Abstract
A series of 18 regio- and stereo-chemically diverse chiral non-racemic 1,2-, 1,3-, and 1,4-diamines have been synthesized from commercial (1S)-(+)-ketopinic acid and (1S)-(+)-10-camphorsulfonic acid. The structures of the diamines are all based on the d-(+)-camphor scaffold and feature isomeric diversity in terms of regioisomeric attachment of the primary and the tertiary amine function and the exo/endo-isomerism. Diamines were transformed into the corresponding noncovalent bifunctional thiourea organocatalysts, which have been evaluated for catalytic activity in the conjugative addition of 1,3-dicarbonyl nucleophiles (dimethyl malonate, acetylacetone, and dibenzoylmethane) to trans-β-nitrostyrene. The highest enantioselectivity was achieved in the reaction with acetylacetone as nucleophile using endo-1,3-diamine derived catalyst 52 (91.5:8.5 er). All new organocatalysts 48–63 have been fully characterized. The structures and the absolute configurations of eight intermediates and thiourea derivative 52 were also determined by X-ray diffraction.
1. Introduction
Camphor is a privileged chiral pool building block available in both enantiomeric forms. More importantly, camphor undergoes a wide array of different chemical transformations including fragmentation reactions and sigmatropic rearrangements such as the Wagner-Meerwein rearrangement [1,2], which functionalizes, at first glance, inactivated positions (Figure 1), thus enabling the preparation of structurally and functionally very diverse products [3,4], including natural product paclitaxel (Taxol) [5,6].
Figure 1.
Selected examples of successful camphor-derivatives applied in asymmetric synthesis and catalysis.
In the field of asymmetric synthesis and catalysis, camphor derivatives have found their application as efficient chiral auxiliaries i.e. camphorsultam [7,8] and as ligands in metal-catalyzed reactions, as exemplified by DAIB [9] and MIB [10] used for the addition of organozinc reagents to aldehydes. In the field of asymmetric organocatalysis [11,12], camphor-derived organocatalysts [13,14] appeared in 2005 [15], shortly after the first seminal works at the turn of the millennium reported by List, Barbas, and Lerner (for enamine catalysis) [16], MacMillan (for iminium catalysis) [17], Jacobsen [18,19] and Takemoto [20] (for noncovalent bifunctional thiourea organocatalysis), and Enders and Kallfass (for N-heterocyclic carbene organocatalysis) [21]. With respect to the structure of camphor-derived organocatalysts, they can be divided into two groups (Figure 1) [13]. The largest group of camphor-derived organocatalysts are mostly covalent bifunctional catalysts characterized by the two chiral fragments, i.e. the camphor framework, which is covalently connected through a suitable spacer (amide, sulfonamide, sulfonate, sulfide, sulfone, or amine linker) to a chiral pyrrolidine i.e. proline derivative or other chiral α-amino acid derivative as generalized by catalyst Q [22,23,24,25,26,27,28,29]. The minor group consists of catalysts with the camphor skeleton as the exclusive chiral framework. The typical representatives thereof are camphor-derived N-heterocyclic carbene precursors Y [30,31,32] and camphor-hydrazide derived organocatalysts Z [33,34,35,36,37,38,39] (Figure 1).
Within our continuing study on camphor-based diamines as potential organocatalyst scaffolds with camphor as the exclusive chiral framework, we previously reported on camphor C2-, C3-, and C8-derived 1,2-, 1,3-, and 1,4-diamines [40,41,42]. The corresponding noncovalent thiourea organocatalysts have been evaluated for the 1,4-addition of dimethyl malonate to trans-β-nitrostyrene. Reaction with 1,2- and 1,4-diamine-derived catalysts resulted in low enantioselectivity (er up to 61.5:38.5) [40], while reaction with 2-endo-3-endo-1,3-diamine-derived catalyst gave the addition product with moderate enantioselectivity (80:20 er) [42]. On the other hand, the camphor-1,3-diamine-derived squaramide organocatalyst was highly effective in conjugative additions of 1,3-dicarbonyls to trans-β-nitrostyrenes [43,44]. These preliminary results prompted us to further investigate the structure-activity relationship of camphor-derived bifunctional organocatalysts in order to expand the regio- and stereochemical space allocated to camphor-based 1,2-, 1,3-, and 1,4-diamines and to probe, if the activities of the respective thiourea organocatalyst can match those of the established thiourea and squaramide noncovalent bifunctional organocatalysts [20,45,46,47,48,49,50,51,52,53,54]. Thus, synthetic access to the desired nonracemic diamines has to be provided in the first place. Herein, we report a stereodivergent synthesis of novel types of camphor-based 1,2-, 1,3-, and 1,4-diamines and the application of their thiourea derivatives as noncovalent bifunctional organocatalysts in Michael additions of dimethyl malonate and 1,3-diketones to trans-β-nitrostyrene, a typical model reaction for the evaluation of novel organocatalysts [20,45].
2. Results and Discussion
2.1. Synthesis of Camphor-Derived 1,2-Diamines
Commercially available (1S)-(+)-ketopinic acid (1) was the common precursor for the synthesis of 1,2-diamines (Scheme 1 and Scheme 2) [55,56]. First, epimeric 1,2-diamines 10 and 11 with the primary amino function attached at position 2 and the tertiary amino function attached at position 1 were prepared. Curtius rearrangement of the acid 1 with diphenylphosphoryl azide (DPPA) followed by treatment with t-BuOH gave the Boc-protected amino ketone 2 [57], followed by removal of the Boc group to give the free amine 3 [58]. SN2-type cyclization of primary amine 3 with 1,4-dibromobutane gave pyrrolidino-ketone 4 [59]. Surprisingly, subsequent oximation of 4 with hydroxylamine failed to give the desired oxime 5; instead, Grob fragmentation [60] to nitrile 6 [61] took place. Retracting to Boc-protected amino ketone 2 and effecting the oximation furnished the desired oxime 7, which, upon amine deprotection and cyclization of amino-oxime 8 with 1,4-dibromobutane in acetonitrile under thermal conditions furnished in the desired pyrrolidino-oxime 5. Interestingly, cyclization of 8 under microwave conditions in water gave the Grob fragmentation product 9 [62]. Finally, reduction of oxime 5 with sodium in isopropanol furnished the endo-amine 10 [63], while catalytic hydrogenation in the presence of Raney-Ni gave the exo-amine 11 (Scheme 1).
Scheme 1.
Synthesis of 1,2-diamines 10 and 11. Reaction conditions: (i) DPPA, Et3N, toluene, reflux; (ii) t-BuOH, toluene, reflux; (iii) TFA, CH2Cl2, r.t.; (iv) 1,4-dibromobutane, K2CO3, MeCN, reflux; (v) NH2OH·HCl, pyridine, EtOH, reflux; (vi) 1,4-dibromobutane, K2CO3, H2O, μ-waves, 20 min, 125 °C, 100 W; (vii) Na, n-PrOH, reflux; (viii) Raney-Ni, H2, MeOH, r.t.
Scheme 2.
Synthesis of 1,2-diamines 16 and 17. Reaction conditions: (i) Raney-Ni, H2, MeOH, r.t., then chromatographic separation; (ii) 1,4-dibromobutane, K2CO3, H2O, μ-waves, 20 min, 125 °C, 100 W; (iii) TFA, CH2Cl2, r.t.
For the preparation of regioisomeric 1,2-diamines with the primary amino function attached at position 1 and the tertiary amine at position 2, Boc-amino-oxime 7 was reduced by applying catalytic hydrogenation in the presence of Raney-Ni, which furnished a chromatographically separable major endo-amine 12 in 75% yield and the minor exo-amine 13 [64] in 17% yield. Cyclization with 1,4-dibromobutane gave the corresponding pyrrolidine derivatives 14 and 15 [64], followed by concomitant Boc-deprotection into respective free diamines 16 [63] and 17 [63] (Scheme 2).
2.2. Synthesis of Camphor Derived 1,3-Diamines
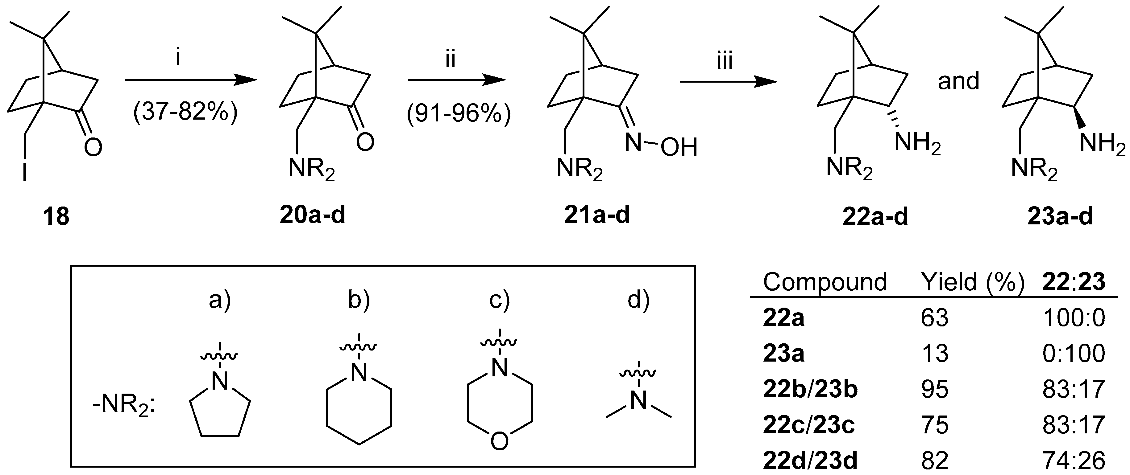
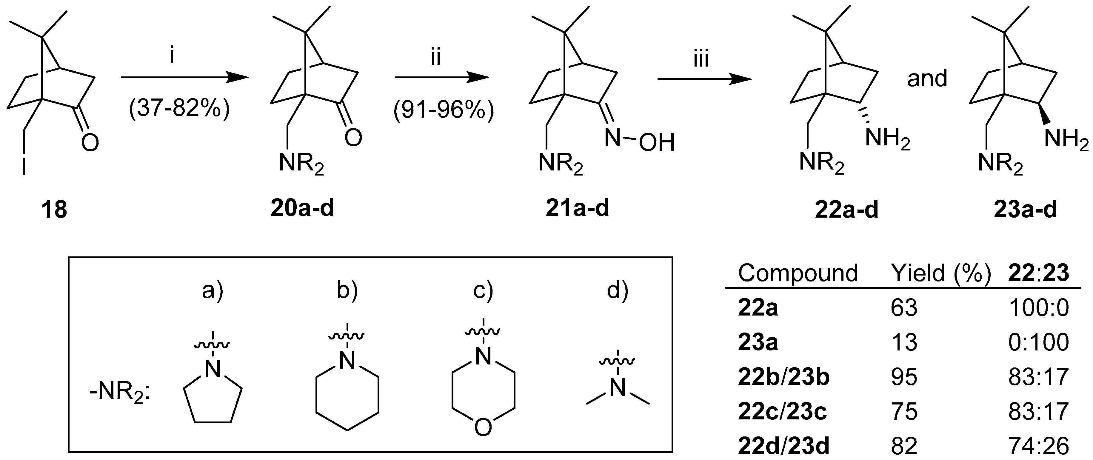
In this part of the study, we also first aimed to synthesize epimeric 1,3-diamines 22 and 23 with the primary amino function attached at position 2 and the tertiary amino function attached at position 10. In this context, Martínez et al. have previously developed a multistep synthesis of 10-(triflyloxy)camphor [65,66] to access 10-N-substituted camphor-derivatives. On the other hand, 10-iodocamphor (18) [43,67], available from commercial (1S)-(+)-10-camphorsulfonic acid in one step, turned out as a viable alternative in terms of large scale preparation and further transformations. 10-Iodocamphor (18) was used as a common precursor for the synthesis of camphor-based 1,3-diamines and the 1,4-diamines. In our hands, nucleophilic substitution of 10-iodocamphor (18) with secondary amines 19a–d resulted in amino-ketones 20a–d [65,68,69], which were, upon treatment with hydroxylamine, routinely transformed into oximes 21a–d. Subsequent reduction of the oxime functionality with sodium in isopropanol gave epimeric mixtures of the endo-diamines 22a–d and the exo-diamines 23a–d, which were chromatographically separable only in the case of a mixture of epimeric pyrrolidine derivatives 22a and 23a [43] (Scheme 3). Mixtures of epimers 22b–d and 23b–d were used in further transformations into thiourea derivatives.
