Experimental and Computational Approaches for Solubility Measurement of Pyridazinone Derivative in Binary (DMSO + Water) Systems
Abstract
1. Introduction
2. Results and Discussion
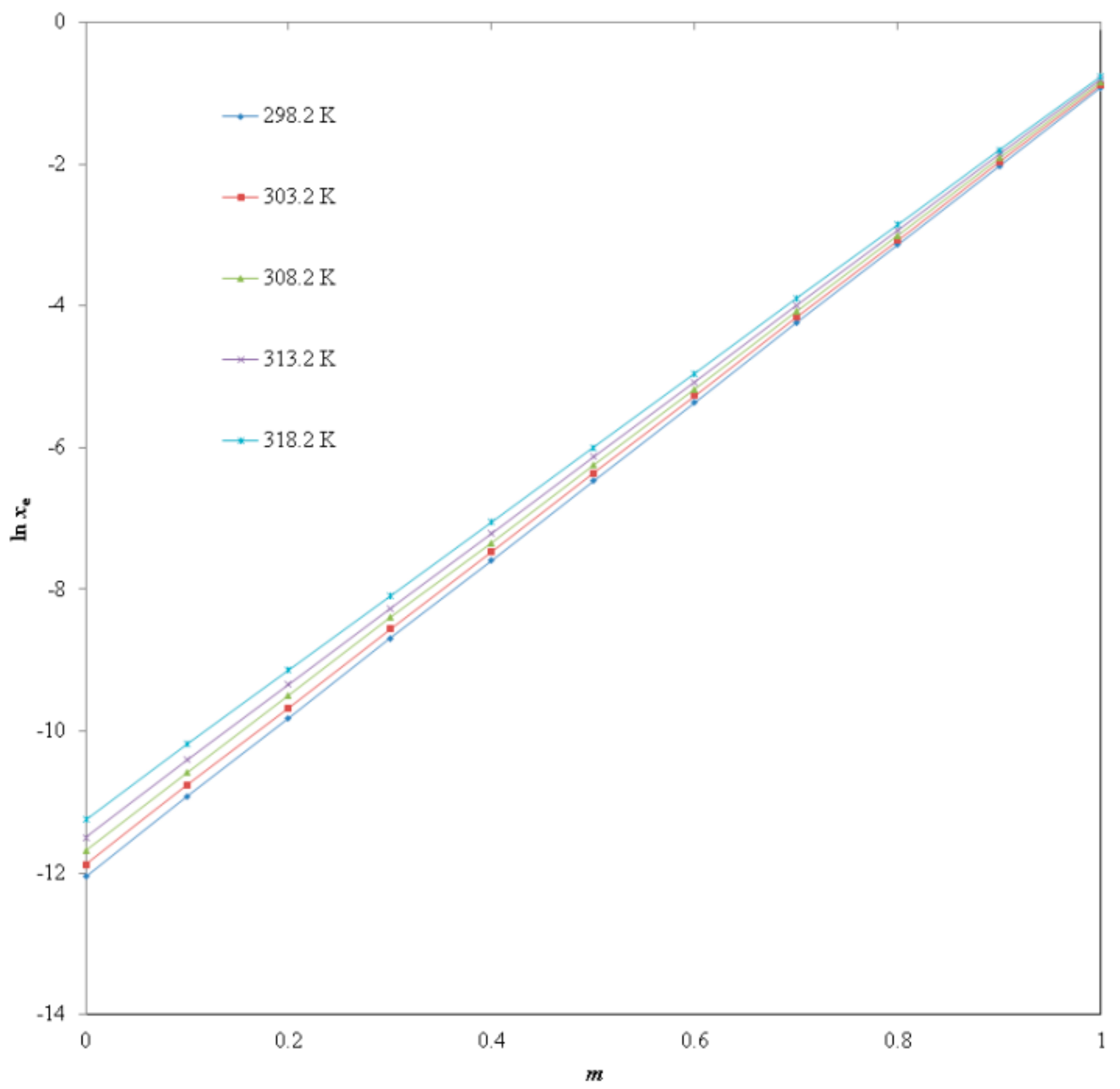
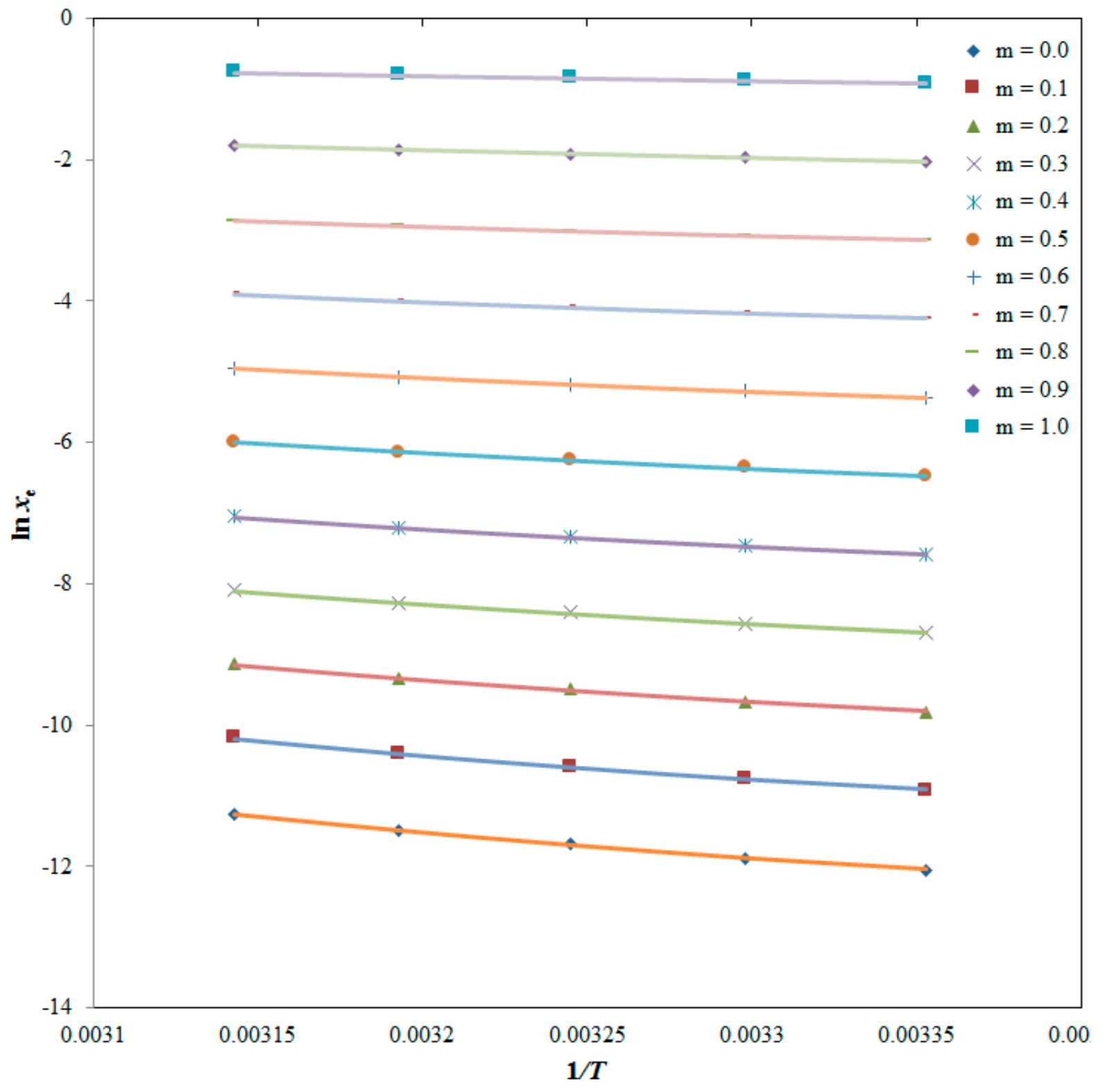
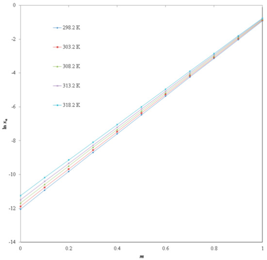
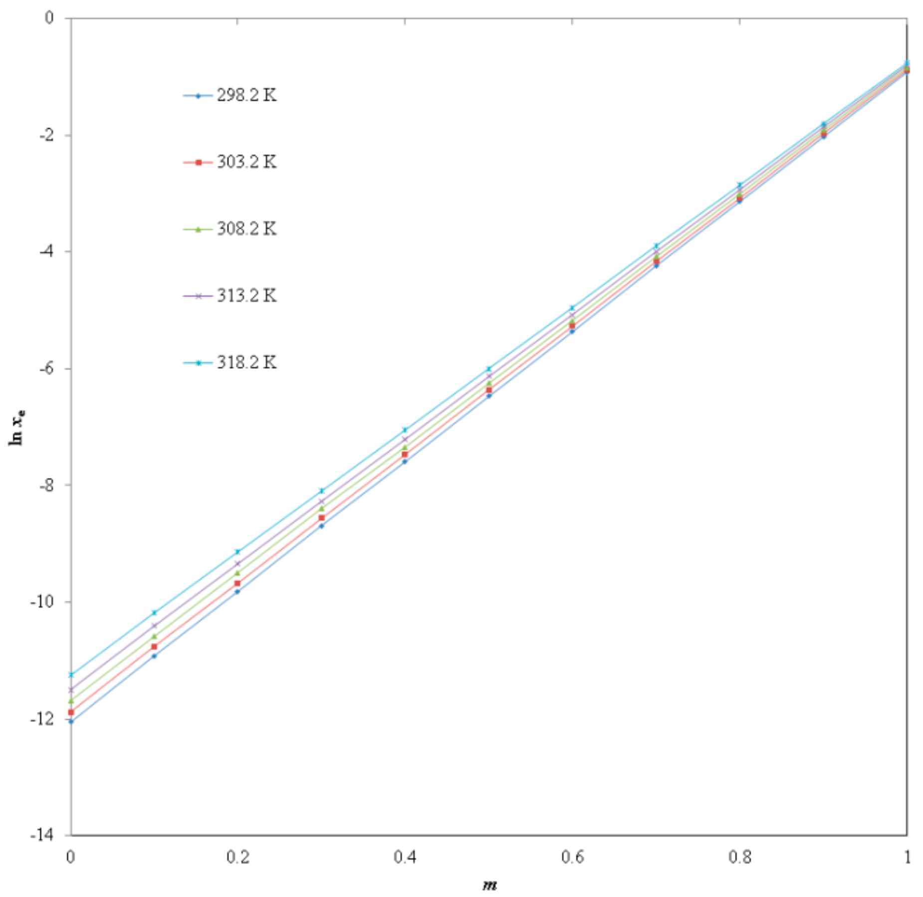
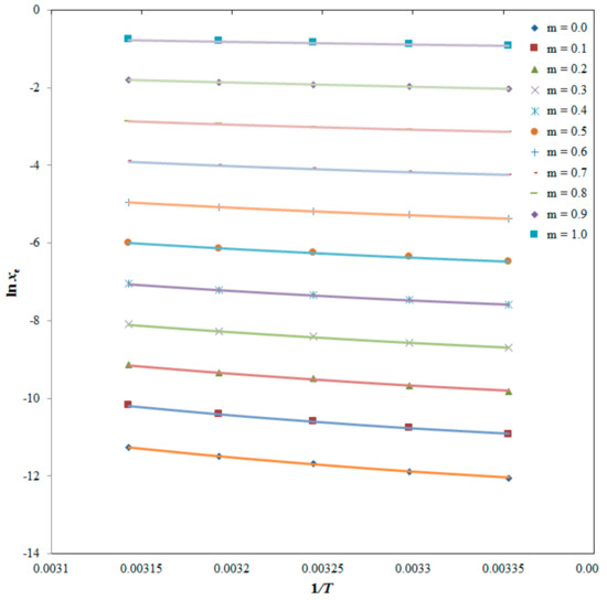
2.1. Solubility of PPD in Binary DMSO + Water Systems
2.2. Ideal Solubilities and Activity Coefficients for Solute-Solvent Molecular Interactions
2.3. Thermodynamic Behavior of PPD
2.4. Enthalpy–Entropy Compensation Analysis for Solvation Property of PPD
2.5. Computation Validation
3. Materials and Methods
3.1. Materials
3.2. Evaluation of PPD Solubility in Various DMSO + Water Systems
3.3. Ideal Solubilities and Activity Coefficients for Solute-Solvent Molecular Interactions
3.4. Thermodynamic Behavior of PPD
3.5. Enthalpy–Entropy Compensation Analysis
3.6. Computational Validation
4. Conclusions
Author Contributions
Funding
Acknowledgments
Conflicts of Interest
Nomenclature
| T | Absolute temperature (K) |
| P | Air pressure (MPa) |
| M | Mass fraction of DMSO in DMSO + water mixtures |
| m1 | Mass fraction of neat DMSO |
| m2 | Mass fraction of neat water |
| xe | Experimental mole fraction solubility of PPD |
| xidl | Ideal solubility of PPD in mole fraction |
| xvan’t | van’t Hoff model solubility of PPD in mole fraction |
| xApl | Apelblat model solubility of PPD in mole fraction |
| xYal | Yalkowsky model solubility of PPD in mole fraction |
| xm,T | Jouyban–Acree model solubility of PPD in mole fraction |
| x1 | Mole fraction solubility of PPD in neat DMSO |
| x2 | Mole fraction solubility of PPD in neat water |
| γi | Activity coefficient of PPD |
| R2 | Correlation coefficient |
| RMSD | Root mean square deviations (%) |
| a and b | Parameters of van’t Hoff model |
| A, B, and C | Parameters of Apelblat model |
| Ji | Parameter of Jouyban–Acree model |
| A1, B1, A2, and B2 | Parameter of Jouyban–Acree–van’t Hoff model |
| ΔsolH0 | Apparent standard dissolution enthalpy (kJ mol−1) |
