The Application of Biomass-Based Catalytic Materials in the Synthesis of Cyclic Carbonates from CO2 and Epoxides
Abstract
1. Introduction
2. The Biomass-Based Catalyst Systems for CO2 Conversion
2.1. Biomass/Co-Catalysts Systems
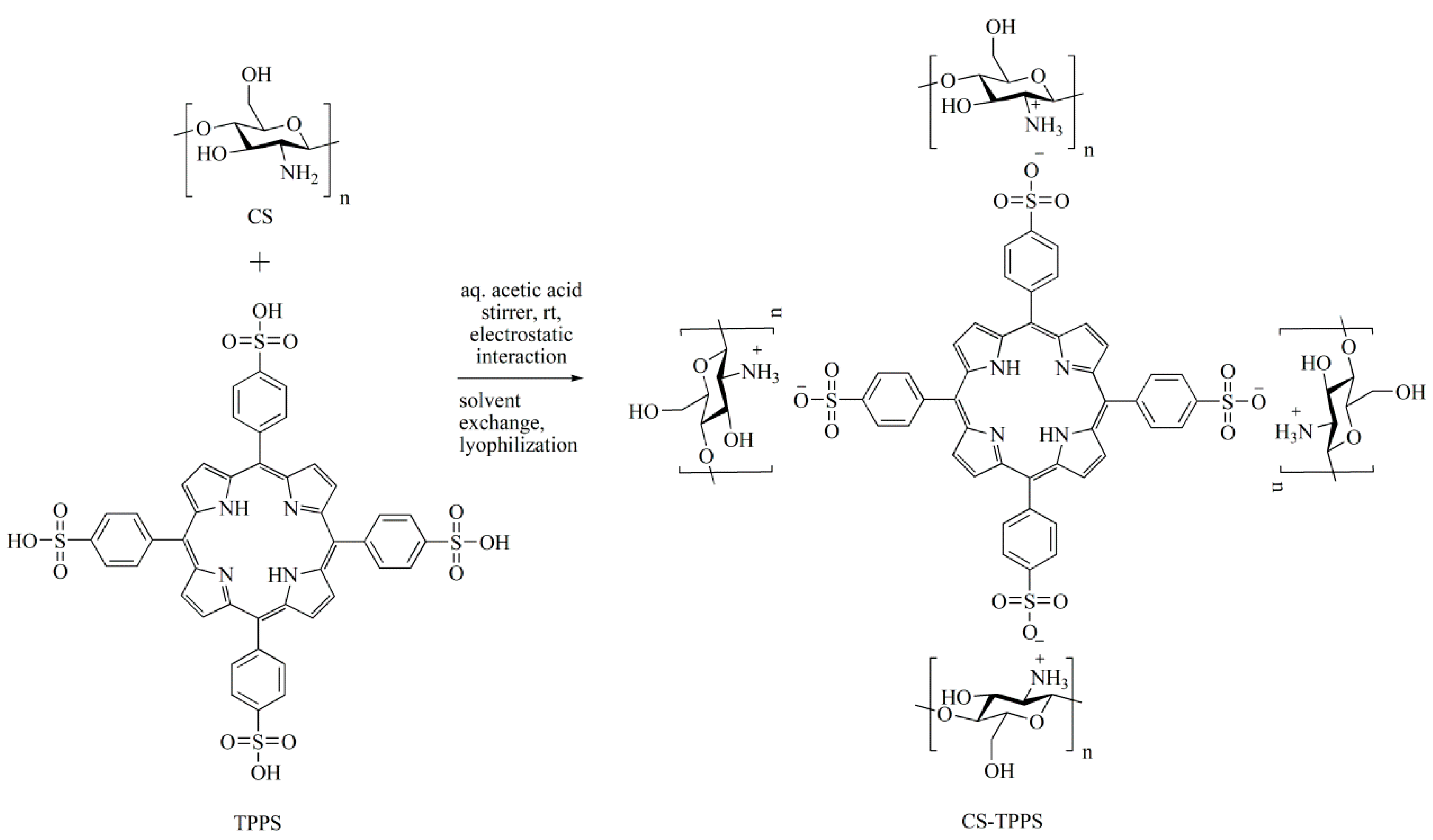
2.2. Functionalized Biomass-Based Catalysts
2.3. Biomass-Derived Porous Carbons Materials
3. Summary and Outlook
Author Contributions
Funding
Acknowledgments
Conflicts of Interest
References
- McDonald, T.M.; Mason, J.A.; Kong, X.; Bloch, E.D.; Gygi, D.; Dani, A.; Crocellà, V.; Giordanino, F.; Odoh, S.O.; Drisdell, W.S.; et al. Cooperative insertion of CO2 in diamine-appended metal-organic frameworks. Nature 2015, 519, 303–308. [Google Scholar] [CrossRef] [PubMed]
- Cao, Y.; Chen, Q.; Shen, C.; He, L. Polyoxometalate-based catalysts for CO2 conversion. Molecules 2019, 24, 2069. [Google Scholar] [CrossRef] [PubMed]
- Zhang, L.; Zhao, Z.-J.; Wang, T.; Gong, J. Nano-designed semiconductors for electro- and photoelectro-catalytic conversion of carbon dioxide. Chem. Soc. Rev. 2018, 47, 5423–5443. [Google Scholar] [CrossRef] [PubMed]
- Olajire, A.A. Recent progress on the nanoparticles-assisted greenhouse carbon dioxide conversion processes. J. CO2 Util. 2018, 24, 522–547. [Google Scholar] [CrossRef]
- Heijkers, S.; Snoeckx, R.; Kozák, T.; Silva, T.; Godfroid, T.; Britun, N.; Snyders, R.; Bogaerts, A. CO2 conversion in a microwave plasma reactor in the presence of N2: Elucidating the role of vibrational levels. J. Phys. Chem. C 2015, 119, 12815–12828. [Google Scholar] [CrossRef]
- Liu, M.; Wang, X.; Jiang, Y.; Sun, J.; Arai, M. Hydrogen bond activation strategy for cyclic carbonates synthesis from epoxides and CO2: Current state-of-the art of catalyst development and reaction analysis. Catal. Rev. 2018, 61, 214–269. [Google Scholar] [CrossRef]
- Yue, S.; Hao, X.-J.; Wang, P.-P.; Li, J. Amino acid-based ionic liquids for CO2 conversion to form cyclic carbonate under solvent-free conditions. Mol. Catal. 2017, 433, 420–429. [Google Scholar] [CrossRef]
- Goodrich, P.; Gunaratne, H.Q.N.; Jacquemin, J.; Jin, L.; Lei, Y.; Seddon, K.R. Sustainable cyclic carbonate production, utilizing carbon dioxide and azolate ionic liquids. ACS Sustain. Chem. Eng. 2017, 5, 5635–5641. [Google Scholar] [CrossRef]
- Xu, B.-H.; Wang, J.-Q.; Sun, J.; Huang, Y.; Zhang, J.-P.; Zhang, X.-P.; Zhang, S.-J. Fixation of CO2 into cyclic carbonates catalyzed by ionic liquids: A multi-scale approach. Green Chem. 2015, 17, 108–122. [Google Scholar] [CrossRef]
- He, Q.; O’Brien, J.W.; Kitselman, K.A.; Tompkins, L.E.; Curtis, G.C.T.; Kerton, F.M. Synthesis of cyclic carbonates from CO2 and epoxides using ionic liquids and related catalysts including choline chloride–metal halide mixtures. Catal. Sci. Technol. 2014, 4, 1513–1528. [Google Scholar] [CrossRef]
- Pradhan, H.C.; Mantri, S.; Routaray, A.; Maharana, T.; Sutar, A.K. Cobalt (II) complex catalyzed polymerization of lactide and coupling of CO2 and styrene oxide into cyclic styrene carbonate. J. Chem. Sci. 2020, 132, 25–31. [Google Scholar] [CrossRef]
