Next Article in Journal
Formulation of More Efficacious Curcumin Delivery Systems Using Colloid Science: Enhanced Solubility, Stability, and Bioavailability
Previous Article in Journal
Inositol Pyrophosphate Pathways and Mechanisms: What Can We Learn from Plants?
 
 
Font Type:
Arial Georgia Verdana
Font Size:
Aa Aa Aa
Line Spacing:
Column Width:
Background:
Article

Asymmetric Synthesis of Photophore-Containing Lactisole Derivatives to Elucidate Sweet Taste Receptors

1
Department of Applied Biological Chemistry, Graduate School of Agricultural and Life Sciences, The University of Tokyo, Tokyo 113-8657, Japan
2
Proteo-Science Center, Ehime University, Ehime 791-8577, Japan
3
Division of Applied Bioscience, Graduate School of Agriculture, Hokkaido University, Kita 9, Nishi 9, Kita-ku, Sapporo 060-8589, Japan
4
Program Study of Chemistry, Faculty of Mathematics and Natural Sciences, Institut Teknologi Bandung, Jalan Ganesha 10, Bandung 40132, Indonesia
5
Department of Pharmacy, School of Chemical Engineering, Dalian University of Technology, Dalian 116023, China
*
Author to whom correspondence should be addressed.
These authors contributed equally to this work.
Molecules 2020, 25(12), 2790; https://doi.org/10.3390/molecules25122790
Submission received: 29 May 2020 / Revised: 12 June 2020 / Accepted: 16 June 2020 / Published: 17 June 2020
(This article belongs to the Section Bioorganic Chemistry)

Abstract

Lactisole, which has a 2-phenoxy propionic acid skeleton, is well-known as an inhibitor of sweet taste receptors. We recently revealed some of the structure–activity relationships of the aromatic ring and chiral center of lactisole. Photoaffinity labeling is one of the common chemical biology methods to elucidate the interaction between bioactive compounds and biomolecules. In this paper, the novel asymmetric synthesis of lactisole derivatives with common photophores (benzophenone, azide and trifluoromethyldiazirine) for photoaffinity labeling is described. The synthetic compounds are subjected to cell-based sweet taste receptors, and the substitution with trifluoromethyldiazirinyl photophore shows the highest affinity to the receptor of the synthesized compounds.

1. Introduction

Lactisole (2-(4-methoxyphenoxy)propanoic acid) [1,2] is well-known as an inhibitor of sweet taste receptors and has been shown to interact with the transmembrane domain of the T1R3 subunit (T1R3-TMD) of the receptor [3]. The mother skeleton, 2-phenoxypropanoic acid, is found in several phenoxy herbicides, such as 2-(2,4-dichlorophenoxy)propanoic acid (dichlorprop, 2,4-DP) 2-(4-chlorophenoxy)propanoic acid (4-CPP) [4], and (R)-isomers of them have herbicide activities. We recently reported that the (S)-isomers at the 2-position of lactisole and 2,4-DP at the 2-position have higher affinity for sweet taste receptor than (R)-isomers [5]. These results are inconsistent with the herbicide activity for 2-phenoxypropanoic acid [6]. The detailed functional analysis of the stereocenter may be important to elucidate sweet taste receptors.
Photoaffinity labeling [7,8,9,10] is a useful biochemical method for the analysis of biological interactions between low-molecular-weight bioactive compounds and biomolecules. The methodology may afford other information near the binding sites which cannot be obtained from structure–activity relationship studies. Three major photophores—phenylazide, benzophenone and (trifluoromethyl)phenyldiazirine—are used for photoaffinity labeling [11]. We reported several preparations of gustatory ligands to elucidate gustatory receptors [12,13,14,15,16,17,18,19,20]; however, there are few studies on the synthesis of photoreactive lactisole derivatives which have aimed to elucidate their biological activities. In this paper, we describe the comprehensive synthesis of photoreactive lactisole derivatives (Figure 1), which we then used in an inhibitory activity assay for cell-based human sweet taste receptors.

2. Results

2.1. Synthesis

The key steps to construct a lactisole skeleton in an asymmetric manner are achieved by the Mitsunobu reaction for optically pure methyl lactate and phenol derivatives of photophore precursors. Details for each photophore are described below.

2.1.1. Benzophenone-Based Lactisole Derivatives

A few reports have described the preparations of racemic benzophenone-based lactisole derivatives and their separation by chromatography [21,22,23,24,25]. However, to date, the asymmetric synthesis of benzophenone-modified lactisole derivatives has not been reported. Hydroxybenzophenone derivatives (13), optically pure methyl lactate (4 and 5, 1.5 equiv.) and triphenylphosphine (1.2 equiv.) were preincubated at 0 °C for 10 min in dichloromethane and diethyl azodicarboxylate (1.5 equiv.) was slowly added to the solution. The reaction mixture was stirred at room temperature overnight and worked up with a general procedure. Purification with column chromatography afforded the optically pure methyl 2-benzoylphenoxypropionate derivatives 68 with a good yield. The methyl esters were subjected to chiral high-performance liquid chromatography (HPLC) with Chiralpak IG [2] to ensure the configuration of the chiral center. The methyl esters were hydrolyzed under reflux in the presence of K2CO3 to afford derivatives 913 in high yields (Figure 2).

2.1.2. Azide-Based Lactisole Derivatives

An example of the synthesis of racemic azide-based lactisole ethyl ester has been reported previously [26], but to date, the asymmetric synthesis of azide modified on the aromatic ring of the lactisole skeleton has not been reported. Akazome et al. reported the asymmetric synthesis of (R)-2-nitro (R)-23 [27] and (R)-3-nitro (R)-15 [28,29]-substituted lactisole methyl ester. Our retrosynthesis for comprehensive preparations of azide-based lactisole derivatives was based on the asymmetric synthesis of nitro-substituted lactisole skeletons, followed by the conversion of the nitro group to azide derivatives. First, 4- and 3- Nitrophenol 12 and 13, and optically pure methyl lactate 4 and 5 (1.5 equiv.) and triphenylphosphine (1.2 equiv.) were preincubated at 0 °C for 10 min in dichloromethane. Diethyl azodicarboxylate (1.5 equiv.) was slowly added to the solution to construct nitro-substituted methyl lactisole 14 and 15. Nitro groups were reduced under a hydrogen atmosphere in the presence of 5% Pd/C to afford amino derivatives 16 and 17. The aniline derivatives were subjected to diazotization followed by azidation to obtain azide-substituted methyl lactisole derivatives 18 and 19, which were checked by chiral center configuration. The methyl esters were hydrolyzed with sodium hydroxide under reflux condition to afford 20 and 21 in high yields (Figure 3).
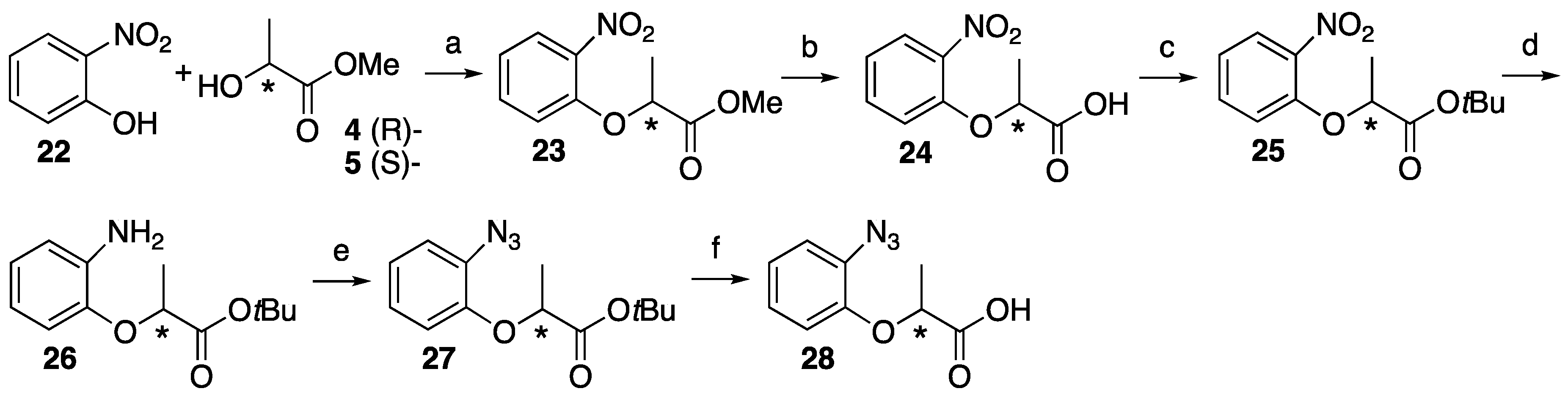
Then, 2-Nitrophenol 22 was also subjected to the Mitsunobu reaction in an identical manner with another isomer to make nitro methyl lactate skeleton 23. The hydrogenation of the nitro group promoted subsequent intramolecular cyclization between the amino and methyl ester to afford 2-methyl-2H-benzo[b][1,4]oxazin-3(4H)-one as the sole product [27]. To prevent intramolecular cyclization, the methyl ester hydrolyzed 24, then converted to tert-butyl ester 25. The hydrogenation of nitro group of 25 proceeded smoothly to isolate aniline derivative 26 within an hour. Although tert-butyl ester was selected, intramolecular cyclization between the aniline and ester proceeded with a longer reaction time (>4 h). Compound 26 was subjected to diazotization followed by azidation to construct phenylazide moiety 27, which was checked by chiral center configuration.
The deprotection of tert-butyl group of 27 with trifluoroacetic acid in dichloromethane afforded a complex mixture because the azide group was not stable under this condition. Mild acidic deprotection with 4 M HCl in dioxane was acceptable, but the partial decomposition of starting material 27 was observed over an hour. The starting material 27 could be recovered by partition within 1 h, and the hydrolysis was repeated for the recovered 27 three times to afford compound 28 in a moderate yield (Figure 4). The reaction with 2-nitrophenol 22 and optical pure tert-butyl lactate was also conducted to construct compound 25 directly, but unfortunately, the Mitsunobu reaction did not proceed for the tert-butyl lactate.

2.1.3. Trifluotromethyldiazirine-Based Lactisole Derivatives

To date, trifluoromethyldiazirine-based lactisole derivatives have not been reported. The three-membered azi (N=N) partial structure of trifluoromethyldiazirine is not stable for the Mitsunobu condition because the reactant, diethyl azodicarboxylate DEAD also has an azo group in its structure. The reaction with diazirinyl phenol derivatives and 1′-hydroxy peracetylsucrose with DEAD or Tsuda reagents did not occur in our previous study [14]. The synthetic plan was based on the preparation of trifluoroacetyl modified on the aromatic ring of lactisole; then we constructed a diazirinyl three-membered ring on the trifluoroacetyl group. The reagent of liquid ammonia is essential to the construction of the diazirine moiety, but the reagent also reacts with methyl ester to form amide. tert-Butyl ester was utilized for this purpose. p-Trifluoroacetyl anisole and m-trifluoroacetyl anisole 29 and 30 were selected as the starting material for 4 and 3-substituted lactisoles. Compound 29 was treated with lithium chloride under a reflux condition to obtain trifluoroacetyl phenol 31 [30,31]. m-Trifluoroacetyl phenol 32 was synthesized with a boron tribromide treatment of 30 at room temperature [32]. Mitsunobu reactions for these phenols with chiral methyl lactate were archived in an identical manner to construct lactisole methyl ester skeletons 33 and 34. After the hydrolysis of methyl esters with K2CO3 under the reflux condition, corresponding trifluoroacetyl-substituted carboxylic acids 35 and 36 were subjected to diazirine formation. However, it was difficult to construct diazirine moiety for 35 and 36 directly. The carboxylic acids were converted to tert-butyl esters with tert-butyl bromide in the presence of K2CO3 and tetrabutylammonium bromide (TBAB) under reflux conditions. Although the reactions were not completed within 5 h, the decompositions of the diazirinyl moiety of the starting material were observed over 5 h. tert-Butyl derivatives 37 and 38 were obtained with moderate yields and the starting materials could be recovered from the reaction mixture (Figure 5). The tert-butyl thioester formations [33] were also conducted for the carboxylic acids to improve the chemical yields of the protection. The chemical yields were almost identical with tert-butyl ester, but the recovery of the starting material was very difficult from the reaction mixture. Mitsunobu reactions for trifluoroacetyl phenol 31 and 32 with chiral tert-butyl lactate were also conducted, but no reactions were observed.
Then, 2-trifluoroactyl phenol, which was prepared by the Fries rearrangement of phenyl 2,2,2-trifluoroacetate with AlCl3 [34], was subjected to Mitsunobu reaction with chiral methyl lactate 4 and did not afford a 2-trifluoroacetyl lactisole skeleton. The Mitsunobu reaction of salicylaldehyde and methyl lactate 4 followed by the conversion of aldehyde to the trifluoroacetyl group also failed due to the instability of methyl ester for the condition of trifluoroacetyl construction. Protected salicylaldehyde was selected for trifluoroacetyl substitution at the 2-position of lactisole. The carbonyl group was protected by thioacetal 40 [35], then subjected to a Mitsunobu reaction with chiral methyl lactate 4 and 5 to construct lactisole methyl ester 41 in an identical manner to that described above. After the hydrolysis of methyl esters with methanolic NaOH under the reflux condition, carboxylic acid 42 was converted to lactisole tert-butyl ester 43, then thioacetal was deprotected with methyl iodide. Aldehyde 44 was treated with TMS-CF3 followed by oxidation with Dess–Martin periodinane [20] to afford 2-trifluoroacetyl-substituted lactisole tert-butyl ester 45 (Figure 6).
Each trifluoroacetyl-substituted lactisole tert-butyl esters (37, 38, 45) was subjected to diazirine constructions, oximation with hydroxylamine hydrochloride 4648, tosylation for hydroxyl group of oxime 4951, diaziridine formation with liquid ammonia 5254, and oxidation with activated MnO2 to obtain 5557, which were checked by chiral center configuration. tert-Butyl esters were hydrolyzed with trifluoroacetic acid to afford trifluoromethyldiazirine-based lactisole derivatives in moderate yields. The one-pot conversion of the tosyl oxime 49 to diazirine 55 [36] was also acceptable for the preparation with an identical yield (Figure 7).

2.2. Cell-Based Sweet Taste Assay

The synthesized photoreactive lactisole derivatives were administrated to the Flp-In 293 cell line and were expressed as inhibitors to the human sweet taste receptors, with less than 3.2 mM comprising the final concentration. (S)-configurations of all photoreactive lactisole derivatives were preferred for sweet taste inhibition, and the results were consistent with our previous studies for lactisole and 2,4-dichlorophenoxy propanoic acid (2,4-DP) [5]. Benzophenone photophore (911) is too bulky to substitute for sweet taste receptors. Azide-substituted lactisoles (20, 21 and 28), which feature the linear linkage of three nitrogen atoms, had slightly higher affinity for the receptor than benzophenone derivatives. Trifluoromethyldiazirinyl substitution (5860) had the highest affinity for sweet taste receptors among the photoreactive lactisole derivatives. The positions of photophores on aromatic rings are also influenced the activity, and the 4-position was preferred as a substitute. Fifty percent inhibitory concentration (IC50) values (µM) for (S)-58 and (S)-59 are almost identical with that of (S)-lactisole (Table 1, Supplementary Materials).

3. Discussion

The 2-phenoxypropanoic acid skeleton has a unique bioactivity and is known as a pesticide and sweetener inhibitor. It seems that the stereochemistry at the 2-position may play an important role in its biological activity. We reported a comparison of the biological activity of optically pure lactisole and 2,4-dichlorophenoxy propanoic acid, which were synthesized in an asymmetric manner. Photoaffinity labeling is one of the most reliable methods for functional analysis between small ligands and biomolecules. It is essential to prepare photophore-substituted ligand derivatives. In this paper, we achieved the asymmetric synthesis of benzophenone, azide and trifluoromethyldiazirine modified derivatives on the aromatic ring of lactisole. The Mitsunobu reaction was utilized to construct a lactisole skeleton in an asymmetric manner. Although benzophenone skeletons were acceptable for the Mitsunobu reaction conditions, azide and trifluoromethyldiazirine moieties are not suitable for the condition because of the nitrogen–nitrogen multiple bonds in their structures. The phenol derivatives of precursors for these photophores were utilized for the asymmetric synthesis of the lactisole skeleton, followed by the construction of photophores on these derivatives. Several instabilities of the intermediates to the reaction condition were found, which were overcome with improvements of the reaction condition or protecting groups. Human sweet receptor assays for the photophore-containing lactisole derivatives revealed that (S)-isomers at the 4-position of lactisole derivatives are important and that the trifluoromethyldiazirine-substituted derivatives have identical affinity to optically pure lactisole. These results indicated that photoaffinity labeling with synthetic lactisole derivatives will be useful for the functional analysis of sweet taste receptors.

4. Materials and Methods

4.1. General Procedures

All reagents used were of analytical grade. Nuclear magnetic resonance (NMR) spectra were measured by an EX 270 spectrometer (JEOL, Tokyo, Japan). Optical rotations were measured at 23 °C on a JASCO DIP370 polarimeter (JASCO, Tokyo, Japan). HRMS-ESI spectra were obtained with a Waters (Waters, Milford, CT, USA). Chiral lactisoles ((S)- and (R)-61) and 2,4-DPs ((S)- and (R)-62) were synthesized previously [5]. The chirality of ester derivatives was determined by a Chiralcel IG column (250 × 4.6 mm) with n-hexane and 2-propanol.

