Nanocomposites of Au/Disentangled UHMWPE: A Combined Optical and Structural Study
Abstract
1. Introduction
2. Results and Discussion
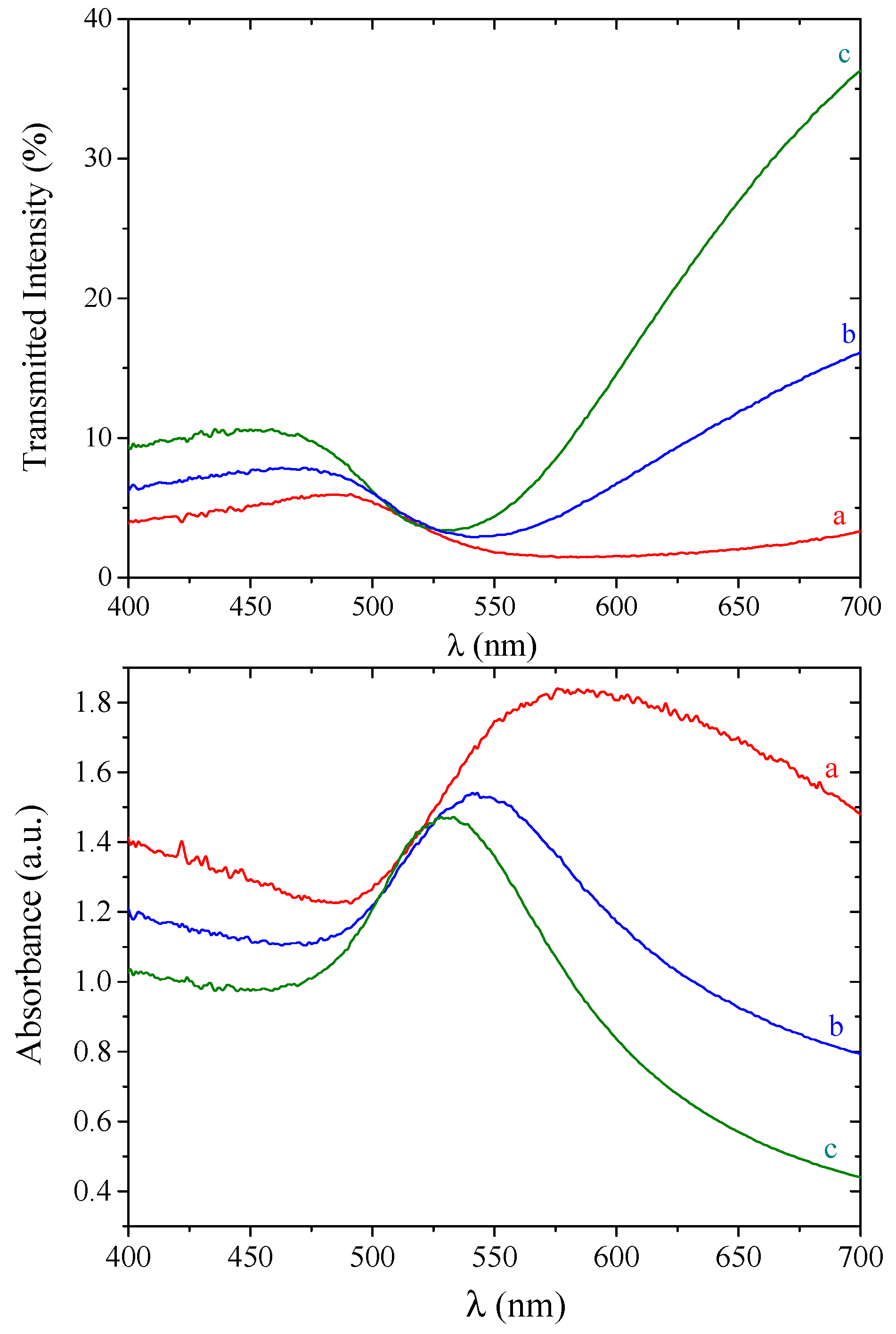
2.1. Morphology and Optical Properties
2.2. Raman Shift
2.3. Wide-Angle X-ray Scattering
2.4. Small-Angle X-ray Scattering
3. Materials and Methods
3.1. Materials
3.2. Specimen Manufacturing
3.3. Materials Characterization
3.3.1. Scanning Electron Microscopy
3.3.2. Polarized Light Microscopy
3.3.3. Vis/NIR Spectrophotometer
3.3.4. Raman Spectroscopy
3.3.5. SAXS/WAXS Analysis
4. Conclusions
Author Contributions
Funding
Acknowledgments
Conflicts of Interest
References
- Pawlak, A. The Entanglements of Macromolecules and Their Influence on the Properties of Polymers. Macromol. Chem. Phys. 2019, 220, 1900043. [Google Scholar] [CrossRef]
- Huang, Y.F.; Xu, J.Z.; Zhang, Z.C.; Xu, L.; Li, L.B.; Li, J.F.; Li, Z.M. Melt processing and structural manipulation of highly linear disentangled ultrahigh molecular weight polyethylene. Chem. Eng. J. 2017, 315, 132–141. [Google Scholar] [CrossRef]
- Krajenta, J.; Pawlak, A.; Galeski, A. Deformation of disentangled polypropylene crystalline grains into nanofibers. J. Polym. Sci. Part. B Polym. Phys. 2016, 54, 1983–1994. [Google Scholar] [CrossRef]
- Pawlak, A.; Krajenta, J.; Galeski, A. The crystallization of polypropylene with reduced density of entanglements. J. Polym. Sci. Part. B Polym. Phys. 2017, 55, 748–756. [Google Scholar] [CrossRef]
- Rastogi, S.; Lippits, D.R.; Peters, G.W.M.; Graf, R.; Yao, Y.; Spiess, H.W. Heterogeneity in polymer melts from melting of polymer crystals. Nat. Mater. 2005, 4, 635–641. [Google Scholar] [CrossRef]
- Li, W.; Guan, C.; Xu, J.; Mu, J.; Gong, D.; Chen, Z.; Zhou, Q. Disentangled UHMWPE/POSS nanocomposites prepared by ethylene in situ polymerization. Polymer 2014, 55, 1792–1798. [Google Scholar] [CrossRef]
- Pawlak, A.; Krajenta, J.; Galeski, A. Cavitation phenomenon and mechanical properties of partially disentangled polypropylene. Polymer 2018, 151, 15–26. [Google Scholar] [CrossRef]
- Kelly, J.M. Ultra-High Molecular Weight Polyethylene. J. Macromol. Sci. Part. C Polym. Rev. 2002, 42, 355–371. [Google Scholar] [CrossRef]
- Ronca, S.; Forte, G.; Tjaden, H.; Yao, Y.; Rastogi, S. Tailoring molecular structure via nanoparticles for solvent-free processing of ultra-high molecular weight polyethylene composites. Polymer 2012, 53, 2897–2907. [Google Scholar] [CrossRef]