- Li, C.-Y.; Su, Y.-C.; Lin, C.-H.; Huang, H.-Y.; Tsai, C.-Y.; Lee, T.-Y.; Ko, B.-T. Synthesis and characterization of trimetallic cobalt, zinc and nickel complexes containing amine-bis(benzotriazole phenolate) ligands: Efficient catalysts for coupling of carbon dioxide with epoxides. Dalton Trans. 2017, 46, 15399–15406. [Google Scholar] [CrossRef] [PubMed]
- Qu, L.; del Rosal, I.; Li, Q.; Wang, Y.; Yuan, D.; Yao, Y.; Maron, L. Efficient CO2 transformation under ambient condition by heterobimetallic rare earth complexes: Experimental and computational evidences of a synergistic effect. J. CO2 Util. 2019, 33, 413–418. [Google Scholar] [CrossRef]
- Adeleye, A.I.; Patel, D.; Niyogi, D.; Saha, B. Efficient and greener synthesis of propylene carbonate from carbon dioxide and propylene oxide. Ind. Eng. Chem. Res. 2014, 53, 18647–18657. [Google Scholar] [CrossRef]
- Yamaguchi, K.; Ebitani, K.; Yoshida, T.; Yoshida, H.; Kaneda, K. Mg-Al mixed oxides as highly active acid−base catalysts for cycloaddition of carbon dioxide to epoxides. J. Am. Chem. Soc. 1999, 121, 4526–4527. [Google Scholar] [CrossRef]
- Srivastava, D.; Rani, P.; Srivastava, R. ZIF-8-Nanocrystalline zirconosilicate integrated porous material for the activation and utilization of CO2 in insertion reactions. Chem. Asian J. 2020, 15, 1132–1139. [Google Scholar] [CrossRef] [PubMed]
- Li, Y.; Zou, B.; Hu, C.; Cao, M. Nitrogen-doped porous carbon nanofiber webs for efficient CO2 capture and conversion. Carbon 2016, 99, 79–89. [Google Scholar] [CrossRef]
- Lan, D.-H.; Wang, H.-T.; Chen, L.; Au, C.-T.; Yin, S.-F. Phosphorous-modified bulk graphitic carbon nitride: Facile preparation and application as an acid-base bifunctional and efficient catalyst for CO2 cycloaddition with epoxides. Carbon 2016, 100, 81–89. [Google Scholar] [CrossRef]
- Wang, J.; Wei Yang, J.G.; Yi, G.; Zhang, Y. Phosphonium salt incorporated hypercrosslinked porous polymers for CO2 capture and conversion. Chem. Commun. 2015, 51, 15708–15711. [Google Scholar] [CrossRef]
- Wang, W.; Li, C.; Yan, L.; Wang, Y.; Jiang, M.; Ding, Y. Ionic liquid/Zn-PPh3 integrated porous organic polymers featuring multifunctional sites: Highly active heterogeneous catalyst for cooperative conversion of CO2 to cyclic Carbonates. ACS Catal. 2016, 6, 6091–6100. [Google Scholar] [CrossRef]
- Cui, C.; Sa, R.; Hong, Z.; Zhong, H.; Wang, R. Ionic-liquid-modified click-based porous organic polymers for controlling capture and catalytic conversion of CO2. ChemSusChem 2020, 13, 180–187. [Google Scholar] [CrossRef] [PubMed]
- Alkordi, M.H.; Weseliński, Ł.J.; D’Elia, V.; Barman, S.; Cadiau, A.; Hedhili, M.N.; Cairns, A.J.; AbdulHalim, R.G.; Basset, J.-M.; Eddaoudi, M. CO2 conversion: The potential of porous-organic polymers (POPs) for catalytic CO2-epoxide insertion. J. Mater. Chem. A 2016, 4, 7453–7460. [Google Scholar] [CrossRef]
- Aguila, B.; Sun, Q.; Wang, X.; O’Rourke, E.; Al-Enizi, A.M.; Nafady, A.; Ma, S. Lower activation energy for catalytic reactions through host-guest cooperation within metal-organic frameworks. Angew. Chem. Int. Ed. 2018, 57, 10107–10111. [Google Scholar] [CrossRef] [PubMed]