| ΔsolG0 | Apparent standard Gibbs free energy (kJ mol−1) |
| ΔsolS0 | Apparent standard dissolution entropy (J mol−1 K−1) |
| Thm | Mean harmonic temperature (K) |
| Tfus | Fusion temperature (K) |
| λmax | Wavelength for maximum absorbance (nm) |
| R | Universal gas constant (J mol−1 K−1) |
| ΔHfus | Molar fusion enthalpy (kJ mol−1) |
| ΔCp | Difference in molar heat capacity (J mol−1 K−1) |
References
- Bansal, R.; Thota, S. Pyridazin-3(2H)-ones: The versatile pharmacophore of medicinal significance. Med. Chem. Res. 2013, 22, 2539–2552. [Google Scholar] [CrossRef]
- Sircar, I. Substituted 6-Phenyl-3(2H)-Pyridazinones Useful as Cardiotonic Agents. U.S. Patent 4,404,203, 9 August 1983. [Google Scholar]
- Wu, J.; Kang, S.; Yuan, Q.; Luo, L.; Ma, J.; Shi, Q.; Yang, S. N-Substituted 5-chloro-6-phenylpyridazin-3(2H)-ones: Synthesis, insecticidal activity against Plutella xylostella (L.) and SAR study. Molecules 2012, 17, 9413–9420. [Google Scholar] [CrossRef] [PubMed]
- Wang, T.; Dong, Y.; Wang, L.; Xiang, B.; Chen, Z.; Qu, L. Design, synthesis and structure-activity relationship studies of 6-phenyl-4,5-dihydro-3(2H)-pyridazinone derivatives as cardiotonic agents. Arzneimittelforschung 2008, 58, 569–573. [Google Scholar] [CrossRef] [PubMed]
- Siddiqui, A.A.; Mishra, R.; Shaharyar, M. Synthesis, characterization and antihypertensive activity of pyridazinone derivatives. Eur. J. Med. Chem. 2010, 45, 2283–2290. [Google Scholar] [CrossRef] [PubMed]
- Malinka, W.; Redzicka, A.; Jastrzebska-Wiesek, M.; Filipek, B.; Dybała, M.; Karczmarzyk, Z.; Urbanczyk-Lipkowska, Z.; Kalicki, P. Derivatives of pyrrolo[3,4-d]pyridazinone, a new class of analgesic agents. Eur. J. Med. Chem. 2011, 46, 4992–4999. [Google Scholar] [CrossRef] [PubMed]
- Sukuroglu, M.; Ergun, B.C.; Unlu, M.; Sahin, M.F.; Kupeli, E.; Yesilada, E.; Banoglu, E. Synthesis, analgesic, and anti-inflammatory activities of [6-(3,5-dimethyl-4-chloropyrazole-1-yl)-3(2H)-pyridazinon-2-yl]acetamides. Arch. Pharm. Res. 2005, 5, 509–517. [Google Scholar] [CrossRef] [PubMed]