- Muñoz-Escalona, A.; Hernandez, J.G.; Gallardo, J.A. Catalytic activity and control of the nascent morphology of polyethylenes obtained with first and second generation of Ziegler–Natta catalysts. J. Appl. Polym. Sci. 1984, 29, 1187–1202. [Google Scholar] [CrossRef]
- Gibson, V.C.; Spitzmesser, S.K. Advances in non-metallocene olefin polymerization catalysis. Chem. Rev. 2003, 103, 283–315. [Google Scholar] [CrossRef]
- Romano, D.; Andablo-Reyes, E.; Ronca, S.; Rastogi, S. Aluminoxane co-catalysts for the activation of a bis phenoxyimine titanium (IV) catalyst in the synthesis of disentangled ultra-high molecular weight polyethylene. Polymer 2015, 74, 76–85. [Google Scholar] [CrossRef]
- Liu, K.; de Boer, E.L.; Yao, Y.; Romano, D.; Ronca, S.; Rastogi, S. Heterogeneous distribution of entanglements in a nonequilibrium polymer melt of UHMWPE: Influence on crystallization without and with graphene oxide. Macromolecules 2016, 49, 7497–7509. [Google Scholar] [CrossRef]
- Drakopoulos, S.X.; Psarras, G.C.; Forte, G.; Martin-Fabiani, I.; Ronca, S. Entanglement dynamics in ultra-high molecular weight polyethylene as revealed by dielectric spectroscopy. Polymer 2018, 150, 35–43. [Google Scholar] [CrossRef]
- Drakopoulos, S.X.; Forte, G.; Ronca, S. Relaxation dynamics in disentangled Ultrahigh molecular weight polyethylene via torsional rheology. Ind. Eng. Chem. Res. 2020, 59, 4515–4523. [Google Scholar] [CrossRef]
- Zachariades, A.E.; Mead, W.T.; Porter, R.S. Recent Developments in Ultraorientation of polyethylene by solid state extrusion. Chem. Rev. 1980, 80, 351–364. [Google Scholar] [CrossRef]
- Smith, P.; Lemstra, P.J. Ultra-high-strength polyethylene filaments by solution spinning/drawing. J. Mater. Sci. 1980, 15, 505–514. [Google Scholar] [CrossRef]
- Smith, P.; Lemstra, P.J. Ultra-drawing of high molecular weight polyethylene cast from solution. Colloid Polym Sci 1981, 258, 891–894. [Google Scholar] [CrossRef]
- Zachariades, A.E.; Griswold, P.D.; Porter, R.S. Ultradrawing of Thermoplastics by Solid State Coextrusion Illustrated with High Density Polyethylene. Polym. Eng. Sci. 1979, 19, 441–449. [Google Scholar] [CrossRef]
- Shimada, T.; Zachariades, A.E.; Watts, M.P.C.; Porter, R.S. Push-Pull extrusion: A new approach to solid state deformation. J. Appl. Polym. Sci. 1981, 26, 1309–1326. [Google Scholar] [CrossRef]
- Rastogi, S.; Yao, Y.; Ronca, S.; Bos, J.; van der Eem, J. Unprecedented high-modulus high-strength tapes and films of ultrahigh molecular weight polyethylene via solvent-free route. Macromolecules 2011, 44, 5558–5568. [Google Scholar] [CrossRef]