- Kathalikkattil, A.C.; Roshan, R.; Tharun, J.; Babu, R.; Jeong, G.-S.; Kim, D.-W.; Cho, S.J.; Park, D.-W. A sustainable protocol for the facile synthesis of zinc-glutamate MOF: An efficient catalyst for room temperature CO2 fixation reactions under wet conditions. Chem. Commun. 2016, 52, 280–283. [Google Scholar] [CrossRef]
- Li, P.-Z.; Wang, X.-J.; Liu, J.; Lim, J.S.; Zou, R.; Zhao, Y. A triazole-containing metal-organic framework as a highly effective and substrate size-dependent catalyst for CO2 conversion. J. Am. Chem. Soc. 2016, 138, 2142–2145. [Google Scholar] [CrossRef]
- Sengupta, M.; Bag, A.; Ghosh, S.; Mondal, P.; Bordoloi, A.; Islam, S.M. CuxOy@COF: An efficient heterogeneous catalyst system for CO2 cycloadditions under ambient conditions. J. CO2 Util. 2019, 34, 533–542. [Google Scholar] [CrossRef]
- Ravi, S.; Puthiaraj, P.; Ahn, W.-S. Hydroxylamine-anchored covalent aromatic polymer for CO2 adsorption and fixation into cyclic carbonates. ACS Sustain. Chem. Eng. 2018, 6, 9324–9332. [Google Scholar] [CrossRef]
- Zhi, Y.; Shao, P.; Feng, X.; Xia, H.; Zhang, Y.; Shi, Z.; Mu, Y.; Liu, X. Covalent organic frameworks: Efficient, metal-free, heterogeneous organocatalysts for chemical fixation of CO2 under mild conditions. J. Mater. Chem. A 2018, 6, 374–382. [Google Scholar] [CrossRef]
- Liang, S.; Liu, H.; Jiang, T.; Song, J.; Yang, G.; Han, B. Highly efficient synthesis of cyclic carbonates from CO2 and epoxides over cellulose/KI. Chem. Commun. 2011, 47, 2131–2133. [Google Scholar] [CrossRef]
- Sun, J.; Wang, J.; Cheng, W.; Zhang, J.; Li, X.; Zhang, S.; She, Y. Chitosan functionalized ionic liquid as a recyclable biopolymer-supported catalyst for cycloaddition of CO2. Green Chem. 2012, 14, 654–660. [Google Scholar] [CrossRef]
- Guo, L.; Dou, R.; Wu, Y.; Zhang, R.; Wang, L.; Wang, Y.; Gong, Z.; Chen, J.; Wu, X. From lignin waste to efficient catalyst: Illuminating the impact of lignin structure on catalytic activity of cycloaddition reaction. ACS Sustain. Chem. Eng. 2019, 7, 16585–16594. [Google Scholar] [CrossRef]
- Borjian Boroujeni, M.; Laeini, M.S.; Nazeri, M.T.; Shaabani, A. A novel and green in situ strategy for the synthesis of metallophthalocyanines on chitosan and investigation their catalytic activity in the CO2 fixation. Catal. Lett. 2019, 7, 16585–16594. [Google Scholar] [CrossRef]
- Alves, M.; Grignard, B.; Mereau, R.; Jerome, C.; Tassaing, T.; Detrembleur, C. Organocatalyzed coupling of carbon dioxide with epoxides for the synthesis of cyclic carbonates: Catalyst design and mechanistic studies. Catal. Sci. Technol. 2017, 7, 2651–2684. [Google Scholar] [CrossRef]
- Castro-Gómez, F.; Salassa, G.; Kleij, A.W.; Bo, C. A DFT study on the mechanism of the cycloaddition reaction of CO2 to epoxides catalyzed by Zn(Salphen) complexes. Chem.-A Eur. J. 2013, 19, 6289–6298. [Google Scholar] [CrossRef] [PubMed]
- Sun, H.; Zhang, D. Density functional theory study on the cycloaddition of carbon dioxide with propylene oxide catalyzed by alkylmethylimidazolium chlorine ionic liquids. J. Phys. Chem. A 2007, 111, 8036–8043. [Google Scholar] [CrossRef]