- Singh, J.; Saini, V.; Kumar, A.; Bansal, R. Synthesis, molecular docking and biological evaluation of some newer 2-substituted-4-(benzo[d][1,3]dioxol-5-yl)-6-phenylpyridazin-3(2H)-ones as potential anti-inflammatory and analgesic agents. Bioorg. Chem. 2017, 71, 201–210. [Google Scholar] [CrossRef]
- Yamada, T.; Nobuhara, Y.; Yamaguchi, A.; Ohki, M. Pyridazinones. 1. Synthesis and antisecretory and antiulcer activities of thioamide derivatives. J. Med. Chem. 1982, 25, 975–982. [Google Scholar] [CrossRef]
- Sonmej, M.; Berber, L.; Akbas, B. Synthesis, antibacterial and antifungal activity of some new pyridazinone metal complexes. Eur. J. Med. Chem. 2005, 41, 101–105. [Google Scholar] [CrossRef]
- Imran, M.; Nayeem, N. Synthesis and antihypertensive activity of some novel pyridazinones. Orien. J. Chem. 2016, 32, 267–274. [Google Scholar] [CrossRef]
- Shakeel, F.; Haq, N.; Salem-Bekhit, M.M.; Raish, M. Solubility and dissolution thermodynamic analysis of sinapic acid in (DMSO + water) binary solvent mixtures at different temperatures. J. Mol. Liq. 2017, 225, 833–839. [Google Scholar] [CrossRef]
- Shakeel, F.; Haq, N.; Salem-Bekhit, M.M. Thermodynamics of solubility of isatin in Carbitol + water mixed solvent systems at different temperatures. J. Mol. Liq. 2015, 207, 274–278. [Google Scholar] [CrossRef]
- Zhu, Y.; Chen, G.; Cong, Y.; Xu, A.; Frajtabar, A.; Zhao, H. Equilibrium solubility, dissolution thermodynamics and preferential solvation of 6-methyl-2-thiouracil in aqueous co-solvent mixtures of methanol, N-methyl-2-pyrrolidone, N,N-dimethyl formamide and dimethylsulfoxide. J. Chem. Thermodyn. 2018, 121, 55–64. [Google Scholar] [CrossRef]
- Jabbari, M.; Khosravi, N.; Feizabadi, M.; Ajloo, D. Solubility temperature and solvent dependence and preferential solvation of citrus flavonoid naringin in aqueous DMSO mixtures: An experimental and molecular dynamics simulation study. RSC Adv. 2017, 7, 14776–14789. [Google Scholar] [CrossRef]