4.2. Synthesis of Benzophenone-Based Lactisole Derivatives

Methyl (S)-2-(4-benzoylphenoxy)propanoate ((S)-6). To 4-hydroxybenzophenone 1 (182 mg, 0.92 mmol) in dry CH2Cl2 (6 mL), methyl D-(+)-lactate 4 (144 mg, 1.38 mmol) and PPh3 (290 mg, 1.10 mmol) was added at 0 °C. After the reaction mixture was stirred for 10 min at 0 °C, DEAD (240 mg, 1.38 mmol) was slowly added at same temperature. The reaction mixture was stirred overnight at room temperature and partitioned between water and CH2Cl2. The organic layer was washed with brine, dried over MgSO4, filtered and concentrated. The residue was purified by column chromatography (ethyl acetate/n-hexane, 1:9) to give methyl (S)-2-(4-benzoylphenoxy)propanoate ((S)-6) (230 mg, 88%). [α]D −42 (c 1, CHCl3). 1H-NMR (270 MHz, CDCl3): δ = 7.81 (d, J = 8.6 Hz, 2H), 7.75 (d, J = 7.4 Hz, 2H), 7.56 (t, J = 7.4 Hz, 1H), 7.46 (t, J = 7.4 Hz, 2H), 6.93 (d, J = 8.6 Hz, 2H), 4.87 (q, J = 6.8 Hz, 1H), 3.78 (s, 3H), 1.67 (d, J = 6.8 Hz, 3H). 13C-NMR (67.5 MHz, CDCl3): δ = 195.4, 171.9, 161.0, 138.0, 132.5, 131.9, 130.9, 129.7, 128.1, 114.4, 72.4, 52.4, 18.3. HRMS (ESI): m/z calculated for C17H16O4 + H+ [M + H+]: 285.1127. Found: 285.1120. Chiral HPLC (n-hexane/2-propanol 90:10): tR 25.8 min.
Methyl (R)-2-(4-benzoylphenoxy)propanoate ((R)-6). The similar treatment of 4-hydroxybenzophenone 1 (361 mg, 1.82 mmol) and methyl L-(−)-lactate 5 (284 mg, 2.72 mmol) as that just described gave (R)-6 (542 mg, quant). [α]D +42 (c 1, CHCl3). 1H-NMR (270 MHz, CDCl3): δ = 7.80 (d, J = 8.9 Hz, 2H), 7.74 (d, J = 7.3 Hz, 2H), 7.55 (t, J = 7.3 Hz, 1H), 7.46 (t, J = 7.3 Hz, 2H), 7.46 (t, J = 7.3 Hz, 2H), 6.92 (d, J = 8.9 Hz, 2H), 4.87 (q, J = 6.8 Hz, 1H), 3.77 (s, 3H), 1.66 (d, J = 6.8 Hz, 3H). 13C-NMR (67.5 MHz, CDCl3): δ = 195.2, 171.9, 160.9, 138.0, 132.4, 131.9, 130.8, 129.6, 128.2, 114.3, 72.3, 52.3, 18.3. HRMS (ESI): m/z calculated for C17H16O4 + H+ [M + H+]: 285.1127. Found: 285.1132. Chiral HPLC (n-hexane/2-propanol 90:10): tR 28.0 min.
Methyl (S)-2-(3-benzoylphenoxy)propanoate ((S)-7). The similar treatment of 3-hydroxybenzophenone 2 (200 mg, 1.01 mmol) and methyl D-(+)-lactate 4 (157 mg, 1.51 mmol) as that just described gave (S)-7 (288 mg, quant). [α]D −28 (c 1, CHCl3). 1H-NMR (270 MHz, CDCl3): δ = 7.79 (d, J = 7.4 Hz, 2H), 7.59 (t, J = 7.4 Hz, 1H), 7.47 (t, J = 7.4 Hz, 2H), 7.38 (m, 2H), 7.30 (m, 1H), 7.12 (m, 1H), 4.83 (q, J = 6.8 Hz, 1H), 3.76 (s, 3H), 1.64 (d, J = 6.8 Hz, 3H). 13C-NMR (67.5 MHz, CDCl3): δ = 196.1, 172.2, 157.4, 138.9, 137.4, 132.4, 130.0, 129.4, 128.2, 123.5, 119.6, 115.8, 72.5, 52.3, 18.4. HRMS (ESI): m/z calculated for C17H16O4 + H+ [M + H+]: 285.1127. Found: 285.1127. Chiral HPLC (n-hexane/2-propanol 90:10): tR 19.6 min.
Methyl (R)-2-(3-benzoylphenoxy)propanoate ((R)-7). The similar treatment of 3-hydroxybenzophenone 2 (360 mg, 1.82 mmol) and methyl L-(−)-lactate 5 (284 mg, 2.72 mmol) as that just described gave (R)-7 (517 mg, quant). [α]D +28 (c 1, CHCl3). 1H-NMR (270 MHz, CDCl3): δ = 7.71 (d, J = 7.4 Hz, 2H), 7.51 (t, J = 7.4 Hz, 1H), 7.39 (t, J = 7.4 Hz, 2H), 7.31 (m, 2H), 7.22 (m, 1H), 7.04 (m, 1H), 4.75 (q, J = 6.8 Hz, 1H), 3.68 (s, 3H), 1.56 (d, J = 6.8 Hz, 3H). 13C-NMR (67.5 MHz, CDCl3): δ = 196.1, 172.2 157.4, 138.9, 137.4, 132.4, 129.7, 128.2, 123.5, 119.6, 115.9, 72.6, 52.3, 18.5. HRMS (ESI): m/z calculated for C17H16O4 + H+ [M + H+]: 285.1127. Found: 285.1122. Chiral HPLC (n-hexane/2-propanol 90:10): tR 18.9 min.
Methyl (S)-2-(2-benzoylphenoxy)propanoate ((S)-8). The similar treatment of 2-hydroxybenzophenone 3 (210 mg, 1.06 mmol) and methyl D-(+)-lactate 4 (165 mg, 1.59 mmol) as that just described gave (S)-8 (263 mg, 88%). [α]D +11 (c 1, CHCl3). 1H-NMR (270 MHz, CDCl3): δ = 7.84 (2H, d, J = 8.2 Hz), 7.54 (1H, t, J = 7.4 Hz), 7.43 (1H, d, J = 7.6 Hz), 7.42 (3H, t, J = 7.4 Hz), 7.08 (1H, t, J = 7.4 Hz), 6.80 (1H, d, J = 8.2 Hz), 4.66 (1H, q, J = 6.8 Hz), 3.68 (3H, s), 1.24 (3H, d, J = 6.8 Hz). 13C-NMR (67.5 MHz, CDCl3): δ = 196.3, 172.0, 155.3, 138.0, 132.7, 131.9, 130.0, 129.7, 129.7, 128.0, 121.6, 113.0, 73.2, 52.2, 18.0. HRMS (ESI): m/z calculated for C17H16O4 + H+ [M + H+]: 285.1127. Found: 285.1119. Chiral HPLC (n-hexane:2-propanol = 90:10) tR 15.4 min.
Methyl (R)-2-(2-benzoylphenoxy)propanoate ((R)-8). The similar treatment of 2-hydroxybenzophenone 3 (372 mg, 1.87 mmol) and methyl L-(−)-lactate 5 (293 mg, 2.81 mmol) as that just described gave (R)-8 (435 mg, 82%). [α]D −11 (c 1, CHCl3). 1H-NMR (270 MHz, CDCl3): δ = 7.83 (d, J = 8.2 Hz, 2H), 7.54 (t, J = 7.4 Hz, 1H), 7.43 (d, J = 7.6 Hz, 1H), 7.42 (t, J = 7.9 Hz, 3H), 7.08 (t, J = 7.4 Hz, 1H), 6.80 (d, J = 8.2 Hz, 1H), 4.66 (q, J = 6.8 Hz, 1H), 3.68 (s, 3H), 1.24 (d, J = 6.8 Hz, 3H). 13C-NMR (67.5 MHz, CDCl3): δ = 196.3, 172.0, 155.3, 138.0, 132.7, 131.8, 130.0, 129.7, 129.7, 128.0, 121.6, 113.0, 73.2, 52.1, 17.9. HRMS (ESI): m/z calculated for C17H16O4 + H+ [M + H+]: 285.1127. Found: 285.1132. Chiral HPLC (n-hexane:2-propanol = 90:10) tR 17.7 min.
(S)-2-(4-benzoylphenoxy)propanoic acid ((S)-9). Methyl (S)-2-(4-benzoylphenoxy)-propanoate (S)-6 (212 mg, 0.75 mmol) was dissolved in MeOH (14.4 mL) and H2O (1.6 mL), and then K2CO3 (309 mg, 2.24 mmol) was added. After the reaction mixture was stirred at reflux for 2 h, cooled to room temperature and then partitioned between ethyl acetate and water. The water layer was acidified by 1 M HCl and extracted by ethyl acetate. The organic layer was washed by H2O and brine, and dried over MgSO4, filtrated and concentrated to give (S)-2-(2-benzoylphenoxy)propanoic acid (S)-9 (206 mg, quant). [α]D −22 (c 1, CHCl3). 1H-NMR (270 MHz, CDCl3): δ = 7.82 (d, J = 8.9 Hz, 2H), 7.75 (d, J = 7.4 Hz, 2H), 7.57 (t, J = 7.4 Hz, 1H), 7.47 (t, J = 7.4 Hz, 2H), 6.95 (d, J = 8.9 Hz, 2H), 4.91 (q, J = 6.8 Hz, 1H), 1.72 (d, J = 6.8 Hz, 3H). 13C-NMR (67.5 MHz, CDCl3): δ = 195.9, 176.4, 160.9, 137.8, 132.6, 132.1, 130.8, 129.8, 128.2, 114.4, 71.9, 18.3. HRMS (ESI): m/z calculated for C16H14O4 + H+ [M + H+]: 271.0970. Found: 271.0970.
(R)-2-(4-benzoylphenoxy)propanoic acid ((R)-9). The similar treatment of methyl (R)-2-(4-benzoylphenoxy)propanoate (R)-6 (517 mg, 1.82 mmol) as that just described gave (R)-9 (511 mg, quant). [α]D +22 (c 1, CHCl3). 1H-NMR (270 MHz, CDCl3): δ = 7.82 (d, J = 8.9 Hz, 2H), 7.75 (d, J = 7.4 Hz, 2H), 7.57 (t, J = 7.4 Hz, 1H), 7.47 (t, J = 7.4 Hz, 2H), 6.96 (d, J = 8.9 Hz, 2H), 4.91 (q, J = 6.8 Hz, 1H), 1.72 (d, J = 6.8 Hz, 3H). 13C-NMR (67.5 MHz, CDCl3): δ = 196.0, 175.8, 161.0, 137.8, 132.6, 132.1, 130.8, 129.8, 128.2, 114.5, 72.0, 18.3. HRMS (ESI): m/z calculated for C16H14O4 + H+ [M + H+]: 271.0970. Found: 271.0950.
(S)-2-(3-benzoylphenoxy)propanoic acid ((S)-10). The similar treatment of methyl (S)-2-(3-benzoylphenoxy)propanoate (S)-7 (159 mg, 0.56 mmol) as that just described gave (S)-10 (144 mg, 95%). [α]D −9 (c 1, CHCl3). 1H-NMR (270 MHz, CDCl3): δ = 7.78 (d, J = 7.3 Hz, 2H), 7.57 (t, J = 7.3 Hz, 1H), 7.46 (t, J = 7.3 Hz, 2H), 7.40 (m, 2H), 7.3 (m, 1H), 7.15 (m, 1H), 4.88 (q, J = 6.8 Hz, 1H), 1.68 (d, J = 6.8 Hz, 3H). 13C-NMR (67.5 MHz, CDCl3): δ = 196.3, 177.0, 157.2, 139.0, 137.3, 132.6, 130.0, 129.6, 128.3, 123.9, 119.7, 116.0, 72.1, 18.3. HRMS (ESI): m/z calculated for C16H14O4 + H+ [M + H+]: 271.0970. Found: 271.0952. Chiral HPLC (n-hexane:2-propanol = 90:10) tR 25.8 min.
(R)-2-(3-benzoylphenoxy)propanoic acid ((R)-10). The similar treatment of methyl (R)-2-(3-benzoylphenoxy)propanoate (R)-7 (413 mg, 1.45 mmol) as that just described gave (R)-10 (465 mg, quant). [α]D +9 (c 1, CHCl3). 1H-NMR (270 MHz, CDCl3): δ = 7.78 (d, J = 7.4 Hz, 2H), 7.57 (t, J = 7.4 Hz, 1H), 7.45 (t, J = 7.4 Hz, 2H), 7.39 (m, 2H), 7.33 (m, 1H), 7.14 (m, 1H), 4.88 (q, J = 6.8 Hz, 1H), 1.68 (d, J = 6.8 Hz, 3H). 13C-NMR (67.5 MHz, CDCl3): δ = 196.5, 176.5, 157.2, 138.8, 137.2, 132.6, 130.0, 129.5, 128.2, 123.8, 119.7, 115.9, 72.1, 18.3. HRMS (ESI): m/z calculated for C16H14O4 + H+ [M + H+]: 271.0970. Found: 271.0960. Chiral HPLC (n-hexane:2-propanol = 90:10) tR 28.0 min.
(S)-2-(2-benzoylphenoxy)propanoic acid ((S)-11). The similar treatment of methyl (S)-2-(3-benzoylphenoxy)propanoate (S)-8 (229 mg, 0.80 mmol) as that just described gave (S)-11 (187 mg, 87%). [α]D −40 (c 1, CHCl3). 1H-NMR (270 MHz, CDCl3): δ = 7.87 (d, J = 7.3 Hz, 2H), 7.64 (t, J = 7.3 Hz, 1H), 7.50 (m, 4H), 7.12 (m, 2H), 5.00 (q, J = 6.8 Hz, 1H), 1.65 (d, J = 6.8 Hz, 3H). 13C-NMR (67.5 MHz, CDCl3): δ = 197.1, 173.1, 156.6, 137.0, 133.8, 132.1, 130.7, 128.5, 127.3, 121.9, 115.1, 75.2, 18.6. HRMS (ESI): m/z calculated for C16H14O4 + H+ [M + H+]: 271.0970. Found: 271.0950.
(R)-2-(2-benzoylphenoxy)propanoic acid ((R)-11). The similar treatment of methyl (S)-2-(2-benzoylphenoxy)propanoate (R)-8 (392 mg, 1.38 mmol) as that just described gave (R)-11 (326 mg, 88%). [α]D +40 (c 1, CHCl3). 1H-NMR (270 MHz, CDCl3): δ = 7.87 (d, J = 6.9 Hz, 2H), 7.64 (t, J = 7.4 Hz, 1H), 7.50 (m, 4H), 7.12(m, 2H), 5.01 (q, J = 6.9 Hz, 1H), 1.66 (d, J = 6.9 Hz, 3H). 13C-NMR (67.5 MHz, CDCl3): δ = 197.1, 173.0, 156.6, 137.0, 133.8, 132.1, 130.7, 128.5, 127.3, 121.9, 115.0, 75.2, 18.6. HRMS (ESI): m/z calculated for C16H14O4 + H+ [M + H+]: 271.0970. Found: 271.0950.

4.3. Synthesis of 3- or 4-Azidephenoxy-Based Lactisole Derivatives

Methyl (S)-2-(4-nitrophenoxy)propanoate ((S)-14). To 4-nitrophenol 12 (437 mg, 3.14 mmol) in dry CH2Cl2 (6 mL), D-(+)-lactate 4 (491 mg, 4.71 mmol) and PPh3 (989 mg, 3.77 mmol) was added at 0 °C After the reaction mixture was stirred for 10 min at 0 °C, DEAD (820 mg, 4.71 mmol) was slowly added at same temperature. The reaction mixture was stirred overnight at room temperature and partitioned between water and CH2Cl2. The organic layer was washed with brine, dried over MgSO4, filtered and concentrated. The residue was purified by column chromatography (ethyl acetate/n-hexane, 1:9) to give (S)-14 (700 mg, 99%). [α]D −64 (c 1, CHCl3). 1H-NMR (270 MHz, CDCl3): δ = 8.20 (d, J = 8.9 Hz, 2H), 6.93 (d, J = 8.9 Hz, 2H), 4.88 (q, J = 6.8 Hz, 1H), 3.78 (s, 3H), 1.68 (d, J = 6.8 Hz, 3H). 13C-NMR (67.5 MHz, CDCl3): δ = 171.4, 162.4, 142.0, 125.9, 114.9, 72.9, 52.6, 18.4. HRMS (ESI): m/z calculated for C10H11NO5 + H+ [M + H+]: 226.0715. Found: 226.0720.
Methyl (R)-2-(4-nitrophenoxy)propanoate ((R)-14). The similar treatment of 4-nitrophenol 12 (128 mg, 0.92 mmol) and methyl L-(−)-lactate 5 (144 mg, 1.38 mmol) as that just described gave (R)-14 (213 mg, quant). [α]D +64 (c 1, CHCl3), (ref. [α]D +64.4 (c 0.10, CHCl3) [29]). 1H-NMR (270 MHz, CDCl3): δ = 8.18 (d, J = 8.6 Hz, 2H), 6.93 (d, J = 9.2 Hz, 2H), 4.90 (q, J = 6.8 Hz, 1H), 3.78 (s, 3H), 1.68 d, J = 6.8 Hz, 3H). 13C-NMR (67.5 MHz, CDCl3): δ = 171.2, 162.3, 141.9, 125.8, 114.8, 72.7, 52.5, 18.2. HRMS (ESI): m/z calculated for C10H11NO5 + H+ [M + H+]: 226.0715. Found: 226.0720.
Methyl (S)-2-(3-nitrophenoxy)propanoate ((S)-15). The similar treatment of 3-nitrophenol 13 (301 mg, 2.16 mmol) and methyl D-(+)-lactate 4 (338 mg, 3.24 mmol) as that just described gave (S)-15 (490 mg, quant). [α]D −59 (c 1, CHCl3). 1H-NMR (270 MHz, CDCl3): δ = 7.85 (dd, J = 8.1, 2.3 Hz, 1H), 7.69 (t, J = 2.3 Hz, 1H), 7.44 (t, J = 8.1 Hz, 1H), 7.22 (dd, J = 8.1, 2.3 Hz, 1H), 4.87 (q, J = 6.8 Hz, 1H), 3.79 (s, 3H), 1.67 (d, J = 6.8 Hz, 3H). 13C-NMR (67.5 MHz, CDCl3): δ = 171.5, 158.0, 149.1, 130.1, 121.8, 116.5, 109.7, 72.9, 52.5, 18.3. HRMS (ESI): m/z calculated for C10H11NO5 + H+ [M + H+]: 226.0715. Found: 226.0730.
Methyl (R)-2-(3-nitrophenoxy)propanoate ((R)-15). The similar treatment of 3-nitrophenol 13 (422 mg, 3.04 mmol) and methyl L-(−)-lactate 5 (474 mg, 4.55 mmol) as that just described gave (R)-15 (711 mg, quant). [α]D +59 (c 1, CHCl3). 1H-NMR (270 MHz, CDCl3): δ = 7.85 (dd, J = 8.2, 2.3 Hz, 1H), 7.69 (t, J = 2.3 Hz, 1H), 7.44 (t, J = 8.2 Hz, 1H), 7.22 (dd, J = 8.2, 2.3 Hz, 1H), 4.87 (q, J = 6.8 Hz, 1H), 3.79 (s, 3H), 1.67 (d, J = 6.8 Hz, 3H). 13C-NMR (67.5 MHz, CDCl3): δ = 171.5, 158.0, 149.1, 130.1, 121.8, 116.5, 109.7, 72.9, 52.5, 18.3. HRMS (ESI): m/z calculated for C10H11NO5 + H+ [M + H+]: 226.0715. Found: 226.0710.
Methyl (S)-2-(4-aminophenoxy)propanoate ((S)-16). Methyl (S)-2-(4-nitrophenoxy)-propanoate (S)-15 (700 mg, 3.11 mmol) and 5% Pd/C (35.0 mg) were suspended in MeOH (10 mL). The reaction mixture was stirred vigorously at room temperature for 2 h under H2 atmosphere. The residue was filtrated using Celite and concentrated to give (S)-16 (607 mg, quant). [α]D −50 (c 1, CHCl3). 1H-NMR (270 MHz, CDCl3): δ = 6.73 (d, J = 8.9 Hz, 2H), 6.59 (d, J = 8.9 Hz, 2H), 4.63 (q, J = 6.8 Hz, 1H), 3.73 (s, 3H), 3.46 (s, 2H), 1.57 (d, J = 6.8 Hz, 3H). 13C-NMR (67.5 MHz, CDCl3): δ = 173.0, 150.4, 141.0, 116.7, 116.1, 73.7, 52.1, 18.5. HRMS (ESI): m/z calculated for C10H13NO3 + H+ [M + H+]: 196.0974. Found: 196.0960.
Methyl (R)-2-(4-aminophenoxy)propanoate ((R)-16). The similar treatment of methyl (R)-2-(4-nitrophenoxy)propanoate (R)-15 (575 mg, 2.56 mmol) as that just described gave (R)-16 (500 mg, quant). [α]D +50 (c 1, CHCl3). 1H-NMR (270 MHz, CDCl3): δ = 6.73 (d, J = 8.9 Hz, 2H), 6.66 (d, J = 8.9 Hz, 2H), 4.64 (q, J = 6.8 Hz, 1H), 4.24 (s, 2H), 3.73 (s, 3H), 1.57 (3H, d, J = 6.8 Hz, 3H). 13C-NMR (67.5 MHz, CDCl3): δ = 172.9, 151.0, 139.5, 116.9, 116.7, 73.6, 52.1, 18.5. HRMS (ESI): m/z calculated for C10H13NO3 + H+ [M + H+]: 196.0974. Found: 196.0950.
Methyl (S)-2-(3-aminophenoxy)propanoate ((S)-17). The similar treatment of methyl (S)-2-(3-nitrophenoxy)propanoate (S)-15 (490 mg, 2.17 mmol) as that just described gave (S)-17 (367 mg, 87%). [α]D −23 (c 1, CHCl3). 1H-NMR (270 MHz, CDCl3): δ = 7.01 (t, J = 7.9 Hz, 1H), 6.28 (dd, J = 7.9, 1.0 Hz, 1H), 6.23 (m, 2H), 4.72 (q, J = 6.8 Hz, 1H), 3.73 (s, 3H), 3.68 (s, 3H), 1.58 (d, J = 6.8 Hz, 3H). 13C-NMR (67.5 MHz, CDCl3): δ = 172.7, 158.5, 147.9, 130.0, 108.7, 104.4, 102.1, 72.2, 52.1, 18.5. HRMS (ESI): m/z calculated for C10H13NO3 + H+ [M + H+]: 196.0974. Found: 196.0980.
Methyl (R)-2-(3-aminophenoxy)propanoate ((R)-17). The similar treatment of methyl (R)-2-(3-nitrophenoxy)propanoate (R)-15 (628 mg, 2.78 mmol) as that just described gave (R)-17 (558 mg, quant). [α]D +23 (c 1, CHCl3). 1H-NMR (270 MHz, CDCl3): δ = 7.05 (t, J = 7.9 Hz, 1H), 6.37 (d, J = 7.9 Hz, 1H), 6.25 (m, 2H), 4.73 (q, J = 6.8 Hz, 1H), 4.19 (s, 2H), 3.75 (s, 3H), 1.59 (d, J = 6.8 Hz, 3H). 13C-NMR (67.5 MHz, CDCl3): δ = 172.8, 158.6, 146.7, 130.2, 109.3, 105.3, 102.9, 72.4, 52.3, 18.5. HRMS (ESI): m/z calculated for C10H13NO3 + H+ [M + H+]: 196.0974. Found: 196.0960.
Methyl (S)-2-(4-azidephenoxy)propanoate ((S)-18). Methyl (S)-2-(4-aminophenoxy)-propanoate (S)-14 (607 mg, 3.11 mmol) was dissolved in water (6.78 mL) and 37% HCl (0.76 mL) at 0 °C. NaNO2 (237 mg, 3.44 mmol) in water (2.26 mL) was added slowly at 0 °C, followed by NaN3 (381 mg, 5.87 mmol) in water (2.26 mL). After 30 min at 0 °C and 30 min at room temperature, the reaction mixture was extracted with ethyl acetate. The organic layer was washed by brine, dried over MgSO4, filtrated and concentrated to give (S)-18 (702 mg, quant). [α]D −45 (c 1, CHCl3). 1H-NMR (270 MHz, CDCl3): δ = 6.94 (d, J = 9.2 Hz, 2H), 6.86 (d, J = 9.2 Hz, 2H), 4.72 (q, J = 6.8 Hz, 1H), 3.76 (s, 3H), 1.61 (d, J = 6.8 Hz, 3H). 13C-NMR (67.5 MHz, CDCl3): δ = 172.4, 154.9, 133.4, 120.1, 116.5, 73.0, 52.3, 18.5. HRMS (ESI): m/z calculated for C10H11N3O3 + H+ [M + H+]: 222.0879. Found: 222.0860. Chiral HPLC (n-hexane/2-propanol 99:1): tR 20.5 min.
Methyl (R)-2-(4-azidephenoxy)propanoate ((R)-18). The similar treatment of methyl (R)-2-(4-aminophenoxy)propanoate (R)-14 (500 mg, 2.56 mmol) as that just described gave (R)-18 (529 mg, 93%). [α]D +45 (c 1, CHCl3). 1H-NMR (270 MHz, CDCl3): δ = 6.94 (d, J = 9.2 Hz, 2H), 6.86 (d, J = 9.2 Hz, 2H), 4.73 (q, J = 6.8 Hz, 1H), 3.76 (s, 3H), 1.61 (d, J = 6.8 Hz, 3H). 13C-NMR (67.5 MHz, CDCl3): δ = 172.4, 154.9, 133.3, 120.1, 116.5, 73.0, 52.3, 18.5. HRMS (ESI): m/z calculated for C10H11N3O3 + H+ [M + H+]: 222.0879. Found: 222.0870. Chiral HPLC (n-hexane/2-propanol 99:1): tR 19.4 min.
Methyl (S)-2-(3-azidophenoxy)propanoate ((S)-19). The similar treatment of methyl (S)-2-(3-aminophenoxy)propanoate (S)-17 (323 mg, 1.65 mmol) as that just described gave (S)-19 (336 mg, 92%). [α]D −28 (c 1, CHCl3). 1H-NMR (270 MHz, CDCl3): δ = 7.24 (t, J = 8.2 Hz, 1H), 6.65 (t, J = 8.2 Hz, 2H), 6.55 (s, 1H), 4.76 (q, J = 6.8 Hz, 1H), 3.76 (s, 3H), 1.62 (d, J = 6.8 Hz, 3H). 13C-NMR (67.5 MHz, CDCl3): δ = 172.1, 158.6, 141.3, 130.5, 112.2, 111.1, 106.3, 72.5, 52.3, 18.4. HRMS (ESI): m/z calculated for C10H11N3O3 + H+ [M + H+]: 222.0879. Found: 222.0880. Chiral HPLC (n-hexane/2-propanol 99:1): tR 18.0 min.
Methyl (R)-2-(3-azidophenoxy)propanoate ((R)-19). The similar treatment of methyl (R)-2-(3-aminophenoxy)propanoate (R)-17 (518 mg, 2.65 mmol) as that just described gave (R)-19 (497 mg, 85%). [α]D +28 (c 1, CHCl3). 1H-NMR (270 MHz, CDCl3): δ = 7.24 (t, J = 8.1 Hz, 1H), 6.65 (t, J = 8.1 Hz, 1H), 6.55 (s, 1H), 4.76 (q, J = 6.8 Hz, 1H), 3.76 (s, 3H), 1.62 (d, J = 6.8 Hz, 3H). 13C-NMR (67.5 MHz, CDCl3): δ = 172.0, 158.5, 141.2, 130.4, 112.0, 111.0, 106.2, 72.3, 52.1, 18.2. HRMS (ESI): m/z calculated for C10H11N3O3 + H+ [M + H+]: 222.0879. Found: 222.0860. Chiral HPLC (n-hexane/2-propanol 99:1): tR 16.7 min.
(S)-2-(4-Azidophenoxy)propanoic acid ((S)-20). Methyl (S)-2-(4-azidophenoxy)propanoate (S)-18 (702 mg, 3.17 mmol) was dissolved in MeOH (15 mL) and 2M NaOH (3.2 mL). After the reaction mixture was stirred at reflux for 2 h, cooled to room temperature and then partitioned between ethyl acetate and water. The water layer was acidified by 1 M HCl aq and extracted by ethyl acetate. The organic layer was washed by H2O and brine, and dried over MgSO4, filtrated and concentrated to give (S)-20 (601 mg, 91%). [α]D +27 (c 1, CHCl3). 1H-NMR (270 MHz, CDCl3): δ = 9.68 (s, 1H), 6.96 (d, J = 8.9 Hz, 4H), 6.89 (d, J = 8.9 Hz, 4H), 4.75 (d, J = 6.9 Hz, 1H), 1.66 (d, J = 6.9 Hz, 3H). 13C-NMR (67.5 MHz, CDCl3): δ = 177.6, 154.5, 133.7, 120.2, 116.6, 72.5, 18.4. HRMS (ESI): m/z calculated for C9H9N3O3 + H+ [M + H+]: 208.0722. Found: 208.0720.
(R)-2-(4-Azidophenoxy)propanoic acid ((R)-20). The similar treatment of methyl (R)-2-(4-azidophenoxy)propanoate (R)-18 (529 mg, 2.39 mmol) as that just described gave (R)-20 (475 mg, 96%). [α]D −27 (c 1, CHCl3). 1H-NMR (270 MHz, CDCl3): δ = 11.71 (s, 1H), 6.93 (d, J = 8.9 Hz, 2H), 6.87 (d, J = 8.9 Hz, 2H), 4.74 (q, J = 6.8 Hz, 1H), 1.65 (d, J = 6.8 Hz, 3H). 13C-NMR (67.5 MHz, CDCl3): δ = 178.1, 154.5, 133.7, 120.1, 116.6, 72.5, 18.4. HRMS (ESI): m/z calculated for C9H9N3O3 + H+ [M + H+]: 208.0722. Found: 208.0710.
(S)-2-(3-Azidophenoxy)propanoic acid ((S)-21). The similar treatment of methyl (S)-2-(3-azidephenoxy)propanoate (S)-19 (212 mg, 0.96 mmol) as that just described gave (S)-21 (211 mg, quant). [α]D −5 (c 1, CHCl3). 1H-NMR (270 MHz, CDCl3): δ = 7.26 (t, J = 8.1 Hz, 1H), 6.70 (dd, J = 8.1, 2.1 Hz, 1H), 6.66 (dd, J = 8.1, 2.1 Hz, 1H), 6.57 (t, J = 2.1 Hz, 1H), 4.80 (q, J = 6.8 Hz, 1H), 1.67 (d, J = 6.6 Hz, 3H). 13C-NMR (67.5 MHz, CDCl3): δ = 177.5, 158.4, 141.6, 130.7, 112.5, 111.2, 106.5, 72.0, 18.3. HRMS (ESI): m/z calculated for C9H9N3O3 + H+ [M + H+]: 208.0722. Found: 208.0750.
(R)-2-(3-Azidophenoxy)propanoic acid ((R)-21). The similar treatment of methyl (R)-2-(3-azidophenoxy)propanoate (R)-19 (386 mg, 1.74 mmol) as that just described gave (R)-21 (294 mg, 81%). [α]D +5 (c 1, CHCl3). 1H-NMR (270 MHz, CDCl3): δ = 7.25 (t, J = 8.1 Hz, 1H), 6.69 (dd, J = 8.1, 2.1 Hz, 2H), 6.65 (dd, J = 8.1, 2.1 Hz, 2H), 6.57 (t, J = 2.1 Hz, 1H), 4.79 (q, J = 6.8 Hz, 1H), 1.66 (d, J = 6.8 Hz, 3H). 13C-NMR (67.5 MHz, CDCl3): δ = 177.6, 158.4, 141.6, 130.7, 112.5, 111.2, 106.6, 72.0, 18.3. HRMS (ESI): m/z calculated for C9H9N3O3 + H+ [M + H+]: 208.0722. Found: 208.0710.

