Use of Multiflora Bee Pollen as a Flor Velum Yeast Growth Activator in Biological Aging Wines
Abstract
1. Introduction
2. Results
2.1. Influence of Bee Pollen on Flor Velum Yeast Development and Yeast Assimilable Nitrogen (YAN)
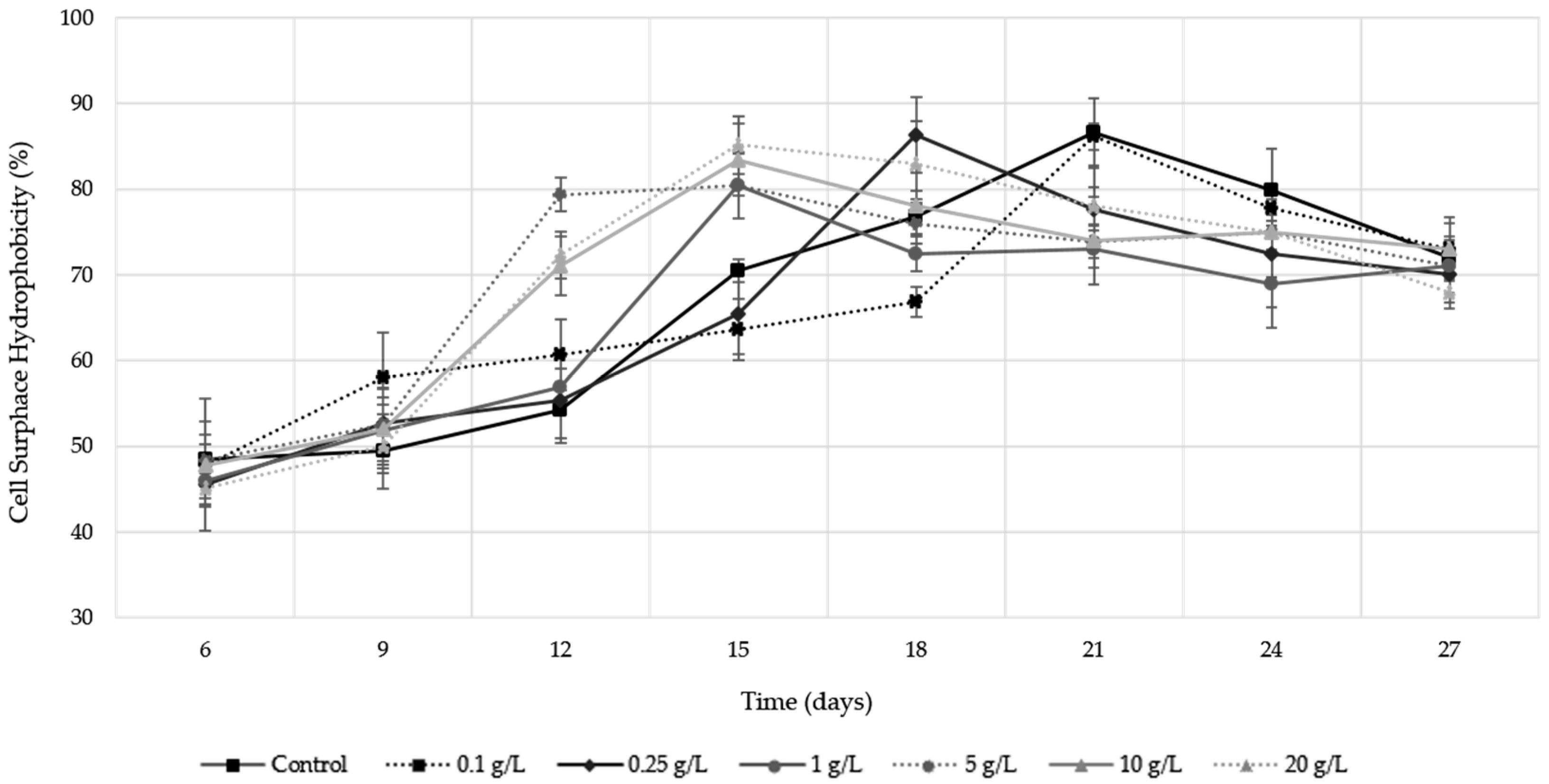
2.2. Influence of Bee Pollen on Flor Velum Hydrophobicity during Biological Aging
2.3. Influence of Bee Pollen on Flor Velum Yeast Metabolism
2.4. Descriptive Sensory Analysis
3. Discussion
4. Materials and Methods
4.1. Velum Yeast
4.2. Fino-Sherry Wine
4.3. Bee Pollen
4.4. Effect on Flor Velum Yeast Growth
Analytical Measurements
4.5. Effect of Bee Pollen on Flor Velum Metabolism
Analytical Measurements
4.6. Sensory Analysis
4.7. Statistical Analysis
5. Conclusions
Author Contributions
Funding
Acknowledgments
Conflicts of Interest
References
- Martínez, P.; Codón, A.C.; Pérez, L.; Benítez, T. Physiological and molecular characterization of flor yeasts: Polymorphism of flor yeast populations. Yeast 1995, 11, 1399–1411. [Google Scholar] [CrossRef] [PubMed]
- Pozo-Bayón, M.A.; Moreno-Arribas, M.V. Sherry Wines. In Advances in Food and Nutrition Research, 1st ed.; Jackson, R.S., Ed.; Academic Press, Elsevier Ltd.: London, UK, 2011; Volume 63, pp. 17–40. [Google Scholar]
- Moreno-García, J.; Mauricio, J.C.; Moreno, J.; García-Martínez, T. Stress responsive proteins of a flor yeast strain during the early stages of biofilm formation. Process Biochem. 2016, 51, 578–588. [Google Scholar] [CrossRef]
- Alexandre, H. Flor yeasts of Saccharomyces cerevisiae-Their ecology, genetics and metabolism. Int. J. Food Microbiol. 2013, 167, 269–275. [Google Scholar] [CrossRef]
- Esteve-Zarzoso, B.; Fernández-Espinar, M.T.; Querol, A. Authentication and identification of Saccharomyces cerevisiae “flor” yeast races involved in sherry ageing. Antonie Van Leeuwenhoek 2004, 85, 151–158. [Google Scholar] [CrossRef]
- Berlanga, T.M.; Peinado, R.; Millán, C.; Mauricio, J.C.; Ortega, J.M. Influence of Blending on the Content of Different Compounds in the Biological Aging of Sherry Dry Wines. J. Agric. Food. Chem. 2004, 52, 2577–2581. [Google Scholar] [CrossRef]
- Peinado, R.A.; Mauricio, J.C. Biologically aged wines. In Wine Chemistry and Biochemistry, 1st ed.; Moreno-Arribas, M.C., Polo, C., Eds.; Springer-Verlag: New York, NY, USA, 2009; pp. 81–101. [Google Scholar]
- Moreno-García, J.; García-Martínez, T.; Moreno, J.; Mauricio, J.C. Proteins involved in flor yeast carbon metabolism under biofilm formation conditions. Food Microbiol. 2015, 46, 25–33. [Google Scholar] [CrossRef]
