| Flavan-3-ols | 0.034 ± 0.005 a | 0.064 ± 0.003 bc | 0.048 ± 0.006 ab | 0.070 ± 0.019 bc | 0.088 ± 0.016 c | 0.086 ± 0.019 c | 0.095 ± 0.023 cd |
| Flavones | 1.244 ± 0.255 c | 0.545 ± 0.223 ab | 0.554 ± 0.154 ab | 0.413 ± 0.077 a | 0.692 ± 0.090 ab | 0.566 ± 0.086 ab | 0.768 ± 0.013 b |
| Flavonols | 0.028 ± 0.007 c | 0.089 ± 0.014 d | 0.008 ± 0.001 ab | 0.006 ± 0.003 a | 0.011 ± 0.003 ab | 0.029 ± 0.002 c | 0.019 ± 0.002 bc |
| Phenolic Acids | 0.296 ± 0.050 a | 0.304 ± 0.081 a | 0.437 ± 0.020 b | 0.436 ± 0.070 b | 0.410 ± 0.012 ab | 0.361 ± 0.109 ab | 0.314 ± 0.038 a |
| Lignans | 0.433 ± 0.076 | 0.324 ± 0.070 | 0.392 ± 0.099 | 0.461 ± 0.085 | 0.486 ± 0.130 | 0.506 ± 0.184 | 0.549 ± 0.102 |
| TPC | 3.76 | 4.69 | 4.06 | 3.66 | 4.71 | 3.01 | 3.66 |
| STL | 2.559 ± 0.307 c | 2.289 ± 0.3789 bc | 1.979 ± 0.354 ab | 1.616 ± 0.199 a | 1.933 ± 0.379 ab | 2.426 ± 0.230 bc | 1.980 ± 0.119 ab |
| Chemical Class | VIP Marker (from OPLS-DA Modelling) | VIP Score | SE |
|---|---|---|---|
| Alkaloids | Harmalol | 1.10 | 0.24 |
| Alkylphenols | 4-Vinylguaiacol | 1.11 | 0.48 |
| 4-Ethylcatechol | 1.25 | 0.40 | |
| 3/4-Methylcatechol | 1.11 | 0.70 | |
| Amino Acids and Peptides | N-Succinyl-2-amino-6-ketopimelate | 1.22 | 0.34 |
| l-Histidine | 1.19 | 0.58 | |
| indole-3-acetyl-valine | 1.17 | 0.86 | |
| Benzenoids | 2,4-Dinitrophenylhydrazone/Hydroxyanigorufone/Irenolone | 1.21 | 0.33 |
| 1/2-Phenylethyl formate/Ethyl benzoate/3-Methylphenylacetic acid | 1.14 | 0.48 | |
| Carboxylic Acids and Derivatives | N-Acetylhistamine | 1.26 | 1.15 |
| Flavonoids | Gallocatechin/Epigallocatechin | 1.22 | 1.27 |
| Eriodictyol/2-Hydroxynaringenin | 1.22 | 1.26 | |
| Eriocitrin/Neoeriocitrin | 1.21 | 0.89 | |
| Chrysoeriol 7-O-apiosyl-glucoside/Apigenin 6,8-di-C-glucoside/Luteolin 7-O-rutinoside | 1.16 | 0.88 | |
| Apigenin 6-C-glucoside 8-C-riboside/Apigenin 6-C-glucoside 8-C-arabinoside/Kaempferol 3-rhamnoside 4′-xyloside/Apigenin 7-apiosyl-glucoside/Apigenin 6-C-arabinoside 8-C-glucoside/Apigenin 6-C-glucosyl-O-arabinoside/Apigenin 6,8-C-galactoside-C-arabinoside/Apigenin 7-O-apiosyl-glucoside/Apigenin 6,8-C-arabinoside-C-glucoside | 1.12 | 0.60 | |
| Kaempferol 3-O-rutinoside/Kaempferol 3-O-galactoside 7-O-rhamnoside | 1.16 | 0.88 | |
| Kaempferol 3-rhamnoside 7-xyloside/Kaempferol 3-arabinofuranoside 7-rhamnofuranoside | 1.12 | 0.60 | |
| 3′,4′,5,7-Tetrahydroxyisoflavanone | 1.22 | 1.26 | |
| Petunidin 3-O-rutinoside/Cyanidin 3-O-rutinoside/Pelargonidin 3-O-sophoroside | 1.16 | 0.88 | |
| 6′-Hydroxyangolensin/5′-Methoxy-O-desmethylangolensin | 1.15 | 0.77 | |
| Norartocarpanone/Aromadendrin/Dalbergioidin/Dihydrokaempferol | 1.22 | 1.26 | |
| Leucocyanidin/4-Gallocatechol | 1.22 | 1.27 | |
| Vicenin 1-3/Apiin/Vitexin 2″-xyloside/Corymboside/Schaftoside/Isoschaftoside/Neoschaftoside/Isovitexin 2″-arabinoside/Kaempferol 3-O-arabinosyl 7-O-rhamnoside | 1.12 | 0.60 | |
| Lignans | Schisanhenol | 1.24 | 0.72 |
| 10-Methoxyyangonin | 1.15 | 0.77 | |
| Lipids and Lipid-Like Molecules | 3-Hydroxyphenyl-valeric acid | 1.43 | 0.54 |
| Methylglutarylcarnitine | 1.14 | 0.23 | |
| Aeglin | 1.12 | 0.30 | |