4.4. Synthesis of 2-Azidephenoxy-Based Lactisole Derivatives

Methyl (S)-2-(2-nitrophenoxy)propanoate ((S)-23). The similar treatment of Mitsunobu reaction for 2-nitrophenol 22 (509 mg, 3.66 mmol) and methyl D-(+)-lactate 4 (572 mg, 5.49 mmol) as that just described gave (S)-23 (952 mg, quant). [α]D +106 (c 1, CHCl3). 1H-NMR (270 MHz, CDCl3): δ = 7.83 (dd, J = 8.2, 1.6 Hz, 1H), 7.49 (td, J = 8.2, 1.6 Hz, 1H), 7.08 (td, J = 8.2, 1.2 Hz, 1H), 6.96 (dd, J = 8.2, 1.2 Hz, 1H), 4.85 (q, J = 6.8 Hz, 1H), 3.76 (s, 3H), 1.69 (d, J = 6.8 Hz, 3H). 13C-NMR (67.5 MHz, CDCl3): δ = 171.1, 150.6, 140.5, 133.7, 125.4, 121.4, 115.6, 74.2, 52.3, 18.1. HRMS (ESI): m/z calculated for C10H11NO5 + H+ [M + H+]: 226.0715. Found: 226.0705.
Methyl (R)-2-(2-nitrophenoxy)propanoate ((R)-23). The similar treatment of 2-nitrophenol 22 (500 mg, 3.60 mmol) and methyl L-(−)-lactate 5 (562 mg, 5.40 mmol) as that just described gave (R)-23 (892 mg, quant). [α]D −106 (c 1, CHCl3). (ref. [α]D −126.86 (c 1.0, EtOH) [28]). 1H-NMR (270 MHz, CDCl3): δ = 7.76 (dd, J = 8.2, 1.6 Hz, 1H), 7.41 (td, J = 8.2, 1.6 Hz, 1H), 7.01 (td, J = 8.2, 1.2 Hz, 1H), 6.89 (td, J = 8.2, 1.2 Hz, 1H), 4.79 (q, J = 6.8 Hz, 1H), 3.69 (s, 3H), 1.62 (d, J = 6.8 Hz, 3H). 13C-NMR (67.5 MHz, CDCl3): δ = 171.3, 150.8, 140.7, 133.8, 125.6, 121.5, 115.8, 74.5, 52.5, 18.3. HRMS (ESI): m/z calculated for C10H11NO5 + H+ [M + H+]: 226.0715. Found: 226.0710.
(S)-2-(2-Nitrophenoxy)propanoic acid ((S)-24). Methyl (S)-2-(2-nitrophenoxy)propanoate (S)-23 (261 mg, 1.16 mmol) was dissolved in MeOH (15 mL) and 2 M NaOH (1.5 mL). After the reaction mixture was stirred at reflux for 1 h, cooled to room temperature and then partitioned between ethyl acetate and water. The water layer was acidified by 1 M HCl and extracted by ethyl acetate. The organic layer was washed by H2O and brine, and dried over MgSO4, filtrated and concentrated to give (S)-24 (251 mg, quant). [α]D +5 (c 1, CHCl3). 1H-NMR (270 MHz, CDCl3): δ = 7.84 (d, J = 8.2 Hz, 1H), 7.49 (t, J = 8.2 Hz, 1H), 7.07 (t, J = 8.2 Hz, 1H), 6.97 (d, J = 8.2 Hz, 1H), 4.88 (q, J = 6.8 Hz, 1H), 1.68 (d, J = 6.8 Hz, 3H). 13C-NMR (67.5 MHz, CDCl3): δ = 174.4, 150.4, 140.3, 134.4, 126.1, 122.2, 115.8, 74.4, 18.2. HRMS (ESI): m/z calculated for C9H9NO5 + H+ [M + H+]: 212.0559. Found: 212.0540.
(R)-2-(2-Nitrophenoxy)propanoic acid ((R)-24). The similar treatment of methyl (R)-2-(2-nitrophenoxy)propanoate (R)-23 (632 mg, 2.81 mmol) as that just described gave (R)-24 (752 mg, quant). [α]D −5 (c 1, CHCl3). 1H-NMR (270 MHz, CDCl3): δ = 7.79 (d, J = 8.2 Hz, 1H), 7.45 (t, J = 8.2 Hz, 1H), 7.04 (t, J = 8.2 Hz, 1H), 6.95 (d, J = 8.2 Hz, 1H), 4.85 (q, J = 6.8 Hz, 1H), 1.66 (d, J = 6.8 Hz, 3H). 13C-NMR (67.5 MHz, CDCl3): δ = 175.5, 150.5, 140.4, 134.3, 126.0, 122.0, 115.8, 74.1, 18.1. HRMS (ESI): m/z calculated for C9H9NO5 + H+ [M + H+]: 212.0559. Found: 212.0560.
tert-Butyl (S)-2-(2-nitrophenoxy)propanoate ((S)-25). To a solution of (S)-2-(2-nitrophenoxy)propanoic acid (S)-24 (251 mg, 1.19 mmol), potassium carbonate anhydride (4.11 g, 29.7 mmol) and tetrabutylammonium bromide (384 mg, 1.19 mmol) in N,N-dimethylacetamide (6 mL), tert-butyl bromide (7.81 g, 57.0 mmol) was added dropwise at 0 °C. The reaction mixture was stirred at 55 °C for 2.5 h. After cooling to room temperature, the mixture was poured into cold water and extracted with ethyl acetate. The organic layer was washed with H2O, brine, dried over MgSO4, filtrated and evaporated. The residue was purified by column chromatography (ethyl acetate/n-hexane, 1:6) to give (S)-25 (246 mg, 77%). [α]D +108 (c 1, CHCl3). 1H-NMR (270 MHz, CDCl3): δ = 7.81 (d, J = 8.2 Hz, 1H), 7.48 (t, J = 8.2 Hz, 1H), 7.05 (t, J = 8.2 Hz, 1H), 6.96 (d, J = 8.2 Hz, 1H), 4.75 (q, J = 6.8 Hz, 1H), 1.65 (d, J = 6.8 Hz, 3H), 1.42 (s, 9H). 13C-NMR (67.5 MHz, CDCl3): δ = 169.9, 151.0, 140.5, 133.5, 125.5, 121.0, 115.4, 82.4, 74.6, 27.7, 18.1. HRMS (ESI): m/z calculated for C13H17NO5 + H+ [M + H+]: 268.1185. Found: 268.1170.
tert-Butyl (R)-2-(2-nitrophenoxy)propanoate ((R)-25). The similar treatment of (R)-2-(2-nitrophenoxy)propanoic acid (R)-24 (289 mg, 1.37 mmol) as that just described gave (R)-25 (301 mg, 82%). [α]D −108 (c 1, CHCl3). 1H-NMR (270 MHz, CDCl3): δ = 7.72 (d, J = 8.6 Hz, 1H), 7.40 (t, J = 7.9 Hz, 1H), 6.97 (t, J = 7.9 Hz, 1H), 6.87 (d, J = 8.6 Hz, 1H), 4.67 (q, J = 6.8 Hz, 1H), 1.56 (d, J = 6.8 Hz, 3H), 1.33 (s, 9H). 13C-NMR (67.5 MHz, CDCl3): δ = 169.9, 151.0, 140.5, 133.5, 125.5, 121.0, 115.4, 82.4, 74.5, 27.7, 18.1. HRMS (ESI): m/z calculated for C13H17NO5 + H+ [M + H+]: 268.1185. Found: 268.1190.
tert-Butyl (S)-2-(2-aminophenoxy)propanoate ((S)-26).tert-Butyl (S)-2-(2-nitrophenoxy)-propanoate (S)-25 (246 mg, 0.92 mmol) and 5% Pd/C (12.3 mg) were suspended in MeOH (20 mL). The reaction mixture was stirred vigorously at room temperature for 45 min under H2 atmosphere then was filtrated with Celite and concentrated. The residue was partitioned between ethyl acetate and 1 M HCl, and then 1 M NaOH was added to make pH 10, then extracted by ethyl acetate. The organic layer was washed by brine and dried over MgSO4, filtrated, and concentrated to give (S)-26 (159 mg, 73%). [α]D +11 (c 1, CHCl3). 1H-NMR (270 MHz, CDCl3): δ = 6.81 (t, J = 7.6 Hz, 1H), 6.73 (d, J = 7.6 Hz, 1H), 6.67 (m, 2H), 4.62 (q, J = 8 Hz, 1H), 3.83 (s, 2H), 1.60 (d, J = 6.8 Hz, 3H), 1.44 (s, 9H). 13C-NMR (67.5 MHz, CDCl3): δ = 171.5, 145.5, 137.2, 122.2, 118.1, 115.6, 113.5, 81.7, 74.0, 27.9, 18.6. HRMS (ESI): m/z calculated for C13H19NO3 + H+ [M + H+]: 238.1443. Found: 238.1440.
tert-Butyl (R)-2-(2-aminophenoxy)propanoate ((R)-26). The similar treatment of tert-butyl (R)-2-(2-nitrophenoxy)propanoate (R)-25 (666 mg, 2.49 mmol) as that just described gave (R)-26 (524 mg, 89%). [α]D −11 (c 1, CHCl3). 1H-NMR (270 MHz, CDCl3): δ = 6.80 (t, J = 7.6 Hz, 1H), 6.68 (m, 3H), 4.62 (q, J = 6.8 Hz, 1H), 3.92 (s, 2H), 1.59 (d, J = 6.8 Hz, 3H), 1.43 (s, 9H). 13C-NMR (67.5 MHz, CDCl3): δ = 171.5, 145.5, 137.2, 122.2, 118.1, 115.5, 113.5, 81.7, 74.00, 27.9, 18.6. HRMS (ESI): m/z calculated for C13H19NO3 + H+ [M + H+]: 238.1443. Found: 238.1430.
tert-Butyl (S)-2-(2-azidophenoxy)propanoate ((S)-27).tert-Butyl (S)-2-(2-aminophenoxy)-propanoate (S)-26 (159 mg, 0.67 mmol) was dissolved in water (1.46 mL) and 37% hydrochloric acid (0.17 mL) at 0 °C. NaNO2 (51.3 mg, 0.74 mmol) in water (0.49 mL) was added slowly at 0 °C, followed by NaN3 (82.4 mg, 1.27 mmol) in water (0.49 mL). After 30 min at 0 °C and 30 min at room temperature, the reaction mixture was extracted with ethyl acetate. The organic layer was washed by brine, dried over MgSO4, filtrated and concentrated to give (S)-27 (194 mg, quant). [α]D +15 (c 1, CHCl3). 1H-NMR (270 MHz, CDCl3): δ = 6.90 (m, 3H), 6.72 (d, J = 7.9 Hz, 1H), 4.62 (q, J = 6.8 Hz, 1H), 1.55 (d, J = 6.8 Hz, 3H), 1.34 (s, 9H). 13C-NMR (67.5 MHz, CDCl3): δ = 170.6, 150.5, 128.9, 125.3, 122.1, 121.0, 114.1, 82.1, 74.1, 27.8, 18.1. HRMS (ESI): m/z calculated for C13H17N3O3 + H+ [M + H+]: 264.1348. Found: 264.1360. Chiral HPLC (n-hexane/2-propanol 199:1): tR 37.8 min.
tert-Butyl (R)-2-(3-azidophenoxy)propanoate ((R)-27). The similar treatment of tert-butyl (R)-2-(2-aminophenoxy)propanoate (R)-26 (524 mg, 2.21 mmol) as that just described gave ((R)-39) (517 mg, 89%). [α]D −15 (c 1, CHCl3). 1H-NMR (270 MHz, CDCl3): δ = 6.92 (m, 3H), 6.77 (d, J = 7.9 Hz, 1H), 4.67 (q, J = 6.8 Hz, 1H), 1.61 (d, J = 6.8 Hz, 3H), 1.39 (s, 9H). 13C-NMR (67.5 MHz, CDCl3): δ = 170.7, 150.5, 128.9, 125.3, 122.1, 121.0, 114.2, 82.1, 74.1, 27.8, 18.1. HRMS (ESI): m/z calculated for C13H17N3O3 + H+ [M + H+]: 264.1348. Found: 264.1330.
(S)-2-(2-Azidophenoxy)propanoic acid ((S)-28).tert-Butyl (S)-2-(2-azidophenoxy)-propanoate ((S)-27) (218 mg, 0.83 mmol) was dissolved in 4 M HCl in dioxane (7.5 mL) and stirred at room temperature for 1 h, poured into 1 M NaOH solution to make alkaline. The organic layer was dried over MgSO4, filtrated and concentrated, and then the residue was treated with the same reaction 2 times. The aqueous layer was extracted with ethyl acetate. The organic layer was dried over MgSO4, filtrated and concentrated to give (S)-28 (116.3 mg, 68%). [α]D +12 (c 1, CHCl3). 1H-NMR (270 MHz, CDCl3): δ = 8,24 (s, 1H), 7.02 (m, 3H), 6.85 (d, J = 7.6 Hz, 1H), 4.81 (q, J = 6.8 Hz, 1H), 1.71 (d, J = 6.8 Hz, 3H). 13C-NMR (67.5 MHz, CDCl3): δ = 176.4, 149.4, 129.5, 125.6, 123.1, 120.8, 115.2, 73.7, 18.2. HRMS (ESI): m/z calculated for C9H9N3O3 + H+ [M + H+]: 208.0722. Found: 208.0705. Chiral HPLC (n-hexane/2-propanol 199:1): tR 42.9 min.
(R)-2-(2-Azidophenoxy)propanoic acid ((R)-28). The similar treatment of tert-butyl (R)-2-(2-azidephenoxy)propanoate ((R)-27) (253 mg, 0.96 mmol) as that just described gave (R)-28 (128.7 mg, 65%). [α]D −12 (c 1, CHCl3). 1H-NMR (270 MHz, CDCl3): δ = 9.31 (s, 1H), 7.09–6.96 (m, 3H), 6.84 (d, J = 7.6 Hz, 1H), 4.81 (q, J = 6.8 Hz, 1H), 1.70 (d, J = 6.8 Hz, 3H). 13C-NMR (67.5 MHz, CDCl3): δ = 176.9, 149.5, 129.4, 125.5, 123.0, 120.8, 115.1, 73.6, 18.2. HRMS (ESI): m/z calculated for C9H9N3O3 + H+ [M + H+]: 208.0722. Found: 208.0715.