- Shakeel, F.; Mothana, R.A.; Haq, N.; Siddiqui, N.A.; Al-Oqail, M.M.; Al-Rehaily, A.J. Solubility and thermodynamic function of bergenin in different (DMSO + water) mixtures at different temperatures. J. Mol. Liq. 2016, 220, 823–828. [Google Scholar] [CrossRef]
- Shakeel, F.; Imran, M.; Haq, N.; Alshehri, S.; Anwer, M.K. Synthesis, characterization and solubility determination of 6-Phenyl-pyridazin-3(2H)-one in different pharmaceutical solvents. Molecules 2019, 24, 3404. [Google Scholar] [CrossRef]
- Panigrahi, M.; Grabda, M.; Kozak, D.; Dorai, A.; Shibata, E.; Kawamura, J.; Nakamura, T. Liquid–liquid extraction of neodymium ions from aqueous solutions of NdCl3 by phosphonium-based ionic liquids. Sep. Pur. Technol. 2016, 171, 263–269. [Google Scholar] [CrossRef]
- Dorai, A.; Panigrahi, M.; Kozak, D.; Grabda, M.; Shibata, E.; Nakamura, T.; Kawamura, J. Effect of paramagnetic metal ions on 1H diffusion in tryhexyltetradecylphosphonium benzoate ionic liquid. ECS Transac. 2016, 75, 567–573. [Google Scholar] [CrossRef]
- Grabda, M.; Panigrahi, M.; Oleszek, S.; Kozak, D.; Eckerte, F.; Shibata, E.; Nakamura, T. COSMO-RS screening for efficient ionic liquid extraction solvents for NdCl3 and DyCl3. Fluid Phase Equilib. 2014, 383, 134–143. [Google Scholar] [CrossRef]
- Shakeel, F.; Imran, M.; Abida Haq, N.; Alanazi, F.K.; Alsarra, I.A. Solubility and thermodynamic/solvation behavior of 6-phenyl-4,5-dihydropyridazin-3(2H)-one in different (Transcutol + water) mixtures. J. Mol. Liq. 2017, 230, 511–517. [Google Scholar] [CrossRef]
- Imran, M.; Haq, N.; Abida Alanazi, F.K.; Alsarra, I.A. Solubility and thermodynamics of 6-phenyl-4,5-dihydropyridazin-3(2H)-one in various neat solvents at different temperatures. J. Mol. Liq. 2017, 238, 455–461. [Google Scholar] [CrossRef]
- Higuchi, T.; Connors, K.A. Phase-solubility techniques. Adv. Anal. Chem. Inst. 1965, 4, 117–122. [Google Scholar]
- Ruidiaz, M.A.; Delgado, D.R.; Martínez, F.; Marcus, Y. Solubility and preferential solvation of indomethacin in 1,4-dioxane + water solvent mixtures. Fluid Phase Equilib. 2010, 299, 259–265. [Google Scholar] [CrossRef]
- Hildebrand, J.H.; Prausnitz, J.M.; Scott, R.L. Regular and Related Solutions; Van Nostrand Reinhold: New York, NY, USA, 1970. [Google Scholar]