- Zachariades, A.E. The preparation of multiaxially oriented polyethylene morphologies with high mechancial properties in planar directions. J. Appl. Polym. Sci. 1984, 29, 867–875. [Google Scholar] [CrossRef]
- Griswold, P.D.; Zachariades, A.E.; Porte, R.S. Solid state coextrusion: A new technique for ultradrawing thermoplastics illustrated with high density polyethylene. Polym. Eng. Sci. 1978, 18, 861–863. [Google Scholar] [CrossRef]
- Watts, M.P.C.; Zachariades, A.E.; Porter, R.S. Shrinkage as a measure of the deformation efficiency of ultra-oriented high density polyethylene. J. Mater. Sci. 1980, 15, 426–430. [Google Scholar] [CrossRef]
- Shen, S.; Henry, A.; Tong, J.; Zheng, R.; Chen, G. Polyethylene nanofibres with very high thermal conductivities. Nat. Nanotechnol. 2010, 5, 251–255. [Google Scholar] [CrossRef] [PubMed]
- Ronca, S.; Igarashi, T.; Forte, G.; Rastogi, S. Metallic-like thermal conductivity in a lightweight insulator: Solid-state processed Ultra High Molecular Weight Polyethylene tapes and films. Polymer 2017, 123, 203–210. [Google Scholar] [CrossRef]
- Robbins, A.B.; Drakopoulos, S.X.; Martin-Fabiani, I.; Ronca, S.; Minnich, A.J. Ballistic thermal phonons traversing nanocrystalline domains in oriented polyethylene. Proc. Natl. Acad. Sci. USA 2019, 116, 17163–17168. [Google Scholar] [CrossRef]
- Dirix, Y.; Bastiaansen, C.; Caseri, W.; Smith, P. Preparation, structure and properties of uniaxially oriented polyethylene-silver nanocomposites. J. Mater. Sci. 1999, 34, 3859–3866. [Google Scholar] [CrossRef]
- Heffels, W.; Bastiaansen, C.; Caseri, W.; Smith, P.; Heffels, W.; Bastiaansen, C.; Caseri, W.; Smith, P. Oriented Nanocomposites of Ultrahigh-Molecular-Weight Polyethylene and Gold. Mol. Cryst. Liq. Cryst. Sci. Technol. Sect. A. Mol. Cryst. Liq. Cryst. 2000, 353, 191–201. [Google Scholar] [CrossRef]
- Weder, C.; Sarwa, C.; Bastiaansen, C.; Smith, P. Highly polarized luminescence from oriented conjugated polymer/polyethylene blend films. Adv. Mater. 1997, 9, 1035–1039. [Google Scholar] [CrossRef]
- Bastiaansen, C.; Schmidt, H.W.; Nishino, T.; Smith, P. Transparency and dichroism of ultra-drawn UHMW-PE films in the visible wavelength range. Polymer 1993, 34, 3951–3954. [Google Scholar] [CrossRef][Green Version]
- Dirix, Y.; Bastiaansen, C.; Caseri, W.; Smith, P. Oriented pearl-necklace arrays of metallic nanoparticles in polymers: A new route toward polarization-dependent color filters. Adv. Mater. 1999, 11, 223–227. [Google Scholar] [CrossRef]