- Gao, X.; Liu, M.; Lan, J.; Liang, L.; Zhang, X.; Sun, J. Lewis acid-base bifunctional crystals with a three-dimensional framework for selective coupling of CO2 and epoxides under mild and solvent-free conditions. Cryst. Growth Des. 2017, 17, 51–57. [Google Scholar] [CrossRef]
- He, J.; Wu, T.; Zhang, Z.; Ding, K.; Han, B.; Xie, Y.; Jiang, T.; Liu, Z. Cycloaddition of CO2 to epoxides catalyzed by polyaniline salts. Chem.-A Eur. J. 2007, 13, 6992–6997. [Google Scholar] [CrossRef]
- Wang, H.; Ben, H.; Ruan, H.; Zhang, L.; Pu, Y.; Feng, M.; Ragauskas, A.J.; Yang, B. Effects of lignin structure on hydrodeoxygenation reactivity of pine wood lignin to valuable chemicals. ACS Sustain. Chem. Eng. 2017, 5, 1824–1830. [Google Scholar] [CrossRef]
- Chen, S.; Pudukudy, M.; Yue, Z.; Zhang, H.; Zhi, Y.; Ni, Y.; Shan, S.; Jia, Q. Nonmetal schiff-base complex-anchored cellulose as a novel and reusable catalyst for the solvent-free ring-opening addition of CO2 with epoxides. Ind. Eng. Chem. Res. 2019, 58, 17255–17265. [Google Scholar] [CrossRef]
- Taheri, M.; Ghiaci, M.; Shchukarev, A. Cross-linked chitosan with a dicationic ionic liquid as a recyclable biopolymer-supported catalyst for cycloaddition of carbon dioxide with epoxides into cyclic carbonates. New J. Chem. 2018, 42, 587–597. [Google Scholar] [CrossRef]
- Vidal, J.L.; Andrea, V.P.; MacQuarrie, S.L.; Kerton, F.M. Oxidized biochar as a simple, renewable catalyst for the production of cyclic carbonates from carbon dioxide and epoxides. ChemCatChem 2019, 11, 4089–4095. [Google Scholar] [CrossRef]
- Zhou, L.; Liu, Y.; He, Z.; Luo, Y.; Zhou, F.; Yu, E.; Hou, Z.; Wumanjiang, E. Pentaerythritol and KI: An efficient catalytic system for the conversion from CO2 and epoxides to cyclic carbonates. J. Chem. Res. 2013, 37, 102–104. [Google Scholar] [CrossRef]
- Wilhelm, M.E.; Anthofer, M.H.; Cokoja, M.; Markovits, I.I.E.; Herrmann, W.A.; Kühn, F.E. Cycloaddition of carbon dioxide and epoxides using pentaerythritol and halides as dual catalyst system. ChemSusChem 2014, 7, 1357–1360. [Google Scholar] [CrossRef]
- Wang, J.-Q.; Sun, J.; Cheng, W.-G.; Dong, K.; Zhang, X.-P.; Zhang, S.-J. Experimental and theoretical studies on hydrogen bond-promoted fixation of carbon dioxide and epoxides in cyclic carbonates. Phys. Chem. Chem. Phys. 2012, 14, 11021–11026. [Google Scholar] [CrossRef] [PubMed]
- Whiteoak, C.J.; Nova, A.; Maseras, F.; Kleij, A.W. Merging Sustainability with Organocatalysis in the Formation of Organic Carbonates by Using CO2 as a Feedstock. ChemSusChem 2012, 5, 2032–2038. [Google Scholar] [CrossRef]
- Tharun, J.; Mathai, G.; Kathalikkattil, A.C.; Roshan, R.; Kwak, J.-Y.; Park, D.-W. Microwave-assisted synthesis of cyclic carbonates by a formic acid/KI catalytic system. Green Chem. 2013, 15, 1673–1677. [Google Scholar] [CrossRef]
- Roshan, K.R.; Kathalikkattil, A.C.; Tharun, J.; Kim, D.W.; Won, Y.S.; Park, D.W. Amino acid/KI as multi-functional synergistic catalysts for cyclic carbonate synthesis from CO2 under mild reaction conditions: A DFT corroborated study. Dalton Trans. 2014, 43, 2023–2031. [Google Scholar] [CrossRef]