- Ibeas, J.I.; Lozano, I.; Perdigones, F.; Jiménez, J. Effects of Ethanol and Temperature on the Biological Aging of Sherry Wines. Am. J. Enol. Viticult. 1997, 48, 71–74. [Google Scholar]
- Berlanga, T.M.; Millán, C.; Mauricio, J.C.; Ortega, J.M. Influence of nitrogen on the biological aging of Sherry wine. J. Sci. Food Agric. 2006, 86, 2113–2118. [Google Scholar] [CrossRef]
- Arias-Gil, M.; Garde-Cerdán, T.; Ancín-Azpilicueta, C. Influence of addition of ammonium and different amino acid concentrations on nitrogen metabolism in spontaneous must fermentation. Food Chem. 2007, 103, 1312–1318. [Google Scholar] [CrossRef]
- Cooper, T.G. Nitrogen metabolism in Saccharomyces cerevisiae. In The Molecular Biology of the yeast Saccharomyces. Metabolism and Gene Expression, 2nd ed.; Strathern, J.N., Jones, E.W., Broach, J.R., Eds.; Cold Spring Harbor Laboratory: Cold Spring Harbor, NY, USA, 1982; pp. 39–99. [Google Scholar]
- Large, P.J. Degradation of organic nitrogen compounds by yeasts. Yeasts 1986, 2, 1–34. [Google Scholar] [CrossRef]
- Suarez-Lepe, J.A.; Leal, Í. Microbiología Enológica. Fundamentos de Vinificación, 3rd ed.; Editorial Mundi-Prensa: Barcelona, Spain, 1990; pp. 110–111. [Google Scholar]
- Mauricio, J.C.; Moreno, J.J.; Ortega, J.M. In Vitro Specific Activities of Alcohol and Aldehyde Dehydrogenases from Two Flor Yeasts during Controlled Wine Aging. J. Agric. Food Chem. 1997, 45, 1967–1971. [Google Scholar] [CrossRef]
- Mauricio, J.C.; Valero, E.; Millán, C. Changes in Nitrogen Compounds in Must and Wine during Fermentation and Biological Aging by Flor Yeasts. J. Agric. Food Chem. 2001, 49, 3310–3315. [Google Scholar] [CrossRef]
- Cortes, M.; Moreno, J.J.; Zea, L.; Moyano, L.; Medina, M. Response of the aroma fraction in Sherry wines subjected to accelerated biological aging. J. Agric. Food Chem. 1999, 47, 3297–3302. [Google Scholar] [CrossRef] [PubMed]
- Amores-Arrocha, A.; Roldán, A.; Jiménez-Cantizano, A.; Caro, I.; Palacios, V. Effect on White Grape Must of Multiflora Bee Pollen Addition during the Alcoholic Fermentation Process. Molecules 2018, 23, 1321. [Google Scholar] [CrossRef]
- Almeida-Muradian, L.B.; Pamplona, L.C.; Coimbra, S.; Barth, O.M. Chemical composition and botanical evaluation of dried bee pollen pellets. J. Food Compos. Anal. 2005, 18, 105–111. [Google Scholar] [CrossRef]
- Human, H.; Nicolson, S.W. Nutritional content of fresh, bee-collected and stored pollen of Aloe greatheadii var. davyana (Asphodelaceae). Phytochemistry 2006, 67, 1486–1492. [Google Scholar] [CrossRef] [PubMed]