Scheme 3.
Synthesis of 1,3-diamines 22 and 23. Reaction conditions: (i) secondary amine 19a–d, K2CO3, DMSO, 110 °C; (ii) NH2OH·HCl, pyridine, EtOH, reflux; (iii) Na, n-PrOH, reflux, then chromatographic separation.
The regioisomeric 1,3-diamines with the primary amino function attached at position 10 and the tertiary amine at position 2 were prepared in seven steps starting from 10-iodocamphor (18) [43], which was initially transformed into iodo-oxime 24 [67], followed by the formation of azido-oxime 25 with sodium azide in DMSO. The route via phthalimide as a source of the amino group failed to give the desired primary amine [70]. Reduction of azide 25 with PPh3 gave amino-oxime 26, which upon treatment with Boc2O furnished a chromatographically separable mixture of the minor N,O-diprotected product 27 and the major N-mono protected oxime 28. Catalytic hydrogenation of either oxime 27 or 28, or a mixture of oximes 27/28 with Raney-Ni furnished a chromatographically separable mixture of the minor exo-epimer 29 and the major endo-epimer 30. Subsequent alkylation of amines 29 and 30 with 1,4-dibromobutane furnished pyrrolidines 31 and 32, respectively, and the final TFA mediated N-Boc deprotection gave the respective diamines 33 and 34 (Scheme 4).
Scheme 4.
Synthesis of 1,3-diamines 33 and 34. Reaction conditions: (i) NH2OH·HCl, pyridine, EtOH, reflux; (ii) NaN3, DMSO, 75 °C (iii) PPh3,THF, reflux, then H2O, reflux; (iv) Boc2O, Et3N, CH2Cl2, r.t.; (v) Raney-Ni, H2, MeOH, r.t., then chromatographic separation; (vi) 1,4-dibromobutane, K2CO3, H2O, μ-waves, 20 min, 125 °C, 100 W; (vii) TFA, CH2Cl2, r.t.
2.3. Synthesis of Camphor Derived 1,4-Diamines
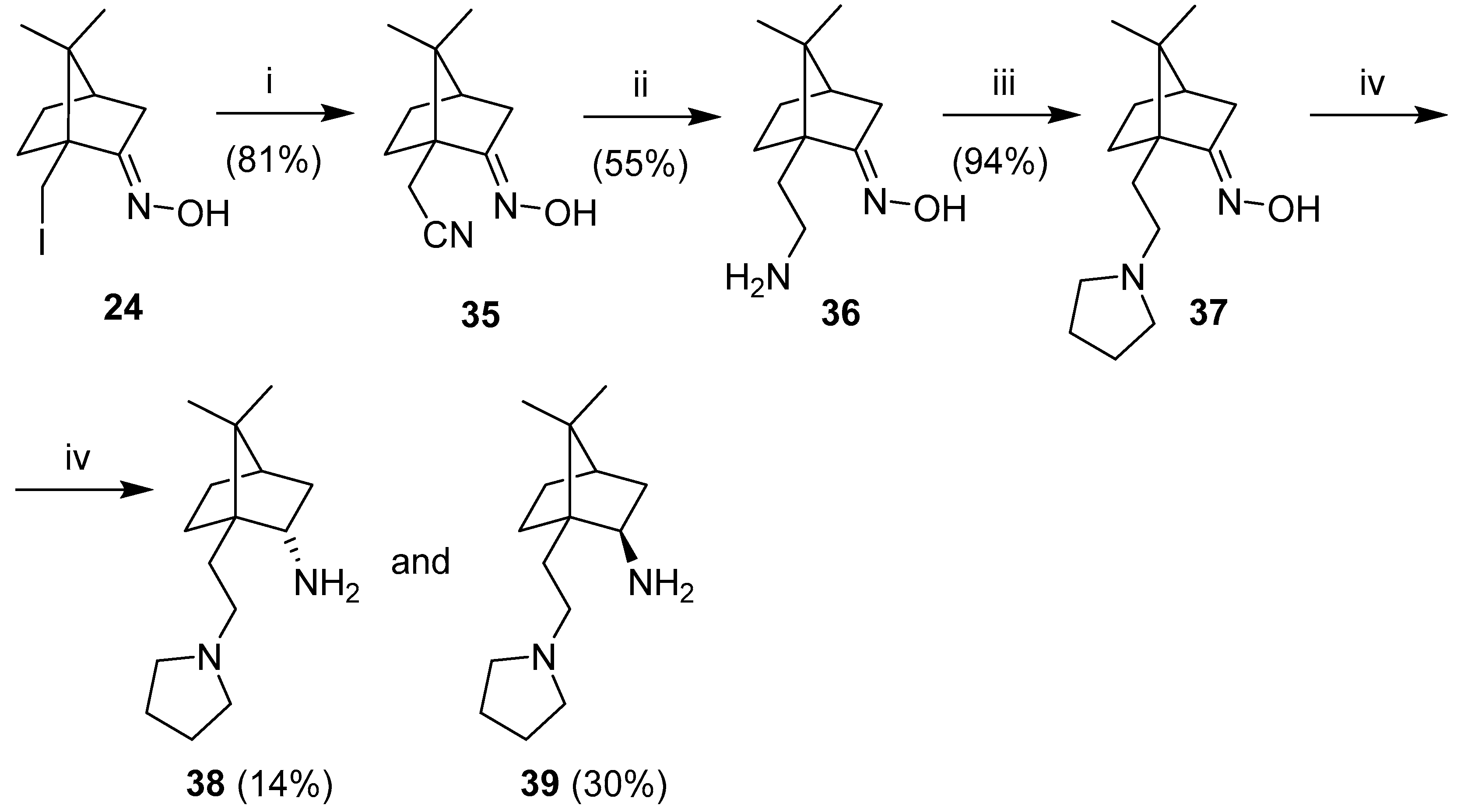
To prepare the desired 1,4-diamines, we followed the idea to introduce an additional methylene group at position 10 in 10-iodocamphor derivatives via cyanation followed by reduction. However, our attempt to prepare 10-cyanocamphor by treatment of 10-iodocamphor (18) with potassium cyanide in DMSO at 75 °C failed and gave only the Groß fragmentation products. On the other hand, treatment of 10-iodocamphor oxime (24) under the same conditions resulted in the desired nucleophilic displacement reaction to yield the corresponding nitrile 35. For the following selective reduction of the cyano group of 35, several reagents were tested i.e. various catalytic hydrogenations and hydride reducing agents. In most cases, mixtures of products were formed, while reduction with LiAlH4 furnished the desired amino oxime 36 as the central intermediate for the preparation of isomeric 1,4-diamines. Following previous examples, epimeric 1,4-diamines 38 and 39 with the primary amino function attached at position 2 were prepared first. Microwave promoted cyclization with 1,4-dibromobutane yielded pyrrolidino-oxime 37, which upon catalytic hydrogenation with Raney-Ni furnished a chromatographically separable major exo-epimer 38 and minor endo-epimer 39 (Scheme 5).
Scheme 5.
Synthesis of 1,4-diamines 38 and 39. Reaction conditions: (i) KCN, DMSO, 75 °C, 16 h; (ii) LiAlH4, Et2O, r.t.; (iii) 1,4-dibromobutane, K2CO3, H2O, μ-waves, 20 min, 125 °C, 100 W; (iv) Raney-Ni, H2, MeOH, r.t., then chromatographic separation.
The synthesis of epimeric 1,4-diamines with the tertiary amino function at position 2 also commenced from amino-oxime 36. Boc protection of amino-oxime 36 gave a mixture of N-mono and N,O-diprotected oximes 40 and 41, which could be separated by column chromatography. Catalytic hydrogenation of either oxime 40 or 41, or a mixture of oximes 40/41 with Raney-Ni furnished a chromatographically separable major exo-epimer 42 and the minor endo-epimer 43. The ensuing microwave mediated cyclization with 1,4-dibromobutane gave amino-pyrrolidines 44 [64] and 45, respectively, while the final TFA mediated N-Boc deprotection furnished the corresponding diamines 46 [63] and 47 [63] (Scheme 6).
Scheme 6.
Synthesis of 1,4-diamines 47 and 48. Reaction conditions: (i) Boc2O, Et3N, CH2Cl2, r.t., then chromatographic separation; (ii) Raney-Ni, H2, MeOH, r.t., then chromatographic separation; (iii) 1,4-dibromobutane, K2CO3, H2O, μ-waves, 20 min, 125 °C, 100 W; (iv) TFA, CH2Cl2, r.t.
2.4. Synthesis of Noncovalent Thiourea Organocatalysts 48–63
Noncovalent thiourea organocatalysts 48–63 have been prepared in 23–96% yields by treatment of primary amines 10, 11, 16, 17, 22a–d, 23a, 33, 34, 38, 39, 46, and 47 with the corresponding isothiocyanate (1-adamantyl isothiocyanate, tert-butyl isothiocyanate, and 3,5-bis(trifluoromethyl)phenyl isothiocyanate) (Figure 2).
Figure 2.
Thiourea derivatives 48–63 (Ar = 3,5-bis(trifluoromethyl)phenyl) prepared by treatment of respective primary amine with respective isothiocyanate in Et2O at r.t.
2.5. Structure Determination
Novel compounds were characterized by spectroscopic methods (1H and 13C-NMR, HRMS, IR) and by elemental analyses for C, H, and N. Compounds 10, 13, 15, 16, 17, 22b/23b, 41, 44, 46, and 47 were not isolated pure form and were used for further transformations without purification. The structures of compounds 8, 18, 21a, 22a, 24, 28, 29, 37, and 52 were also determined by single crystal X-ray analysis (Figures S3–S11) [71]. X-ray structures of the representative diamines 22a and 29 are shown in Figure 3.
Figure 3.
Single-crystal X-ray structures of exo-diamine 29 (left) and endo-diamine·22a·HClO4 (right).
The configuration of the newly formed stereocenter at C-2 for the endo-isomers 10, 12, 14, 16, 32, 38, 45, 49, 51, 54–59, 61, and 63 was also determined by 2D NOESY spectroscopy. NOE between the 2-H and the 8-Me group were in agreement with the (2S)-configuration (Figure 4) [71]. The (2S)-configuration of the endo-isomers 10, 12, 22a–d, 30, 38, and 43 was additionally confirmed on the basis of chemical shift correlations of the highly up-field shifted endo-proton at position 3, which appears in the range of 0.61 ppm to 0.84 ppm (Figure 3). Interestingly, in all successful cases of chromatographic separation of the epimeric mixtures of primary amines, the exo-amine eluted first, followed by elution of the endo-amine.
Figure 4.
Determination of the absolute configuration at C-2 based on the observed NOE correlation spectroscopy cross peaks and chemical shift correlations in the series of primary endo-amines.
2.6. Performance of Noncovalent Thiourea Organocatalysts 48–63 in 1,4-Addition of 1,3-Dicarbonyl Compounds to trans-β-Nitrostyrene
The model reaction for the evaluation of catalyst 48–63 efficiency was the 1,4-addition of dimethyl malonate to trans-β-nitrostyrene performed in anhydrous toluene at 25 °C and −25 °C for 2–3 days (Table 1, cf. Figure 2). The full conversion at 25 °C was achieved with the endo-1,3-diamine-based catalysts 52, 56, and 59 (Table 1, Entries 9, 16, and 20) and 1,4-diamine-based catalysts 62 and 63 (Table 1, Entries 25 and 27). At the lower temperature (−25 °C) only catalysts 56 and 63 gave full conversion (Entries 17 and 28), while all other catalysts displayed diminished conversion. Generally, the endo-catalysts achieved better conversions than the exo-epimers, except in the case of 1,2-diamine-based catalysts 50 and 51 (Entries 5 and 7). This was not surprising, since better performance of the endo-isomers in these 1,4-additions has also been observed previously with related camphor-based organocatalysts [42,43,44]. In terms of enantioselectivity, decreasing the reaction temperature resulted in either retention or diminished selectivity, except with catalysts 60 and 62 (Entries 22/23 and 25/26). As expected [43], the best enantioselectivity was achieved with the endo-1,3-diamine catalyst 52 (78.5:21.5 er (R), 100% conversion, Entry 9) followed by the exo-epimer 53 (77.5:22.5 er (S), Entry 11) though incomplete conversion (69%). In the endo-1,3-diamine type catalyst series 52–56, catalyst 52 with the pyrrolidine functionality displayed the best performance (Entry 9), while catalyst 55 with the morpholine functionality performed the worst both in terms of conversion (10%) and selectivity (54.5:45.5 er) (Entry 15) (Table 1).
