Robustaflavone Isolated from Nandina domestica Using Bioactivity-Guided Fractionation Downregulates Inflammatory Mediators
Abstract
1. Introduction
2. Results
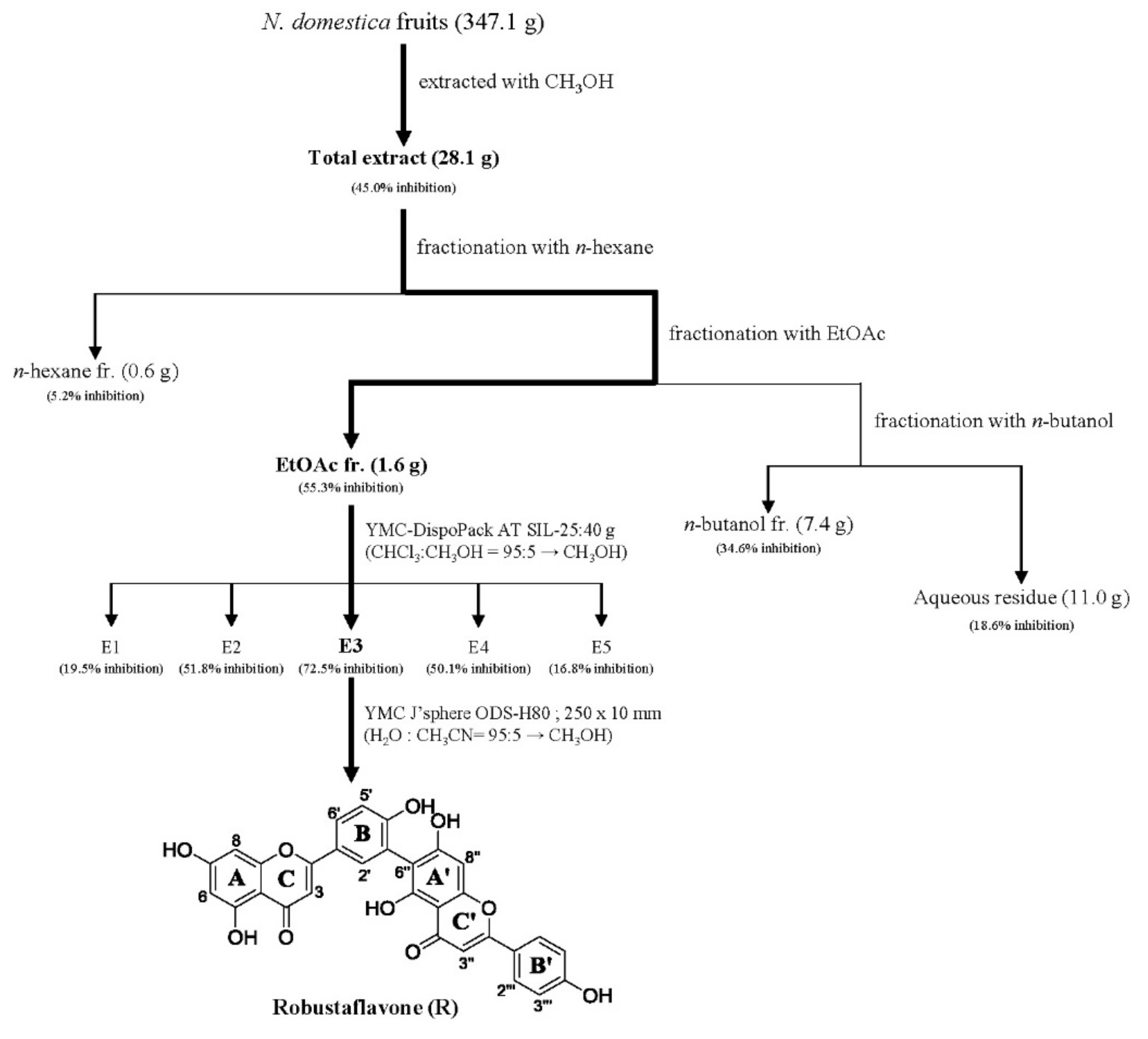
2.1. Bioactivity-Guided Isolation of an Active Phytochemical from N. domestica Fruits
2.2. Effects of R on NO Production and Cytotoxicity in LPS-Induced Mouse Macrophage Cells
2.3. Effects of R on the Expression of iNOS and COX-2 in LPS-Induced Mouse Macrophage Cells
2.4. Effects of R on the Expression of Pro-Inflammatory Cytokines, IL-1β and IL-6, in LPS-Induced Mouse Macrophage Cells
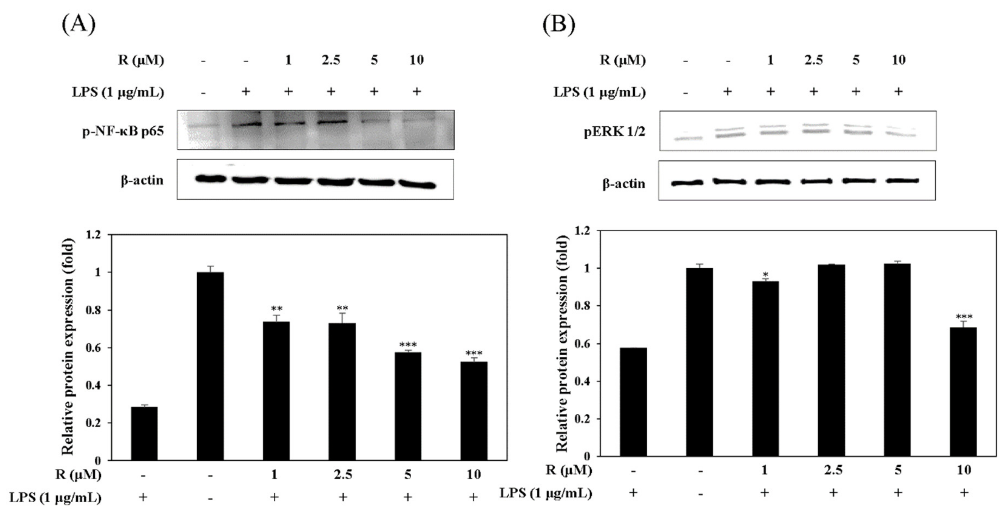
2.5. Effect of R on the Activation of NF-κB and pERK1/2 in LPS-Induced Mouse Macrophage Cells
2.6. Effect of R on IL-8 Production in LPS-Induced HT-29 Colon Epithelial Cells
3. Discussion
4. Materials and Methods
4.1. Plant Material
4.2. Extraction and Isolation
4.3. Cell Culture
4.4. Cell Viability Assay
4.5. Measurement of NO Production
4.6. Western Blot Analysis
4.7. Measurement of Cytokine Production
4.8. Statistical Analysis
Supplementary Materials
Author Contributions
Funding
Conflicts of Interest
References
- Ahmed, A.U. An overview of inflammation: Mechanism and consequences. Front. Biol. 2011, 4, 274–281. [Google Scholar] [CrossRef]
- Spranger, J.; Kroke, A.; Mohlig, M.; Hoffmann, K.; Bergmann, M.M.; Ristow, M.; Boeing, H.; Pfeiffer, A.F.H. Inflammatory Cytokines and the Risk to Develop Type 2 Diabetes. J. Diabetes 2003, 52, 814–817. [Google Scholar] [CrossRef]
- Park, J.Y.; Chung, T.W.; Jeong, Y.J.; Kwak, C.H.; Ha, S.H.; Kwon, K.M.; Abekura, F.; Cho, S.H.; Lee, Y.C.; Ha, K.T.; et al. Ascofuranone inhibits lipopolysaccharide–induced inflammatory response via NF-kappaB and AP-1, p-ERK, TNF-α, IL-6 and IL-1β in RAW 264.7 macrophages. PLoS ONE 2017, 10, e0171322. [Google Scholar] [CrossRef] [PubMed]
- Mitchell, J.A.; Larkin, S.; Williams, T.J. Cyclooxygenase-2: Regulation and relevance in inflammation. Biochem. Pharmacol. 1995, 50, 1535–1542. [Google Scholar] [CrossRef]
- Seok, S.J.; Jin, U.H.; Kim, K.W.; Son, J.K.; Lee, S.H.; Son, K.H.; Chang, H.W.; Lee, Y.C.; Kim, C.H. Triterpenoid saponin, oleanolic acid 3-O-β-d-glucopyranosyl(1 → 3)-α-l-rhamnopyranosyl(1 → 2)-α-l-arabinopyranoside (OA) from Aralia elata inhibits LPS-induced nitric oxide production by down-regulated NF-κB in raw 264.7 cells. Arch. Biochem. Biophys. 2007, 467, 227–233. [Google Scholar] [CrossRef]