4.5. Synthesis of Trifluoromethyldiazirine-Based Lactisole Derivatives

2,2,2-Trifluoro-1-(4-hydroxyphenyl)ethan-1-one 31. 2,2,2-Trifluoro-1-(4-methoxyphenyl)-ethan-1-one 29 (493 mg, 2.41 mmol) and lithium chloride (950 mg, 22.4 mmol) was dissolved in dry DMF (7.5 mL). After the reaction mixture was stirred at reflux for 6 h, the mixture was cooled to room temperature and 1 M HCl was added, and then extracted with ethyl acetate. The organic layer was washed with brine and dried over MgSO4, filtrated and concentrated. The residue was purified by column chromatography (ethyl acetate/n-hexane, 1:8) to give 31 (376 mg, 82%). 1H-NMR (270 MHz, CDCl3): δ = 8.04 (d, J = 8.9 Hz, 2H), 6.96 (d, J = 8.9 Hz, 2H), 5.71 (s, 1H). 13C-NMR (67.5 MHz, CDCl3): δ = 179.0 (q, 2JCF = 34.6 Hz), 133.1, 123.1, 116.9 (q, 1JCF = 291.6 Hz), 116.0. HRMS (ESI): m/z calculated for C8H5F3O2 + H+ [M + H+]: 191.0320. Found: 191.0317.
2,2,2-Trifluoro-1-(3-hydroxyphenyl)ethan-1-one 32. 2,2,2-Trifluoro-1-(4-methoxyphenyl)-ethan-1-one 30 (1.052 g, 5.15 mmol) was dissolved in CH2Cl2 (30 mL) and cooled to −78 °C. BBr3 was added dropwise at −78 °C and the reaction mixture stirred at room temperature for 5 h. The mixture was cooled to 0 °C and 10% NaOH (30 mL) was added slowly, and then HCl was added to make pH 1 at same temperature. NH4OH was also added to make pH 7 at room temperature, then extracted by ethyl acetate. The organic layer was dried over MgSO4, filtrated and concentrated to give 31 (1.018 g, quant). 1H-NMR (270 MHz, CDCl3): δ = 7.63 (d, J = 7.8 Hz, 1H), 7.50 (s, 1H), 7.41 (t, J = 7.8 Hz, 1H), 7.18 (dd, J = 7.8, 2.6 Hz, 1H). 13C-NMR (67.5 MHz, CDCl3): δ = 180.3 (q, 2JCF = 35.2 Hz), 156.1, 131.2, 130.5, 123.0, 122.8, 116.6 (q, 1JCF = 291.6 Hz), 116.2. HRMS (ESI): m/z calculated for C8H5F3O2 + H+ [M + H+]: 191.0320. Found: 191.0316.
Methyl (S)-2-(4-(2,2,2-trifluoroacetyl)phenoxy)propanoate (S)-33. To 2,2,2-trifluoro-1-(4-hydroxyphenyl)ethanone 31 (1.175 g, 7.25 mmol) in dry CH2Cl2 (30 mL), D-(+)-lactate 4 (1.132 g, 10.9 mmol) and PPh3 (2.282 g, 8.70 mmol) was added at 0 °C. After the reaction mixture was stirred for 10 min at 0 °C, DEAD (1.891 g, 10.9 mmol) was slowly added at same temperature. The reaction mixture was stirred overnight at room temperature and partitioned between water and CH2Cl2. The organic layer was washed with brine, dried over MgSO4, filtered and concentrated. The residue was purified by column chromatography (ethyl acetate/n-hexane, 1:9) to give (S)-33 (1.560 g, 78%). [α]D −48 (c 1, CHCl3). 1H-NMR (270 MHz, CDCl3): δ = 7.96 (d, J = 8.2 Hz, 2H), 6.88 (d, J = 8.2 Hz, 2H), 4.82 (q, J = 6.8 Hz, 1H), 3.70 (s, 3H), 1.59 (d, J = 6.8 Hz, 3H). 13C-NMR (67.5 MHz, CDCl3): δ = 178.8 (q, 2JCF = 34.6 Hz), 171.4, 163.2, 132.7, 123.4, 116.8 (q, 1JCF = 291.4 Hz), 115.2, 72.5, 52.5, 18.3. HRMS (ESI): m/z calculated for C12H11F3O4 + H+ [M + H+]: 277.0688. Found: 277.0674.
Methyl (R)-2-(4-(2,2,2-trifluoroacetyl)phenoxy)propanoate (R)-33. The similar treatment of 2,2,2-trifluoro-1-(4-hydroxyphenyl)ethenone 31 (484 mg, 2.99 mmol) and methyl L-(−)-lactate 5 (466 mg, 4.48 mmol) as that just described gave (R)-33 (614 mg, 74%). [α]D +48 (c 1, CHCl3). 1H-NMR (270 MHz, CDCl3): δ = 8.04 (d, J = 8.2 Hz, 2H), 6.97 (d, J = 8.2 Hz, 2H), 4.91 (q, J = 6.8 Hz, 1H), 3.78 (s, 3H), 1.68 (d, J = 6.8 Hz, 3H). 13C-NMR (67.5 MHz, CDCl3): δ = 178.8 (q, 2JCF = 34.6 Hz), 171.4, 163.2, 132.7, 123.4, 116.8 (q, 1JCF = 291.4 Hz), 115.2, 72.5, 52.5, 18.3. HRMS (ESI): m/z calculated for C12H11F3O4 + H+ [M + H+]: 277.0688. Found: 277.0660.
Methyl (S)-2-(3-(2,2,2-trifluoroacetyl)phenoxy)propanoate (S)-34. The similar treatment of 2,2,2-trifluoro-1-(3-hydroxyphenyl)ethanone 32 (248 mg, 1.53 mmol) and methyl D-(−)-lactate 4 (248 mg, 2.30 mmol) as that just described gave (S)-34 (300 mg, 71%). [α]D −45 (c 1, CHCl3). 1H-NMR (270 MHz, CDCl3): δ = 7.69 (d, J = 7.8 Hz, 1H), 7.52 (s, 1H), 7.46 (t, J = 7.8 Hz, 1H), 7.23 (d, J = 7.8 Hz, 1H), 4.84 (q, J = 6.8 Hz, 1H), 3.78 (s, 3H), 1.66 (d, J = 6.8 Hz, 3H). 13C-NMR (67.5 MHz, CDCl3): δ = 180.1 (q, 2JCF = 35.2 Hz), 171.9, 157.9, 131.2, 130.3, 123.5, 123.0, 118.7, 116.6 (q, 1JCF = 291.1 Hz), 115.5, 72.7, 52.5, 18.4. HRMS (ESI): m/z calculated for C12H11F3O4 + H+ [M + H+]: 277.0688. Found: 277.0688.
Methyl (R)-2-(3-(2,2,2-trifluoroacetyl)phenoxy)propanoate (R)-34. The similar treatment of 2,2,2-trifluoro-1-(3-hydroxyphenyl)ethanone 32 (655 mg, 4.04 mmol) and methyl L-(−)-Lactate 5 (631 mg, 6.06 mmol) as that just described gave (R)-34 (835 mg, 75%). [α]D +45 (c 1, CHCl3). 1H-NMR (270 MHz, CDCl3): δ = 7.69 (d, J = 7.8 Hz, 1H), 7.53 (s, 1H), 7.46 (t, J = 7.8 Hz, 1H), 7.24 (d, J = 7.8 Hz, 1H), 4.85 (q, J = 6.8 Hz, 1H), 3.78 (s, 3H), 1.67 (d, J = 6.8 Hz, 3H). 13C-NMR (67.5 MHz, CDCl3): δ = 180.0 (q, 2JCF = 35.2 Hz), 171.8, 157.9, 131.1, 130.3, 123.4, 122.9, 118.7, 116.5 (q, 2JCF = 291.1 Hz), 115.4, 72.7, 52.4, 18.3. HRMS (ESI): m/z calculated for C12H11F3O4 + H+ [M + H+]: 277.0688. Found: 277.0685.
(S)-2-(4-(2,2,2-Trifluoroacetyl)phenoxy)propanoic acid ((S)-35). Methyl (S)-2-(4-(2,2,2-trifluoroacetyl)phenoxy)propanoate (S)-33 (402 mg, 1.46 mmol) was dissolved in MeOH (18 mL) and H2O (2 mL), and then K2CO3 (605 mg, 4.37 mmol) was added. After the reaction mixture was stirred at reflux for 2 h, cooled to room temperature and then partitioned between ethyl acetate and water. The water layer was acidified by 1 M HCl and extracted by ethyl acetate. The organic layer was washed by H2O and brine, and dried over MgSO4, filtrated and concentrated to give (S)-35 (400 mg, quant). [α]D −31 (c 1, CHCl3). 1H-NMR (270 MHz, CDCl3): δ = 9.05 (1H, s), 7.97 (d, J = 8.9 Hz, 2H), 6.91 (d, J = 8.9 Hz, 2H), 4.85 (q, J = 6.8 Hz, 1H), 1.65 (d, J = 6.8 Hz, 3H). 13C-NMR (67.5 MHz, CDCl3): δ = 178.9 (q, 2JCF = 35.2 Hz), 176.7, 162.9, 132.8, 123.7, 116.8 (q, 1JCF = 291.6 Hz), 115.2, 72.0, 18.2. HRMS (ESI): m/z calculated for C11H9F3O4 + H+ [M + H+]: 263.0531. Found: 263.0543.
(R)-2-(4-(2,2,2-Trifluoroacetyl)phenoxy)propanoic acid ((R)-35). The similar treatment of methyl (R)-2-(4-(2,2,2-trifluoroacetyl)phenoxy)propanoate (R)-33 (476 mg, 1.72 mmol) as that just described gave (R)-35 (428 mg, 95%). [α]D +31 (c 1, CHCl3). 1H-NMR (270 MHz, CDCl3): δ = 7.99 (d, J = 8.9 Hz, 2H), 6.92 (d, J = 8.9 Hz, 2H), 4.86 (q, J = 6.8 Hz, 1H), 1.66 (d, J = 6.8 Hz, 3H). 13C-NMR (67.5 MHz, CDCl3): δ = 178.9 (q, 2JCF = 34.6 Hz), 176.4, 162.9, 132.8, 123.8, 116.8 (q, 1JCF = 291.3 Hz), 115.2, 71.9, 18.2. HRMS (ESI): m/z calculated for C11H9F3O4 + H+ [M + H+]: 263.0531. Found: 263.0541.
(S)-2-(3-(2,2,2-Trifluoroacetyl)phenoxy)propanoic acid ((S)-36). The similar treatment of methyl (S)-2-(3-(2,2,2-trifluoroacetyl)phenoxy)propanoate (S)-34 (285 mg, 1.03 mmol) as that just described gave (S)-36 (268 mg, 99%). [α]D −28 (c 1, CHCl3). 1H-NMR (270 MHz, CDCl3): δ = 7.70 (d, J = 7.6 Hz, 1H), 7.56 (s, 1H), 7.47 (t, J = 8.1 Hz, 1H), 7.25 (d, J = 8.6 Hz, 1H), 4.88 (q, J = 6.8 Hz, 1H), 1.70 (d, J = 6.9 Hz, 3H). 13C-NMR (67.5 MHz, CDCl3): δ = 180.1 (q, 2JCF = 35.2 Hz), 177.4, 157.7, 131.2, 130.4, 123.7, 122.8, 116.5 (q, 1JCF = 291.3 Hz), 115.7, 72.2, 18.2. HRMS (ESI): m/z calculated for C11H9F3O4 + H+ [M + H+]: 263.0531. Found: 263.0543.
(R)-2-(3-(2,2,2-Trifluoroacetyl)phenoxy)propanoic acid ((R)-36). The similar treatment of methyl (R)-2-(3-(2,2,2-trifluoroacetyl)phenoxy)propanoate (R)-34 (288 mg, 1.04 mmol) as that just described gave (R)-36 (265 mg, 97%). [α]D +28 (c 1, CHCl3). 1H-NMR (270 MHz, CDCl3): δ = 7.59 (d, J = 7.6 Hz, 1H), 7.46 (s, 1H), 7.36 (t, J = 8.1 Hz, 1H), 7.14 (d, J = 8.2 Hz, 1H), 4.78 (q, J = 6.8 Hz, 1H), 1.60 (d, J = 6.8 Hz, 3H). 13C-NMR (67.5 MHz, CDCl3): δ = 180.1 (q, 2JCF = 35.2 Hz), 177.3, 157.7, 131.1, 130.4, 123.6, 122.8, 116.5 (q, 1JCF = 291.6 Hz), 115.7, 72.2, 18.2. HRMS (ESI): m/z calculated for C11H9F3O4 + H+ [M + H+]: 263.0531. Found: 263.0538.
tert-Butyl (S)-2-(4-(2,2,2-trifluoroacetyl)phenoxy)propanoate ((S)-37). To a solution of (S)-2-(4-(2,2,2-trifluoroacetyl)phenoxy)propanoic acid 35 (138 mg, 0.53 mmol), potassium carbonate (1.816 g, 13.1 mmol) and tetrabutylammonium bromide (169 mg, 0.53 mmol) in N,N-dimethylacetamide (2.6 mL), tert-butyl bromide (3.416 g, 24.9 mmol) was added dropwise at 0 °C. The reaction mixture was stirred at 55 °C for 2.5 h. After cooling to room temperature, the mixture was poured into cold water and extracted with ethyl acetate. The water layer was added 1 M HCl to make pH 1 and extracted with ethyl acetate, washed with brine, dried, filtrated and concentrated to recover (S)-36 (21.8 mg, 16%). The organic layer was washed with H2O, brine, dried over MgSO4, filtrated and evaporated. The residue was purified by column chromatography (ethyl acetate/n-hexane, 1:6) to give (S)-37 (111 mg, 66%). [α]D −38 (c 1, CHCl3). 1H-NMR (270 MHz, CDCl3): δ = 8.04 (d, J = 8.9 Hz, 2H), 6.96 (d, J = 8.9 Hz, 2H), 4.75 (q, J = 6.8 Hz, 1H), 1.64 (d, J = 6.8 Hz, 3H), 1.45 (s, 9H). 13C-NMR (67.5 MHz, CDCl3): δ = 178.9 (q, 2JCF = 35.2 Hz), 170.1, 163.5, 132.7, 123.3, 116.9 (q, 1JCF = 291.1 Hz), 115.2, 82.7, 73.0, 27.9, 18.2. HRMS (ESI): m/z calculated for C15H17F3O4 + H+ [M + H+]: 319.1157. Found: 319.1158.
tert-Butyl (R)-2-(4-(2,2,2-trifluoroacetyl)phenoxy)propanoate ((R)-37). The similar treatment of (R)-2-(4-(2,2,2-trifluoroacetyl)phenoxy)propanoic acid (R)-35 (428 mg, 1.63 mmol) as that just described gave (R)-37 (363 mg, 70%). [α]D +38 (c 1, CHCl3). 1H-NMR (270 MHz, CDCl3): δ = 7.96 (d, J = 8.9 Hz, 2H), 6.88 (d, J = 8.9 Hz, 2H), 4.67 (q, J = 6.8 Hz, 1H), 1.55 (d, J = 6.8 Hz, 3H), 1.36 (s, 9H). 13C-NMR (67.5 MHz, CDCl3): δ = 178.8 (q, 2JCF = 34.6 Hz), 170.1, 163.5, 132.6, 123.2, 116.8 (q, 1JCF = 291.1 Hz), 115.2, 82.6, 73.0, 27.8, 18.2. HRMS (ESI): m/z calculated for C15H17F3O4 + H+ [M + H+]: 319.1157. Found: 319.1147.
tert-Butyl (S)-2-(3-(2,2,2-trifluoroacetyl)phenoxy)propanoate ((S)-38). The similar treatment of (S)-2-(3-(2,2,2-trifluoroacetyl)phenoxy)propanoic acid (S)-36 (310 mg, 1.18 mmol) as that just described gave (S)-36 (149 mg, 48%) and (S)-38 (141 mg, 38%). [α]D −53 (c 1, CHCl3). 1H-NMR (270 MHz, CDCl3): δ = 7.67 (d, J = 7.8 Hz, 1H), 7.51 (s, 1H), 7.45 (t, J = 7.8 Hz, 1H), 7.25 (d, J = 7.8 Hz, 1H), 4.69 (q, J = 6.8 Hz, 1H), 1.62 (d, J = 6.8 Hz, 3H), 1.45 (s, 9H). 13C-NMR (67.5 MHz, CDCl3): δ = 180.2 (q, 2JCF = 34.6 Hz), 170.6, 158.2, 131.0, 130.2, 123.3, 123.2, 116.6 (q, 1JCF = 291.1 Hz), 115.0, 82.5, 73.0, 27.8, 18.3. HRMS (ESI): m/z calculated for C15H17F3O4 + H+ [M + H+]: 319.1157. Found: 319.1159.
tert-Butyl (R)-2-(3-(2,2,2-trifluoroacetyl)phenoxy)propanoate((R)-38). The similar treatment of (R)-2-(3-(2,2,2-trifluoroacetyl)phenoxy)propanoic acid (R)-36 (344 mg, 1.31 mmol) as that just described gave (R)-36 (167 mg, 48%) and (R)-38 (153 mg, 37%). [α]D +53 (c 1, CHCl3). 1H-NMR (270 MHz, CDCl3): δ = 7.68 (d, J = 7.8 Hz, 1H), 7.51 (s, 1H), 7.45 (t, J = 7.8 Hz, 1H), 7.24 (d, J = 7.8 Hz, 1H), 4.69 (q, J = 6.8 Hz, 1H), 1.62 (d, J = 6.8 Hz, 3H), 1.45 (s, 9H). 13C-NMR (67.5 MHz, CDCl3): δ = 180.1 (q, 2JCF = 35.2 Hz), 170.6, 158.2, 131.0, 130.2, 123.3, 123.2, 116.6 (q, 1JCF = 291.1 Hz), 115.0, 82.5, 73.0, 27.8, 18.3. HRMS (ESI): m/z calculated for C15H17F3O4 + H+ [M + H+]: 319.1157. Found: 319.1183.
2-(1,3-Dithian-2-yl)phenol 40. Salicylaldehyde 39 (0.62 g, 5.06 mmol) and iodine (130 mg, 0.51 mmol) were dissolved in CH2Cl2 (25 mL) and then 1,3-propanedithiol (0.65 g, 6.00 mmol) was added. After the reaction mixture was stirred at room temperature for 1 h, then quenched aqueous sodium thiosulfate (0.5 M, 10 mL). The mixture was extracted with CH2Cl2, washed with brine, dried over MgSO4, filtrated and concentrated to give 2-(1,3-dithian-2-yl)phenol 40 (1.02 g, 95%). 1H-NMR (270 MHz, CDCl3): δ = 7.29 (dd, J = 7.9, 1.6 Hz, 1H), 7.21 (td, J = 7.7, 1.6 Hz, 1H), 6.88 (dq, J = 7.4, 2.0 Hz, 2H), 6.33 (s, 1H), 5.40 (s, 1H), 3.07 (td, J = 13.6, 3.0 Hz, 2H), 2.91 (dt, J = 14.2, 3.6 Hz, 2H), 2.26–2.13 (m, 1H), 2.00–1.87 (m, 1H). 13C-NMR (67.5 MHz, CDCl3): δ = 154.5, 130.1, 129.1, 123.5, 120.8, 117.3, 47.4, 31.6, 24.8. HRMS (ESI): m/z calculated for C10H12O2S2 + H+ [M + H+]: 213.0408. Found: 213.0383.
Methyl (S)-2-(2-(1,3-dithian-2-yl)phenoxy)propanoate ((S)-41). 2-(1,3-Dithian-2-yl)phenol 40 (1.27 g) phenol, methyl D-(+)-lactate 4 (0.94 g, 8.99 mmol) and PPh3 (1.90 g, 7.22 mmol) were dissolved in dry CH2Cl2 (30 mL). After stirring for 10 min at 0 °C, DEAD (1.57 g, 9.02 mmol) was slowly added. The reaction mixture was stirred overnight at room temperature, and then partitioned between water and CH2Cl2. The organic layer was washed with brine, dried over MgSO4, filtered and concentrated. The residue was purified by column chromatography (ethyl acetate/n-hexane, 1:9) to give (S)-41 (1.48 g, 98%). [α]D +31 (c 1, CHCl3). 1H-NMR (270 MHz, CDCl3): δ = 7.60 (d, J = 7.6 Hz, 1H), 7.19 (t, J = 7.6 Hz, 1H), 7.00 (t, J = 7.6 Hz, 1H), 6.75 (d, J = 7.6 Hz, 1H), 5.76 (s, 1H), 4.78 (q, J = 6.8 Hz, 1H), 3.75 (s, 3H), 3.11 (m, 2H), 2.88 (m, 2H), 2.16 (m, 1H), 1.95 (m, 1H), 1.67 (d, J = 6.8 Hz, 3H). 13C-NMR (67.5 MHz, CDCl3): δ = 172.3, 153.8, 129.4, 129.2, 128.6, 122.2, 113.4, 73.9, 52.2, 43.8, 32.3, 32.2, 25.3, 18.5. HRMS (ESI): m/z calculated for C14H18O3S2 + Na+ [M + Na+]: 321.0595. Found: 321.0597.
Methyl (R)-2-(2-(1,3-dithian-2-yl)phenoxy)propanoate ((R)-41). 2-(1,3-Dithian-2-yl)phenol 40 (1.27 g) as that just described gave (R)-41 (1.47 g, 98%). [α]D −31 (c 1, CHCl3). 1H-NMR (270 MHz, CDCl3): δ = 7.60 (d, J = 7.6 Hz, 1H), 7.19 (t, J = 7.6 Hz, 1H), 7.00 (t, J = 7.6 Hz, 1H), 6.75 (d, J = 7.6 Hz, 1H), 5.76 (s, 1H), 4.78 (q, J = 6.8 Hz, 1H), 3.75 (s, 3H), 3.11 (m, 2H), 2.90 (m, 2H), 2.16 (m, 1H), 1.95 (m, 1H), 1.67 (d, J = 6.9 Hz, 3H). 13C-NMR (67.5 MHz, CDCl3): δ = 172.3, 153.8, 129.4, 129.2, 128.7, 122.3, 113.4, 74.0, 52.2, 43.8, 32.3, 32.2, 25.3, 18.6. HRMS (ESI): m/z calculated for C14H18O3S2 + Na+ [M + Na+]: 321.0595. Found: 321.0598.
(S)-2-(2-(1,3-Dithian-2-yl)phenoxy)propanoic acid (S)-42. Methyl (S)-2-(2-(1,3-dithian-2-yl)phenoxy)propanoate (S)-41 (1.51 g, 5.06 mmol) was dissolved in MeOH (30 mL) and H2O (3.3 mL), and then K2CO3 (700 mg, 5.06 mmol) was added. After the reaction mixture was stirred at reflux for 2 h, cooled to room temperature and then partitioned between ethyl acetate and water. The water layer was acidified by 1 M HCl aq and extracted by ethyl acetate. The organic layer was washed by H2O and brine, and dried over MgSO4, filtrated and concentrated to give (S)-42 (1.63 g, quant). [α]D +9 (c 1, CHCl3). 1H-NMR (270 MHz, CDCl3): δ = 7.55 (d, J = 7.6 Hz, 1H), 7.26 (t, J = 7.6 Hz, 1H), 7.03 (t, J = 7.6 Hz, 1H), 6.82 (d, J = 7.6 Hz, 1H), 5.62 (s, 1H), 4.88 (q, J = 6.8 Hz, 1H), 3.12 (m, 2H), 2.92 (m, 2H), 2.19 (m, 1H), 1.96 (m, 1H), 1.71 (d, J = 6.8 Hz, 3H). 13C-NMR (67.5 MHz, CDCl3): δ = 174.9, 153.3, 129.6, 129.5, 128.1, 122.6, 112.8, 73.0, 45.4, 32.2, 32.1, 25.3, 18.0. HRMS (ESI): m/z calculated for C13H16O3S2 + H+ [M + H+]: 285.0619. Found: 285.0591.
(R)-2-(2-(1,3-dithian-2-yl)phenoxy)propanoic acid (R)-42. The similar treatment of methyl (R)-2-(2-(1,3-dithian-2-yl)phenoxy)propanoate (R)-41 (1.56 g, 5.22 mmol) as that just described gave (S)-42 (1.69 g, quant). [α]D −9 (c 1, CHCl3). 1H-NMR (270 MHz, CDCl3): δ = 7.56 (d, J = 7.6 Hz, 1H), 7.24 (t, J = 7.6 Hz, 1H), 7.02 (t, J = 7.6 Hz, 1H), 6.81 (d, J = 7.6 Hz, 1H), 5.65 (s, 1H), 4.85 (q, J = 6.8 Hz, 1H), 3.11 (m, 2H), 2.90 (m, 2H), 2.18 (m, 1H), 1.95 (m, 1H), 1.71 (d, J = 6.8 Hz, 3H). 13C-NMR (67.5 MHz, CDCl3): δ = 175.8, 153.3, 129.5, 129.5, 128.2, 122.5, 112.9, 73.1, 45.0, 32.2, 32.1, 25.2, 18.1. HRMS (ESI): m/z calculated for C13H16O3S2 + H+ [M + H+]: 285.0619. Found: 285.0608.