Table 1.
Catalytic activity of camphor-diamine derived noncovalent bifunctional thiourea organocatalysts 48–63 in 1,4-additions of dimethyl malonate to trans-β-nitrostyrene 1.
Finally, the 1,2-diamine-based catalysts 48 and 49 and the 1,3-diamine-based catalysts 52 and 53 were evaluated for the Michael addition of acetylacetone and dibenzoylmethane to trans-β-nitrostyrene in anhydrous toluene (Table 2). Surprisingly, the performance of endo-1,2-diamine derived catalyst 49 for the addition of acetylacetone to trans-β-nitrostyrene gave the product in full conversion and 80.5:19.5 er (R) (Entry 2). Expectedly, all reactions resulted in higher conversion and selectivity when catalyzed with endo-52, furnishing the corresponding acetylacetone adduct quantitatively at −25 °C with 91.5:8.5 er (S) (Entry 4), flanked by the epimer exo-53 at the same temperature with complementary 82:18 er (R) though 63% conversion (Entry 9). Changing the solvent to CH2Cl2 or THF in the same reaction catalyzed with 52 resulted in diminished selectivity (Entries 5 and 6) (Table 2).
Table 2.
Catalytic activity of selected camphor-diamine derived noncovalent bifunctional thiourea organocatalysts 48, 49, 52, and 53 in 1,4-additions of 1,3-diketones to trans-β-nitrostyrene 1.
3. Materials and Methods
3.1. Materials and General Methods
Solvents for extractions and chromatography were of technical grade and were distilled prior to use. Extracts were dried over technical grade Na2SO4. Melting points were determined on a Kofler micro hot stage and on SRS OptiMelt MPA100–Automated Melting Point System (Stanford Research Systems, Sunnyvale, CA, USA). The NMR spectra were obtained on a Bruker UltraShield 500 plus (Bruker, Billerica, MA, USA) at 500 MHz for 1H and 126 MHz for 13C nucleus, using DMSO-d6 and CDCl3 with TMS as the internal standard, as solvents. Mass spectra were recorded on an Agilent 6224 Accurate Mass TOF LC/MS (Agilent Technologies, Santa Clara, CA, USA), IR spectra on a Perkin-Elmer Spectrum BX FTIR spectrophotometer (PerkinElmer, Waltham, MA, USA). Microanalyses were performed on a Perkin-Elmer CHN Analyzer 2400 II (PerkinElmer). Column chromatography (CC) was performed on silica gel (Silica gel 60, particle size: 0.035–0.070 mm (Sigma-Aldrich, St. Louis, MO, USA). HPLC analyses were performed on an Agilent 1260 Infinity LC (Agilent Technologies, Santa Clara, CA, USA) using CHIRALPAK AD-H (0.46 cm ø × 25 cm) and CHIRALCEL OD-H (0.46 cm ø × 25 cm) as chiral columns (Chiral Technologies, Inc., West Chester, PA, USA). Organocatalyzed reactions were performed on EasyMax 102 Advanced synthesis workstation (Mettler-Toledo, LLC., Columbus, OH, USA). Catalytic hydrogenation was performed on a Parr Pressure Reaction Hydrogenation Apparatus (Moline, IL, USA). The optical rotation of optical active substances was measured on a Perkin Elmer 241 MC Polarimeter (PerkinElmer, Waltham, MA, USA) equipped with a Na lamp (sodium emission lines at 589.0 nm) at 20 °C.
The compounds (1S,4R)-7,7-dimethyl-1-(pyrrolidin-1-ylmethyl)bicyclo[2.2.1]heptan-2-one (20a), (1S,4R,2E)-7,7-dimethyl-1-(pyrrolidin-1-ylmethyl)bicyclo[2.2.1]heptan-2-one oxime (21a), (1S,2S,4R)-7,7-dimethyl-1-(pyrrolidin-1-ylmethyl)bicyclo[2.2.1]heptan-2-amine (22a), and (1S,2R,4R)-7,7-dimethyl-1-(pyrrolidin-1-ylmethyl)bicyclo[2.2.1]heptan-2-amine (23a) [43] were prepared following the referenced literature procedures. Racemic products of 1,4-addition of trans-β-nitrostyrene to dimethyl malonate [40,42], acetylacetone [43], and dibenzoylmethane [43], used as standards for determination of er by HPLC, were prepared following the corresponding literature procedures.
3.2. General Procedures
3.2.1. General Procedure 1. Synthesis of Free Diamines by Deprotection of N-Boc-Amines
To a solution of Boc-protected amine in anhydrous CH2Cl2 at room temperature was, under stirring, slowly added the same volume of anhydrous trifluoroacetic acid. The resulting reaction mixture was stirred at room temperature for 16 h. Volatile components were evaporated in vacuo. The residue was dissolved in Et2O and washed with NaOH (1 M in H2O, 1/5 of the volume of Et2O) and NaCl (aq. sat., 1/5 of the volume of Et2O). The organic phase was dried over anhydrous Na2SO4, filtered, and volatile components evaporated in vacuo. If necessary, the so obtained product was purified by CC. Fractions containing the pure product were combined and volatile components evaporated in vacuo to give the corresponding amine [71].
3.2.2. General Procedure 2. Synthesis of Oximes
For the oxime synthesis, a modified procedure from the literature was applied [72]. To a solution of ketone (1 equiv.) in anhydrous EtOH, NH2OH·HCl (2 equiv.) and pyridine (1.5 equiv.) were added, and the resulting reaction mixture was stirred under reflux for 6–16 h. Volatile components were evaporated in vacuo, the residue was suspended in H2O (15 mL) followed by the addition of finely powdered NaOH till pH ≈ 10–12. The resulting mixture was extracted with Et2O (3 × 50 mL). The combined organic phase was washed with H2O (1/5 of the volume of Et2O) and NaCl (aq. sat., 1/5 of the volume of Et2O). The organic phase was dried over anhydrous Na2SO4, filtered, and volatile components evaporated in vacuo. If necessary, the so obtained oxime was purified by CC. Fractions containing the pure product were combined and volatile components evaporated in vacuo to give the corresponding oxime [71].
3.2.3. General Procedure 3. Synthesis of Tertiary Amines (Pyrrolidines) by Cyclative Bis-Alkylation of Primary Amines
For the alkylation of primary amines, a modified procedure from the literature was applied [73]. To a suspension of amine (1 equiv.) in H2O (2 mL), K2CO3 (1.1 equiv.) and 1,4-dibromobutane (1.1 equiv.) were added, and the resulting reaction mixture was stirred under microwave irradiation (MW) for 20 min (100 W, 125 °C, ~5 bar). The reaction mixture was extracted with EtOAc (3 × 25 mL). The combined organic phase was washed with NaCl (aq. sat., 1/5 of the volume of EtOAc). The organic phase was dried over anhydrous Na2SO4, filtered, and volatile components evaporated in vacuo. If necessary, the so obtained tertiary amine was purified by CC. Fractions containing the pure product were combined and volatile components evaporated in vacuo to give the corresponding tertiary amine [71].
3.2.4. General Procedure 4. Synthesis of Primary Amines by Reduction of Oximes with Sodium
To a solution of oxime in anhydrous n-PrOH under argon at 95 °C, sodium (ca. 100–200 mg) was added. Before all the added sodium reacted, another chunk of sodium (ca. 100–200 mg) was added, followed by addition of further sodium to ensure a continuous evolution of hydrogen for 1 h. After all the sodium reacted, volatile components were evaporated in vacuo, and to the residue, H2O was added followed by extraction with Et2O (5 × 25 mL). The combined organic phase was washed with H2O (1/5 of the volume of Et2O) and NaCl (aq. sat., 1/5 of the volume of Et2O). The organic phase was dried over anhydrous Na2SO4, filtered, and volatile components evaporated in vacuo. If necessary, the so obtained amine was purified/separated by CC. Fractions containing the pure product were combined and volatile components evaporated in vacuo to give the corresponding amine [71].
3.2.5. General Procedure 5. Synthesis of Primary Amines by Hydrogenation of Oximes in the Presence of Raney-Ni Catalyst
Raney-Ni (ca. 100–200 mg) was added to a solution of oxime and triethylamine in MeOH under Argon. The reaction vessel was thoroughly flushed with hydrogen and the reaction mixture was hydrogenated in a Parr shaker hydrogenation apparatus in the atmosphere of hydrogen (60 psi) at room temperature for 6 h. The reaction mixture was filtered through a plague of Celite® and washed with MeOH. Volatile components were evaporated in vacuo. The residue was dissolved in Et2O (100 mL) and washed with H2O (1/10 of the volume of Et2O) and NaCl (aq. sat., 1/10 of the volume of Et2O). If the residue after filtration through a plague of Celite® was of green color, due to the presence of nickel species, the residue was dissolved in Et2O (100 mL) and washed consecutive with NH4OH (25% aq., 1/10 of the volume of Et2O) till the disappearance of the green color (the aqueous phase turns violet) and finally NaCl (aq. sat., 1/10 of the volume of Et2O). The organic phase was dried over anhydrous Na2SO4, filtered, and volatile components evaporated in vacuo. If necessary, the so obtained amine was purified/separated by CC. Fractions containing the pure product were combined and volatile components evaporated in vacuo to give the corresponding amine [71].
3.2.6. General Procedure 6. Synthesis of Thiourea Derivatives
To a solution of amine (1 equiv.) in anhydrous Et2O under Argon at 0 °C isothiocyanate (0.95 equiv.) was added. The resulting reaction mixture was stirred at 0 °C for 30 min and at room temperature for 24 h. Volatile components were evaporated in vacuo and the residue was purified by CC. Fractions containing the pure product were combined and volatile components evaporated in vacuo to give the corresponding thiourea derivative [71].
3.2.7. General Procedure 7. Synthesis of N-Boc Protected Primary Amines
To a solution of amine (1 equiv.) in anhydrous CH2Cl2 under Argon at room temperature Boc2O (1.5 equiv.) and Et3N (2 equiv.) were added. The resulting reaction mixture was stirred at room temperature for 16 h. Volatile components were evaporated in vacuo and the residue was purified/separated by CC. Fractions containing the pure product were combined and volatile components evaporated in vacuo to give the corresponding N-Boc protected amine [71].
3.2.8. General Procedure 8. Synthesis of Tertiary Amines by Amination of 10-Iodocamphor (18)
To a suspension of 10-iodocamphor (18) (1 equiv.) and K2CO3 (1.5 equiv.) in anhydrous DMSO under Argon secondary amine (15 equiv.) was added, and the resulting reaction mixture was stirred at 110 °C for 16 h. The addition of the secondary amine is accompanied with an intense blue or violet coloration, which eventually fades away. The cooled reaction mixture was diluted with H2O (ca. 10 mL of H2O per 1 mL DMSO) and extracted with EtOAc (ca. 3 × (15 mL EtOAc per 10 mL H2O)). The combined organic phase was washed with H2O (1/5 of the volume of EtOAc) and NaCl (aq. sat., 1/5 of the volume of EtOAc). The organic phase was dried over anhydrous Na2SO4, filtered, and volatile components evaporated in vacuo. If necessary, the so obtained tertiary amino-ketone was purified/separated by CC. Fractions containing the pure product were combined and volatile components evaporated in vacuo to give the corresponding tertiary amine [71].
3.2.9. General Procedure 10. Testing the Catalytic Activity of Thiourea Derivatives in 1,4-Additions of 1,3-Dicarbonyl Compounds to trans-β-Nitrostyrene
Dimethyl malonate (92 μL, 0.8 mmol) or acetylacetone (82 μL, 0.8 mmol) or dibenzoylmethane (180 mg, 0.8 mmol) was added to a solution of trans-β-nitrostyrene (60 mg, 0.4 mmol) and thiourea organocatalyst 48–63 (10 mol%, relative to trans-β-nitrostyrene) in anhydrous toluene, CH2Cl2, or THF (1 mL) under argon at 25 or −25 °C. The resulting reaction mixture was stirred at 25 or −25 °C for 48–72 h. The reaction mixture was then quickly passed through a short column filled with Silica gel 60 (1 cm diameter, 5 cm length) using a mixture of EtOAc and petroleum ether in a 1:1 ratio as a mobile phase to remove the tested organocatalyst 48–63. Volatile components were evaporated in vacuo and the residue was used to determine the conversion by 1H-NMR and enantioselectivity by HPLC.