- Yang, Z.; Jian, S.; Cheng, W.; Wang, J.; Zhang, S. Biocompatible and recyclable amino acid binary catalyst for efficient chemical fixation of CO2. Catal. Commun. 2014, 44, 6–9. [Google Scholar] [CrossRef]
- Klein, R.A. Hydrogen bonding in diols and binary diol-water systems investigated using DFT methods. II. Calculated infrared OH-stretch frequencies, force constants, and NMR chemical shifts correlate with hydrogen bond geometry and electron density topology. A reevaluation of geometrical criteria for hydrogen bonding. J. Comput. Chem. 2003, 24, 1120–1131. [Google Scholar] [CrossRef]
- Wall, F.T.; Claussen, W.F. Infrared absorption studies of some glycols and ethoxyalcohols. J. Am. Chem. Soc. 1939, 61, 2679–2683. [Google Scholar] [CrossRef]
- Sun, J.; Cheng, W.; Yang, Z.; Wang, J.; Xu, T.; Xin, J.; Zhang, S. Superbase/cellulose: An environmentally benign catalyst for chemical fixation of carbon dioxide into cyclic carbonates. Green Chem. 2014, 16, 3071–3078. [Google Scholar] [CrossRef]
- Heldebrant, D.J.; Yonker, C.R.; Jessop, P.G.; Phan, L. Organic liquid CO2 capture agents with high gravimetric CO2 capacity. Energy Environ. Sci. 2008, 1, 487–493. [Google Scholar] [CrossRef]
- Roshan, K.R.; Mathai, G.; Kim, J.; Tharun, J.; Park, G.A.; Park, D.W. A biopolymer mediated efficient synthesis of cyclic carbonates from epoxides and carbon dioxide. Green Chem. 2012, 14, 2933–2940. [Google Scholar] [CrossRef]
- Wu, X.; Wang, M.; Xie, Y.; Chen, C.; Li, K.; Yuan, M.; Zhao, X.; Hou, Z. Carboxymethyl cellulose supported ionic liquid as a heterogeneous catalyst for the cycloaddition of CO2 to cyclic carbonate. Appl. Catal. A Gen. 2016, 519, 146–154. [Google Scholar] [CrossRef]
- Wu, Z.; Xie, H.; Yu, X.; Liu, E. Lignin-based green catalyst for the chemical fixation of carbon dioxide with epoxides to form cyclic carbonates under solvent-free conditions. ChemCatChem 2013, 5, 1328–1333. [Google Scholar] [CrossRef]
- Kumar, M.N.V.R.; Muzzarelli, R.A.A.; Muzzarelli, C.; Sashiwa, H.; Domb, A.J. Chitosan chemistry and pharmaceutical perspectives. Chem. Rev. 2004, 104, 6017–6084. [Google Scholar] [CrossRef]
- Roshan, K.R.; Jose, T.; Kathalikkattil, A.C.; Kim, D.W.; Kim, B.; Park, D.W. Microwave synthesized quaternized celluloses for cyclic carbonate synthesis from carbon dioxide and epoxides. Appl. Catal. A Gen. 2013, 467, 17–25. [Google Scholar] [CrossRef]
- Rodrigues, D.M.; Hunter, L.G.; Bernard, F.L.; Rojas, M.F.; Dalla Vecchia, F.; Einloft, S. Harnessing CO2 into carbonates using heterogeneous waste derivative cellulose-based poly(ionic liquids) as catalysts. Catal. Lett. 2019, 149, 733–743. [Google Scholar] [CrossRef]
- Zhao, Y.; Tian, H.-S.; Qi, X.-H.; Han, Z.-N.; Zhuang, Y.-Y.; He, L.-N. Quaternary ammonium salt-functionalized chitosan: An easily recyclable catalyst for efficient synthesis of cyclic carbonates from epoxides and carbon dioxide. J. Mol. Catal. A-Chem. 2007, 271, 284–289. [Google Scholar] [CrossRef]
- Tharun, J.; Hwang, Y.; Roshan, R.; Ahn, S.; Kathalikkattil, A.C.; Park, D.-W. A novel approach of utilizing quaternized chitosan as a catalyst for the eco-friendly cycloaddition of epoxides with CO2. Catal. Sci. Technol. 2012, 2, 1674–1680. [Google Scholar] [CrossRef]