tert-Butyl (S)-2-(2-(1,3-dithian-2-yl)phenoxy)propanoate (S)-43. To a solution of (S)-2-(2-(1,3-dithian-2-yl)phenoxy)propanoic acid (1.63 g, 5.72 mmol) in N,N-dimethylacetamide (29 mL) in the presence of potassium carbonate (19.8 g, 143 mmol) and tetrabutylammonium bromide (1.85 g, 5.73 mmol) at 0 °C, tert-butyl bromide (37.6 g, 274 mmol) was added dropwise and the reaction mixture was stirred at 55 °C for 2.5 h. After cooling to room temperature, the mixture was added into cold water and extracted with ethyl acetate. The organic layer was washed with H2O, brine, dried over MgSO4, filtrated and evaporated. The residue was purified by column chromatography (ethyl acetate/n-hexane, 1:6) to give (S)-43 (1.61 g, 83%). [α]D +25 (c 1, CHCl3). 1H-NMR (270 MHz, CDCl3): δ = 7.59 (d, J = 7.8 Hz, 1H), 7.18 (t, J = 7.8 Hz, 1H), 6.97 (t, J = 7.8 Hz, 1H), 6.74 (d, J = 7.8 Hz, 1H), 5.75 (s, 1H), 4.64 (q, J = 6.8 Hz, 1H), 3.11 (m, 2H), 2.88 (m, 2H), 2.16 (m, 1H), 1.93 (m, 1H), 1.63 (d, J = 6.8Hz, 3H), 1.43 (s, 9H). 13C-NMR (67.5 MHz, CDCl3): δ = 171.0, 153.9, 129.3, 129.0, 128.3, 121.8, 112.8, 81.8, 73.9, 43.8, 32.3, 32.2, 27.9, 25.4, 18.4. HRMS (ESI): m/z calculated for C17H24O3S2 + H+ [M + H+]: 341.1245. Found: 341.1237.
tert-Butyl (R)-2-(2-(1,3-dithian-2-yl)phenoxy)propanoate (R)-43. The similar treatment of (R)-2-(2-(1,3-dithian-2-yl)phenoxy)propanoic acid 42 (1.69 g, 5.93 mmol) as that just described gave (R)-43 (1.65 g, 82%). [α]D −25 (c 1, CHCl3). 1H-NMR (270 MHz, CDCl3): δ = 7.59 (d, J = 7.8 Hz, 1H), 7.18 (t, J = 7.8 Hz, 1H), 6.97 (t, J = 7.8 Hz, 1H), 6.73 (d, J = 7.8 Hz, 1H), 5.75 (s, 1H), 4.64 (q, J = 6.8 Hz, 1H), 3.11 (m, 2H), 2.88 (m, 2H), 2.16 (m, 1H), 1.95 (m, 1H), 1.63 (d, J = 6.8 Hz, 3H), 1.43 (s, 9H). 13C-NMR (67.5 MHz, CDCl3): δ = 171.0, 153.9, 129.3, 129.0, 128.3, 121.8, 112.8, 81.8, 73.9, 43.8, 32.4, 32.2, 27.9, 25.4, 18.4. HRMS (ESI): m/z calculated for C17H24O3S2 + H+ [M + H+]: 341.1245. Found: 341.1239.
tert-Butyl (S)-2-(2-formylphenoxy)propanoate (S)-44.tert-Butyl (S)-2-(2-(1,3-dithian-2-yl)phenoxy)propanoate (S)-43 (94.3 mg, 0.28 mmol) and sodium hydrogen carbonate (465 mg, 5.54 mmol) were dissolved in acetonitrile (10 mL) and water (2 mL), and then iodomethane (392 mg, 2.8 mmol)was added. After the reaction mixture was stirred at room temperature for 24 h, iodomethane (196 mg, 1.4 mmol) was added. After stirred at room temperature for 24 h, the reaction mixture extracted with ethyl acetate. The organic layer was washed with brine, dried over MgSO4, filtrated and concentrated. The residue was purified by column chromatography (ethyl acetate/n-hexane, 1:6) to give (S)-44 (52.3 mg, 78%). [α]D +14 (c 1, CHCl3). 1H-NMR (270 MHz, CDCl3): δ = 10.57 (s, 1H), 7.85 (d, J = 7.9 Hz, 1H), 7.49 (t, J = 7.9 Hz, 1H), 7.04 (t, J = 7.9 Hz, 1H), 6.85 (d, J = 7.9 Hz, 1H), 4.77 (q, J = 6.8 Hz, 1H), 1.66 (d, J = 6.8 Hz, 3H), 1.42 (s, 9H). 13C-NMR (67.5 MHz, CDCl3): δ = 189.7, 170.4, 160.2, 135.5, 128.2, 125.4, 121.4, 113.2, 82.3, 73.5, 27.8, 18.2. HRMS (ESI): m/z calculated for C14H18O4 + H+ [M + H+]: 251.1283. Found: 251.1312.
tert-Butyl (R)-2-(2-formylphenoxy)propanoate (R)-44. The similar treatment of tert-butyl (R)-2-(2-(1,3-dithian-2-yl)phenoxy)propanoate (R)-43 (156 mg, 0.46 mmol) as that just described gave (R)-44 (90.4 mg, 79%). [α]D −14 (c 1, CHCl3). 1H-NMR (270 MHz, CDCl3): δ = 10.58 (s, 1H), 7.84 (d, J = 7.6 Hz, 1H), 7.50 (t, J = 7.6 Hz, 1H), 7.04 (t, J = 7.6 Hz, 1H), 6.85 (d, J = 7.6 Hz, 1H), 4.78 (q, J = 6.8 Hz, 1H), 1.66 (d, J = 6.8 Hz, 3H), 1.42 (s, 9H). 13C-NMR (67.5 MHz, CDCl3): δ = 189.7, 170.4, 160.2, 135.5, 128.2, 125.4, 121.4, 113.2, 82.3, 73.5, 27.8, 18.2. HRMS (ESI): m/z calculated for C14H18O4 + H+ [M + H+]: 251.1283. Found: 251.1292.
tert-Butyl (S)-2-(2-(2,2,2-trifluoroacetyl)phenoxy)propanoate (S)-45. To the solution of tert-butyl (S)-2-(2-formylphenoxy)propanoate (S)-44 (591 mg, 2.04 mmol) in dimethylacetamide (7.9 mL), (trifluoromethyl)trimetylsilane (579 mg, 4.07 mmol) and potassium carbonate (16.3 mg, 0.118 mmol) were added. The reaction mixture was and stirred at room temperature for 4 h and treated with 1 M HCl (1 mL) at room temperature for 4 h, then extracted with ethyl acetate. The organic layer was washed with brine twice, dried over MgSO4, filtrated and concentrated to afford crude material. To crude phenylethanol derivative (784 mg) was dissolved in CH2Cl2 (13 mL), Dess-Martin periodinane (1.096 g, 2.58 mmol) was added at room temperature. The reaction mixture was stirred at room temperature for 3 h, then washed with water and brine. The organic layer was dried over MgSO4, filtrated and concentrated. The residue was subjected to column chromatography (hexane/AcOEt, 8:1) to give (S)-45 (636 mg, 85%). [α]D +25 (c 1, CHCl3). 1H-NMR (270 MHz, CDCl3): δ = 7.54 (d, J = 7.6 Hz, 1H), 7.41 (t, J = 7.6 Hz, 1H), 6.95 (t, J = 7.6 Hz, 1H), 6.71 (d, J = 7.6 Hz, 1H), 4.61 (q, J = 6.8 Hz, 1H), 1.51 (d, J = 6.8 Hz, 3H), 1.30 (s, 9H). 13C-NMR (67.5 MHz, CDCl3): δ = 183.6 (q, 2JCF = 37.4 Hz), 170.2, 157.5, 135.3, 131.5, 122.6, 121.2, 116.1 (q, 1JCF = 290.5 Hz), 112.8, 82.4, 73.7, 27.8, 17.8. HRMS (ESI): m/z calculated for C15H17F3O4 + H+ [M + H+]: 319.1157. Found: 319.1171.
tert-Butyl (R)-2-(2-(2,2,2-trifluoroacetyl)phenoxy)propanoate (R)-45. The similar treatment of tert-butyl (R)-2-(2-formylphenoxy)propanoate (R)-44 (577 mg, 2.30 mmol) as that just described gave (R)-45 (651 mg, 89%). [α]D −25 (c 1, CHCl3). 1H-NMR (270 MHz, CDCl3): δ = 7.65 (d, J = 7.6 Hz, 1H), 7.53 (t, J = 7.6 Hz, 1H), 7.06 (t, J = 7.6 Hz, 1H), 6.83 (d, J = 7.6 Hz, 1H), 4.72 (q, J = 6.8 Hz, 1H), 1.62 (d, J = 6.8 Hz, 3H), 1.41 (s, 9H). 13C-NMR (67.5 MHz, CDCl3): δ = 183.6 (q, 2JCF = 37.4 Hz), 170.2, 157.5, 135.3, 131.6, 122.6, 121.2, 116.1 (q, 1JCF = 290.5 Hz), 112.8, 82.4, 73.7, 27.8, 17.8. HRMS (ESI): m/z calculated for C15H17F3O4 + H+ [M + H+]: 319.1157. Found: 319.1141.
tert-Butyl (S)-2-(4-(2,2,2-trifluoro-1-(hydroxyimino)ethyl)phenoxy)propanoate ((S)-46). A solution of tert-butyl (S)-2-(4-(2,2,2-trifluoroacetyl)phenoxy)propanoate (S)-37 (252 mg, 0.79 mmol) and hydroxylamine hydrochloride (60.7 mg, 0.87 mmol) in ethanol (0.44 mL) and dry pyridine (0.79 mL) was heated at 60 °C for 8 h. The reaction mixture was partitioned between water and ether, and the organic layer was washed with 1 M HCl, saturated NaHCO3 and brine. The organic layer was dried over MgSO4, filtrated and concentrated. The residue was purified by column chromatography (ethyl acetate/n-hexane, 1:6) to give (S)-46 (275 mg, quant). The product was mixture of syn- and anti- isomers. [α]D −38 (c 1, CHCl3). 1H-NMR (270 MHz, CDCl3): δ = 8.89 and 8.75 (s, 1H), 7.44 and 7.34 (d × 2, J = 8.9 Hz, 2H), 6.86 and 6.81 (d × 2, J = 8.9 Hz, 2H), 4.60 and 4.59 (q × 2, J = 6.8 Hz, 1H), 1.53 (d, J = 6.8 Hz, 3H), 1.37 (s, 9H). 13C-NMR (67.5 MHz, CDCl3): δ = 171.0, 159.3, 146.9 (q, 2JCF = 32.4 Hz), 130.5, 120.8 (q, 1JCF = 274.9 Hz), 118.6, 114.9, 82.4, 72.9, 27.9, 18.3. HRMS (ESI): m/z calculated for C15H18F3NO4 + H+ [M + H+]: 334.1266. Found: 334.1256.
tert-Butyl (R)-2-(4-(2,2,2-trifluoro-1-(hydroxyimino)ethyl)phenoxy)propanoate ((R)-46). The similar treatment of tert-butyl (R)-2-(4-(2,2,2-trifluoroacetyl)phenoxy)propanoate (R)-37 (459 mg, 1.44 mmol) as that just described gave (R)-46 (490 mg, quant). [α]D +38 (c 1, CHCl3). 1H-NMR (270 MHz, CDCl3): δ = 8.36 and 8.19 (s, 1H), 7.50 and 7.42 (d × 2, J = 7.8 Hz, 2H), 6.93 and 6.88 (d × 2, J = 8.9 Hz, 2H), 4.67 and 4.66 (q × 2, J = 6.8 Hz, 1H), 1.60 (d, J = 6.8 Hz, 3H), 1.44 (s, 9H). 13C-NMR (67.5 MHz, CDCl3): δ = 171.0, 159.3, 146.9 (q, 2JCF = 32.4 Hz), 130.5, 120.8 (q, 1JCF = 274.9 Hz), 118.6, 114.9, 82.4, 72.9, 27.9, 18.3. HRMS (ESI): m/z calculated for C15H18F3NO4 + H+ [M + H+]: 334.1266. Found: 334.1236.
tert-Butyl (S)-2-(3-(2,2,2-trifluoro-1-(hydroxyimino)ethyl)phenoxy)propanoate ((S)-47). The similar treatment of tert-butyl (S)-2-(3-(2,2,2-trifluoroacetyl)phenoxy)propanoate (S)-38 (81.7 mg, 0.26 mmol) as that just described gave (S)-47 (85.7 mg, quant). [α]D −40 (c 1, CHCl3). 1H-NMR (270 MHz, CDCl3): δ = 7.36 and 7.30 t × 2, J = 7.8 Hz, 1H), 7.09 (d, J = 7.8 Hz, 1H), 6.97 (m, 2H), 4.66 (q, J = 6.8 Hz, 1H), 1.60 and 1.59 (d × 2, J = 6.8 Hz, 3H), 1.43 and 1.42 (s × 2, 9H). 13C-NMR (67.5 MHz, CDCl3): δ = 171.3, 157.6, 147.3 (q, 2JCF = 32.4 Hz), 129.7 and 129.6, 127.2, 121.5, 120.6 (q, 1JCF = 274.3 Hz), 117.4 and 117.0, 115.4 and 115.2, 82.5, 73.1, 27.8, 18.4. HRMS (ESI): m/z calculated for C15H18F3NO4 + H+ [M + H+]: 334.1266. Found: 334.1265.
tert-Butyl (R)-2-(3-(2,2,2-trifluoro-1-(hydroxyimino)ethyl)phenoxy)propanoate ((R)-47). The similar treatment of tert-butyl (R)-2-(3-(2,2,2-trifluoroacetyl)phenoxy)propanoate (R)-38 (97.2 mg, 0.31 mmol) as that just described gave (R)-47 (86.6 mg, 85%). [α]D +40 (c 1, CHCl3). 1H-NMR (270 MHz, CDCl3): δ = 7.37 and 7.30 (t × 2, J = 7.8 Hz, 2H), 7.08 (d, J = 7.8 Hz, 1H), 6.97 (m, 2H), 4.65 (q, J = 6.8 Hz, 1H), 1.60 (d, J = 6.8 Hz, 3H), 1.43 and 1.42 (s × 2, 9H). 13C-NMR (67.5 MHz, CDCl3): δ = 171.1, 157.6, 147.6 (q, 2JCF = 32.4 Hz), 129.7 and 129.5, 127.1, 121.4, 120.5 (q, 1JCF = 274.9 Hz), 117.4 and 117.1, 115.3 and 115.1, 82.3, 73.1, 27.8, 18.4. HRMS (ESI): m/z calculated for C15H18F3NO4 + H+ [M + H+]: 334.1266. Found: 334.1257.
tert-Butyl (S)-2-(2-(2,2,2-trifluoro-1-(hydroxyimino)ethyl)phenoxy)propanoate ((S)-48). The similar treatment of tert-butyl (S)-2-(2-(2,2,2-trifluoroacetyl)phenoxy)propanoate (S)-45 (309 mg, 0.97 mmol) as that just described gave (S)-48 (331 mg, quant). [α]D +8 (c 1, CHCl3). 1H-NMR (270 MHz, CDCl3): δ = 7.37 and 7.36 (t × 2, J = 7.6 Hz, 1H), 7.27 and 7.21 (d × 2, J = 7.6 Hz, 1H), 7.03 and 6.99 (t × 2, J = 7.6 Hz, 1H), 6.80 and 6.75 (d × 2, J = 7.6 Hz, 1H), 4.62 (q, J = 6.8 Hz, 1H), 1.57 and 1.54 (d × 2, J = 6.8 Hz, 3H), 1.41 (s, 9H). 13C-NMR (67.5 MHz, CDCl3): δ = 171.2 and 171.0, 156.5, 155.1, 147.6 and 146.7 (q × 2, 2JCF = 33.5 Hz), 131.6, 131.0, 129.8, 121.0, 117.9 (q, 1JCF = 287.2 Hz), 116.3, 112.2 and 111.7, 82.3 and 82.2, 73.5 and 73.4, 27.8, 18.2 and 18.0. HRMS (ESI): m/z calculated for C15H18F3NO4 + H+ [M + H+]: 334.1266. Found: 334.1246.
tert-Butyl (R)-2-(2-(2,2,2-trifluoro-1-(hydroxyimino)ethyl)phenoxy)propanoate ((R)-48). The similar treatment of tert-butyl (R)-2-(2-(2,2,2-trifluoroacetyl)phenoxy)propanoate (R)-45 (291 mg, 0.92 mmol) as that just described gave (R)-48 (299 mg, 98%). [α]D −8 (c 1, CHCl3). 1H-NMR (270 MHz, CDCl3): δ = 7.37 (m, 1H), 7.27 and 7.21 (d, J = 7.6 Hz, 1H), 7.03 and 6.98 (t, J = 7.6 Hz, 1H), 6.80 and 6.74 (d, J = 7.6 Hz, 1H), 4.62 (q, J = 6.8 Hz, 1H), 1.57 and 1.54 (d, J = 6.8 Hz, 3H), 1.41 (s, 9H). 13C-NMR (67.5 MHz, CDCl3): δ = 171.2 and 171.1, 156.5, 155.1, 147.5 and 146.5 (q × 2, 2JCF = 34.1 Hz), 131.6, 131.0, 129.8, 121.0, 120.5 and 118.2 (q × 2, 1JCF = 287.2 Hz), 116.3, 112.2 and 111.7, 82.3 and 82.2, 73.5 and 73.4, 27.8, 18.1 and 18.0. HRMS (ESI): m/z calculated for C15H18F3NO4 + H+ [M + H+]: 334.1266. Found: 334.1261.
tert-Butyl (S)-2-(4-(2,2,2-trifluoro-1-((tosyloxy)imino)ethyl)phenoxy)propanoate ((S)-49).tert-Butyl (S)-2-(4-(2,2,2-trifluoro-1-(hydroxyimino)ethyl)phenoxy)propanoate (S)-46 (268 mg, 0.80 mmol), triethylamine (203 mg, 2.01 mmol) and DMAP (4.9 mg, 0.040 mmol) were suspended in CH2Cl2 (1.5 mL) at 0 °C. p-Toluenesulfonyl chloride (168 mg, 0.88 mmol) was added at 0 °C. The reaction mixture was stirred at room temperature for 45 min, then washed with water. The organic layer was dried over MgSO4, filtrated and concentrated to give (S)-49 (418 mg, quant). The product was mixture of syn- and anti- isomers. [α]D −20 (c 1, CHCl3). 1H-NMR (270 MHz, CDCl3): δ = 7.88 (d, J = 8.2 Hz, 2H), 7.45–7.35 (m, 4H), 6.92 and 6.87 (d, J = 8.2 Hz, 2H), 4.68 (q, J = 6.8 Hz, 1H), 2.46 and 2.45 (s × 2, 3H), 1.61 and 1.60 (d × 2, J = 6.8 Hz, 3H), 1.44 (s, 9H). 13C-NMR (67.5 MHz, CDCl3): δ = 170.5 and 170.4, 160.6 and 160.2, 152.9 (q, 2JCF = 27.9 Hz), 146.0 and 145.9, 131.4 and 131.1, 130.5, 129.8, 129.1, 129.0, 128.9, 120.3, 119.7 and 117.4 (q, 1JCF = 276.0 Hz), 116.9, 115.0, 82.3, 72.8 and 72.7, 27.8 and 27.7, 21.6, 18.2. HRMS (ESI): m/z calculated for C22H24F3NO6S + H+ [M + H+]: 488.1355. Found: 488.1372.
tert-Butyl (R)-2-(4-(2,2,2-trifluoro-1-((tosyloxy)imino)ethyl)phenoxy)propanoate ((R)-49). The similar treatment of tert-butyl (R)-2-(4-(2,2,2-trifluoro-1-(hydroxyimino)ethyl)phenoxy)-propanoate (R)-46 (331 mg, 0.99 mmol) as that just described gave (R)-49 (473 mg, 98%). [α]D +20 (c 1, CHCl3). 1H-NMR (270 MHz, CDCl3): δ = 7.89 (d, J = 7.8 Hz, 2H), 7.38 (m, 4H), 6.87 (d, J = 7.8 Hz, 2H), 4.65 (q, J = 6.8 Hz, 1H), 2.46 (s, 3H), 1.60 (d, J = 6.8 Hz, 3H), 1.44 (s, 9H). 13C-NMR (67.5 MHz, CDCl3): δ = 170.5 and 170.4, 160.6 and 160.2, 153.2 (q, 2JCF = 29.9 Hz), 146.0 and 145.9, 131.4 and 131.1, 130.5, 129.8, 129.1, 128.9, 120.3, 118.6 (q, 1JCF = 283.8 Hz), 116.9, 115.0, 82.3, 72.8 and 72.7, 27.7 and 27.8, 21.6, 18.2. HRMS (ESI): m/z calculated for C22H24F3NO6S + H+ [M + H+]: 488.1355. Found: 488.1380.
tert-Butyl (S)-2-(3-(2,2,2-trifluoro-1-((tosyloxy)imino)ethyl)phenoxy)propanoate ((S)-50). The similar treatment of tert-butyl (S)-2-(3-(2,2,2-trifluoro-1-(hydroxyimino)ethyl)phenoxy)-propanoate (S)-47 (277 mg, 0.83 mmol) as that just described gave (S)-50 (431 mg, quant). [α]D −34 (c 1, CHCl3). 1H-NMR (270 MHz, CDCl3): δ = 7.88 (d, J = 8.6 Hz, 2H), 7.35 (m, 3H), 7.00 (d, J = 7.8 Hz, 2H), 6.97 (d, J = 7.8 Hz, 2H), 6.85 (s, 1H), 4.62 (q, J = 6.8 Hz, 1H), 2.48 (s, 3H), 1.60 (d, J = 6.8 Hz, 3H), 1.42 (s, 9H). 13C-NMR (67.5 MHz, CDCl3): δ = 170.7, 157.8 and 157.7, 153.6 (q, 2JCF = 32.4 Hz), 146.1 and 146.0, 131.5 and 131.2, 130.0, 129.9 and 129.8, 129.3 and 129.1, 128.8, 125.6, 121.8 and 121.3, 119.5 (q, 1JCF = 274.3 Hz), 118.4 and 118.2, 115.4 and 114.9, 82.3, 73.0, 27.8, 21.7, 18.3. HRMS (ESI): m/z calculated for C22H24F3NO6S + H+ [M + H+]: 488.1355. Found: 488.1330.
tert-Butyl (R)-2-(3-(2,2,2-trifluoro-1-((tosyloxy)imino)ethyl)phenoxy)propanoate ((R)-50). The similar treatment of tert-butyl (R)-2-(3-(2,2,2-trifluoro-1-(hydroxyimino)ethyl)phenoxy)-propanoate (R)-47 (348 mg, 1.04 mmol) as that just described gave (R)-50 (471 mg, 93%). [α]D +34 (c 1, CHCl3). 1H-NMR (270 MHz, CDCl3): δ = 7.89 (d, J = 8.2 Hz, 2H), 7.35 (m, 3H), 7.02 (m, 2H), 6.93 (s, 1H), 4.61 (q, J = 6.7 Hz, 1H), 2.46 (s, 3H), 1.59 (d, J = 6.6 Hz, 3H), 1.42 (s, 9H). 13C-NMR (67.5 MHz, CDCl3): δ = 170.7, 157.8 and 157.7, 153.7 (q, 2JCF = 33.5 Hz), 146.1 and 146.0, 131.5 and 131.2, 130.0, 129.9 and 129.8, 129.3 and 129.1, 127.8, 125.6, 121.8 and 121.3, 119.5 (q, 1JCF = 280.5 Hz), 118.4 and 118.2, 115.4 and 114.9, 82.3, 73.1 and 73.0, 27.8, 21.8, 18.3. HRMS (ESI): m/z calculated for C22H24F3NO6S + H+ [M + H+]: 488.1355. Found: 488.1330.