3.3. General Procedures
3.3.1. Synthesis of 1-[3,5-Bis(trifluoromethyl)phenyl]-3-[(1S,2R,4R)-7,7-dimethyl-1-(pyrrolidin-1-yl)-bicyclo[2.2.1]heptan-2-yl]thiourea (48)
Following General Procedure 6 the title compound was prepared from diamine 11 (96 mg, 0.461 mmol), Et2O (3 mL), 1-isothiocyanato-3,5-bis(trifluoromethyl)benzene (82 µL, 0.44 mmol, 98%); purified by CC (Et3N:EtOAc:petroleum ether = 1:1:20). Yield: 164 mg (0.341 mmol, 74%) of colorless solid; mp = 171–176 °C. = −7.7 (c = 0.34, CH2Cl2). CHN analysis for C22H27F6N3S requires: C, 55.10; H, 5.68; N, 8.76 and found: C, 55.07; H, 5.73; N, 8.57. EI-HRMS: m/z = 480.1899 (MH+); C22H28F6N3S requires: m/z = 480.1903 (MH+). νmax 3133, 2965, 2876, 1620, 1503, 1462, 1371, 1273, 1175, 1139, 1108, 947, 876, 847, 808, 797, 735, 704, 681, 645, 624 cm−1. 1H-NMR (500 MHz, DMSO-d6): δ 1.05 (s, 3H, Me); 1.07 (s, 3H, Me); 1.16–1.30 (m, 2H); 1.50–1.58 (m, 1H); 1.60–1.70 (m, 4H); 1.72–1.92 (m, 3H); 1.94–2.02 (m, 1H); 2.44–2.60 (m, 4H); 3.87–3.98 (m, 1H); 7.72 (s, 1H, 1H of Ar); 7.99 (d, J = 4.1 Hz, 1H, NH); 8.40 (s, 2H, 2H of Ar); 10.67 (br s, 1H, NH). 13C-NMR (126 MHz, DMSO-d6): δ 20.0, 21.5, 23.0, 23.1, 25.8, 39.3, 45.1, 46.9, 47.4, 60.5, 69.4, 115.7, 120.9, 123.3 (q, J = 272.8 Hz), 130.2 (q, J = 32.7 Hz), 142.0, 178.2.
3.3.2. Synthesis of 1-(3,5-Bis(trifluoromethyl)phenyl)-3-((1S,2S,4R)-7,7-dimethyl-1-(pyrrolidin-1-yl)-bicyclo[2.2.1]heptan-2-yl)thiourea (49)
Following General Procedure 6 compound 49 was prepared from diamine 10 (95 mg, 0.456 mmol), Et2O (5 mL), 1-isothiocyanato-3,5-bis(trifluoromethyl)benzene (80 µL, 0.43 mmol, 98%); purified by CC (1. Et3N:EtOAc:petroleum ether = 1:1:10 for the elution of nonpolar impurities; 2. Et3N:EtOAc:petroleum ether = 1:1:1 for the elution of product 49). Yield: 164 mg (0.342 mmol, 75%) of colorless solid; mp = 59–64 °C. = –35.5 (c = 0.25, CH2Cl2). CHN analysis for C22H27F6N3S requires: C, 55.10; H, 5.68; N, 8.76 and found: C, 54.34; H, 5.78; N, 8.53. EI-HRMS: m/z = 480.1898 (MH+); C22H28F6N3S requires: m/z = 480.1903 (MH+). νmax 3251, 2960, 2879, 1610, 1537, 1512, 1470, 1380, 1348, 1274, 1170, 1125, 993, 964, 884, 847, 809, 755, 725, 701, 680 cm−1. 1H-NMR (500 MHz, DMSO-d6): δ 0.95–1.01 (m, 1H); 0.98 (s, 3H, Me); 1.10 (s, 3H, Me); 1.29–1.36 (m, 1H); 1.43–1.49 (m, 1H); 1.54–1.61 (m, 4H); 1.79–2.02 (m, 3H); 2.31–2.42 (m, 1H); 2.72–2.85 (m, 4H); 5.18–5.27 (m, 1H); 7.70 (s, 1H, 1H of Ar); 8.28 (d, J = 9.1 Hz, 1H, NH); 8.34 (s, 2H, 2H of Ar); 10.03 (br s, 1H, NH). 13C-NMR (126 MHz, DMSO-d6): δ 20.8, 21.4, 23.7, 26.1, 27.1, 36.5, 39.9, 43.9, 47.6, 48.9, 51.6, 70.5, 115.6, 123.29 (q, J = 273 Hz), 130.15 (q, J = 33 Hz), 142.1, 179.0.
3.3.3. Synthesis of 1-(3,5-Bis(trifluoromethyl)phenyl)-3-((1S,2R,4R)-7,7-dimethyl-2-(pyrrolidin-1-yl)-bicyclo[2.2.1]heptan-1-yl)thiourea (50)
Prepared from diamine 17 (55 mg, 0.264 mmol), Et2O (2.5 mL), 1-isothiocyanato-3,5-bis(trifluoromethyl)benzene (63 µL, 0.340 mmol, 98%) following General Procedure 6. Purified by CC (Et3N:EtOAc:petroleum ether = 1:1:30). Yield: 98 mg (0.203 mmol, 77%) of colorless solid; mp = 123–126 °C. = −13.3 (c = 0.32, CH2Cl2). EI-HRMS: m/z = 480.1898 (MH+); C22H28F6N3S requires: m/z = 480.1903 (MH+). νmax 2963, 1671, 1542, 1474, 1385, 1335, 1274, 1201, 1167, 1119, 1000, 973, 916, 880, 831, 799, 720, 698, 676 cm−1. 1H-NMR (500 MHz, DMSO-d6): δ 0.93 (s, 3H, Me); 1.16–1.22 (m, 1H); 1.30 (s, 3H, Me); 1.49–1.67 (m, 6H); 1.70–1.83 (m, 2H); 1.92–2.03 (m, 1H); 2.43–2.80 (m, 5H); 2.88–2.99 (m, 1H); 7.55 (br s, 1H, NH); 7.72 (s, 1H, 1H of Ar); 8.37 (s, 2H, 2H of Ar); 10.36 (br s, 1H). 13C-NMR (126 MHz, DMSO-d6): δ 19.2, 20.4, 23.0, 27.3, 33.7, 36.8, 41.4, 48.7, 51.8, 68.7, 69.2, 115.8, 121.2, 123.3 (q, J = 273 Hz), 130.1 (q, J = 33 Hz), 142.0, 180.9.
3.3.4. Synthesis of 1-(3,5-Bis(trifluoromethyl)phenyl)-3-((1S,2S,4R)-7,7-dimethyl-2-(pyrrolidin-1-yl)-bicyclo[2.2.1]heptan-1-yl)thiourea (51)
Prepared following General Procedure 6 from diamine 16 (122 mg, 0.586 mmol), Et2O (2.5 mL), 1-isothiocyanato-3,5-bis(trifluoromethyl)benzene (106 µL, 0.570 mmol, 98%); purified by CC (1. Et3N:Et2O:petroleum ether = 1:6:25 for the elution of nonpolar impurities; 2. Et3N:Et2O = 1:5 for the elution of product 51). Yield: 211 mg (0.440 mmol, 75%) of colorless solid; mp = 89–99 °C. = −22.7 (c = 0.41, CH2Cl2). EI-HRMS: m/z = 480.1899 (MH+); C22H28F6N3S requires: m/z = 480.1903 (MH+). νmax 3409, 2963, 2884, 2838, 1659, 1612, 1564, 1488, 1472, 1381, 1273, 1256, 1167, 1122, 979, 881, 847, 808, 774, 723, 700, 679 cm−1. 1H-NMR (500 MHz, DMSO-d6): δ 1.03 (s, 3H, Me); 1.12 (s, 3H, Me); 1.37–1.46 (m, 1H); 1.47–1.74 (m, 7H); 1.84–1.97 (m, 1H); 2.01–2.11 (m, 1H); 2.48–2.53 (m, 1H); 2.74–2.86 (m, 2H); 2.89–3.05 (m, 2H); 3.49–3.60 (m, 1H); 7.22 (br s, 1H, NH); 7.79 (s, 1H, 1H of Ar); 8.11 (s, 2H, 2H of Ar); 14.28 (br s, 1H, NH). 13C-NMR (126 MHz, DMSO-d6): δ 17.9, 18.5, 23.5, 25.8, 26.4, 27.2, 41.8, 49.1, 51.4, 66.3, 71.2, 116.8, 124.1, 123.27 (q, J = 272.8 Hz), 130.02 (q, J = 32.8 Hz), 143.0, 183.0.
3.3.5. Synthesis of 1-(3,5-Bis(trifluoromethyl)phenyl)-3-((1R,2S,4R)-7,7-dimethyl-1-(pyrrolidin-1-yl-methyl)bicyclo[2.2.1]heptan-2-yl)thiourea (52)
Using General Procedure 6 this substance was prepared from diamine 22a (157 mg, 0.706 mmol), Et2O (3 mL), 1-isothiocyanato-3,5-bis(trifluoromethyl)benzene (125 µL, 0.670 mmol, 98%); purified by CC (Et3N:Et2O:petroleum ether = 1:25:4). Yield: 296 mg (0.600 mmol, 85%) of colorless solid; mp = 87–92 °C. = –79.3 (c = 0.16, CH2Cl2). CHN analysis for C23H29F6N3S requires: C, 55.97; H, 5.92; N, 8.51 and found: C, 56.23; H, 6.20; N, 8.26. EI-HRMS: m/z = 494.2060 (MH+); C23H30F6N3S requires: m/z = 508.2216 (MH+). νmax 3147, 2034, 2990, 2958, 2885, 2678, 2605, 2504, 1633, 1601, 1556, 1473, 1461, 1386, 1329, 1316, 1271, 1224, 1207, 1173, 1120, 965, 876, 782, 678 cm−1. 1H-NMR (500 MHz, DMSO-d6): δ 0.90 (s, 3H, Me); 0.96 (s, 3H, Me); 0.98 (br s, 1H, Me); 1.26 (br s, 1H); 1.39–1.87 (m, 8H); 2.07–2.76 (m, 6H); 3.35 (s, 1H); 4.50 (br s, 1H); 7.71 (s, 1H); 8.01–8.67 (m, 3H), 10.21 (br s, 1H). 13C-NMR (126 MHz, DMSO-d6): δ 19.22, 19.98, 23.50, 25.97, 27.57, 37.11, 39.52, 44.61, 47.74, 51.52, 55.98, 56.90, 58.53, 115.69, 121.19, 123.26 (q, J = 272.7 Hz), 130.27 (m), 141.87, 180.64.
3.3.6. Synthesis of 1-(3,5-Bis(trifluoromethyl)phenyl)-3-((1R,2R,4R)-7,7-dimethyl-1-(pyrrolidin-1-yl-methyl)bicyclo[2.2.1]heptan-2-yl)thiourea (53)
Compound 53 Prepared from diamine 23a (177 mg, 0.796 mmol), Et2O (2.5 mL), 1-isothiocyanato-3,5-bis(trifluoromethyl)benzene (142 µL, 0.760 mmol, 98%) using General Procedure 6 and purified by CC (Et3N:Et2O:petroleum ether = 1:35:25). Yield: 353 mg (0.716 mmol, 90%) of colorless solid; mp = 57–58 °C. = +80.5 (c = 0.65, CH2Cl2). CHN analysis for C23H29F6N3S requires: C, 55.97; H, 5.92; N, 8.51 and found: C, 56.10; H, 6.13; N, 8.43. EI-HRMS: m/z = 494.2057 (MH+); C23H30F6N3S requires: m/z = 494.2059 (MH+). νmax 3415, 3220, 2958, 2881, 2821, 1597, 1508, 1470, 1378, 1274, 1252, 1215, 1169, 1126, 1106, 1076, 1001, 985, 936, 880, 847, 799, 721, 700, 681, 619 cm−1. 1H-NMR (500 MHz, DMSO-d6): δ 0.88 (s, 3H, Me); 1.04 (s, 3H); 1.10–1.19 (m, 1H); 1.28–2.26 (m, 10H); 2.47 (br s, 4H); 2.56–3.00 (m, 2H); 4.27 (s, 1H), 7.71 (s, 1H); 8.25 (s, 1H); 8.34 (s, 2H); 10.29 (s, 1H). 13C-NMR (126 MHz, DMSO-d6): δ 20.51, 20.68, 23.42, 26.69, 33.88, 39.52, 45.04, 47.62, 51.11, 54.07, 55.46, 60.40, 115.61, 120.93, 123.27 (q, J = 272.5 Hz), 130.14 (m), 142.04, 178.81.