- Manrique, Y.J.; Pacheco, D.P.; Martínez, F. Thermodynamics of mixing and solvation of ibuprofen and naproxen in propylene glycol + water cosolvent mixtures. J. Sol. Chem. 2008, 37, 165–181. [Google Scholar] [CrossRef]
- Holguín, A.R.; Rodríguez, G.A.; Cristancho, D.M.; Delgado, D.R.; Martínez, F. Solution thermodynamics of indomethacin in propylene glycol + water mixtures. Fluid Phase Equilib. 2012, 314, 134–139. [Google Scholar] [CrossRef]
- Krug, R.R.; Hunter, W.G.; Grieger, R.A. Enthalpy-entropy compensation. 2. Separation of the chemical from the statistic effect. J. Phys. Chem. 1976, 80, 2341–2351. [Google Scholar] [CrossRef]
- Shakeel, F.; Haq, N.; Siddiqui, N.A.; Alanazi, F.K.; Alsarra, I.A. Solubility and thermodynamics of vanillin in Carbitol-water mixtures at different temperatures. LWT Food Sci. Technol. 2015, 64, 1278–1282. [Google Scholar] [CrossRef]
- Apelblat, A.; Manzurola, E. Solubilities of o-acetylsalicylic, 4-aminosalicylic, 3,5-dinitrosalicylic and p-toluic acid and magnesium-DL-aspartate in water from T = (278–348) K. J. Chem. Thermodyn. 1999, 31, 85–91. [Google Scholar] [CrossRef]
- Manzurola, E.; Apelblat, A. Solubilities of L-glutamic acid, 3-nitrobenzoic acid, acetylsalicylic, p-toluic acid, calcium-L-lactate, calcium gluconate, magnesium-DL-aspartate, and magnesium-L-lactate in water. J. Chem. Thermodyn. 2002, 34, 1127–1136. [Google Scholar] [CrossRef]
- Yalkowsky, S.H.; Roseman, T.J. Solubilization of drugs by cosolvents. In Techniques of Solubilization of Drugs; Yalkowsky, S.H., Ed.; Marcel Dekker Inc.: New York, NY, USA, 1981; pp. 91–134. [Google Scholar]
- Jouyban, A. Review of the cosolvency models for predicting solubility of drugs in water-cosolvent mixtures. J. Pharm. Pharm. Sci. 2008, 11, 32–58. [Google Scholar] [CrossRef]
- Nozohouri, S.; Shayanfar, A.; Cardenas, Z.J.; Martinez, F.; Jouyban, A. Solubility of celecoxib in N-methyl-2-pyrrolidone + water mixtures at various temperatures: Experimental data and thermodynamic analysis. Korean J. Chem. Eng. 2017, 34, 1435–1443. [Google Scholar] [CrossRef]