- Campos, M.G.R.; Bogdanov, S.; Almeida-Muradian, L.B.; Szczesna, T.; Mancebo, Y.; Frigerio, C.; Ferreira, F. Pollen composition and standardization of analytical methods. J. Apic. Res. 2008, 47, 154–161. [Google Scholar] [CrossRef]
- Roldán, A.; Van Muiswinkel, G.C.J.; Lasanta, C.; Palacios, V.; Caro, I. Influence of pollen addition on mead elaboration: Physicochemical and sensory characteristics. Food Chem. 2011, 126, 574–582. [Google Scholar] [CrossRef]
- Henschke, P.A.; Jiranek, V. Metabolism of nitrogen compounds. In Wine Microbiology and Biotechnology; Fleet, G.H., Ed.; Harwood Academic: Lausanne, Switzerland, 1993; pp. 77–164. [Google Scholar]
- Ribéreau-Gayon, P.; Dubourdieu, D.; Donéche, B.; Lonvaud, A.; Glories, Y.; Maugean, A. Tratado de Enología: Microbiología del vino. Vinificaciones, 2nd ed.; Hemisferio Sur: Buenos Aires, Argentina, 2003. [Google Scholar]
- Dos Santos, A.; Feuillat, M.; Charpentier, C. Flor yeast metabolism in a model system similar to cellar ageing of the French “Vin Jaune”: Evolution of some by-products, nitrogen compounds and polysaccharides. VITIS 2000, 39, 129–134. [Google Scholar]
- Sroka, P.; Tuszýnski, T. Changes in organic acids contents during mead wort fermentation. Food Chem. 2007, 104, 1250–1257. [Google Scholar] [CrossRef]
- Xu, X.; Sun, L.; Dong, J.; Zhang, H. Breaking the cells or rape bee pollen and consecutive extraction of functional oil with supercritical carbon dioxide. Innov. Food Sci. Emerg. Technol. 2009, 10, 42–46. [Google Scholar] [CrossRef]
- Pérez-Serradilla, J.A.; Luque de Castro, M.D. Role of lees in wine production: A review. Food Chem. 2008, 111, 447–456. [Google Scholar] [CrossRef]
- Iimura, Y.; Hara, S.; Otsuka, K. Cell Surface Hydrophobicity as a Pellicle Formation Factor in Film Strain of Saccharomyces. Agric. Biol. Chem. 1980, 1369, 1215–1222. [Google Scholar]
- Aguilera, F.; Valero, E.; Millán, C.; Mauricio, J.C.; Ortega, J.C. Cellular fatty acid composition of two physiological races of Saccharomyces cerevisiae during fermentation and flor veil formation in biological aging of fine wines. Belgian J. Brewing Biotechnol. 1997, 2, 39–42. [Google Scholar]
- Amores-Arrocha, A. Aplicación del polen de abeja como activador en el proceso de fermentación alcohólica. Ph.D. Thesis, Facultad de Ciencias, Universidad de Cádiz, Cádiz, Spain, July 2018. [Google Scholar]