- Tak, P.P.; Firestein, G.S. NF-κB: A key role in inflammatory diseases. J. Clin. Investig. 2001, 107, 7–11. [Google Scholar] [CrossRef] [PubMed]
- Kim, S.J.; Chung, T.W.; Choi, H.J.; Jin, U.H.; Ha, K.T.; Lee, Y.C.; Kim, C.H. Monosialic ganglioside GM3 specifically suppresses the monocyte adhesion to endothelial cells for inflammation. Int. J. Biochem. Cell Biol. 2014, 46, 32–38. [Google Scholar] [CrossRef]
- Mahida, Y.R.; Johal, S. NF-κB may determine whether epithelial cell–microbial interactions in the intestine are hostile or friendly. Clin. Exp. Immunol. 2001, 123, 347–349. [Google Scholar] [CrossRef]
- Anderson, K.V. Toll signaling pathways in the innate immune response. Curr. Opin. Immunol. 2000, 12, 13–19. [Google Scholar] [CrossRef]
- Ulevitch, R.J.; Tobias, P.S. Receptor-dependent mechanisms of cell stimulation by bacterial endotoxin. Annu. Rev. Immunol. 1995, 13, 437–457. [Google Scholar] [CrossRef] [PubMed]
- Pelaia, G.; Cuda, G.; Vatrella, A.; Gallelli, L.; Caraglia, M.; Marra, M.; Abbruzzese, A.; Caputi, M.; Maselli, R.; Costanzo, F.S.; et al. Mitogen-activated protein kinases and asthma. J. Cell. Physiol. 2005, 202, 642–653. [Google Scholar] [CrossRef]
- Adachi, T.; Choudhury, B.K.; Stafford, S.; Sur, S.; Alam, R. The differential role of extracellular signal-regulated kinases and p38 mitogen-activated protein kinase in eosinophil functions. J. Immunol. 2000, 165, 2198–2204. [Google Scholar] [CrossRef] [PubMed]
- Lee, S.H.; Kwak, C.H.; Lee, S.K.; Ha, S.H.; Park, J.Y.; Chung, T.W.; Ha, K.T.; Suh, S.J.; Chang, Y.C.; Chang, H.W.; et al. Anti-Inflammatory Effect of Ascochlorin in LPS-Stimulated RAW 264.7 Macrophage Cells Is Accompanied with the Down-Regulation of iNOS, COX-2 and Proinflammatory Cytokines Through NF-κB, ERK1/2, and p38 Signaling Pathway. J. Cell. Biochem. 2016, 117, 978–987. [Google Scholar] [CrossRef]
- Neurath, M.F. Cytokines in inflammatory bowel disease. Nat. Rev. Immunol. 2014, 14, 239–342. [Google Scholar] [CrossRef]