- Shakeel, F.; Bhat, M.A.; Haq, N.; Fatih-Azarbayjani, A.; Jouyban, A. Solubility and thermodynamic parameters of a novel anti-cancer drug (DHP-5) in polyethylene glycol 400 + water mixtures. J. Mol. Liq. 2017, 229, 241–245. [Google Scholar] [CrossRef]
Sample Availability: Samples of the compounds are available from the authors. |




| m | xe | ||||
|---|---|---|---|---|---|
| T = 298.2 K | T = 303.2 K | T = 308.2 K | T = 313.2 K | T = 318.2 K | |
| 0.0 | 5.82 × 10−6 | 6.94 × 10−6 | 8.42 × 10−6 | 1.02 × 10−5 | 1.30 × 10−5 |
| 0.1 | 1.81 × 10−5 | 2.13 × 10−5 | 2.53 × 10−5 | 3.03 × 10−5 | 3.79 × 10−5 |
| 0.2 | 5.47 × 10−5 | 6.31 × 10−5 | 7.54 × 10−5 | 8.78 × 10−5 | 1.08 × 10−4 |
| 0.3 | 1.69 × 10−4 | 1.91 × 10−4 | 2.26 × 10−4 | 2.56 × 10−4 | 3.05 × 10−4 |
| 0.4 | 5.05 × 10−4 | 5.71 × 10−4 | 6.50 × 10−4 | 7.40 × 10−4 | 8.68 × 10−4 |
| 0.5 | 1.54 × 10−3 | 1.73 × 10−3 | 1.93 × 10−3 | 2.17 × 10−3 | 2.49 × 10−3 |
| 0.6 | 4.68 × 10−3 | 5.14 × 10−3 | 5.68 × 10−3 | 6.27 × 10−3 | 7.08 × 10−3 |
| 0.7 | 1.48 × 10−2 | 1.56 × 10−2 | 1.69 × 10−2 | 1.84 × 10−2 | 2.04 × 10−2 |
| 0.8 | 4.34 × 10−2 | 4.62 × 10−2 | 4.96 × 10−2 | 5.33 × 10−2 | 5.76 × 10−2 |
| 0.9 | 1.32 × 10−1 | 1.40 × 10−1 | 1.47 × 10−1 | 1.56 × 10−1 | 1.65 × 10−1 |
| 1.0 | 4.00 × 10−1 | 4.16 × 10−1 | 4.32 × 10−1 | 4.49 × 10−1 | 4.67 × 10−1 |
| xidl | 5.50 × 10−2 | 6.10 × 10−2 | 6.75 × 10−2 | 7.45 × 10−2 | 8.22 × 10−2 |
| m | γi | ||||
|---|---|---|---|---|---|
| T = 298.2 K | T = 303.2 K | T = 308.2 K | T = 313.2 K | T = 318.2 K | |
| 0.0 | 9460.000 | 8800.000 | 8020.000 | 7340.000 | 6340.000 |
| 0.1 | 3036.053 | 2863.900 | 2671.535 | 2464.940 | 2173.383 |
| 0.2 | 1007.450 | 967.752 | 895.279 | 849.738 | 764.882 |
| 0.3 | 325.566 | 319.655 | 298.478 | 291.063 | 269.649 |
| 0.4 | 109.123 | 106.877 | 103.965 | 100.798 | 94.754 |
| 0.5 | 35.637 | 35.245 | 34.901 | 34.347 | 32.997 |
| 0.6 | 11.761 | 11.865 | 11.885 | 11.884 | 11.617 |
| 0.7 | 3.802 | 3.905 | 3.985 | 4.038 | 4.026 |
| 0.8 | 1.266 | 1.320 | 1.359 | 1.398 | 1.425 |