- Berlanga, T.M.; Atanasio, C.; Mauricio, J.C.; Ortega, J.M. Influence of Aeration on the Physiological Activity of Flor Yeasts. J. Agric. Food Chem. 2001, 49, 3378–3384. [Google Scholar] [CrossRef]
- Pérez, L.; Valcárcel, M.J.; González, P.; Domecq, B. Influence of Botrytis Infection of the Grapes on the Biological Aging Process of Fino Sherry. Am. J. Enol. Vitic. 1991, 42, 58–62. [Google Scholar]
- Roldán, A.M.; Lloret, I.; Palacios, V. Use of a submerged yeast culture and lysozyme for the treatment of bacterial contamination during biological aging of sherry wines. Food Control 2017, 71, 42–49. [Google Scholar] [CrossRef]
- Zea, L.; Serratosa, P.; Julieta, M. Acetaldehyde as Key Compound for the Authenticity of Sherry Wines: A Study Covering 5 Decades. Compr. Rev. Food Sci. Food Saf. 2015, 14, 681–693. [Google Scholar] [CrossRef]
- Zoecklein, B.W.; Fugelsang, K.C.; Gump, B.H.; Nury, F.S. Metals, Cations and Anions. In Wine Analysis and Production, 1st ed.; Springer: New York, NY, USA, 1999; pp. 199–208. [Google Scholar]
- Gerbaux, V.; Villa, A.; Monamy, C.; Bertrand, A. Use of Lysozyme to Inhibit Malolactic Fermentation and to Stabilize Wine After Malolactic Fermentation. Am. J. Enol. Vitic. 1997, 48, 49–54. [Google Scholar]
- Martínez de la Ossa, E.; Pérez, L.; Caro, I. Variations of the major volatiles through aging of sherry. Am. J. Enol. Vitic. 1987, 38, 293–297. [Google Scholar]
- Martínez, P. Evolución y caracterización de las poblaciones de levaduras responsables de la crianza biológica del vino de Jerez. Ph.D. Thesis, Universidad de Sevilla, Seville, Spain, February 1995. [Google Scholar]
- Swiegers, J.H.; Bartowsky, E.; Pretorius, I.S. Yeast and bacterial modulation of wine aroma and flavor. Aust. J. Grape Wine. R. 2005, 11, 139–173. [Google Scholar] [CrossRef]
- Mauricio, J.C.; Moreno, J.J.; Valero, E.M.; Zea, L.; Medina, M.; Ortega, J.M. Ester Formation and Specific Activities of in Vitro Alcohol Acetyltransferase and Esterase by Saccharomyces cerevisiae during Grape Must Fermentation. J. Agric. Food Chem. 1993, 41, 2086–2091. [Google Scholar] [CrossRef]
- Amores-Arrocha, A.; Roldán, A.; Jiménez-Cantizano, A.; Caro, I.; Palacios, V. Evaluation of the use of multiflora bee pollen on the volatile compounds and sensorial profile of Palomino fino and Riesling white young wines. Food Res. Int. 2018, 105, 197–209. [Google Scholar] [CrossRef]
- Styger, G.; Prior, B.; Bauer, F.F. Wine flavor and aroma. J. Ind. Microbiol. Biotechnol. 2011, 38, 1145–1159. [Google Scholar] [CrossRef]