| 3-oxo-2-(cis-2′-pentenyl)-cyclopentane-1-octanoate | 1.12 | 0.55 | |
| Docosanamide | 1.10 | 0.37 | |
| PE(20:3(8Z,11Z,14Z)/15:0) | 1.14 | 0.39 | |
| Methoxyphenols | Guaiacol | 1.11 | 0.70 |
| 6-Gingesulfonic acid | 1.38 | 0.52 | |
| 5-Ethenyl-2-methoxyphenol/2-Methoxy-4-vinylphenol | 1.14 | 0.48 | |
| OrganoheteroCyclic Compounds | 2,3-Dihydro-6-methyl-5-(5-methyl-2-furanyl)-1H-pyrrolizine | 1.22 | 0.33 |
| Cytokinin B | 1.15 | 0.44 | |
| 2-Ethyl-4-(2-furanyl)-2-propenal/2-(2-Furanyl)-3-methyl-2-butenal/3′-Methoxyacetophenone/2′-Methoxyacetophenone/4′-Methoxyacetophenone/2′-Hydroxy-5′-methylacetophenone/2-Acetyl-1-hydroxy-4-methylbenzene/Acetoanisole | 1.14 | 0.48 | |
| Phenol Ethers | 4-Ethoxybenzaldehyde | 1.14 | 0.50 |
| Phenolic Acids | 4-Ethylbenzoic acid/3,4-Dimethylbenzoic acid | 1.14 | 0.49 |
| Phenolic Glycosides | Phlorin | 1.15 | 0.83 |
| Phenylacetamides | Atenolol | 1.11 | 0.64 |
| Phenylpropanoic Acids | 2-Phenylpropionate/3-Phenylpropanoic acid | 1.14 | 0.48 |
| Physalins and Derivatives | Isophysalin B/Physalin B/Physalin C/25,27-Dihydro-4,7-didehydro-7-deoxyphysalin A | 1.29 | 0.44 |
| Plant Hormones | Gibberellin A1 glucosyl ester | 1.12 | 0.30 |
| Sesquiterpenoids | Mintsulfide | 1.35 | 0.83 |
| epi-Antheindurolide A | 1.23 | 0.64 | |
| Tataroside | 1.15 | 0.34 | |
| Antheindurolide A | 1.12 | 0.21 | |
| Lactucain B | 1.11 | 0.70 | |
| Diterpenoids | Armillane | 1.24 | 0.72 |
| (R)-3,4-Dihydro-2-methyl-2-(4,8,12-trimethyl-3,7,11-tridecatrienyl)-2H-1-benzopyran-6-ol | 1.17 | 0.33 | |
| Monoterpenoids | Tsugaric acid B | 1.14 | 0.82 |
| Triterpenoids | Ganoderic acid H | 1.11 | 1.26 |
| Phenyl Alcohols | Tyrosol | 1.25 | 0.40 |
© 2020 by the authors. Licensee MDPI, Basel, Switzerland. This article is an open access article distributed under the terms and conditions of the Creative Commons Attribution (CC BY) license (http://creativecommons.org/licenses/by/4.0/).
Share and Cite
Rocchetti, G.; Lucini, L.; Corrado, G.; Colla, G.; Cardarelli, M.; Pascale, S.D.; Rouphael, Y. Phytochemical Profile, Mineral Content, and Bioactive Compounds in Leaves of Seed-Propagated Artichoke Hybrid Cultivars. Molecules 2020, 25, 3795. https://doi.org/10.3390/molecules25173795
Rocchetti G, Lucini L, Corrado G, Colla G, Cardarelli M, Pascale SD, Rouphael Y. Phytochemical Profile, Mineral Content, and Bioactive Compounds in Leaves of Seed-Propagated Artichoke Hybrid Cultivars. Molecules. 2020; 25(17):3795. https://doi.org/10.3390/molecules25173795
Chicago/Turabian StyleRocchetti, Gabriele, Luigi Lucini, Giandomenico Corrado, Giuseppe Colla, Mariateresa Cardarelli, Stefania De Pascale, and Youssef Rouphael. 2020. "Phytochemical Profile, Mineral Content, and Bioactive Compounds in Leaves of Seed-Propagated Artichoke Hybrid Cultivars" Molecules 25, no. 17: 3795. https://doi.org/10.3390/molecules25173795
APA StyleRocchetti, G., Lucini, L., Corrado, G., Colla, G., Cardarelli, M., Pascale, S. D., & Rouphael, Y. (2020). Phytochemical Profile, Mineral Content, and Bioactive Compounds in Leaves of Seed-Propagated Artichoke Hybrid Cultivars. Molecules, 25(17), 3795. https://doi.org/10.3390/molecules25173795