- Tharun, J.; Kim, D.W.; Roshan, R.; Hwang, Y.; Park, D.-W. Microwave assisted preparation of quaternized chitosan catalyst for the cycloaddition of CO2 and epoxides. Catal. Commun. 2013, 31, 62–65. [Google Scholar] [CrossRef]
- Chen, J.-X.; Jin, B.; Dai, W.-L.; Deng, S.-L.; Cao, L.-R.; Cao, Z.-J.; Luo, S.-L.; Luo, X.-B.; Tu, X.-M.; Au, C.-T. Catalytic fixation of CO2 to cyclic carbonates over biopolymer chitosan-grafted quarternary phosphonium ionic liquid as a recylable catalyst. Appl. Catal. A-Gen. 2014, 484, 26–32. [Google Scholar] [CrossRef]
- Besse, V.; Illy, N.; David, G.; Caillol, S.; Boutevin, B. A chitosan derivative containing both carboxylic acid and quaternary ammonium moieties for the synthesis of cyclic carbonates. ChemSusChem 2016, 9, 2167–2173. [Google Scholar] [CrossRef] [PubMed]
- Kumar, S.; e Silva, J.D.A.; Wani, M.Y.; Gil, J.M.; Sobral, A.J. Carbon dioxide capture and conversion by an environmentally friendly chitosan based meso-tetrakis(4-sulfonatophenyl) porphyrin. Carbohydr. Polym. 2017, 175, 575–583. [Google Scholar] [CrossRef] [PubMed]
- Chen, Y.; Mu, T. Conversion of CO2 to value-added products mediated by ionic liquids. Green Chem. 2019, 21, 2544–2574. [Google Scholar] [CrossRef]
- Wei-Li, D.; Bi, J.; Sheng-Lian, L.; Xu-Biao, L.; Xin-Man, T.; Chak-Tong, A. Functionalized phosphonium-based ionic liquids as efficient catalysts for the synthesis of cyclic carbonate from expoxides and carbon dioxide. Appl. Catal. A Gen. 2014, 470, 183–188. [Google Scholar] [CrossRef]
- Ding, M.; Flaig, R.W.; Jiang, H.-L.; Yaghi, O.M. Carbon capture and conversion using metal–organic frameworks and MOF-based materials. Chem. Soc. Rev. 2019, 48, 2783–2828. [Google Scholar] [CrossRef]
- Ren, X.; Li, H.; Chen, J.; Wei, L.; Modak, A.; Yang, H.; Yang, Q. N-doped porous carbons with exceptionally high CO2 selectivity for CO2 capture. Carbon 2017, 114, 473–481. [Google Scholar] [CrossRef]
- Chen, J.; Yang, J.; Hu, G.; Hu, X.; Li, Z.; Shen, S.; Radosz, M.; Fan, M. Enhanced CO2 capture Capacity of nitrogen-doped biomass-derived porous carbons. ACS Sustain. Chem. Eng. 2016, 4, 1439–1445. [Google Scholar] [CrossRef]
- Ma, X.; Zou, B.; Cao, M.; Chen, S.-L.; Hu, C. Nitrogen-doped porous carbon monolith as a highly efficient catalyst for CO2 conversion. J. Mater. Chem. A 2014, 2, 18360–18366. [Google Scholar] [CrossRef]
- Yang, X.-Y.; Chen, L.-H.; Li, Y.; Rooke, J.C.; Sanchez, C.; Su, B.-L. Hierarchically porous materials: Synthesis strategies and structure design. Chem. Soc. Rev. 2017, 46, 481–558. [Google Scholar] [CrossRef] [PubMed]
- Molla, R.A.; Iqubal, A.; Ghosh, K.; Islam, M. Nitrogen-doped mesoporous carbon material (N-GMC) as a highly efficient catalyst for carbon dioxide fixation reaction with epoxides under metal-free condition. ChemistrySelect 2016, 1, 3100–3107. [Google Scholar] [CrossRef]
- Samikannu, A.; Konwar, L.J.; Mäki-Arvela, P.; Mikkola, J.-P. Renewable N-doped active carbons as efficient catalysts for direct synthesis of cyclic carbonates from epoxides and CO2. Appl. Catal. B Environ. 2019, 241, 41–51. [Google Scholar] [CrossRef]