3.3.7. Synthesis of 1-(3,5-Bis(trifluoromethyl)phenyl)-3-((1R,2S,4R)-7,7-dimethyl-1-(piperidin-1-yl-methyl)bicyclo[2.2.1]heptan-2-yl)thiourea (54)
Following General Procedure 6 this compound was prepared from diamine 22b/23b (54 mg, 0.228 mmol, 22b:23b = 4.8:1), Et2O (2.5 mL), 1-isothiocyanato-3,5-bis(trifluoromethyl)benzene (41 µL, 0.220 mmol, 98%); purified by CC (1. Et3N:Et2O:petroleum ether = 1:6:25 for the elution of nonpolar impurities; 2. Et3N:Et2O = 1:5 for the elution of product 54). Yield: 111 mg (0.219 mmol, 96%) of yellow solid; mp = 131–134 °C. = −51.2 (c = 0.40, CH2Cl2). CHN analysis for C24H31F6N3S requires: C, 56.79; H, 6.16; N, 8.28 and found: C, 57.03; H, 6.23; N, 8.09. EI-HRMS: m/z = 508.2226 (MH+); C24H32F6N3S requires: m/z = 508.2216 (MH+). νmax 3130, 2939, 1618, 1539, 1506, 1468, 1374, 1352, 1272, 1242, 1172, 1129, 1096, 1050, 1036, 982, 944, 884, 784, 701, 681, 651, 617 cm−1. 1H-NMR (500 MHz, DMSO-d6): δ 0.90 (s, 3H, Me); 0.95 (s, 3H, Me); 0.92–1.01 (m, 1H); 1.14–1.35 (m, 7H); 1.54–1.64 (m, 2H); 1.68–1.82 (m, 2H); 2.22–2.43 (m, 7H); 4.44 (br s, 1H); 7.74 (s, 1H); 8.15–8.33 (m, 3H, 3H of Ar); 10.24 (br s, 1H). 13C-NMR (126 MHz, DMSO-d6): δ 19.2, 20.0, 23.3, 25.5, 25.8, 27.5, 37.3, 44.7, 47.6, 51.4, 56.3, 57.8, 59.5, 115.9, 121.4, 123.22 (q, J = 273 Hz), 130.47 (q, J = 33 Hz), 141.9, 180.5.
3.3.8. Synthesis of 1-(3,5-Bis(trifluoromethyl)phenyl)-3-((1R,2S,4R)-7,7-dimethyl-1-(morpholino-methyl)bicyclo[2.2.1]heptan-2-yl)thiourea (55)
Following General Procedure 6 compound 55 was prepared from diamine 22c/23c (460 mg, 1.93 mmol, 22c:23c = 4.6:1), Et2O (5 mL), 1-isothiocyanato-3,5-bis(trifluoromethyl)benzene (335 µL, 1.80 mmol, 98%); purified by CC (Et2O:Et3N = 50:1). Yield: 207 mg (0.405 mmol, 21%) of yellow solid; mp = 52–55 °C. = −39.5 (c = 0.44, CH2Cl2). CHN analysis for C23H29F6N3OS requires: C, 54.21; H, 5.74; N, 8.25 and found: C, 53.95; H, 5.75; N, 7.95. EI-HRMS: m/z = 510.2010 (MH+); C23H30F6N3OS requires: m/z = 510.2008 (MH+). νmax 3194, 2959, 2882, 2854, 2818, 1619, 1507, 1469, 1375, 1349, 1318, 1276, 1171, 1118, 1068, 1051, 1034, 1006, 993, 977, 964, 944, 931, 910, 885, 864, 802, 730, 701, 681, 653, 619 cm−1. 1H-NMR (500 MHz, DMSO-d6): δ 0.91 (s, 3H, Me); 0.89–0.94 (m, 1H); 0.98 (s, 3H, Me); 1.19–1.32 (m, 1H); 1.55–1.66 (m, 2H); 1.70–1.83 (m, 2H); 2.27–2.45 (m, 7H); 3.39–3.50 (m, 4H); 4.62 (br s, 1H); 7.73 (s, 1H, 1H of Ar); 8.16 (br s, 1H); 8.31 (s, 2H, 2H of Ar); 10.25 (br s, 1H). 13C-NMR (126 MHz, DMSO-d6): δ 19.3, 20.0, 25.5, 27.6, 37.2, 44.6, 47.9, 51.6, 55.4, 57.2, 59.2, 66.4, 115.8, 121.1, 123.26 (q, J = 273 Hz), 130.28 (q, J = 32 Hz), 142.0, 180.2.
3.3.9. Synthesis of 1-(3,5-Bis(trifluoromethyl)phenyl)-3-((1R,2S,4R)-1-((dimethylamino)methyl)-7,7-dimethylbicyclo[2.2.1]heptan-2-yl)thiourea (56)
Prepared from diamine 22d/23d (310 mg, 1.58 mmol, 22d:23d = 2.8:1), Et2O (3 mL), 1-isothiocyanato-3,5-bis(trifluoromethyl)benzene (274 µL, 1.47 mmol, 98%) following General Procedure 6. Purified by CC (1. Et3N:Et2O:petroleum ether = 1:6:25 for the elution of nonpolar impurities; 2. Et3N:Et2O = 1:5 for the elution of product 56). Yield: 538 mg (1.15 mmol, 73%) of yellow solid; mp = 61–68 °C. = −70.8 (c = 0.37, CH2Cl2). CHN analysis for C21H27F6N3S requires: C, 53.95; H, 5.82; N, 8.99 and found: C, 54.00; H, 5.91; N, 8.79. EI-HRMS: m/z = 468.1903 (MH+); C21H28F6N3S requires: m/z = 468.1903 (MH+). νmax 3412, 3205, 2954, 2882, 2830, 2783, 1600, 1516, 1470, 1375, 1322, 1274, 1216, 1169, 1124, 1034, 1016, 1001, 980, 942, 880, 846, 833, 726, 699, 681, 620 cm−1. 1H-NMR (500 MHz, DMSO-d6): δ 0.89 (s, 3H, Me); 0.95 (s, 3H, Me); 1.03 (br s, 1H); 1.11–1.39 (m, 1H); 1.52–1.84 (m, 4H); 2.00–2.43 (m, 9H); 4.51 (s, 1H); 7.71 (s, 1H); 7.89–8.89 (m, 3H); 10.29 (s, 1H). 13C-NMR (126 MHz, DMSO-d6): δ 19.18, 20.02, 25.19, 27.46, 33.41, 37.16, 44.49, 47.83, 51.66, 57.84, 60.25, 115.67, 121.26, 123.22 (q, J = 272.8 Hz), 130.22 (m), 141.85, 180.39.
3.3.10. Synthesis of 1-(tert-butyl)-3-((1R,2S,4R)-7,7-dimethyl-1-(pyrrolidin-1-ylmethyl)bicyclo-[2.2.1]heptan-2-yl)thiourea (57)
Using General Procedure 6 this substance was prepared from diamine 22a (50 mg, 0.225 mmol), Et2O (1 mL), 2-isothiocyanato-2-methylpropane (28 μL, 0.214 mmol); purified by CC (Et2O:MeOH:Et3N = 100:1:1). Yield: 56 mg (0.1665 mmol, 74%) of colorless solid; mp = 40–42 °C. = −167.0 (c = 0.12, CH2Cl2). EI-HRMS: m/z = 338.2626 (MH+); C19H36N3S requires: m/z = 338.2624 (MH+). νmax 3274, 2956, 2876, 2803, 1517, 1477, 1459, 1390, 1336, 1309, 1274, 1251, 1225, 1197, 1110, 1069, 1034, 1000, 966, 940, 921, 908, 873, 780, 763, 701, 657, 609 cm−1. 1H-NMR (500 MHz, DMSO-d6): δ 0.70–0.78 (m, 1H); 0.89 (s, 3H, Me); 0.93 (s, 3H, Me); 1.10–1.21 (m, 1H); 1.40 (s, 9H, Boc); 1.47–1.58 (m, 2H); 1.58–1.67 (m, 4H); 1.66–1.75 (m, 2H); 2.22–2.32 (m, 1H); 2.33–2.54 (m, 6H); 4.48 (br s, 1H); 7.17 (br s, 1H); 7.25 (s, 1H). 13C-NMR (126 MHz, DMSO-d6): δ 19.3, 20.1, 23.7, 25.6, 27.7, 29.0, 38.1, 44.7, 48.0, 51.7, 51.9, 55.9, 56.3, 56.4, 181.7.
3.3.11. Synthesis of 1-(Adamantan-1-yl)-3-((1R,2S,4R)-7,7-dimethyl-1-(pyrrolidin-1-ylmethyl)-bicyclo[2.2.1]heptan-2-yl)thiourea (58)
Following General Procedure 6 this compound was prepared from diamine 22a (47 mg, 0.211 mmol), Et2O (2 mL), 1-isothiocyanatoadamantane (39 mg, 0.200 mmol); purified by CC (Et2O:MeOH:Et3N = 100:1:1). Yield: 57 mg (0.137 mmol, 65%) of colorless solid; mp = 144–145 °C. = −58.7 (c = 0.2, CH2Cl2). EI-HRMS: m/z = 416.3095 (MH+); C25H42N3S requires: m/z = 416.3094 (MH+). νmax 3234, 2904, 2850, 2788, 1505, 1453, 1358, 1339, 1305, 1278, 1224, 1189, 1115, 1092, 1068, 1051, 1038, 939, 875, 841, 775, 624 cm−1. 1H-NMR (500 MHz, DMSO-d6): δ 0.68–0.78 (m, 1H); 0.88 (s, 3H, Me); 0.93 (s, 3H, Me); 1.11–1.21 (m, 1H); 1.53 (q, J = 5.6, 4.3 Hz, 2H); 1.58–1.66 (m, 11H); 1.66–1.74 (m, 2H); 1.98–2.05 (m, 3H); 2.09–2.17 (m, 6H); 2.21–2.31 (m, 1H); 2.35–2.49 (m, 5H); 4.47 (br s, 1H); 7.09–7.21 (m, 2H). 13C-NMR (126 MHz, DMSO-d6): δ 19.3, 20.2, 23.8, 25.7, 27.8, 29.0, 36.1, 38.1, 41.3, 44.7, 45.7, 48.0, 51.8, 52.5, 56.0, 56.5, 64.9, 181.0.
3.3.12. Synthesis of 1-(3,5-bis(trifluoromethyl)phenyl)-3-(((1R,2S,4R)-7,7-dimethyl-2-(pyrrolidin-1-yl)bicyclo[2.2.1]heptan-1-yl)methyl)thiourea (59)
Prepared from diamine 34 (248 mg, 1.115 mmol), Et2O (2.5 mL), 1-isothiocyanato-3,5-bis(trifluoromethyl)benzene (186 µL, 1.00 mmol, 98%) following General Procedure 6. Purified by CC (Et3N:EtOAc:petroleum ether = 1:1:20). Yield: 396 mg (0.803 mmol, 72%) of yellow solid; mp = 53–57 °C. = −21.1 (c = 0.25, CH2Cl2). EI-HRMS: m/z = 494.2063 (MH+); C23H30F6N3S requires: m/z = 494.2059 (MH+). νmax 3141, 2953, 2880, 2819, 1667, 1619, 1521, 1466, 1374, 1274, 1171, 1128, 1106, 947, 884, 849, 701, 680, 650 cm−1. 1H-NMR (600 MHz, DMSO-d6): δ 0.95 (s, 3H, Me); 0.98 (s, 3H, Me); 1.14–1.23 (m, 2H); 1.33–1.41 (m, 1H); 1.48–1.54 (m, 1H); 1.56–1.67 (m, 4H); 1.68–1.76 (m, 1H); 1.92–2.05 (m, 2H); 2.42–2.61 (m, 4H); 2.73–2.78 (m, 1H); 3.51 (dd, J = 3.5; 14.4 Hz, 1H); 3.93 (dd, J = 5.1; 15.0 Hz, 1H); 7.73 (s, 1H, 1H of Ar); 7.87 (br s, 1H, NH); 8.32 (s, 2H, 2H of Ar); 10.29 (br s, 1H, NH). 13C-NMR (151 MHz, DMSO-d6): δ 19.6, 20.5, 22.9, 24.9, 27.9, 34.9, 45.0, 45.3, 48.8, 51.6, 53.0, 65.4, 115.9, 121.3, 123.23 (q, J = 273 Hz), 130.25 (q, J = 33 Hz), 141.9, 180.0.