- Mariani, F.; Sena, P.; Ronucci, L. Inflammatory pathways in the early steps of colorectal cancer development. J. Gastroenterol. 2014, 29, 9716–9731. [Google Scholar] [CrossRef] [PubMed]
- Futoshi, A.; Toru, T.; Koichi, F.; Kouji, M.; Hitoshi, A. Mucosal Expression of Interleukin-6 and Interleukin-8 Messenger RNA in Ulcerative Colitis and in Crohn’s Disease. Dig. Dis. Sci. 1998, 43, 2071–2079. [Google Scholar] [CrossRef]
- Atreya, I.; Atreya, R.; Neurath, M.F. NF-κB in inflammatory bowel disease. J. Intern. Med. 2008, 263, 591–596. [Google Scholar] [CrossRef] [PubMed]
- Bajpai, V.K.; Yoon, J.I.; Kang, S.C. Antifungal potential of essential oil and various organic extracts of Nandina domestica Thunb. against skin infectious fungal pathogens. Appl. Microbiol. Biotechnol. 2009, 83, 1127–1133. [Google Scholar] [CrossRef] [PubMed]
- Katoh, N.; Hirano, S.; Yasuno, H. Solitary. Mastocytoma Treated with Tranilast. J. Dermatol. 1996, 23, 335–339. [Google Scholar] [CrossRef]
- Seo, S.J.; Shim, K.B.; Kim, W.N. Antioxidative Effects of Solvent Fractions from Nandina domestica Fruits. J. Korean Soc. Food Sci. Nutr. 2011, 40, 1371–1377. [Google Scholar] [CrossRef]
- Ueki, T.; Akaishi, T.; Okumura, H.; Abe, K. Extract from Nandina domestica Inhibits Lipopolysaccharide-Induced Cyclooxygenase-2 Expression in Human Pulmonary Epithelial A549 Cells. Biol. Pharm. Bull. 2012, 7, 1041–1047. [Google Scholar] [CrossRef][Green Version]
- Tsukiyama, M.; Akaishi, T.; Ueki, T.; Okumura, H.; Abe, K. The Extract from Nandina domestica THUNBERG Inhibits Histamine- and Serotonin-Induced Contraction in Isolated Guinea Pig Trachea. Biol. Pharm. Bull. 2007, 11, 2063–2068. [Google Scholar] [CrossRef]
- Kodai, T.; Horiuchi, Y.; Nishioka, Y.; Noda, N. Novel cycloartane-type triterpenoid from the fruits of Nandina domestica. J. Nat. Med. 2010, 64, 216–218. [Google Scholar] [CrossRef]
- Chari, V.M.; Llyas, M.; Wagner, H.; Neszmelyi, A.; Chen, C.F.; Chen, L.K.; Lin, C.Y.; Lin, Y.M. 13C-NMR spectroscopy of biflavanoids. Phytochemistry 1977, 16, 1273–1278. [Google Scholar] [CrossRef]
- Chen, F.; Kuhn, D.C.; Sun, S.C.; Gaydos, L.J.; Demers, L.M. Dependence and Reversal of Nitric Oxide Production on NF-κB in Silica and Lipopolysaccharide Induced Macrophages. Biochem. Biophys. Res. Commun. 1995, 214, 839–846. [Google Scholar] [CrossRef] [PubMed]