- Kong, W.; Liu, J. Nitrogen-decorated, porous carbons derived from waste cow manure as efficient catalysts for the selective capture and conversion of CO2. RSC Adv. 2019, 9, 4925–4931. [Google Scholar] [CrossRef]
- Zhan, Y.; Han, Q.; Pan, S.; Kan, X.; Mi, J.; Liu, F.; Cao, Y.; Au, C.; Jiang, L. Biomass-derived hierarchically porous carbons abundantly decorated with nitrogen sites for efficient CO2 catalytic utilization. Ind. Eng. Chem. Res. 2019, 58, 7980–7988. [Google Scholar] [CrossRef]
Sample Availability: Not available. |





















| Entry | Catalyst | Co-Catalyst | Reaction Conditions | Yield/% (Conv./%) | TON a | TOF (h−1) a | Ref. |
|---|---|---|---|---|---|---|---|
| 1 | Pentaerythritol | KI | 20.0 mmol PO, 130 °C, 25 bar, 2 h PO:KI 50:1 | 98.8 | 49 | 25 | [42] |
| 2 | Pentaerythritol | nBu4NI | 10.0 mmol PO, 100 °C, 4 bar, 16 h PO:nBu4NI 20:1 | 96 | 19 | 1.2 | [43] |
| 3 | Phenol | nBu4NBr | 14.3 mmol PO, 100 °C, 30 bar, 0.5 h PO:nBu4NBr 100:1 | 39(95) | 39 | 78 | [44] |
| 4 | 1,2-benzenediol | nBu4NBr | 14.3 mmol PO, 115 °C, 30 bar, 1 h PO:nBu4NBr 100:1 | 90(92) | 90 | 90 | [44] |
| 5 | Pyrogallol | nBu4NI | 17.0 mmol PO, 25 °C, 10 bar, 18 h PO:nBu4NBr 50:1 | 96 | 48 | 2.7 | [45] |
| 6 | Formic acid | KI | 18.6 mmol AGE, microware power 200 W, 9.6 bar, 0.25 h AGE:KI 62:1 | 93(94) | 58 | 232 | [46] |
| 7 | Histidine | KI | 42.8 mmol PO, 120 °C, 10 bar, 3 h PO:KI 535:1 | 98(99) | 524 | 175 | [47] |
| 8 | Lysine | KI | 42.8 mmol PO, 120 °C, 10 bar, 3 h PO:KI 535:1 | 81(82) | 433 | 144 | [47] |
| 9 | L-tryptophan | KI | 20.0 mmol PO, 120 °C, 20 bar, 1 h PO:KI 100:1 | 99(99) | 99 | 99 | [48] |
| Entry | Catalyst | Co-Catalyst | Reaction Conditions | Yield/% (Conv./%) | TON a | TOF (h−1) a | Ref. |
|---|---|---|---|---|---|---|---|
| 1 | Cellulose | KI | 20.0 mmol PO, 110 °C, 20 bar, 2 h PO:KI 50:1 | 99 | 50 | 25 | [29] |
| 2 | Cellulose | DBU | 14.3 mmol PO, 120 °C, 20 bar, 2 h PO:DBU 10:1 | 92(93) | 9 | 4.5 | [51] |
| 3 | CMC | IL-4-I | 42.8 mmol PO, 110 °C, 20 bar, 2 h PO:IL-4-I 83:1 | 98(99) | 82 | 41 | [53] |
| 4 | HCMC | HNimCl-NbCl5 | 10.0 mmol PO, 130 °C, 15 bar, 3 h PO:HNimCl-NbCl5 200:1 | 96.4(98.1) | 193 | 64 | [54] |
| 5 | Cellulose | EMImBr | 28.6 mmol PO, 120 °C, 20 bar, 2 h PO:EMImBr 100:1 | 75 | 75 | 38 | [30] |
| 6 | CS | EMImBr | 28.6 mmol PO, 120 °C, 20 bar, 2 h PO:EMImBr 100:1 | 80 | 80 | 40 | [30] |
| 7 | EHL | KI | 10.0 mmol PO, 140 °C, 20 bar, 12 h PO:KI 50:1 | 93 | 23 | 2 | [55] |
| 8 | SL | KI | 30.0 mmol PO, 80 °C, 10 bar, 10 h PO:KI 303:1 | 91 | 272 | 27 | [31] |
| Entry | Catalyst | Co-Catalyst | Reaction Conditions | Yield/% (Conv./%) | TON a | TOF (h−1) a | Ref. |
|---|---|---|---|---|---|---|---|
| 1 | en-Cell | KI | 42.8 mmol PO, 130 °C, 12 bar, 3 h PO:KI 50:1 | 69 | 165 | 55 | [57] |
| 2 | mQC-1,I | -- | 42.8 mmol PO, 130 °C, 12 bar, 3 h | 97(98) | 242 | 81 | [57] |
| 3 | CPIL-TBP | -- | 100 mmol PO, 110 °C, 40 bar, 6 h | 53.2 | 27 | 4.5 | [58] |
| 4 | CPIL-TBP | ZnBr2 | 100 mmol PO, 110 °C, 40 bar, 6 h PO:ZnBr2 160:1 | 71.3 | 114 | 19 | [58] |
| 5 | Cell-H2L | nBu4NBr | 142.9 mmol PO, 100 °C, 30 bar, 6 h PO:nBu4NBr 510:1 | 99 | 505 | 84 | [39] |