3.3.13. Synthesis of 1-(3,5-bis(trifluoromethyl)phenyl)-3-(((1R,2R,4R)-7,7-dimethyl-2-(pyrrolidin-1-yl)bicyclo[2.2.1]heptan-1-yl)methyl)thiourea (60)
Following General Procedure 6 the title compound was prepared from diamine 33 (143 mg, 0.643 mmol), Et2O (2.5 mL), 1-isothiocyanato-3,5-bis(trifluoromethyl)benzene (108 µL, 0.580 mmol, 98%); purified by CC (Et3N:Et2O:petroleum ether = 1:20:20). Yield: 175 mg (0.345 mmol, 55%) of yellow solid; mp = 53–55 °C. = −47.8 (c = 0.24, CH2Cl2). CHN analysis for C23H29F6N3S requires: C, 55.97; H, 5.92; N, 8.51 and found: C, 55.77; H, 6.14; N, 8.14. EI-HRMS: m/z = 494.2061 (MH+); C23H30F6N3S requires: m/z = 494.2059 (MH+). νmax 3144, 2953, 2877, 2815, 1667, 1508, 1468, 1376, 1274, 1171, 1128, 947, 884, 848, 720, 701, 681, 649 cm−1. 1H-NMR (600 MHz, DMSO-d6): δ 0.89 (s, 3H, Me); 1.05–1.15 (m, 1H); 1.14 (s, 3H, Me); 1.17–1.27 (m, 1H); 1.47–1.59 (m, 6H); 1.58–1.64 (m, 1H); 1.66–1.75 (m, 1H); 1.92–2.01 (m, 1H); 2.37–2.54 (m, 5H); 3.45 (dd, J = 3.1; 14.2 Hz, 1H); 3.78 (dd, J = 5.0; 14.2 Hz, 1H); 7.74 (s, 1H, 1H of Ar); 8.06 (br s, 1H); 8.33 (s, 2H, 2H of Ar); 10.32 (br s, 1H). 13C-NMR (151 MHz, DMSO-d6): δ 20.7, 20.9, 22.8, 26.5, 33.0, 35.6, 45.2, 45.5, 47.1, 50.9, 52.9, 72.2, 116.0, 121.5, 123.22 (q, J = 273 Hz), 130.26 (q, J = 33 Hz), 141.8, 180.0.
3.3.14. Synthesis of 1-(3,5-bis(trifluoromethyl)phenyl)-3-((1S,2S,4R)-7,7-dimethyl-1-(2-(pyrrolidin-1-yl)ethyl)bicyclo[2.2.1]heptan-2-yl)thiourea (61)
Following General Procedure 6. Prepared from diamine 38 (25 mg, 0.106 mmol), Et2O (2.5 mL), 1-isothiocyanato-3,5-bis(trifluoromethyl)benzene (18.6 µL, 0.10 mmol, 98%); purified by CC (1. Et3N:Et2O:petroleum ether = 1:6:25 for the elution of nonpolar impurities; 2. Et3N:Et2O = 1:5 for the elution of product 61). Yield: 49 mg (0.0954 mmol, 90%) of yellow solid; mp = 66–70 °C. = −16.1 (c = 0.18, CH2Cl2). CHN analysis for C24H31F6N3S requires: C, 56.79; H, 6.16; N, 8.28 and found: C, 56.48; H, 6.21; N, 8.00. EI-HRMS: m/z = 508.2224 (MH+); C24H32F6N3S requires: m/z = 508.2216 (MH+). νmax 3178, 3142, 2959, 2880, 2808, 1618, 1533, 1468, 1375, 1346, 1274, 1171, 1129, 882, 701, 681, 655, 620 cm−1. 1H-NMR (500 MHz, DMSO-d6): δ 0.88 (s, 3H, Me); 0.90–0.98 (m, 1H); 0.94 (s, 3H, Me); 1.20–1.30 (m, 1H); 1.40–1.59 (m, 7H); 1.64 (s, 1H); 1.69–1.80 (m, 2H); 2.28–2.46 (m, 7H); 4.53 (br s, 1H); 7.71 (s, 1H); 8.22 (s, 2H); 8.74 (br s, 1H); 10.08 (br s, 1H). 13C-NMR (126 MHz, DMSO-d6): δ 18.9, 19.9, 22.8, 25.7, 27.7, 28.9, 44.4, 45.7, 48.8, 51.0, 52.8, 53.4, 58.3, 115.5, 120.8, 123.22 (q, J = 273 Hz), 130.29 (q, J = 32 Hz), 142.2, 180.6.
3.3.15. Synthesis of 1-(3,5-bis(trifluoromethyl)phenyl)-3-(2-((1S,2R,4R)-7,7-dimethyl-2-(pyrrolidin-1-yl)bicyclo[2.2.1]heptan-1-yl)ethyl)thiourea (62)
Following General Procedure 6 this compound was prepared from diamine 46 (100 mg, 0.423 mmol), Et2O (2.5 mL), 1-isothiocyanato-3,5-bis(trifluoromethyl)benzene (74.5 µL, 0.400 mmol, 98%); purified by CC (EtOAc:MeOH = 10:1). Yield: 103 mg (0.203 mmol, 48%) of colorless solid; mp = 60–62 °C. = −40.3 (c = 0.12, CH2Cl2). EI-HRMS: m/z = 508.2215 (MH+); C24H32F6N3S requires: m/z = 508.2216 (MH+). νmax 3238, 2951, 2878, 2815, 1676, 1622, 1546, 1471, 1380, 1348, 1276, 1172, 1130 999, 946, 884, 847, 724, 701, 680 cm−1. 1H-NMR (500 MHz, DMSO-d6): δ 0.83 (s, 3H, Me); 1.02 (s, 3H, Me); 0.97–1.15 (m, 2H); 1.39–1.52 (m, 1H); 1.52–1.72 (m, 8H); 1.72–1.86 (m, 1H); 1.87–1.97 (m, 1H); 2.21–2.35 (m, 1H); 2.42–2.63 (m, 4H); 3.44–3.70 (m, 2H); 7.72 (s, 1H); 8.25 (s, 2H); 8.40 (s, 1H, NH); 10.03 (br s, 1H, NH). 13C-NMR (126 MHz, DMSO-d6): δ 20.0, 21.3, 22.9, 26.7, 26.9, 32.6, 35.9, 41.5, 44.3, 47.7, 51.2, 53.4, 72.4, 115.8, 121.6, 123.28 (q, J = 273 Hz), 130.11 (q, J = 34 Hz), 142.1, 180.2.
3.3.16. Synthesis of 1-(3,5-bis(trifluoromethyl)phenyl)-3-(2-((1S,2S,4R)-7,7-dimethyl-2-(pyrrolidin-1-yl)bicyclo[2.2.1]heptan-1-yl)ethyl)thiourea (63)
Prepared from diamine 47 (189 mg, 0.80 mmol), Et2O (2.5 mL), 1-isothiocyanato-3,5-bis(trifluoromethyl)benzene (152 µL, 0.80 mmol, 98%) following General Procedure 6 and purified by CC (Et3N:EtOAc:MeOH = 0.2:20:1). Yield: 95 mg (0.187 mmol, 23%) of colorless solid; mp = 47–48 °C. = +49.3 (c = 0.28, CH2Cl2). EI-HRMS: m/z = 508.2210 (MH+); C24H32F6N3S requires: m/z = 508.2216 (MH+). νmax 3241, 2946, 2879, 2808, 1620, 1541, 1376, 1344, 1273, 1169, 1125, 999, 947, 882, 847, 725, 700, 680 cm−1. 1H-NMR (500 MHz, DMSO-d6): δ 0.94 (s, 3H, Me); 1.00 (s, 3H, Me); 1.08–1.14 (m, 1H); 1.14–1.20 (m, 1H); 1.29–1.38 (m, 1H); 1.45–1.50 (m, 1H); 1.59–1.76 (m, 7H); 1.86–1.94 (m, 1H); 1.94–2.02 (m, 1H); 2.52–2.71 (m, 6H); 3.60 (br s, 1H); 7.70 (s, 1H); 8.21 (s, 2H); 8.40 (br s, 1H, NH); 9.99 (br s, 1H, NH). 13C-NMR (126 MHz, DMSO-d6): δ 20.1, 20.6, 22.9, 26.2, 28.1, 29.8, 35.5, 41.2, 45.1, 49.6, 50.5, 53.2, 66.8, 115.8, 121.8, 123.28 (q, J = 273 Hz), 130.11 (q, J = 33 Hz), 142.1, 180.2.
4. Conclusions
Starting from two commercial building blocks, (1S)-(+)-10-camphorsulfonic acid (for the preparation of 10-iodocamphor (18)) and (1S)-(+)-ketopinic acid (1), a series of 18 camphor-derived 1,2-, 1,3-, and 1,4-diamines (both regioisomers; exo- and endo-epimers) have been synthesized. The applied synthetic methods are robust and structural diversity-oriented – they enable the preparation of both diastereomers (exo and endo) as well as both regioisomers of each type of diamine. Amines have been transformed with selected isothiocyanates into the corresponding noncovalent bifunctional thiourea organocatalysts (16 compounds), which have been evaluated for the Michael addition of dimethyl malonate, acetylacetone, and/or dibenzoylmethane to trans-β-nitrostyrene. The highest selectivity was achieved with the endo-1,3-diamine derived catalyst 52 (91.5:8.5 er (S), full conversion), while the corresponding exo-1,3-diamine-derived catalyst of 53, gave the same product with complementary selectivity (82:18% er (R), 63% conversion). The preference of the 1,3-diamine derived organocatalysts versus the 1,2- and 1,4-diamine-derived organocatalysts needs to be further investigated mechanistically, both experimentally and theoretically (mechanistic model of activation [20,74,75,76], geometry of the transition state). After all, most of the established efficient organocatalysts are derivatives of 1,2-diamnies [20,45], while efficient 1,3-diamine derived organocatalysts are extremely rare [43,77,78,79,80,81]. The performance of the reported camphor-derived noncovalent, bifunctional, thiourea organocatalysts has so far not matched the efficiency of the established organocatalysts of this type [20,45]. The reported organocatalyst need to be evaluated further in various other organocatalyzed transformations, while their diamine precursors will be transformed into other types of organocatalysts and evaluated in selected model organocatalyzed transformations to acquire a bigger picture of their efficiency in comparison to already established catalysts [20,45]. All the new organocatalysts have been fully characterized including the determination of the absolute configuration at the newly formed stereogenic center. In terms of structure, camphor-derived diamines 48–63 cover the representative part of (regio and stereo) chemical space allocated to camphor-based 1,2-, 1,3-, and 1,4-diamines. With regard to accessibility, synthetic methods reported in this paper allow for straightforward access to the title nonracemic diamines, which are very useful building blocks for the preparation of a different kind of nonracemic organocatalysts and ligands for the use in transition-metal catalysis.
Supplementary Materials
The following are available online. Synthesis and Characterization Data for Compounds 2–17, 20b–d, 21b–d, 22b–d, 23b–d, and 24–63; Structure Determination by NMR, Figure S1: Determination of the absolute configuration at the C-2 based on the observed NOE correlation spectroscopy cross peaks, Figure S2: Determination of the absolute configuration at C-2 based on chemical shift correlations in the series of primary endo-amines; Structure Determination by X-ray Diffraction Analysis, Figures S3–S11: Ortep drawings of compounds 8, 18, 21a, 22a, 24, 28, 29, 37, and 52.
Author Contributions
Conceptualization, U.G., S.R., J.S., F.P. and B.Š.; methodology, U.G. and S.R.; software, U.G., S.R., J.S., F.P. and B.Š.; validation, U.G., S.R., J.S., F.P. and B.Š.; formal analysis, U.G. and S.R.; investigation, S.R. and U.G.; resources, U.G., S.R. and J.S.; data curation, U.G., S.R., A.G., J.S., S.R., F.P. and B.Š.; writing—original draft preparation, U.G., S.R., J.S., A.G., F.P. and B.Š.; writing—review and editing, U.G., J.S., F.P. and B.Š.; visualization, U.G. and J.S.; supervision, U.G.; project administration, U.G. and J.S.; funding acquisition, J.S., U.G., F.P. and B.Š. All authors have read and agreed to the published version of the manuscript.