- Boulton, R.B.; Singleton, V.L.; Bisson, L.F.; Kunkee, R.E. Yeast and Biochemistry of Ethanol Fermentation. Boulton. In Principles and Practices of Winemaking, 1st ed.; Springer: New York, NY, USA, 1999; pp. 102–192. [Google Scholar]
- Aerny, J. Composés azotés des moûts et des vins. Rev. Suisse Vitic. Arboric. Hortic. 1997, 28, 161–168. [Google Scholar]
- OIV Office international de la Vigne et du Vin. Recuéil des méthodes internationales d’analyse des vins et des moûts; Edition Officielle: Paris, France, 2014. [Google Scholar]
- ISO 3591. Sensory Analysis—Apparatus—Wines-Tasting Glass; International Organization for Standardization: Genève, Switzerland, 1997. [Google Scholar]
- Jackson, R.S. Wine Tasting: A Professional Handbook. Academic Press: London, UK, 2009. [Google Scholar]
Sample Availability: Samples of the compounds are not available. |





| Parameter | Before Biological Aging | After Biological Aging | |||||||
|---|---|---|---|---|---|---|---|---|---|
| Initial Sample | Control | 0.1 g/L | 0.25 g/L | 1 g/L | 5 g/L | 10 g/L | 20 g/L | ||
| pH | 3.110 ± 0.014 a | 2.870 ± 0.02 a | 2.950 ± 0.01 a | 2.970 ± 0.03 a | 3.000 ± 0.15 a | 3.000 ± 0.08 a | 3.060 ± 0.01 a | 3.160 ± 0.05 a | |
| % Alcohol v/v | 15.015 ± 0.064 a | 12.555 ± 0.06 b | 13.010 ± 0.06 b | 13.010 ± 0.24 b | 12.760 ± 0.015 b | 12.790 ± 0.08 b | 12.875 ± 0.12 b | 12.975 ± 0.177 b | |
| Total acidity (g/L) | 5.870 ± 0.070 a | 6.030 ± 0.040 a | 5.990 ± 0.060 a | 5.840 ± 0.060 a | 5.840 ± 0.060 a | 5.720 ± 0.080 a | 5.920 ± 0.010 a | 6.020 ± 0.050 a | |
| Volatile acidity (g/L) | 0.270 ± 0.050 a | 0.300 ± 0.010 a,d | 0.220 ± 0.010 b | 0.200 ± 0.010 b | 0.160 ± 0.010 c | 0.270 ± 0.010 a | 0.320 ± 0.010 d | 0.370 ± 0.010 e | |
| Citric acid (mg/L) | 0.015 ± 0.001 a | 0.015 ± 0.001 a | 0.016 ± 0.001 a | 0.016 ± 0.001 a | 0.019 ± 0.001 a,b | 0.024 ± 0.001 b,c | 0.029 ± 0.001 c | ||
| Tartaric acid (g/L) | 2.166 ± 0.001 a | 2.018 ± 0.016 a | 2.070 ± 0.002 a | 2.025 ± 0.002 a | 2.089 ± 0.016 a | 1.977 ± 0.005 a | 1.976 ± 0.007 a | 1.677 ± 0.017 a | |
| Malic acid (mg/L) | 0.226 ± 0.001 a | 0.240 ± 0.001 a | 0.244 ± 0.001 a | 0.240 ± 0.001 a | 0.251 ± 0.003 a | 0.253 ± 0.001 a | 0.260 ± 0.002 a | 0.273 ± 0.003 a | |
| Succinic acid (mg/L) | 0.450 ± 0.003 a | 0.285 ± 0.001 b | 0.272 ± 0.001 b | 0.276 ± 0.002 b | 0.263 ± 0.002 b | 0.208 ± 0.002 b | 0.199 ± 0.003 b | 0.194 ± 0.001 b | |
| Lactic acid (mg/L) | 0.109 ± 0.005 a | 0.013 ± 0.007 b | 0.003 ± 0.001 c | 0.010 ± 0.001 b,c | 0.018 ± 0.001 b,d | 0.021 ± 0.001 d | 0.036 ± 0.001 e | 0.024 ± 0.002 d | |