| 0.9 | 0.417 | 0.435 | 0.457 | 0.477 | 0.496 |
| 1.0 | 0.137 | 0.146 | 0.156 | 0.165 | 0.175 |
| Parameters | m = 0.0 | m = 0.1 | m = 0.2 | m = 0.3 | m = 0.4 | m = 0.5 | m = 0.6 | m = 0.7 | m = 0.8 | m = 0.9 | m = 1.0 |
|---|---|---|---|---|---|---|---|---|---|---|---|
| ΔsolH0/kJ mol−1 | 31.35 | 28.75 | 26.59 | 23.28 | 21.22 | 18.68 | 16.21 | 13.51 | 11.20 | 8.90 | 6.10 |
| ΔsolG0/kJ mol−1 | 29.89 | 27.06 | 24.30 | 21.51 | 18.77 | 15.98 | 13.22 | 10.42 | 7.68 | 4.89 | 2.14 |
| ΔsolS0/J mol−1 K−1 | 4.74 | 5.49 | 7.44 | 5.73 | 7.97 | 8.78 | 9.69 | 10.02 | 11.43 | 13.01 | 12.85 |
| R2 | 0.9941 | 0.9931 | 0.9947 | 0.9949 | 0.9954 | 0.9964 | 0.9958 | 0.9946 | 0.9963 | 0.9990 | 0.9991 |
| m | a | b | R2 | RMSD (%) | Overall RMSD (%) |
|---|---|---|---|---|---|
| 0.0 | 0.55 | −3765.70 | 0.9939 | 2.18 | |
| 0.1 | 0.64 | −3454.00 | 0.9930 | 2.17 | |
| 0.2 | 0.87 | −3194.30 | 0.9946 | 1.92 | |
| 0.3 | 0.67 | −2796.20 | 0.9947 | 1.62 | |
| 0.4 | 0.94 | −2549.80 | 0.9953 | 1.42 | |
| 0.5 | 1.04 | −2244.60 | 0.9963 | 1.15 | |
| 0.6 | 1.15 | −1947.30 | 0.9957 | 1.14 | |
| 0.7 | 1.19 | −1623.00 | 0.9944 | 1.20 | |
| 0.8 | 1.36 | −1345.40 | 0.9962 | 1.02 | |
| 0.9 | 1.56 | −1069.60 | 0.9989 | 0.27 | |
| 1.0 | 1.54 | −733.05 | 0.9990 | 0.28 | 1.30 |
| m | A | B | C | R2 | RMSD (%) | Overall RMSD (%) |
|---|---|---|---|---|---|---|
| 0.0 | −750.34 | 30686.31 | 111.51 | 0.9996 | 1.17 | |
| 0.1 | −740.88 | 30569.14 | 110.12 | 0.9996 | 1.07 | |
| 0.2 | −587.97 | 23822.39 | 87.45 | 0.9994 | 1.19 | |
| 0.3 | −451.37 | 17943.26 | 67.13 | 0.9984 | 1.28 | |
| 0.4 | −441.66 | 17756.69 | 65.73 | 0.9997 | 0.82 | |
| 0.5 | −331.65 | 13018.47 | 49.41 | 0.9995 | 0.62 | |
| 0.6 | −324.19 | 12979.37 | 48.31 | 0.9997 | 0.67 | |
| 0.7 | −311.35 | 12717.06 | 46.41 | 0.9998 | 0.65 | |
| 0.8 | −214.94 | 8578.56 | 32.12 | 0.9999 | 0.63 | |
| 0.9 | −61.67 | 1829.38 | 9.39 | 0.9995 | 0.20 | |
| 1.0 | −58.21 | 2007.18 | 8.87 | 0.9999 | 0.41 | 0.79 |
| m | Log xYal | RMSD (%) | Overall RMSD (%) | ||||
|---|---|---|---|---|---|---|---|
| 298.15 | 303.15 | 308.15 | 313.15 | 318.15 | |||