tert-Butyl (S)-2-(2-(2,2,2-trifluoro-1-((tosyloxy)imino)ethyl)phenoxy)propanoate ((S)-51). The similar treatment of tert-butyl (S)-2-(2-(2,2,2-trifluoro-1-(hydroxyimino)ethyl)phenoxy)-propanoate (S)-48 (300 mg, 0.90 mmol) as that just described gave (S)-51 (412 mg, 94%). [α]D +24 (c 1, CHCl3). 1H-NMR (270 MHz, CDCl3): δ = 7.88 (d, J = 8.2 Hz, 2H), 7.39 (m, 3H), 7.12 (d, J = 7.6 Hz, 1H), 6.97 (t, J = 7.6 Hz, 1H), 6.72 (d, J = 7.6 Hz, 1H), 4.56 (q, J = 6.8 Hz, 1H), 2.45 (s, 3H), 1.47 (d, J = 6.8 Hz, 3H), 1.39 (s, 9H). 13C-NMR (67.5 MHz, CDCl3): δ = 170.3, 156.6, 155.3 (q, 2JCF = 34.6 Hz), 145.7, 132.9, 132.4, 131.7, 131.1, 129.8, 129.0, 121.1, 117.8, 116.8 (q, 1JCF = 283.2 Hz), 111.8, 82.2, 73.6, 27.7, 21.7, 17.8. HRMS (ESI): m/z calculated for C22H24F3NO6S + H+ [M + H+]: 488.1355. Found: 488.1339.
tert-Butyl (R)-2-(2-(2,2,2-trifluoro-1-((tosyloxy)imino)ethyl)phenoxy)propanoate ((R)-51). The similar treatment of tert-butyl (R)-2-(2-(2,2,2-trifluoro-1-(hydroxyimino)ethyl)phenoxy)-propanoate (R)-48 (254 mg, 0.76 mmol) as that just described gave (R)-51 (373 mg, quant). [α]D −24 (c 1, CHCl3). 1H-NMR (270 MHz, CDCl3): δ = 7.88 (d, J = 8.2 Hz, 2H), 7.39 (m, 3H), 7.12 (d, J = 7.6 Hz, 1H), 6.97 (t, J = 7.6 Hz, 1H), 6.72 (d, J = 7.6 Hz, 1H), 4.55 (q, J = 6.8 Hz, 1H), 2.46 (s, 3H), 1.47 (d, J = 6.8 Hz, 3H), 1.39 (s, 9H). 13C-NMR (67.5 MHz, CDCl3): δ = 170.3, 156.6, 155.3 (q, 2JCF = 35.2 Hz), 145.7, 132.9, 132.4, 131.7, 131.1, 129.8, 129.1, 121.1, 117.8, 116.8 (q, 1JCF = 282.7 Hz), 111.8, 82.2, 73.6, 27.8, 21.7, 17.8. HRMS (ESI): m/z calculated for C22H24F3NO6S + H+ [M + H+]: 488.1355. Found: 488.1362.
tert-Butyl (S)-2-(4-(3-(trifluoromethyl)diaziridin-3-yl)phenoxy)propanoate ((S)-52). To liquid NH3 (10 mL) at −78 °C in a sealed tube, tert-butyl (S)-2-(2-(2,2,2-trifluoro-1-((tosyloxy)imino)-ethyl)phenoxy)propanoate (S)-49 (336 mg, 0.69 mmol) in dry ether (3 mL) was added. The reaction mixture was stirred at room temperature for 3 h. After evaporation of NH3 gas, the reaction mixture was partitioned between ether and water. The organic layer was dried over MgSO4, filtrated and concentrated. The residue was purified by column chromatography (ethyl acetate/n-hexane, 1:5) to give (S)-52 (200 mg, 88%). [α]D −32 (c 1, CHCl3). 1H-NMR (270 MHz, CDCl3): δ = 7.51 (d, J = 8.6 Hz, 2H), 6.88 (d, J = 8.6 Hz, 2H), 4.64 (q, J = 6.8 Hz, 1H), 2.76 (d, J = 8.6 Hz, 1H), 2.18 (d, J = 8.6 Hz, 1H), 1.59 (d, J = 6.8 Hz, 3H), 1.44 (s, 9H). 13C-NMR (67.5 MHz, CDCl3): δ = 170.9, 159.0, 129.4, 124.3, 123.6 (q, 1JCF = 278.2 Hz), 115.1, 82.1, 72.8, 57.5 (q, 2JCF = 35.8 Hz), 27.9, 18.3. HRMS (ESI): m/z calculated for C15H19F3N2O3 + H+ [M + H+]: 333.1426. Found: 333.1414.
tert-Butyl (R)-2-(4-(3-(trifluoromethyl)diaziridin-3-yl)phenoxy)propanoate ((R)-52). The similar treatment of tert-butyl (R)-2-(4-(2,2,2-trifluoro-1-((tosyloxy)imino)ethyl)phenoxy)-propanoate (R)-49 (433 mg, 0.89 mmol) as that just described gave (R)-52 (259 mg, 88%). [α]D +32 (c 1, CHCl3). 1H-NMR (270 MHz, CDCl3): δ = 7.52 (d, J = 8.6 Hz, 2H), 6.88 (d, J = 8.6 Hz, 2H), 4.64 (q, J = 6.8 Hz, 1H), 2.75 (s, 1H), 2.16 (s, 1H), 1.59 (d, J = 6.8 Hz, 3H), 1.44 (s, 9H). 13C-NMR (67.5 MHz, CDCl3): δ = 170.9, 159.0, 129.5, 124.3, 123.6 (q, 1JCF = 277.7 Hz), 115.1, 82.2, 72.8, 57.6 (q, 2JCF = 35.2 Hz), 27.9, 18.3. HRMS (ESI): m/z calculated for C15H19F3N2O3 + H+ [M + H+]: 333.1426. Found: 333.1416.
tert-Butyl (S)-2-(3-(3-(trifluoromethyl)diaziridin-3-yl)phenoxy)propanoate ((S)-53). The similar treatment of tert-butyl (S)-2-(3-(2,2,2-trifluoro-1-((tosyloxy)imino)ethyl)phenoxy)-propanoate (S)-50 (431 mg, 0.88 mmol) as that just described gave (S)-53 (269 mg, 92%). [α]D −38 (c 1, CHCl3). 1H-NMR (270 MHz, CDCl3): δ = 7.32 (t, J = 7.6 Hz, 1H), 7.21 (d, J = 7.6 Hz, 1H), 7.12 (s, 1H), 6.94 (d, J = 7.6 Hz, 1H), 4.64 (q, J = 6.8 Hz, 1H), 2.75 (s, 1H), 2.20 (s, 1H), 1.59 (d, J = 6.8 Hz, 3H), 1.44 (s, 9H). 13C-NMR (67.5 MHz, CDCl3): δ = 170.9, 157.9, 133.1, 129.9, 123.5 (q, 1JCF = 278.2 Hz), 120.9, 116.9, 114.6, 82.2, 72.9, 57.9 (q, 2JCF = 35.8 Hz), 27.9, 18.3. HRMS (ESI): m/z calculated for C15H19F3N2O3 + H+ [M + H+]: 333.1426. Found: 333.1414.
tert-Butyl (R)-2-(3-(3-(trifluoromethyl)diaziridin-3-yl)phenoxy)propanoate ((R)-53). The similar treatment of tert-butyl (R)-2-(3-(2,2,2-trifluoro-1-((tosyloxy)imino)ethyl)phenoxy)-propanoate (R)-50 (471 mg, 0.97 mmol) as that just described gave (R)-53 (347 mg, quant). [α]D +38 (c 1, CHCl3). 1H-NMR (270 MHz, CDCl3): δ = 7.32 (t, J = 7.6 Hz, 1H), 7.21 (d, J = 7.6 Hz, 1H), 7.12 (s, 1H), 6.94 (d, J = 7.6 Hz, 1H), 4.64 (q, J = 6.8 Hz, 1H), 2.74 (s, 1H), 2.18 (s, 1H), 1.59 (d, J = 6.8 Hz, 3H), 1.44 (s, 9H). 13C-NMR (67.5 MHz, CDCl3): δ = 170.9, 157.9, 133.1, 129.9, 123.5 (q, 1JCF = 278.2 Hz), 120.9, 116.8, 114.6, 82.1, 72.8, 57.9 (q, 2JCF = 35.8 Hz), 27.9, 18.4. HRMS (ESI): m/z calculated for C15H19F3N2O3 + H+ [M + H+]: 333.1426. Found: 333.1421.
tert-Butyl (S)-2-(2-(3-(trifluoromethyl)diaziridin-3-yl)phenoxy)propanoate ((S)-54). The similar treatment of tert-butyl (S)-2-(2-(2,2,2-trifluoro-1-((tosyloxy)imino)ethyl)phenoxy)-propanoate (S)-51 (354 mg, 0.73 mmol) as that just described gave (S)-54 (182 mg, 76%). [α]D −17 (c 1, CHCl3). 1H-NMR (270 MHz, CDCl3): δ = 7.54 (d, J = 7.6 Hz, 1H), 7.34 (t, J = 7.6 Hz, 1H), 7.01 (t, J = 7.6 Hz, 1H), 6.80 (d, J = 7.6 Hz, 1H), 4.79 (q, J = 6.8 Hz, 1H), 1.63 (d, J = 6.8 Hz, 3H), 1.36 (s, 9H). 13C-NMR (67.5 MHz, CDCl3): δ = 170.9, 156.4, 131.5, 130.9, 123.6 (q, 1JCF = 278.2 Hz), 121.1, 120.8, 111.9, 82.3, 72.7, 55.8 (q, 2JCF = 37.6 Hz), 27.6, 18.2. HRMS (ESI): m/z calculated for C15H19F3N2O3 + H+ [M + H+]: 333.1426. Found: 333.1425.
tert-Butyl (R)-2-(2-(3-(trifluoromethyl)diaziridin-3-yl)phenoxy)propanoate ((R)-54). The similar treatment of tert-butyl (R)-2-(2-(2,2,2-trifluoro-1-((tosyloxy)imino)ethyl)phenoxy)-propanoate (R)-51 (317 mg, 0.65 mmol) as that just described gave (R)-54 (173 mg, 80%). [α]D +17 (c 1, CHCl3). 1H-NMR (270 MHz, CDCl3): δ = 7.54 (d, J = 7.6 Hz, 1H), 7.34 (t, J = 7.6 Hz, 1H), 7.01 (t, J = 7.6 Hz, 1H), 6.80 (d, J = 7.6 Hz, 1H), 4.79 (q, J = 6.8 Hz, 1H), 1.63 (d, J = 6.8 Hz, 3H), 1.36 (s, 9H). 13C-NMR (67.5 MHz, CDCl3): δ = 170.9, 156.4, 131.5, 130.9, 123.6 (q, 1JCF = 278.8 Hz), 121.1, 120.8, 111.9, 82.3, 72.7, 55.8 (q, 2JCF = 37.4 Hz), 27.6, 18.2. HRMS (ESI): m/z calculated for C15H19F3N2O3 + H+ [M + H+]: 333.1426. Found: 333.1415.
tert-Butyl (S)-2-(4-(3-(trifluoromethyl)-3H-diazirin-3-yl)phenoxy)propanoate ((S)-55).tert-Butyl (S)-2-(4-(3-(trifluoromethyl)diaziridin-3-yl)phenoxy)propanoate (S)-52 (151 mg, 0.45 mmol) was dissolved in CH2Cl2 (2 mL). MnO2 (197 mg, 2.27 mmol) was added to the solution, and the reaction mixture was stirred at room temperature for 2 h, followed by filtration and then concentrated. The residue was purified by column chromatography (ethyl acetate/n-hexane, 1:9) to give (S)-55 (136 mg, 91%). [α]D −35 (c 1, CHCl3). 1H-NMR (270 MHz, CDCl3): δ = 7.12 (d, J = 8.6 Hz, 2H), 6.86 (d, J = 8.6 Hz, 2H), 4.62 (q, J = 6.8 Hz, 1H), 1.58 (d, J = 6.8 Hz, 3H), 1.43 (s, 9H). 13C-NMR (67.5 MHz, CDCl3): δ = 170.8, 158.8, 128.1, 122.2 (q, 1JCF = 274.9 Hz), 121.6, 115.3, 82.2, 72.9, 28.2 (q, 2JCF = 40.8 Hz), 27.9, 18.3. HRMS (ESI): m/z calculated for C15H17F3N2O3 + H+ [M + H+]: 331.1270. Found: 333.1261. Chiral HPLC (n-hexane/2-propanol 90:10): tR 15.4 min.
tert-Butyl (R)-2-(4-(3-(trifluoromethyl)-3H-diazirin-3-yl)phenoxy)propanoate ((R)-55). The similar treatment of tert-butyl (R)-2-(4-(3-(trifluoromethyl)diaziridin-3-yl)phenoxy)-propanoate (R)-52 (201 mg, 0.60 mmol) as that just described gave (R)-55 (184 mg, 92%). [α]D +35 (c 1, CHCl3). 1H-NMR (270 MHz, CDCl3): δ = 7.12 (d, J = 8.6 Hz, 2H), 6.86 (d, J = 8.6 Hz, 2H), 4.61 (q, J = 6.8 Hz, 1H), 1.58 (d, J = 6.8 Hz, 3H), 1.43 (s, 9H). 13C-NMR (67.5 MHz, CDCl3): δ = 170.8, 158.8, 128.1, 122.2 (q, 1JCF = 274.9 Hz), 121.6, 115.3, 82.2, 72.9, 28.2 (q, 2JCF = 40.8 Hz), 27.9, 18.3. HRMS (ESI): m/z calculated for C15H17F3N2O3 + H+ [M + H+]: 331.1270. Found: 333.1260. Chiral HPLC (n-hexane/2-propanol 90:10): tR 17.1 min.
tert-Butyl (S)-2-(3-(3-(trifluoromethyl)-3H-diazirin-3-yl)phenoxy)propanoate ((S)-56). The similar treatment of tert-butyl (S)-2-(3-(3-(trifluoromethyl)diaziridin-3-yl)phenoxy)-propanoate (S)-53 (269 mg, 0.81 mmol) as that just described gave (S)-56 (220 mg, 82%). [α]D −38 (c 1, CHCl3). 1H-NMR (270 MHz, CDCl3): δ = 7.3 (t, J = 7.6 Hz, 1H), 6.9 (d, J = 7.6 Hz, 1H), 6.8 (d, J = 7.6 Hz, 1H), 6.7 (s, 1H), 4.6 (q, J = 6.8 Hz, 1H), 1.6 (d, J = 6.8 Hz, 3H), 1.4 (s, 9H). 13C-NMR (67.5 MHz, CDCl3): δ = 170.8, 158.0, 130.5, 130.0, 122.1 (q, 1JCF = 274.9 Hz), 119.3, 116.3, 113.2, 82.3, 72.9, 28.3 (q, 2JCF = 40.8 Hz), 27.9, 18.3. HRMS (ESI): m/z calculated for C15H17F3N2O3 + H+ [M + H+]: 331.1270. Found: 333.1268. Chiral HPLC (n-hexane/2-propanol 90:10): tR 9.4 min.
tert-Butyl (R)-2-(3-(3-(trifluoromethyl)-3H-diazirin-3-yl)phenoxy)propanoate ((R)-56). The similar treatment of tert-butyl (R)-2-(3-(3-(trifluoromethyl)diaziridin-3-yl)phenoxy)-propanoate (R)-53 (347 mg, 1.05 mmol) as that just described gave (R)-56 (283 mg, 82%). [α]D +38 (c 1, CHCl3). 1H-NMR (270 MHz, CDCl3): δ = 7.3 (t, J = 7.6 Hz, 1H), 6.9 (d, J = 7.6 Hz, 1H), 6.8 (d, J = 7.6 Hz, 1H), 6.7 (s, 1H), 4.6 (q, J = 6.8 Hz, 1H), 1.6 (d, J = 6.8 Hz, 3H), 1.4 (s, 9H). 13C-NMR (67.5 MHz, CDCl3): δ = 170.8, 158.0, 130.5, 130.0, 122.1 (q, 1JCF = 274.9 Hz), 119.3, 116.3, 113.2, 82.3, 72.9, 28.3 (q, 2JCF = 40.2 Hz), 27.9, 18.3. HRMS (ESI): m/z calculated for C15H17F3N2O3 + H+ [M + H+]: 331.1270. Found: 333.1263. Chiral HPLC (n-hexane/2-propanol 90:10): tR 8.8 min.
tert-Butyl (S)-2-(2-(3-(trifluoromethyl)-3H-diazirin-3-yl)phenoxy)propanoate ((S)-57). The similar treatment of tert-butyl (S)-2-(2-(3-(trifluoromethyl)diaziridin-3-yl)phenoxy)-propanoate (S)-54 (105 mg, 0.32 mmol) as that just described gave (S)-57 (93.4 mg, 89%). [α]D −10 (c 1, CHCl3). 1H-NMR (270 MHz, CDCl3): δ = 7.37 (d, J = 7.6 Hz, 1H), 7.24 (t, J = 7.6 Hz, 1H), 6.87 (t, J = 7.6 Hz, 1H), 6.66 (d, J = 7.6 Hz, 1H), 4.60 (q, J = 6.8 Hz, 1H), 1.61 (d, J = 6.8 Hz, 3H), 1.30 (s, 9H). 13C-NMR (67.5 MHz, CDCl3): δ = 170.7, 158.0, 131.7, 131.1, 122.1 (q, 1JCF = 274.9 Hz), 121.3, 117.1, 112.2, 82.1, 73.3, 27.8, 26.4 (q, 2JCF = 43.0 Hz), 18.2. HRMS (ESI): m/z calculated for C15H17F3N2O3 + H+ [M + H+]: 331.1270. Found: 333.1285. Chiral HPLC (n-hexane/2-propanol 90:10): tR 9.9 min.
tert-Butyl (R)-2-(2-(3-(trifluoromethyl)-3H-diazirin-3-yl)phenoxy)propanoate ((R)-57). The similar treatment of tert-butyl (R)-2-(2-(3-(trifluoromethyl)diaziridin-3-yl)phenoxy)-propanoate (R)-54 (85.8 mg, 0.26 mmol) as that just described gave (R)-57 (81.7 mg, 96%). [α]D +10 (c 1, CHCl3). 1H-NMR (270 MHz, CDCl3): δ = 7.45 (d, J = 7.6 Hz, 1H), 7.33 (t, J = 7.6 Hz, 1H), 6.96 (t, J = 7.6 Hz, 1H), 6.74 (d, J = 7.6 Hz, 1H), 4.68 (q, J = 6.8 Hz, 1H), 1.69 (d, J = 6.8 Hz, 3H), 1.39 (s, 9H). 13C-NMR (67.5 MHz, CDCl3): δ = 170.7, 158.0, 131.7, 131.1, 122.1 (q, 1JCF = 274.9 Hz), 121.3, 117.1, 112.2, 82.1, 73.2, 27.8, 26.4 (q, 2JCF = 43.0 Hz), 18.2. HRMS (ESI): m/z calculated for C15H17F3N2O3 + H+ [M + H+]: 331.1270. Found: 333.1276. Chiral HPLC (n-hexane/2-propanol 90:10): tR 10.3 min.
(S)-2-(4-(3-(Trifluoromethyl)-3H-diazirin-3-yl)phenoxy)propanoic acid ((S)-58).tert-Butyl (S)-2-(4-(3-(trifluoromethyl)-3H-diazirin-3-yl)phenoxy)propanoate (S)-55 (165 mg, 0.50 mmol) was dissolved in CH2Cl2 (1 mL) and then trifluoroacetic acid (2 mL) was added to the solution. After the reaction mixture was stirred at room temperature for 2 h, the reaction mixture was poured into the cold water and extracted by CH2Cl2. The organic layer was dried over MgSO4, filtrated and concentrated to give (S)-58 (135 mg, 98%). [α]D −20 (c 1, CHCl3). 1H-NMR (270 MHz, CDCl3): δ = 11.33 (s, 1H), 7.14 (d, J = 8.6 Hz, 2H), 6.89 (d, J = 8.6 Hz, 2H), 4.79 (q, J = 6.8 Hz, 1H), 1.66 (d, J = 6.8 Hz, 3H). 13C-NMR (67.5 MHz, CDCl3): δ = 177.8, 158.2, 128.3, 122.3, 122.2 (q, 1JCF = 274.3 Hz), 115.4, 71.9, 28.1 (q, 2JCF = 40.8 Hz), 18.3. HRMS (ESI): m/z calculated for C11H9F3N2O3 + H+ [M + H+]: 275.0644. Found: 275.0648.
(R)-2-(4-(3-(Trifluoromethyl)-3H-diazirin-3-yl)phenoxy)propanoic acid ((R)-58). The similar treatment of tert-butyl (R)-2-(4-(3-(trifluoromethyl)-3H-diazirin-3-yl)phenoxy)-propanoate (R)-55 (201 mg, 0.61 mmol) as that just described gave (R)-58 (184 mg, 92%). [α]D +20 (c 1, CHCl3). 1H-NMR (270 MHz, CDCl3): δ = 10.28 (s, 1H), 7.15 (d, J = 8.6 Hz, 2H), 6.89 (d, J = 8.6 Hz, 2H), 4.79 (q, J = 6.8 Hz, 1H), 1.67 (d, J = 6.8 Hz, 3H). 13C-NMR (67.5 MHz, CDCl3): δ = 177.4, 158.2, 128.3, 122.3, 122.2 (q, 1JCF = 274.3 Hz), 115.4, 72.0, 28.1 (q, 2JCF = 40.8 Hz), 18.3. HRMS (ESI): m/z calculated for C11H9F3N2O3 + H+ [M + H+]: 275.0644. Found: 275.0614.
(S)-2-(3-(3-(Trifluoromethyl)-3H-diazirin-3-yl)phenoxy)propanoic acid ((S)-59). The similar treatment of tert-butyl (S)-2-(3-(3-(trifluoromethyl)-3H-diazirin-3-yl)phenoxy)-propanoate (S)-56 (220 mg, 0.67 mmol) as that just described gave (S)-59 (209 mg, quant). [α]D −13 (c 1, CHCl3). 1H-NMR (270 MHz, CDCl3): δ = 11.47 (s, 1H), 7.29 (t, J = 7.8 Hz, 1H), 6.89 (d, J = 7.8 Hz, 1H), 6.79 (d, J = 7.8 Hz, 1H), 6.74 (s, 1H), 4.78 (q, J = 6.8 Hz, 1H), 1.66 (d, J = 6.8 Hz, 3H). 13C-NMR (67.5 MHz, CDCl3): δ = 178.0, 157.5, 130.9, 130.2, 122.0 (q, 1JCF = 274.7 Hz), 119.8, 115.7, 114.0, 72.1, 28.3 (q, 2JCF = 39.9 Hz), 18.2. HRMS (ESI): m/z calculated for C11H9F3N2O3 + H+ [M + H+]: 275.0644. Found: 275.0661.
(R)-2-(3-(3-(Trifluoromethyl)-3H-diazirin-3-yl)phenoxy)propanoic acid ((R)-59). The similar treatment of tert-butyl (R)-2-(3-(3-(trifluoromethyl)-3H-diazirin-3-yl)phenoxy)-propanoate (R)-56 (283 mg, 0.86 mmol) as that just described gave (R)-59 (208 mg, 89%). [α]D +13 (c 1, CHCl3). 1H-NMR (270 MHz, CDCl3): δ = 11.32 (s, 1H), 7.30 (t, J = 8 Hz, 1H), 6.90 (d, J = 7.8 Hz, 1H), 6.80 (d, J = 7.8 Hz, 1H), 6.74 (s, 1H), 4.78 (q, J = 6.8 Hz, 1H), 1.66 (d, J = 6.8 Hz, 3H). 13C-NMR (67.5 MHz, CDCl3): δ = 177.9, 157.5, 130.9, 130.2, 122.0 (q, 1JCF = 274.5 Hz), 119.8, 115.7, 114.0, 72.1, 28.3 (q, 2JCF = 39.7 Hz), 18.2. HRMS (ESI): m/z calculated for C11H9F3N2O3 + H+ [M + H+]: 275.0644. Found: 275.0627.
(S)-2-(2-(3-(Trifluoromethyl)-3H-diazirin-3-yl)phenoxy)propanoic acid ((S)-60). The similar treatment of tert-butyl (S)-2-(2-(3-(trifluoromethyl)-3H-diazirin-3-yl)phenoxy)-propanoate (S)-57 (95.4 mg, 0.29 mmol) as that just described gave (S)-60 (89.0 mg, quant). [α]D −10 (c 1, CHCl3). 1H-NMR (270 MHz, CDCl3): δ = 7.49 (d, J = 7.6 Hz, 1H), 7.37 (t, J = 7.6 Hz, 1H), 7.02 (t, J = 7.6 Hz, 1H), 6.78 (d, J = 7.6 Hz, 1H), 4.86 (q, J = 6.8 Hz, 1H), 1.78 (d, J = 6.8 Hz, 3H). 13C-NMR (67.5 MHz, CDCl3): δ = 177.1, 157.5, 132.0, 131.4 122.0 (q, 1JCF = 275.4 Hz), 122.0, 117.4, 112.4, 72.3, 26.3 (q, 2JCF = 42.5 Hz), 18.2. HRMS (ESI): m/z calculated for C11H9F3N2O3 + H+ [M + H+]: 275.0644. Found: 275.0663.
(R)-2-(2-(3-(Trifluoromethyl)-3H-diazirin-3-yl)phenoxy)propanoic acid ((R)-60). The similar treatment of tert-butyl (R)-2-(2-(3-(trifluoromethyl)-3H-diazirin-3-yl)phenoxy)-propanoate (R)-57 (166 mg, 0.50 mmol) as that just described gave (R)-60 (151 mg, quant). [α]D +10 (c 1, CHCl3). 1H-NMR (270 MHz, CDCl3): δ = 7.50 (d, J = 7.6 Hz, 1H), 7.38 (t, J = 7.6 Hz, 1H), 7.03 (t, J = 7.6 Hz, 1H), 6.80 (d, J = 7.6 Hz, 1H), 4.88 (q, J = 6.8 Hz, 1H), 1.77 (d, J = 6.8 Hz, 3H). 13C-NMR (67.5 MHz, CDCl3): δ = 176.6, 157.4, 132.0, 131.3, 122.0, 122.0 (q, 1JCF = 274.9 Hz), 117.3, 112.3, 72.2, 26.3 (q, 2JCF = 42.5 Hz), 18.1. HRMS (ESI): m/z calculated for C11H9F3N2O3 + H+ [M + H+]: 275.0644. Found: 275.0654.