| 6 | CS-N+Me3Cl− | -- | 57.2 mmol PO, 100 °C, 40 bar, 6 h | 98 | 58 | 10 | [59] |
| 7 | CS-EMImBr | -- | 14.3 mmol PO, 120 °C, 20 bar, 4 h | 96(96) | 96 | 24 | [30] |
| 8 | QCHT | -- | 18.6 mmol PO, 120 °C, 11.7 bar, 6 h | 86(87) | -- | -- | [60] |
| 9 | QMMI | -- | 18.6 mmol PO, 120 °C, 11.7 bar, 6 h | 89 | 57 | 9.5 | [61] |
| 10 | CS-[BuPh3P]Br | 35.7 mmol PO, 120 °C, 25 bar, 4 h | 96.3 | 64 | 16 | [62] | |
| 11 | CBCN | KI | 32.2 mmol PO, 80 °C, 7 bar, 4 h PO:KI 258:1 | 89 | 229 | 57 | [63] |
| 12 | CS-TPPS | nBu4NI | 50 mmol PO, 75 °C, 10 bar, 6 h PO:nBu4NI 167:1 | 66 | 110 | 18 | [64] |
| 13 | Ch-ILBr | -- | 8.73 mmol PO, 120 °C, 20 bar, 5 h | 99(99) | 322 | 64 | [40] |
| 14 | CuPc@CS | nBu4NBr | 3.00 mmol SO, 80 °C, 1 bar, 4 h PO:nBu4NBr 100:1 | 95 | 95 | 24 | [32] |
| Entry | Catalyst | Co-Catalyst | Reaction Conditions | Yield/% (Conv./%) | TON a | TOF (h−1) a | Ref. |
|---|---|---|---|---|---|---|---|
| 1 | AA-950 | -- | 20 mmol EHL, 150 °C, 40 bar, 16 h | 84.3 | 28228 | 1768 | [70] |
| 2 | N-GMC | nBu4NBr | 10 mmol SO, 80 °C, 10 bar, 15 h SO:nBu4NBr 10:1 | 98 | 9.8 | 0.6 | [72] |
| 3 | CA500 | -- | 20 mmol EHL, 150 °C, 15 bar, 5 h | 97 | 3590 | 718 | [73] |
| 4 | JA500 | -- | 20 mmol EHL, 150 °C, 15 bar, 5 h | 72 | 491.5 | 98.3 | [73] |
| 5 | MA500 | -- | 20 mmol EHL, 150 °C, 15 bar, 5 h | 88 | 3400 | 680 | [73] |
| 6 | Co/CMC-A-1 | nBu4NBr | 20 mmol PO, 100 °C, 5 bar, 1.5 h PO:nBu4NBr 14:1 | 95 | 1052 | 701 | [74] |
| 7 | Co/CMC-A-2 | nBu4NBr | 20 mmol PO, 100 °C, 5 bar, 1.5 h PO:nBu4NBr 14:1 | 95 | 1043 | 695 | [74] |
| 8 | Co@N-HPC-40 | nBu4NBr | 20 mmol PO, 100 °C, 10 bar, 1.5 h PO:nBu4NBr 14:1 | 99.5 | 1037 | 691 | [75] |
| 9 | Zn@N-HPC-40 | nBu4NBr | 20 mmol PO, 100 °C, 10 bar, 1.5 h PO:nBu4NBr 14:1 | 99.2 | 1120 | 747 | [75] |
© 2020 by the authors. Licensee MDPI, Basel, Switzerland. This article is an open access article distributed under the terms and conditions of the Creative Commons Attribution (CC BY) license (http://creativecommons.org/licenses/by/4.0/).
Share and Cite
Guo, L.; Zhang, R.; Xiong, Y.; Chang, D.; Zhao, H.; Zhang, W.; Zheng, W.; Chen, J.; Wu, X. The Application of Biomass-Based Catalytic Materials in the Synthesis of Cyclic Carbonates from CO2 and Epoxides. Molecules 2020, 25, 3627. https://doi.org/10.3390/molecules25163627
Guo L, Zhang R, Xiong Y, Chang D, Zhao H, Zhang W, Zheng W, Chen J, Wu X. The Application of Biomass-Based Catalytic Materials in the Synthesis of Cyclic Carbonates from CO2 and Epoxides. Molecules. 2020; 25(16):3627. https://doi.org/10.3390/molecules25163627
Chicago/Turabian StyleGuo, Li, Ran Zhang, Yuge Xiong, Dandan Chang, Haoran Zhao, Wenbo Zhang, Wei Zheng, Jialing Chen, and Xiaoqin Wu. 2020. "The Application of Biomass-Based Catalytic Materials in the Synthesis of Cyclic Carbonates from CO2 and Epoxides" Molecules 25, no. 16: 3627. https://doi.org/10.3390/molecules25163627
APA StyleGuo, L., Zhang, R., Xiong, Y., Chang, D., Zhao, H., Zhang, W., Zheng, W., Chen, J., & Wu, X. (2020). The Application of Biomass-Based Catalytic Materials in the Synthesis of Cyclic Carbonates from CO2 and Epoxides. Molecules, 25(16), 3627. https://doi.org/10.3390/molecules25163627