Funding
This research was funded by the Slovenian Research Agency through grants P1-0179 and P1-0175.
Acknowledgments
We thank EN-FIST Centre of Excellence, Trg Osvobodilne fronte 13, 1000 Ljubljana, Slovenia, for using BX FTIR spectrophotometer and Agilent 1260 Infinity HPLC system.
Conflicts of Interest
The authors declare no conflict of interest.
References and Notes
- Meerwein, H. Über den Reaktionsmechanismus der Umwandlung von Borneol in Camphen; [Dritte Mitteilung über Pinakolinumlagerungen.]. Justus Liebigs Ann. Chem. 1914, 405, 129–175. [Google Scholar] [CrossRef]
- Hanson, J.R. Wagner-Meerwein rearrangements. In Comprehensive Organic Synthesis; Trost, B.M., Fleming, I., Eds.; Pergamon: Oxford, UK, 1991; Volume 3, pp. 705–719. [Google Scholar]
- Money, T. Remote functionalization of camphor: Application to natural product synthesis. Org. Synth. Theory Appl. 1996, 3, 1–83. [Google Scholar]
- Money, T. Camphor: A chiral starting material in natural product synthesis. Nat. Prod. Rep. 1985, 2, 253–289. [Google Scholar] [CrossRef] [PubMed]
- Holton, R.A.; Somoza, C.; Kim, H.-B.; Liang, F.; Biediger, R.J.; Boatman, P.D.; Shindo, M.; Smith, C.C.; Kim, S.; Nadizadeh, H.; et al. The Total Synthesis of Paclitaxel Starting with Camphor. ACS Symp. Ser. 1995, 583, 288–301. [Google Scholar]
- Nicolaou, K.C.; Yang, Z.; Liu, J.J.; Ueno, H.; Nantermet, P.G.; Guy, R.K.; Claiborne, C.F.; Renaud, J.; Couladouros, E.A.; Paulvannan, K.; et al. Total synthesis of taxol. Nature 1994, 367, 630–634. [Google Scholar] [CrossRef]
- Oppolzer, W. Camphor derivatives as chiral auxiliaries in asymmetric synthesis. Tetrahedron 1987, 43, 1969–2004. [Google Scholar] [CrossRef]
- Oppolzer, W. Camphor as a natural source of chirality in asymmetric synthesis. Pure Appl. Chem. 1990, 62, 1241–1250. [Google Scholar] [CrossRef]
- Kitamura, M.; Suga, S.; Kawai, K.; Noyori, R. Catalytic asymmetric induction. Highly enantioselective addition of dialkylzincs to aldehydes. J. Am. Chem. Soc. 1986, 108, 6071–6072. [Google Scholar] [CrossRef]
- Nugent, W.A. MIB: An advantageous alternative to DAIB for the addition of organozinc reagents to aldehydes. Chem. Commun. 1999, 1369–1370. [Google Scholar] [CrossRef]
- Stereoselective Organocatalysis; Rios, R., Ed.; John Wiley & Sons: Hoboken, NJ, USA, 2013. [Google Scholar]
- Jakab, G.; Schreiner, P.R. Brønsted Acids: Chiral (Thio)urea Derivatives In Comprehensive Enantioselective Organocatalysis; Dalko, P.I., Ed.; Wiley-VCH: Weinheim, Germany, 2013; pp. 315–342. [Google Scholar]
- Grošelj, U. Camphor-Derivatives in Asymmetric Organocatalysis–Synthesis and Application. Curr. Org. Chem. 2015, 19, 2048–2074. [Google Scholar] [CrossRef]
- Grošelj, U. Camphor-derived heterocycles syntheses and potential applications. Targets Heterocycl. Syst. 2015, 19, 62–100. [Google Scholar]
- Rajaram, S.; Sigman, M.S. Design of Hydrogen Bond Catalysts Based on a Modular Oxazoline Template: Application to an Enantioselective Hetero Diels−Alder Reaction. Org. Lett. 2005, 7, 5473–5475. [Google Scholar] [CrossRef] [PubMed]
- List, B.; Lerner, R.A.; Barbas III, C.F. Proline-Catalyzed Direct Asymmetric Aldol Reactions. J. Am. Chem. Soc. 2000, 122, 2395–2396. [Google Scholar] [CrossRef]
- Ahrendt, K.A.; Borths, C.J.; MacMillan, D.W.C. New Strategies for Organic Catalysis: The First Highly Enantioselective Organocatalytic Diels-Alder Reaction. J. Am. Chem. Soc. 2000, 122, 4243–4244. [Google Scholar] [CrossRef]
- Sigman, M.S.; Jacobsen, E.N. Schiff Base Catalysts for the Asymmetric Strecker Reaction Identified and Optimized from Parallel Synthetic Libraries. J. Am. Chem. Soc. 1998, 120, 4901–4902. [Google Scholar] [CrossRef]
- Sigman, M.S.; Vachal, P.; Jacobsen, E.N. A general catalyst for the asymmetric Strecker reaction. Angew. Chem. Int. Ed. 2000, 39, 1279–1281. [Google Scholar] [CrossRef]
- Okino, T.; Hoashi, Y.; Takemoto, Y. Enantioselective Michael Reaction of Malonates to Nitroolefins Catalyzed by Bifunctional Organocatalysts. J. Am. Chem. Soc. 2003, 125, 12672–12673. [Google Scholar] [CrossRef] [PubMed]
- Enders, D.; Kallfass, U. An efficient nucleophilic carbene catalyst for the asymmetric benzoin condensation. Angew. Chem. Int. Ed. 2002, 41, 1743–1745. [Google Scholar] [CrossRef]
- Reddy, R.J.; Kuan, H.-H.; Chou, T.-Y.; Chen, K. Novel Prolinamide-Camphor-Containing Organocatalysts for Direct Asymmetric Michael Addition of Unmodified Aldehydes to Nitroalkenes. Chem. Eur. J. 2009, 15, 9294–9298. [Google Scholar] [CrossRef]
- Chang, C.; Li, S.-H.; Reddy, R.J.; Chen, K. Pyrrolidine-Camphor Derivative as an Organocatalyst for Asymmetic Michael Additions of α,α-Disubstituted Aldehydes to β-Nitroalkenes: Construction of Quaternary Carbon-Bearing Aldehydes under Solvent-Free Conditions. Adv. Synth. Catal. 2009, 351, 1273–1278. [Google Scholar] [CrossRef]
- Ting, Y.-F.; Chang, C.; Reddy, R.J.; Magar, D.R.; Chen, K. Pyrrolidinyl–Camphor Derivatives as a New Class of Organocatalyst for Direct Asymmetric Michael Addition of Aldehydes and Ketones to β-Nitroalkenes. Chem. Eur. J. 2010, 16, 7030–7038. [Google Scholar] [CrossRef] [PubMed]
- Tzeng, Z.-H.; Chen, H.-Y.; Reddy, R.J.; Huang, C.-T.; Chen, K. Highly diastereo- and enantioselective direct aldol reactions promoted by water-compatible organocatalysts bearing a pyrrolidinyl-camphor structural scaffold. Tetrahedron 2009, 65, 2879–2888. [Google Scholar] [CrossRef]
- Bellis, E.; Kokotos, G. 4-Substituted prolines as organocatalysts for aldol reactions. Tetrahedron 2005, 61, 8669–8676. [Google Scholar] [CrossRef]
- Liu, P.-M.; Chang, C.; Reddy, R.J.; Ting, Y.-F.; Kuan, H.-H.; Chen, K. Remarkable Reaction Rate and Excellent Enantioselective Direct α-Amination of Aldehydes with Azodicarboxylates Catalyzed by Pyrrolidinylcamphor-Derived Organocatalysts. Eur. J. Org. Chem. 2010, 42–46. [Google Scholar] [CrossRef]
- Chen, Y.-m.; Lee, P.-H.; Lin, J.; Chen, K. Desymmetrization and Switching of Stereoselectivity in Direct Organocatalytic Michael Addition of Ketones to 1,1-Bis(phenylsulfonyl)ethylene. Eur. J. Org. Chem. 2013, 2013, 2699–2707. [Google Scholar] [CrossRef]
- Zhou, Y.; Liu, Q.; Gong, Y. Camphor-derived C1-symmetric chiral diamine organocatalysts for asymmetric Michael addition of nitroalkanes to enones. Org. Biomol. Chem. 2012, 10, 7618–7627. [Google Scholar] [CrossRef]
- Lemay, M.; Ogilvie, W.W. Aqueous Enantioselective Organocatalytic Diels−Alder Reactions Employing Hydrazide Catalysts. A New Scaffold for Organic Acceleration. Org. Lett. 2005, 7, 4141–4144. [Google Scholar] [CrossRef]
- He, H.; Pei, B.-J.; Chou, H.-H.; Tian, T.; Chan, W.-H.; Lee, A.W.M. Camphor Sulfonyl Hydrazines (CaSH) as Organocatalysts in Enantioselective Diels−Alder Reactions. Org. Lett. 2008, 10, 2421–2424. [Google Scholar] [CrossRef]
- Li, Q.; Wong, W.-Y.; Chan, W.-H.; Lee, A.W.M. Second Generation CaSH (Camphor Sulfonyl Hydrazine) Organocatalysis. Asymmetric Diels–Alder Reactions and Isolation of the Catalytic Intermediate. Adv. Synth. Catal. 2010, 352, 2142–2146. [Google Scholar] [CrossRef]
- Li, Y.; Feng, Z.; You, S.-L. D-Camphor-derived triazolium salts for catalytic intramolecular crossed aldehyde–ketone benzoin reactions. Chem. Commun. 2008, 2263–2265. [Google Scholar] [CrossRef]
- Li, Y.; Wang, X.-Q.; Zheng, C.; You, S.-L. Highly enantioselective intramolecular Michael reactions by D-camphor-derived triazolium salts. Chem. Commun. 2009, 5823–5825. [Google Scholar] [CrossRef]
- Rong, Z.-Q.; Jia, M.-Q.; You, S.-L. Enantioselective N-Heterocyclic Carbene-Catalyzed Michael Addition to α,β-Unsaturated Aldehydes by Redox Oxidation. Org. Lett. 2011, 13, 4080–4083. [Google Scholar] [CrossRef] [PubMed]
- Jia, M.-Q.; You, S.-L. N-Heterocyclic Carbene-Catalyzed Enantioselective Intramolecular N-Tethered Aldehyde–Ketone Benzoin Reactions. ACS Catal. 2013, 3, 622–624. [Google Scholar] [CrossRef]
- Jia, M.-Q.; You, S.-L. Desymmetrization of Cyclohexadienones via Intramolecular Stetter Reaction to Construct Tricyclic Carbocycles. Synlett 2013, 24, 1201–1204. [Google Scholar] [CrossRef]
- Rong, Z.-Q.; Li, Y.; Yang, G.-Q.; You, S.-L. D-Camphor-Derived Triazolium Salts for Enantioselective Intramolecular Stetter Reactions. Synlett 2011, 1033–1037. [Google Scholar]
- Rafiński, Z.; Kozakiewicz, A. Enantioselective Synthesis of Chromanones Bearing Quaternary Substituted Stereocenters Catalyzed by (1R)-Camphor-Derived N-Heterocyclic Carbenes. J. Org. Chem. 2015, 80, 7468–7476. [Google Scholar] [CrossRef]
- Grošelj, U.; Ričko, S.; Svete, J.; Stanovnik, B. Synthesis of 2-(3-(3,5-Bis(trifluoromethyl)phenyl)thioureido)-3-((dimethylamino)methyl)camphor Organocatalysts. Chirality 2012, 24, 412–419. [Google Scholar] [CrossRef]
- Grošelj, U.; Sevšek, A.; Ričko, S.; Golobič, A.; Svete, J.; Stanovnik, B. Synthesis and Structural Characterization of Novel Camphor-derived Amines. Chirality 2012, 24, 778–788. [Google Scholar] [CrossRef]
- Ričko, S.; Golobič, A.; Svete, J.; Stanovnik, B.; Grošelj, U. Synthesis of Novel Camphor-Derived Bifunctional Thiourea Organocatalysts. Chirality 2015, 27, 39–52. [Google Scholar] [CrossRef]