4.6. Cell-Based Sweet Taste Assay for Photoreactive Lactisole Derivatives

Construction of cell lines stably expressing the sweet taste receptor. The previously reported method to construct a cell line stably expressing the human sweet taste receptor [37,38] was also used in this study. The genes encoding T1R2, T1R3, and Gα16gust44 were incorporated into a modified version of the pcDNA5/FRT vector (Thermo Fisher Scientific, Waltham, MA, USA.). Following the Flp-In System protocol (Thermo Fisher Scientific, Waltham, MA, USA.), this construct was transfected into Flp-In 293 cells.
Measurement of cellular responses. Measurements of cellular responses were performed as described previously [5,37,38]. At first, all synthesized compounds were prepared in 1 M solution using dimethyl sulfoxide, and diluted by assay buffer. Cellular responses administrated mixtures containing both 1 mM aspartame and various concentrations of inhibitors were measured. Flp-In 293 cells stably expressing the sweet taste receptor were seeded in 96-well plates and incubated for an additional 23 h. The cells were washed with assay buffer and loaded using the FRIPR Calcium 4 Assay Kit (Molecular Devices, San Jose, CA, USA.). Measurement was performed on FlexStation 3 (Molecular Devices, San Jose, CA, USA.) after the samples were incubated at 37 °C for 1 h. The temperature of the FlexStation 3 was also maintained at 37 °C.
Data analysis. All data were normalized by the cellular response against 1 mM aspartame and were fitted to Hill’s equation, which was drawn using Clampfit 9.2 (Molecular Devices, Palo Alto, CA, USA), and IC50 values were calculated from a dose–response curve.

Supplementary Materials

The following are available online, 1H- and 13C- data for synthetic compounds, Cellular response of each photophore containing lactisole derivatives.

Author Contributions

Conceptualization, T.N., T.M. and M.H.; organic synthesis, A.I., Z.P.T., L.W. and M.H.; biochemical analysis, T.N., T.M.; data curation, T.N., A.I. and M.H.; writing—original draft preparation, T.N., M.H. All authors have read and agreed to the published version of the manuscript.

Funding

This research was partially supported by the Ministry of Education, Science, Sports, and Culture Grant-in-Aid for Scientific Research (C), (17K0194007 M.H.). Part of this work was performed under the Cooperative Research Program of “Network Joint Research Center for Materials and Devices”. Cross-ministerial Strategic Innovation Promotion Program (SIP) “Technologies for creating next-generation agriculture, forestry and fisheries” (T.M.).

Conflicts of Interest

The authors declare no conflict of interest.