- Dirix, Y.; Darribe, C.; Heffels, W.; Bastiaansen, C.; Caseri, W. Optically anisotropic polyethylene–gold nanocomposites. Appl. Opt. 1999, 38, 6581–6586. [Google Scholar] [CrossRef]
- Martín-Fabiani, I.; Koh, M.L.; Dalmas, F.; Elidottir, K.L.; Hinder, S.J.; Jurewicz, I.; Lansalot, M.; Bourgeat-Lami, E.; Keddie, J.L. Design of waterborne nanoceria/polymer nanocomposite uv-absorbing coatings: pickering versus blended particles. ACS Appl. Nano Mater. 2018, 1, 3956–3968. [Google Scholar] [CrossRef]
- Norman, T.J.; Grant, C.D.; Magana, D.; Zhang, J.Z.; Liu, J.; Cao, D.; Bridges, F.; van Buuren, A. Near infrared optical absorption of gold nanoparticle aggregates. J. Phys. Chem. B 2002, 106, 7005–7012. [Google Scholar] [CrossRef]
- Hu, M.; Chen, J.; Li, Z.Y.; Au, L.; Hartland, G.V.; Li, X.; Marquez, M.; Xia, Y. Gold nanostructures: Engineering their plasmonic properties for biomedical applications. Chem. Soc. Rev. 2006, 35, 1084–1094. [Google Scholar] [CrossRef]
- Watari, M.; Higashiyama, H.; Mitsui, N.; Tomo, M.; Ozaki, Y. On-line monitoring of the density of linear low-density polyethylene in a real plant by near-infrared spectroscopy and chemometrics. Appl. Spectrosc. 2004, 58, 248–255. [Google Scholar] [CrossRef]
- Shinzawa, H.; Kanematsu, W.; Noda, I. Rheo-optical near-infrared (NIR) spectroscopy study of low-density polyethylene (LDPE) in conjunction with projection two-dimensional (2D) correlation analysis. Vib. Spectrosc. 2014, 70, 53–57. [Google Scholar] [CrossRef]
- Watanabe, S.; Dybal, J.; Tashiro, K.; Ozaki, Y. A near-infrared study of thermally induced structural changes in polyethylene crystal. Polymer 2006, 47, 2010–2017. [Google Scholar] [CrossRef]
- Pigeon, M.; Prud’homme, R.E.; Pezolet, M. Characterization of Molecular Orientation in Polyethylene by Raman Spectroscopy. Macromolecules 1991, 24, 5687–5694. [Google Scholar] [CrossRef]
- Gall, M.J.; Hendra, P.J.; Peacock, O.J.; Cudby, M.E.A.; Willis, H.A. The laser-Raman spectrum of polyethylene: The assignment of the spectrum to fundamental modes of vibration. Spectrochim. Acta Part. A Mol. Spectrosc. 1972, 28, 1485–1496. [Google Scholar] [CrossRef]
- Boerio, F.J.; Koenig, J.L. Raman scattering in crystalline polyethylene. J. Chem. Phys. 1970, 52, 3425–3431. [Google Scholar] [CrossRef]
- Strobl, G.R.; Hagedorn, W. Raman Spectroscopic Method for Determining the Crystallinity of Polyethylene. J. Polym. Sci. Polym. Phys. Ed. 1978, 16, 1181–1193. [Google Scholar] [CrossRef]