- Hoefen, R.J.; Ber, B.C. The role of MAP kinases in endothelial activation. Vascul. Pharmacol. 2002, 38, 271–273. [Google Scholar] [CrossRef]
- Lee, S.K.; Kim, T.I.; Kim, Y.K.; Choi, C.H.; Yang, K.M.; Chae, B.; Kim, W.H. Cellular differentiation-induced attenuation of LPS response in HT-29 cells is related to the down-regulation of TLR4 expression. Biochem. Biophys. Res. Commun. 2005, 337, 457–463. [Google Scholar] [CrossRef] [PubMed]
- Vermeire, S.; Assche, G.V.; Rutgeerts, P. Classification of inflammatory bowel disease: The old and the new. Curr. Opin. Gastroenterol. 2012, 28, 321–326. [Google Scholar] [CrossRef] [PubMed]
- Lee, S.H.; Lee, S.Y.; Son, D.J.; Lee, H.; Yoo, H.S.; Song, S.; Oh, K.W.; Han, D.Ch.; Kwon, B.M.; Hong, J.T. Inhibitory effect of 2′-hydroxycinnamaldehyde on nitric oxide production through inhibition of NF-κB activation in RAW 264.7 cells. Biochem. Pharmacol. 2005, 69, 791–799. [Google Scholar] [CrossRef]
- Posadas, I.; Terencio, M.C.; Guillén, I.; Ferrándiz, M.L.; Coloma, J.; Payá, M.; Alcaraz, M.J. Co-regulation between cyclo-oxygenase-2 and inducible nitric oxide synthase expression in the time-course of murine inflammation. Naunyn Schmiedebergs Arch. Pharmacol. 2000, 361, 98–106. [Google Scholar] [CrossRef]
- Johnson, G.L.; Lapadat, R. Mitogen-Activated Protein Kinase Pathways Mediated by ERK, JNK, and p38 Protein Kinases. Science 2002, 298, 1911–1912. [Google Scholar] [CrossRef] [PubMed]
- English, J.M.; Cobb, M.H. Pharmacological inhibitors of MAPK pathways. Trends Pharmacol. Sci. 2002, 23, 40–45. [Google Scholar] [CrossRef]
- Schottelius, A.J.G.; Baldwin, A.S. A role for transcription factor NF-κB in intestinal inflammation. Int. J. Colorectal. Dis. 1999, 14, 18–28. [Google Scholar] [CrossRef] [PubMed]
- Kim, H.G.; Shrestha, B.; Lim, S.Y.; Yoon, D.H.; Chang, W.C.; Shin, D.J.; Han, S.K.; Park, S.M.; Park, J.H.; Park, H.I.; et al. Cordycepin inhibits lipopolysaccharide-induced inflammation by the suppression of NF-κB through Akt and p38 inhibition in RAW 264.7 macrophage cells. Eur. J. Pharmacol. 2006, 545, 192–199. [Google Scholar] [CrossRef]
- Bode, H.; Schmitz, H.; Fromm, M.; Scholz, P.; Riecken, E.O.; Schulzke, J.D. IL-1β AND TNF-α, BUT NOT IFN-α, IFN-γ, IL-6 OR IL-8, ARE SECRETORY MEDIATORS IN HUMAN DISTAL COLON. Schulzke Acad. Press 1998, 10, 457–465. [Google Scholar] [CrossRef] [PubMed]