References

  1. Rathbone, E.B.; Patel, G.D.; Butters, R.W.; Cookson, D.; Robinson, J.L. Occurrence of 2-(4-methoxyphenoxy)propanoic acid in roasted coffee beans: Analysis by gas-liquid chromatography and by high-performance liquid chromatography. J. Agr. Food Chem. 1989, 37, 54–58. [Google Scholar] [CrossRef]
  2. Rathbone, E.B.; Butters, R.W.; Cookson, D.; Robinson, J.L. Chirality of 2-(4-methoxyphenoxy)propanoic acid in roasted coffee beans: Analysis of the methyl esters by chiral high-performance liquid chromatography. J. Agr. Food Chem. 1989, 37, 58–60. [Google Scholar] [CrossRef]
  3. Jiang, P.; Cui, M.; Zhao, B.; Liu, Z.; Snyder, L.A.; Benard, L.M.J.; Osman, R.; Margolskee, R.F.; Max, M. Lactisole interacts with the transmembrane domains of human T1R3 to inhibit sweet taste. J. Biol. Chem. 2005, 280, 15238–15246. [Google Scholar] [CrossRef]
  4. Maillet, E.L.; Margolskee, R.F.; Mosinger, B. Phenoxy herbicides and fibrates potently inhibit the human chemosensory receptor subunit T1R3. J. Med. Chem. 2009, 52, 6931–6935. [Google Scholar] [CrossRef]
  5. Nakagita, T.; Ishida, A.; Matsuya, T.; Kobayashi, T.; Narukawa, M.; Hirokawa, T.; Hashimoto, M.; Misaka, T. Structural insights into the differences among lactisole derivatives in inhibitory mechanisms against the human sweet taste receptor. PLoS ONE 2019, 14, e0213552. [Google Scholar] [CrossRef]
  6. Aaberg, B. Plant growth regulators. XXXIX. Some nitro- and chloro-nitro-phenoxyacetic and optically active-phenoxypropionic acids. Swed. J. Agric. Res. 1980, 10, 101–106. [Google Scholar]
  7. Tomohiro, T.; Hashimoto, M.; Hatanaka, Y. Cross-linking chemistry and biology: Development of multifunctional photoaffinity probes. Chem. Record 2005, 5, 385–395. [Google Scholar] [CrossRef]
  8. Hashimoto, M.; Hatanaka, Y. Recent progress in diazirine-based photoaffinity labeling. Eur. J. Org. Chem. 2008, 2513–2523. [Google Scholar] [CrossRef]
  9. Hatanaka, Y. Development and leading-edge application of innovative photoaffinity labeling. Chem. Pharm. Bull. 2015, 63, 1–12. [Google Scholar] [CrossRef]
  10. Hatanaka, Y.; Hashimoto, M. Photoaffinity Labeling for Structural Probing within Protein; Springer: Tokyo, Japan, 2017. [Google Scholar] [CrossRef]
  11. Brunner, J. New photolabeling and crosslinking methods. Annu. Rev. Biochem. 1993, 62, 483–514. [Google Scholar] [CrossRef]
  12. Masuda, K.; Koizumi, A.; Misaka, T.; Hatanaka, Y.; Abe, K.; Tanaka, T.; Ishiguro, M.; Hashimoto, M. Photoactive ligands probing the sweet taste receptor. Design and synthesis of highly potent diazirinyl d-phenylalanine derivatives. Bioorg. Med. Chem. Lett. 2010, 20, 1081–1083. [Google Scholar] [CrossRef]
  13. Murai, Y.; Masuda, K.; Sakihama, Y.; Hashidoko, Y.; Hatanaka, Y.; Hashimoto, M. Comprehensive synthesis of photoreactive (3-trifluoromethyl)diazirinyl indole derivatives from 5- and 6-trifluoroacetylindoles for photoaffinity labeling. J. Org. Chem. 2012, 77, 8581–8587. [Google Scholar] [CrossRef]
  14. Tsunekawa, Y.; Masuda, K.; Muto, M.; Muto, Y.; Murai, Y.; Hashidoko, Y.; Orikasa, Y.; Oda, Y.; Hatanaka, Y.; Hashimoto, M. Chemo-enzymatic synthesis of 1′-photoreactive sucrose derivatives via ether linkage. Heterocycles 2012, 84, 283–290. [Google Scholar] [CrossRef]
  15. Sakurai, M.; Masuda, K.; Wang, L.; Murai, Y.; Sakihama, Y.; Hashidoko, Y.; Hatanaka, Y.; Hashimoto, M. Synthesis of methoxy-substituted diazirinyl phenylalanine—A novel photoreactive aspartame derivative for functional analysis of sweet receptors. Heterocycles 2014, 88, 629–637. [Google Scholar] [CrossRef][Green Version]
  16. Sakurai, M.; Yoshida, T.; Wang, L.; Murai, Y.; Masuda, K.; Sakihama, Y.; Hashidoko, Y.; Hatanaka, Y.; Hashimoto, M. Synthesis of photoreactive diazirinyl salicin derivative to elucidate functional analysis of the bitter taste receptor. Heterocycles 2015, 90, 698–705. [Google Scholar] [CrossRef]
  17. Wang, L.; Yoshida, T.; Muto, Y.; Murai, Y.; Tachrim, Z.P.; Ishida, A.; Nakagawa, S.; Sakihama, Y.; Hashidoko, Y.; Masuda, K.; et al. Synthesis of diazirine-based photoreactive saccharin derivatives for the photoaffinity labeling of gustatory receptors. Eur. J. Org. Chem. 2015, 3129–3134. [Google Scholar] [CrossRef]
  18. Wang, L.; Hashidoko, Y.; Hashimoto, M. Cosolvent-promoted O-benzylation with silver(i) oxide: Synthesis of 1′-benzylated sucrose derivatives, mechanistic studies, and scope investigation. J. Org. Chem. 2016, 81, 4464–4474. [Google Scholar] [CrossRef]
  19. Yoshida, T.; Hashidoko, Y.; Hashimoto, M. Synthesis of benzophenone and phenylazide derivatives of salicin for functional analysis of the bitter taste receptor using photoaffinity labeling. Heterocycles 2016, 93, 355–361. [Google Scholar] [CrossRef]
  20. Ishida, A.; Wang, L.; Tachrim, Z.P.; Suzuki, T.; Sakihama, Y.; Hashidoko, Y.; Hashimoto, M. Comprehensive Synthesis of Photoreactive Phenylthiourea Derivatives for the Photoaffinity Labeling. Chemistryselect 2017, 2, 160–164. [Google Scholar] [CrossRef]
  21. Walsh, D.A.; Sleevi, M.C.; Sancilio, L.F. Antiinflammatory activity of N-(2-benzoylphenyl)alanine derivatives. J. Med. Chem. 1984, 27, 1317–1321. [Google Scholar] [CrossRef]
  22. Azzolina, O.; Vercesi, D.; Ghislandi, V. Optical resolution, asymmetric synthesis and absolute configuration of m-benzoyl-2-phenoxypropionic acids. Farmaco 1988, 43, 469–478. [Google Scholar]
  23. Azzolina, O.; Collina, S.; Ghislandi, V. Optical resolution of aryloxypropionic acids and their esters by HPLC on cellulose tris(3,5-dimethyltriphenylcarbamate) derivative. Farmaco 1993, 48, 1401–1416. [Google Scholar]
  24. Azzolina, O.; Vercesi, D.; Collina, S.; Ghislandi, V. Chiral resolution of methyl 2-aryloxypropionates by biocatalytic stereospecific hydrolysis. Farmaco 1995, 50, 221–226. [Google Scholar]
  25. Vinkovic, V.; Kontrec, D.; Sunjic, V.; Navarini, L.; Zanetti, F.; Azzolina, O. Mechanism of chiral recognition in the enantioseparation of 2-aryloxypropionic acids on new brush-type chiral stationary phases. Chirality 2001, 13, 581–587. [Google Scholar] [CrossRef]
  26. Biagi, G.; Livi, O.; Scartoni, V.; Verugi, E. 1,2,3-Triazoles: Structural changes on two effective inhibitors of prostaglandin synthesis in vitro. Farmaco 1988, 43, 597–611. [Google Scholar] [CrossRef]
  27. Akazome, M.; Sukegawa, J.; Goto, Y.; Matsumoto, S. A cyclic trimer of 2-(2-aminophenoxy)propionic acid with a bowl-shaped structure. Tetrahedron Lett. 2009, 50, 5382–5385. [Google Scholar] [CrossRef]
  28. Akazome, M.; Ishii, Y.; Nireki, T.; Ogura, K. Induced helix of 2-(2-aminophenoxy)alkanoic acid oligomers as a δ-peptidomimetic foldamer. Tetrahedron Lett. 2008, 49, 4430–4433. [Google Scholar] [CrossRef]
  29. Akazome, M.; Hamada, N.; Takagi, K.; Yagyu, D.; Matsumoto, S. Binding of acetylcholine and quaternary ammonium compounds to a C3-symmetric bowl-shaped tripeptide of 2-(3-aminophenoxy)propanoic acids acting as a ditopic receptor. Tetrahedron Lett. 2014, 55, 2226–2229. [Google Scholar] [CrossRef]
  30. Lu, X.; Cseh, S.; Byun, H.-S.; Tigyi, G.; Bittman, R. Total Synthesis of Two Photo-Activatable Analogues of the Growth-Factor-Like Mediator Sphingosine 1-Phosphate: Differential Interaction with Protein Targets. J. Org. Chem. 2003, 68, 7046–7050. [Google Scholar] [CrossRef]
  31. Murai, Y.; Yoshida, T.; Wang, L.; Masuda, K.; Hashidoko, Y.; Monde, K.; Hatanaka, Y.; Hashimoto, M. Efficient Synthesis of Photoreactive 2-Propoxyaniline Derivatives as Artificial Sweeteners. Synlett 2016, 27, 946–950. [Google Scholar] [CrossRef]
  32. Hatanaka, Y.; Hashimoto, M.; Kurihara, H.; Nakayama, H.; Kanaoka, Y. Novel family of aromatic diazirines for photoaffinity-labeling. J. Org. Chem. 1994, 59, 383–387. [Google Scholar] [CrossRef]
  33. Liu, H.-J.; Sabesan, S.I. Direct transformation of carboxylic acids to thiol esters induced by phenyl dichlorophosphate. Can. J. Chem. 1980, 58, 2645–2648. [Google Scholar] [CrossRef]
  34. Sevenard, D.V.; Vorobyev, M.; Sosnovskikh, V.Y.; Wessel, H.; Kazakova, O.; Vogel, V.; Shevchenko, N.E.; Nenajdenko, V.G.; Lork, E.; Roeschenthaler, G.-V. Halogenation of fluorinated cyclic 1,3-dicarbonyl compounds: New aspects of synthetic application. Tetrahedron 2009, 65, 7538–7552. [Google Scholar] [CrossRef]
  35. Neogi, A.; Majhi, T.P.; Achari, B.; Chattopadhyay, P. Palladium-catalyzed intramolecular C-O bond formation: An approach to the synthesis of chiral benzodioxocines. Eur. J. Org. Chem. 2008, 330–336. [Google Scholar] [CrossRef]
  36. Wang, L.; Murai, Y.; Yoshida, T.; Ishida, A.; Masuda, K.; Sakihama, Y.; Hashidoko, Y.; Hatanaka, Y.; Hashimoto, M. Alternative One-pot synthesis of (trifluoromethyl)phenyldiazirines from tosyloxime derivatives: Application for new synthesis of optically pure diazirinylphenylalanines for photoaffinity labeling. Org. Lett. 2015, 17, 616–619. [Google Scholar] [CrossRef]
  37. Fujiwara, S.; Imada, T.; Nakagita, T.; Okada, S.; Nammoku, T.; Abe, K.; Misaka, T. Sweeteners interacting with the transmembrane domain of the human sweet-taste receptor induce sweet-taste synergisms in binary mixtures. Food Chem. 2012, 130, 561–568. [Google Scholar] [CrossRef]
  38. Imada, T.; Misaka, T.; Fujiwara, S.; Okada, S.; Fukuda, Y.; Abe, K. Amiloride reduces the sweet taste intensity by inhibiting the human sweet taste receptor. Biochem. Biophys. Res. Comm. 2010, 397, 220–225. [Google Scholar] [CrossRef]
Sample Availability: Samples of the compounds are available from the authors.
Figure 1. Structures of photoreactive lactisole derivatives in this study.
Figure 1. Structures of photoreactive lactisole derivatives in this study.
Molecules 25 02790 g001
Figure 2. Synthesis of benzophenone-containing lactisole derivatives. (a) (1) PPh3, CH2Cl2, 0 °C, 10 min; (2) diethyl azodicarboxylate (DEAD), CH2Cl2, rt, 8 h, (S)-6 88%, (R)-6 quant., (S)-7 quant., (R)-7 quant, (S)-8 88%, (R)-8 82%; (b) K2CO3, CH3OH, H2O, reflux, 2 h, (S)-9 quant, (R)-9 quant., (S)-10 80%, (R)-10 quant, (S)-11 87%, (R)-11 88%.
Figure 2. Synthesis of benzophenone-containing lactisole derivatives. (a) (1) PPh3, CH2Cl2, 0 °C, 10 min; (2) diethyl azodicarboxylate (DEAD), CH2Cl2, rt, 8 h, (S)-6 88%, (R)-6 quant., (S)-7 quant., (R)-7 quant, (S)-8 88%, (R)-8 82%; (b) K2CO3, CH3OH, H2O, reflux, 2 h, (S)-9 quant, (R)-9 quant., (S)-10 80%, (R)-10 quant, (S)-11 87%, (R)-11 88%.
Molecules 25 02790 g002
Figure 3. Synthesis of 4- and 3- azide-substituted lactisole derivatives. (a) (1) PPh3, CH2Cl2, 0 °C, 10 min; (2) DEAD, CH2Cl2, rt, 8 h, (S)-14 99%, (R)-14 quant., (S)-15 quant., (R)-15 quant, (b) H2, Pd/C, CH3OH, rt, 2 h, (S)-16 quant., (R)-16 quant., (S)-17 quant., (R)-17 87%, (c) (1) NaNO2, HCl, H2O, 0 °C; (2) NaN3, 0 °C, 30 min, then rt, 30 min, (S)-18 quant., (R)-18 93%., (S)-19 92%., (R)-19 85%, (d) NaOH, CH3OH, H2O, reflux, 5 h, (S)-20 91%, (R)-20 96%, (S)-21 quant., (R)-21 81%.
Figure 3. Synthesis of 4- and 3- azide-substituted lactisole derivatives. (a) (1) PPh3, CH2Cl2, 0 °C, 10 min; (2) DEAD, CH2Cl2, rt, 8 h, (S)-14 99%, (R)-14 quant., (S)-15 quant., (R)-15 quant, (b) H2, Pd/C, CH3OH, rt, 2 h, (S)-16 quant., (R)-16 quant., (S)-17 quant., (R)-17 87%, (c) (1) NaNO2, HCl, H2O, 0 °C; (2) NaN3, 0 °C, 30 min, then rt, 30 min, (S)-18 quant., (R)-18 93%., (S)-19 92%., (R)-19 85%, (d) NaOH, CH3OH, H2O, reflux, 5 h, (S)-20 91%, (R)-20 96%, (S)-21 quant., (R)-21 81%.
Molecules 25 02790 g003
Figure 4. Synthesis of 2-azide-substituted lactisole derivatives. (a) (1) PPh3, CH2Cl2, 0 °C, 10 min; (2) DEAD, CH2Cl2, rt, 8 h, (S)-23 quant., (R)-23 quant., (b) NaOH, CH3OH, reflux, 1h, (S)-24 quant., (R)-24 quant., (c) t-Butyl bromide, K2CO3, tetrabutylammonium bromide, dimethyl acetamide, 55 °C, 2.5 h, (S)-25 77%, (R)-25 82%, (d) H2, Pd/C, CH3OH, rt, 1 h, (S)-26 73%, (R)-26 89%, (e) NaNO2, HCl, H2O, 0 °C; (2) NaN3, 0 °C, 30 min, then rt, 30 min, (S)-27 quant., (R)-27 89%, (f) 4 M HCl, dioxane, rt, 1 h, (S)-28 68%, (R)-26 65%.
Figure 4. Synthesis of 2-azide-substituted lactisole derivatives. (a) (1) PPh3, CH2Cl2, 0 °C, 10 min; (2) DEAD, CH2Cl2, rt, 8 h, (S)-23 quant., (R)-23 quant., (b) NaOH, CH3OH, reflux, 1h, (S)-24 quant., (R)-24 quant., (c) t-Butyl bromide, K2CO3, tetrabutylammonium bromide, dimethyl acetamide, 55 °C, 2.5 h, (S)-25 77%, (R)-25 82%, (d) H2, Pd/C, CH3OH, rt, 1 h, (S)-26 73%, (R)-26 89%, (e) NaNO2, HCl, H2O, 0 °C; (2) NaN3, 0 °C, 30 min, then rt, 30 min, (S)-27 quant., (R)-27 89%, (f) 4 M HCl, dioxane, rt, 1 h, (S)-28 68%, (R)-26 65%.
Molecules 25 02790 g004
Figure 5. Synthesis of 3- and 4-trifluoroacetyl lactisole derivatives. (a) LiCl, DMF, reflux, 5 h for 31 82%, BBr3, CH2Cl2, rt, 2 h for 32 quant. (b) (1) PPh3, CH2Cl2, 0 °C, 10 min; (2) DEAD, CH2Cl2, rt, 8 h, (S)-33 78%, (R)-33 74%, (S)-34 71%, (R)-34 75%. (c) K2CO3, MeOH, H2O, reflux, 2 h, (S)-35 quant., (R)-35 95%, (S)-36 99%, (R)-36 97%. (d) t-BuBr, K2CO3, tetrabutylammonium bromide (TBAB), DMA, 55 °C, 5 h, (S)-37 66%, (R)-37 70%, (S)-38 38%, (R)-38 37%.
Figure 5. Synthesis of 3- and 4-trifluoroacetyl lactisole derivatives. (a) LiCl, DMF, reflux, 5 h for 31 82%, BBr3, CH2Cl2, rt, 2 h for 32 quant. (b) (1) PPh3, CH2Cl2, 0 °C, 10 min; (2) DEAD, CH2Cl2, rt, 8 h, (S)-33 78%, (R)-33 74%, (S)-34 71%, (R)-34 75%. (c) K2CO3, MeOH, H2O, reflux, 2 h, (S)-35 quant., (R)-35 95%, (S)-36 99%, (R)-36 97%. (d) t-BuBr, K2CO3, tetrabutylammonium bromide (TBAB), DMA, 55 °C, 5 h, (S)-37 66%, (R)-37 70%, (S)-38 38%, (R)-38 37%.
Molecules 25 02790 g005
Figure 6. Synthesis of 2-trifluoroacetyl lactisole derivative. (a) 1,3-propanedithiol, I2, CH2Cl2, rt, 1 h, 95%, (b) (1) 4 or 5, PPh3, CH2Cl2, 0 °C, 10 min; (2) DEAD, CH2Cl2, rt, 8 h, (S)-41 98%, (R)-41 98%, (c) K2CO3, MeOH, H2O, reflux, 1 h, (S)-42 quant., (R)-42 quant, (d) t-BuBr, K2CO3, TBAB, DMA, 55 °C, 2.5 h, (S)-43 83%, (R)-43 82%, (e) CH3I, NaHCO3, CH3CN, H2O, rt, 24 h, (S)-44 78%, (R)-44 79%, (f) (1) TMS-CF3, K2CO3, DMF, rt, 4 h, (2) 1 M HCl, rt, 4 h; (3) Dess–Martin periodinane, CH2Cl2, rt, 3 h, (S)-45 85%, (R)-45 89%.
Figure 6. Synthesis of 2-trifluoroacetyl lactisole derivative. (a) 1,3-propanedithiol, I2, CH2Cl2, rt, 1 h, 95%, (b) (1) 4 or 5, PPh3, CH2Cl2, 0 °C, 10 min; (2) DEAD, CH2Cl2, rt, 8 h, (S)-41 98%, (R)-41 98%, (c) K2CO3, MeOH, H2O, reflux, 1 h, (S)-42 quant., (R)-42 quant, (d) t-BuBr, K2CO3, TBAB, DMA, 55 °C, 2.5 h, (S)-43 83%, (R)-43 82%, (e) CH3I, NaHCO3, CH3CN, H2O, rt, 24 h, (S)-44 78%, (R)-44 79%, (f) (1) TMS-CF3, K2CO3, DMF, rt, 4 h, (2) 1 M HCl, rt, 4 h; (3) Dess–Martin periodinane, CH2Cl2, rt, 3 h, (S)-45 85%, (R)-45 89%.
Molecules 25 02790 g006
Figure 7. Synthesis of 2-, 3- and 4-trifluoromethyl diazirinyl lactisole derivatives. (a) NH2OH HCl, pyridine, EtOH, 60 °C, 12 h, (S)-46 quant., (R)-46 quant., (S)-47 quant., (R)-47 85%, (S)-48 quant., (R)-48 98%, (b) Tosyl chloride, DMAP, CH2Cl2, rt, 45 min, (S)-49 quant., (R)-49 98%, (S)-50 quant., (R)-50 93%, (S)-51 94%, (R)-51 quant., (c) NH3 (l), Et2O, rt, 12 h, (S)-52 88%, (R)-52 88%, (S)-53 92%, (R)-53 quant., (S)-54 76%, (R)-54 80%, (d) MnO2, CH2Cl2, rt, 2 h, (S)-55 91%, (R)-55 92%, (S)-56 82%, (R)-56 82%, (S)-57 89%, (R)-57 96%, (e) CF3COOH, CH2Cl2, rt, 4 h, (S)-58 98%, (R)-58 92%, (S)-59 quant., (R)-59 89%, (S)-60 quant., (R)-60 quant.
Figure 7. Synthesis of 2-, 3- and 4-trifluoromethyl diazirinyl lactisole derivatives. (a) NH2OH HCl, pyridine, EtOH, 60 °C, 12 h, (S)-46 quant., (R)-46 quant., (S)-47 quant., (R)-47 85%, (S)-48 quant., (R)-48 98%, (b) Tosyl chloride, DMAP, CH2Cl2, rt, 45 min, (S)-49 quant., (R)-49 98%, (S)-50 quant., (R)-50 93%, (S)-51 94%, (R)-51 quant., (c) NH3 (l), Et2O, rt, 12 h, (S)-52 88%, (R)-52 88%, (S)-53 92%, (R)-53 quant., (S)-54 76%, (R)-54 80%, (d) MnO2, CH2Cl2, rt, 2 h, (S)-55 91%, (R)-55 92%, (S)-56 82%, (R)-56 82%, (S)-57 89%, (R)-57 96%, (e) CF3COOH, CH2Cl2, rt, 4 h, (S)-58 98%, (R)-58 92%, (S)-59 quant., (R)-59 89%, (S)-60 quant., (R)-60 quant.
Molecules 25 02790 g007
Table 1. Inhibitory activities of photophore containing lactisole derivatives. IC50: 50% inhibitory concentration.
Table 1. Inhibitory activities of photophore containing lactisole derivatives. IC50: 50% inhibitory concentration.
Position of PhotophoreBenzophenoneIC50 (µM)AzideIC50 (µM)DiazirineIC50 (µM)
4-(S)-9970 ± 11(S)-20100 ± 0.77(S)-5812 ± 0.067
(R)-92200 ± 32(R)-201800 ± 24(R)-58250 ± 1.8
3-(S)-101100 ± 10(S)-21100 ± 0.83(S)-5919 ± 0.14
(R)-101100 ± 11(R)-212400 ± 23(R)-59250 ± 1.7
2-(S)-111200 ± 20(S)-28280 ± 5.2(S)-6037 ± 0.28
(R)-111200 ±18(R)-281200 ± 18(R)-60300 ± 1.8
Controlrac-lactisole 6182 ± 0.44(S)-6120 ± 4.3(R)-61nd
rac-2,4-DP 627.9 ± 0.067(S)-622.6 ± 0.51(R)-6245 ± 6.1
nd: not determined.

Share and Cite

MDPI and ACS Style

Nakagita, T.; Ishida, A.; Tachrim, Z.P.; Wang, L.; Misaka, T.; Hashimoto, M. Asymmetric Synthesis of Photophore-Containing Lactisole Derivatives to Elucidate Sweet Taste Receptors. Molecules 2020, 25, 2790. https://doi.org/10.3390/molecules25122790

AMA Style

Nakagita T, Ishida A, Tachrim ZP, Wang L, Misaka T, Hashimoto M. Asymmetric Synthesis of Photophore-Containing Lactisole Derivatives to Elucidate Sweet Taste Receptors. Molecules. 2020; 25(12):2790. https://doi.org/10.3390/molecules25122790

Chicago/Turabian Style

Nakagita, Tomoya, Akiko Ishida, Zetryana Puteri Tachrim, Lei Wang, Takumi Misaka, and Makoto Hashimoto. 2020. "Asymmetric Synthesis of Photophore-Containing Lactisole Derivatives to Elucidate Sweet Taste Receptors" Molecules 25, no. 12: 2790. https://doi.org/10.3390/molecules25122790

APA Style

Nakagita, T., Ishida, A., Tachrim, Z. P., Wang, L., Misaka, T., & Hashimoto, M. (2020). Asymmetric Synthesis of Photophore-Containing Lactisole Derivatives to Elucidate Sweet Taste Receptors. Molecules, 25(12), 2790. https://doi.org/10.3390/molecules25122790

Article Metrics

Back to TopTop