- Nakae, M.; Uehara, H.; Kanamoto, T.; Zachariades, A.E.; Porter, R.S. Structure development upon melt drawing of ultrahigh molecular weight polyethylene: Effect of prior thermal history. Macromolecules. 2000, 33, 2632–2641. [Google Scholar] [CrossRef]
- Beaucage, G.; Kammler, H.K.; Pratsinis, S.E. Particle size distributions from small-angle scattering using global scattering functions. J. Appl. Crystallogr. 2004, 37, 523–535. [Google Scholar] [CrossRef]
- Forte, G.; Ronca, S. Synthesis of disentangled Ultra-High molecular weight polyethylene: Influence of reaction medium on material properties. Int. J. Polym. Sci. 2017, 2017, 7431419. [Google Scholar] [CrossRef]
- Ronca, S.; Forte, G.; Tjaden, H.; Rastogi, S. Solvent-free solid-state-processed tapes of Ultrahigh-molecular-weight polyethylene: Influence of molar mass and molar mass distribution on the tensile properties. Ind. Eng. Chem. Res. 2015, 54, 7373–7381. [Google Scholar] [CrossRef]
Sample Availability: Samples of the compounds are not available from the authors. |











| Name | Draw Ratio | Categories |
|---|---|---|
| DR2.5 | 2.5 | Low |
| DR5 | 5.0 | |
| DR7.5 | 7.5 | |
| DR70 | 70.0 | Medium |
| DR100 | 100.0 | |
| DR150 | 150.0 | High |
| DR200 | 200.0 |
© 2020 by the authors. Licensee MDPI, Basel, Switzerland. This article is an open access article distributed under the terms and conditions of the Creative Commons Attribution (CC BY) license (http://creativecommons.org/licenses/by/4.0/).
Share and Cite
Drakopoulos, S.X.; Tarallo, O.; Guan, L.; Martin-Fabiani, I.; Ronca, S. Nanocomposites of Au/Disentangled UHMWPE: A Combined Optical and Structural Study. Molecules 2020, 25, 3225. https://doi.org/10.3390/molecules25143225
Drakopoulos SX, Tarallo O, Guan L, Martin-Fabiani I, Ronca S. Nanocomposites of Au/Disentangled UHMWPE: A Combined Optical and Structural Study. Molecules. 2020; 25(14):3225. https://doi.org/10.3390/molecules25143225
Chicago/Turabian StyleDrakopoulos, Stavros X., Oreste Tarallo, Linlin Guan, Ignacio Martin-Fabiani, and Sara Ronca. 2020. "Nanocomposites of Au/Disentangled UHMWPE: A Combined Optical and Structural Study" Molecules 25, no. 14: 3225. https://doi.org/10.3390/molecules25143225
APA StyleDrakopoulos, S. X., Tarallo, O., Guan, L., Martin-Fabiani, I., & Ronca, S. (2020). Nanocomposites of Au/Disentangled UHMWPE: A Combined Optical and Structural Study. Molecules, 25(14), 3225. https://doi.org/10.3390/molecules25143225