- Sher, E.M.; D’Angelo, A.J.; Stein, A.T.; Bailey, B.; Burns, G.; Wise, L. Cytokines in Crohn’s colitis. Am. J. Surg. 1995, 169, 133–136. [Google Scholar] [CrossRef]
- Mitsuyama, K.; Toyonaga, A.; Sasaki, E.; Watanabe, K.; Tanikawa, H.; Nishiyama, T.; Saiki, T.; Ikeda, H.; Tsruta, O.; Tanikawa, K. IL-8 as an important chemoattractant for neutrophils in ulcerative colitis and Crohn’s disease. Clin. Exp. Immunol. 1994, 96, 432–436. [Google Scholar] [CrossRef] [PubMed]
- Suzuki, M.; Hisamatsu, T.; Podolsky, D.K. Gamma Interferon Augments the Intracellular Pathway for Lipopolysaccharide (LPS) Recognition in Human Intestinal Epithelial Cells through Coordinated Up-Regulation of LPS Uptake and Expression of the Intracellular Toll-Like Receptor 4-MD-2 Complex. Infect. Immun. 2003, 71, 3503–3511. [Google Scholar] [CrossRef] [PubMed]
Sample Availability: Samples of the compounds used in this research are available from the authors. |








© 2019 by the authors. Licensee MDPI, Basel, Switzerland. This article is an open access article distributed under the terms and conditions of the Creative Commons Attribution (CC BY) license (http://creativecommons.org/licenses/by/4.0/).
Share and Cite
Jo, A.; Yoo, H.J.; Lee, M. Robustaflavone Isolated from Nandina domestica Using Bioactivity-Guided Fractionation Downregulates Inflammatory Mediators. Molecules 2019, 24, 1789. https://doi.org/10.3390/molecules24091789
Jo A, Yoo HJ, Lee M. Robustaflavone Isolated from Nandina domestica Using Bioactivity-Guided Fractionation Downregulates Inflammatory Mediators. Molecules. 2019; 24(9):1789. https://doi.org/10.3390/molecules24091789
Chicago/Turabian StyleJo, Ara, Hyun Ji Yoo, and Mina Lee. 2019. "Robustaflavone Isolated from Nandina domestica Using Bioactivity-Guided Fractionation Downregulates Inflammatory Mediators" Molecules 24, no. 9: 1789. https://doi.org/10.3390/molecules24091789
APA StyleJo, A., Yoo, H. J., & Lee, M. (2019). Robustaflavone Isolated from Nandina domestica Using Bioactivity-Guided Fractionation Downregulates Inflammatory Mediators. Molecules, 24(9), 1789. https://doi.org/10.3390/molecules24091789