- Ričko, S.; Svete, J.; Štefane, B.; Perdih, A.; Golobič, A.; Meden, A.; Grošelj, U. 1,3-Diamine-Derived Bifunctional Organocatalyst Prepared from Camphor. Adv. Synth. Catal. 2016, 358, 3786–3796. [Google Scholar] [CrossRef]
- Ričko, S.; Meden, A.; Ivančič, A.; Perdih, A.; Štefane, B.; Svete, J.; Grošelj, U. Organocatalyzed Deracemization of Δ2-Pyrrolin-4-ones. Adv. Synth. Catal. 2017, 359, 2288–2296. [Google Scholar] [CrossRef]
- Malerich, J.P.; Hagihara, K.; Rawal, V.H. Chiral Squaramide Derivatives are Excellent Hydrogen Bond Donor Catalysts. J. Am. Chem. Soc. 2008, 130, 14416–14417. [Google Scholar] [CrossRef] [PubMed]
- Peng, F.-Z.; Shao, Z.-H.; Fan, B.-M.; Song, H.; Li, G.-P.; Zhang, H.-B. Organocatalytic Enantioselective Michael Addition of 2,4-Pentanedione to Nitroalkenes Promoted by Bifunctional Thioureas with Central and Axial Chiral Elements. J. Org. Chem. 2008, 73, 5202–5205. [Google Scholar] [CrossRef]
- Almaşi, D.; Alonso, D.A.; Gómez-Bengoa, E.; Nájera, C. Chiral 2-Aminobenzimidazoles as Recoverable Organocatalysts for the Addition of 1,3-Dicarbonyl Compounds to Nitroalkenes. J. Org. Chem. 2009, 74, 6163–6168. [Google Scholar] [CrossRef] [PubMed]
- Zhang, L.; Lee, M.-M.; Lee, S.-M.; Lee, J.; Cheng, M.; Jeong, B.-S.; Park, H.-g.; Jew, S.-s. Novel cinchona-aminobenzimidazole bifunctional organocatalyst. Adv. Synth. Catal. 2009, 351, 3063–3066. [Google Scholar] [CrossRef]
- Ashokkumar, V.; Siva, A. Cinchona alkaloid-based chiral catalysts act as highly efficient multifunctional organocatalysts for the asymmetric conjugate addition of malonates to nitroolefins. Org. Biomol. Chem. 2015, 13, 10216–10225. [Google Scholar] [CrossRef] [PubMed]
- Bae, H.Y.; Song, C.E. Unprecedented Hydrophobic Amplification in Noncovalent Organocatalysis “on Water”: Hydrophobic Chiral Squaramide Catalyzed Michael Addition of Malonates to Nitroalkenes. ACS Catal. 2015, 5, 3613–3619. [Google Scholar] [CrossRef]
- Jiménez, E.I.; Vallejo Narváez, W.E.; Román-Chavarría, C.A.; Vazquez-Chavez, J.; Rocha-Rinza, T.; Hernández-Rodríguez, M. Bifunctional Thioureas with α-Trifluoromethyl or Methyl Groups: Comparison of Catalytic Performance in Michael Additions. J. Org. Chem. 2016, 81, 7419–7431. [Google Scholar] [CrossRef]
- Veverková, E.; Bilka, S.; Baran, R.; Šebesta, R. Squaramide-Catalyzed Michael Addition as a Key Step for the Direct Synthesis of GABAergic Drugs. Synthesis 2016, 48, 1474–1482. [Google Scholar]
- Ñíguez, D.R.; Guillena, G.; Alonso, D.A. Chiral 2-Aminobenzimidazoles in Deep Eutectic Mixtures: Recyclable Organocatalysts for the Enantioselective Michael Addition of 1,3-Dicarbonyl Compounds to β-Nitroalkenes. ACS Sustainable Chem. Eng. 2017, 5, 10649–10656. [Google Scholar] [CrossRef]
- Tukhvatshin, R.S.; Kucherenko, A.S.; Nelyubina, Y.V.; Zlotin, S.G. Tertiary Amine-Derived Ionic Liquid-Supported Squaramide as a Recyclable Organocatalyst for Noncovalent “On Water” Catalysis. ACS Catal. 2017, 7, 2981–2989. [Google Scholar] [CrossRef]
- Bartlett, P.D.; Knox, L.H. DL-Ketopinic acid. Org. Synth. 1965, 45, 55–56. [Google Scholar]
- Bartlett, P.D.; Knox, L.H. D,L-10-Camphorsulfonyl chloride. Org. Synth. 1965, 45, 14–16. [Google Scholar]
- Spino, C.; Joly, M.-A.; Godbout, C.; Arbour, M. Ti-Catalyzed Reactions of Hindered Isocyanates with Alcohols. J. Org. Chem. 2005, 70, 6118–6121. [Google Scholar] [CrossRef] [PubMed]
- Ishidate, M.; Kawada, A. Cleavage of the camphor ring. V. 7-Hydroxy-π-apocamphane and 1-hydroxy-10-apocamphor. Pharm. Bull. 1956, 4, 483–486. [Google Scholar] [CrossRef] [PubMed][Green Version]
- Wu, Z.-L.; Wu, H.-L.; Wu, P.-Y.; Uang, B.-J. Asymmetric addition of diethylzinc to aldehydes catalyzed by a camphor-derived β-amino alcohol. Tetrahedron Asymmetry 2009, 20, 1556–1560. [Google Scholar] [CrossRef]
- Grošelj, U.; Golobič, A.; Knez, D.; Hrast, M.; Gobec, S.; Ričko, S.; Svete, J. Synthesis and preliminary biological evaluations of (+)-isocampholenic acid-derived amides. Mol. Diversity 2016, 20, 667–676. [Google Scholar] [CrossRef]
- Garcia Martínez, A.; Teso Vilar, E.; Garcia Fraile, A.; de la Moya Cerero, S.; Diaz Oliva, C.; Subramanian, L.R.; Maichle, C. Synthesis of homochiral cyclopentane derivatives by Beckmann fragmentation of 1-substituted 2-norbornanones. Tetrahedron Asymmetry 1994, 5, 949–954. [Google Scholar] [CrossRef]
- Garcia Martínez, A.; Teso Vilar, E.; Garcia Fraile, A.; de la Moya Cerero, S.; Ruiz, P.M.; Subramanian, L.R. Synthesis of homochiral 3-substituted cyclopentanones from 2-norbornanones. Tetrahedron Asymmetry 1996, 7, 2177–2180. [Google Scholar] [CrossRef]
- Free amine could not be isolated in pure form. The crude amine obtained upon reduction of the respective oxime was subsequently transformed with 3,5-bis(trifluoromethyl)phenylisothiocyanate into isolable pure thiourea derivative.
- The crude compound obtained after given workup was used in the following transformation without further purification.
- García Martinez, A.; Teso Vilar, E.; García Fraile, A.; de la Moya Cerero, S.; Díaz Morillo, C. Enantiospecific access to 10-N-substituted camphors. Tetrahedron 2005, 61, 599–601. [Google Scholar] [CrossRef]
- García Martinez, A.; de la Moya Cerero, S.; Teso Vilar, E.; García Fraile, A.; Díaz Morillo, C.; de las Casas Engel, T. First efficient synthesis of enantiopure homoketopinic acid. Lett. Org. Chem. 2007, 4, 123–125. [Google Scholar] [CrossRef]
- Loudon, J.D. Mercury derivatives of camphor. I. The constitution of Reychler’s acid. J. Chem. Soc. 1933, 823–825. [Google Scholar] [CrossRef]
- Schenone, P.; Tasca, A.; Bignardi, G.; Mosti, L. N,N-disubstituted 10-amino-2-exo-bornanols and related esters. Eur. J. Med. Chem. Chim. Ther. 1975, 10, 412–417. [Google Scholar]
- Helliwell, M.; Thomas, E.J.; Townsend, L.A. Synthesis of chiral organotin reagents: Synthesis of enantiomerically enriched bicyclo[2.2.1]hept-2-yl tin hydrides from camphor. X-ray crystal structures of (dimethyl)[(1R,2S,4R)-1,7,7-trimethylbicyclo[2.2.1]hept-2-yl]tin chloride and methyl(phenyl)bis[(1R,2S,4R)-1,7,7-trimethylbicyclo[2.2.1]hept-2-yl]stannane. J. Chem. Soc. Perkin Trans. 2002, 1286–1296. [Google Scholar]
- Grošelj, U.; Golobič, A.; Svete, J.; Ričko, S. Synthesis and reduction of 10-phthalimidocamphor oxime. Acta Chim. Slov. 2017, 64, 790–797. [Google Scholar] [CrossRef]
- For details see the Supporting Information.
- Page, P.C.B.; Murrell, V.L.; Limousin, C.; Laffan, D.D.P.; Bethell, D.; Slawin, A.M.Z.; Smith, T.A.D. The first stable enantiomerically pure chiral N-H oxaziridines: Synthesis and reactivity. J. Org. Chem. 2000, 65, 4204–4207. [Google Scholar] [CrossRef]
- Ju, Y.; Varma, R.S. An Efficient and Simple Aqueous N-Heterocyclization of Aniline Derivatives: Microwave-Assisted Synthesis of N-Aryl Azacycloalkanes. Org. Lett. 2005, 7, 2409–2411. [Google Scholar] [CrossRef]
- Okino, T.; Hoashi, Y.; Furukawa, T.; Xu, X.; Takemoto, Y. Enantio- and Diastereoselective Michael Reaction of 1,3-Dicarbonyl Compounds to Nitroolefins Catalyzed by a Bifunctional Thiourea. J. Am. Chem. Soc. 2005, 127, 119–125. [Google Scholar] [CrossRef]
- Hamza, A.; Schubert, G.; Soós, T.; Pápai, I. Theoretical Studies on the Bifunctionality of Chiral Thiourea-Based Organocatalysts: Competing Routes to C−C Bond Formation. J. Am. Chem. Soc. 2006, 128, 13151–13160. [Google Scholar] [CrossRef]
- Tan, B.; Lu, Y.; Zeng, X.; Chua, P.J.; Zhong, G. Facile Domino Access to Chiral Bicyclo[3.2.1]octanes and Discovery of a New Catalytic Activation Mode. Org. Lett. 2010, 12, 2682–2685. [Google Scholar] [CrossRef]
- Sohtome, Y.; Shin, B.; Horitsugi, N.; Takagi, R.; Noguchi, K.; Nagasawa, K. Entropy-Controlled Catalytic Asymmetric 1,4-Type Friedel–Crafts Reaction of Phenols Using Conformationally Flexible Guanidine/Bisthiourea Organocatalyst. Angew. Chem. Int. Ed. 2010, 49, 7299–7303. [Google Scholar] [CrossRef] [PubMed]
- Sohtome, Y.; Horitsugi, N.; Takagi, R.; Nagasawa, K. Enantioselective Phospha-Michael Reaction of Diphenyl Phosphonate with Nitroolefins Utilizing Conformationally Flexible Guanidinium/Bisthiourea Organocatalyst: Assembly-State Tunability in Asymmetric Organocatalysis. Adv. Synth. Catal. 2011, 353, 2631–2636. [Google Scholar] [CrossRef]
- Yao, W.; Chen, M.; Liu, X.; Jiang, R.; Zhang, S.; Chen, W. Ferrocene as a scaffold for effective bifunctional amine–thiourea organocatalysts. Catal. Sci. Technol. 2014, 4, 1726–1729. [Google Scholar] [CrossRef]
- Ren, X.; He, C.; Feng, Y.; Chai, Y.; Yao, W.; Chen, W.; Zhang, S. Novel ferrocene-based bifunctional amine–thioureas for asymmetric Michael addition of acetylacetone to nitroolefins. Org. Biomol. Chem. 2015, 13, 5054–5060. [Google Scholar] [CrossRef] [PubMed]
- Wang, W.-H.; Abe, T.; Wang, X.-B.; Kodama, K.; Hirose, T.; Zhang, G.-Y. Self-assembled proline-amino thioureas as efficient organocatalysts for the asymmetric Michael addition of aldehydes to nitroolefins. Tetrahedron Asymmetry 2010, 21, 2925–2933. [Google Scholar] [CrossRef]
Sample Availability: Samples of the compounds 18, 20a–23a, 24, 52, and 53 are available from the authors. |
© 2020 by the authors. Licensee MDPI, Basel, Switzerland. This article is an open access article distributed under the terms and conditions of the Creative Commons Attribution (CC BY) license (http://creativecommons.org/licenses/by/4.0/).