| 0.1 | −4.75 | −4.68 | −4.60 | −4.52 | −4.43 | 1.95 | |
| 0.2 | −4.26 | −4.20 | −4.13 | −4.06 | −3.97 | 1.49 | |
| 0.3 | −3.78 | −3.72 | −3.66 | −3.59 | −3.51 | 2.25 | |
| 0.4 | −3.29 | −3.24 | −3.19 | −3.13 | −3.06 | 0.72 | |
| 0.5 | −2.81 | −2.76 | −2.71 | −2.66 | −2.60 | 1.43 | |
| 0.6 | −2.33 | −2.29 | −2.24 | −2.20 | −2.15 | 0.68 | |
| 0.7 | −1.84 | −1.81 | −1.77 | −1.74 | −1.69 | 1.78 | |
| 0.8 | −1.36 | −1.33 | −1.30 | −1.27 | −1.24 | 0.61 | |
| 0.9 | −0.88 | −0.85 | −0.83 | −0.81 | −0.78 | 1.10 | 1.33 |
| System | Jouyban–Acree | Jouyban–Acree–van’t Hoff |
|---|---|---|
| A1 1.54 B1 −733.05 A2 0.55 B2 −3765.7 Ji 25.32 0.62 | ||
| DMSO + water | Ji 28.19 | |
| RMSD (%) | 0.74 |
© 2019 by the authors. Licensee MDPI, Basel, Switzerland. This article is an open access article distributed under the terms and conditions of the Creative Commons Attribution (CC BY) license (http://creativecommons.org/licenses/by/4.0/).
Share and Cite
Shakeel, F.; Alshehri, S.; Imran, M.; Haq, N.; Alanazi, A.; Anwer, M.K. Experimental and Computational Approaches for Solubility Measurement of Pyridazinone Derivative in Binary (DMSO + Water) Systems. Molecules 2020, 25, 171. https://doi.org/10.3390/molecules25010171
Shakeel F, Alshehri S, Imran M, Haq N, Alanazi A, Anwer MK. Experimental and Computational Approaches for Solubility Measurement of Pyridazinone Derivative in Binary (DMSO + Water) Systems. Molecules. 2020; 25(1):171. https://doi.org/10.3390/molecules25010171
Chicago/Turabian StyleShakeel, Faiyaz, Sultan Alshehri, Mohd Imran, Nazrul Haq, Abdullah Alanazi, and Md. Khalid Anwer. 2020. "Experimental and Computational Approaches for Solubility Measurement of Pyridazinone Derivative in Binary (DMSO + Water) Systems" Molecules 25, no. 1: 171. https://doi.org/10.3390/molecules25010171
APA StyleShakeel, F., Alshehri, S., Imran, M., Haq, N., Alanazi, A., & Anwer, M. K. (2020). Experimental and Computational Approaches for Solubility Measurement of Pyridazinone Derivative in Binary (DMSO + Water) Systems. Molecules, 25(1), 171. https://doi.org/10.3390/molecules25010171