| Acetaldehyde (mg/L) | 77.648 ± 9.900 a | 135.344 ± 2.806 b | 184.024 ± 3.689 c | 164.583 ± 8.479 d | 207.665 ± 8.339 e | 182.735 ± 6.958 c | 155.533 ± 5.505 d | 92.824 ± 2.135 a | |
| Ethyl acetate (mg/L) | 38.275 ± 2.167 a | 52.705 ± 4.276 b | 47.761 ± 1.450 b | 50.462 ± 4.731 b | 53.870 ± 6.109 b | 53.304 ± 7.496 b | 66.499 ± 4.032 c | 77.285 ± 6.590 d | |
| Methanol (mg/L) | 35.039 ± 1.247 a | 33.286 ± 2.702 a | 43.978 ± 2.844 b | 46.786 ± 2.468 b | 53.726 ± 1.960 c | 58.153 ± 1.249 c | 57.755 ± 2.789 c | 58.286 ± 1.099 c | |
| 1-Propanol (mg/L) | 19.718 ± 1.287 a | 29.463 ± 2.484 b | 27.464 ± 4.640 b | 34.342 ± 2.499 c | 42.104 ± 2.475 d | 42.596 ± 3.241 d | 30.325 ± 2.221 b | 20.662 ± 1.767 a | |
| Isobutanol (mg/L) | 32.222 ± 1.329 a,d | 34.755 ± 1.734 a,e | 43.989 ± 0.145 b | 39.421 ± 1.496 b,e | 58.307 ± 1.334 c | 61.690 ± 1.775 c | 29.241 ± 1.429 d | 29.247 ± 2.484 b | |
| Isoamyl alcohol (mg/L) | 207.100 ± 7.838 a | 215.534 ± 5.815 a | 246.114 ± 1.160 a,b | 256.654 ± 6.791 a,b | 263.513 ± 4.338 a,b | 290.323 ± 0.845 b | 235.421 ± 3.881 a,b | 201.665 ± 5.627 a | |
| Glycerol (mg/L) | 1624.240 ± 0.03 a | 97.830 ± 3.34 b | 99.910 ± 9.34 b | 97.850 ± 6.67 b | 100.410 ± 6.00 b | 92.460 ± 7.34 b | 83.300 ± 6.27 b | 64.000 ± 6.00 c | |
© 2019 by the authors. Licensee MDPI, Basel, Switzerland. This article is an open access article distributed under the terms and conditions of the Creative Commons Attribution (CC BY) license (http://creativecommons.org/licenses/by/4.0/).
Share and Cite
Sancho-Galán, P.; Amores-Arrocha, A.; Jiménez-Cantizano, A.; Palacios, V. Use of Multiflora Bee Pollen as a Flor Velum Yeast Growth Activator in Biological Aging Wines. Molecules 2019, 24, 1763. https://doi.org/10.3390/molecules24091763
Sancho-Galán P, Amores-Arrocha A, Jiménez-Cantizano A, Palacios V. Use of Multiflora Bee Pollen as a Flor Velum Yeast Growth Activator in Biological Aging Wines. Molecules. 2019; 24(9):1763. https://doi.org/10.3390/molecules24091763
Chicago/Turabian StyleSancho-Galán, Pau, Antonio Amores-Arrocha, Ana Jiménez-Cantizano, and Víctor Palacios. 2019. "Use of Multiflora Bee Pollen as a Flor Velum Yeast Growth Activator in Biological Aging Wines" Molecules 24, no. 9: 1763. https://doi.org/10.3390/molecules24091763
APA StyleSancho-Galán, P., Amores-Arrocha, A., Jiménez-Cantizano, A., & Palacios, V. (2019). Use of Multiflora Bee Pollen as a Flor Velum Yeast Growth Activator in Biological Aging Wines. Molecules, 24(9), 1763. https://doi.org/10.3390/molecules24091763

