Effects of Pressure-Induced Density Changes in the Thermal Energy Absorbed by a Micro-Encapsulated Phase-Change Material
Abstract
:1. Introduction
2. Results and Discussion
2.1. Description of the Physical System
2.2. Energy-Mass Balance at the Interface and Heat-Transfer Mechanism
2.3. Absorbed Sensible and Latent Heat
- (a)
- The mass of solid that will not experience a phase transition between t and absorbs part of the heat by changing its temperature from to ,
- (b)
- The mass of solid absorbs heat before changing to its liquid form by raising its temperature from to the fusion temperature ,
- (c)
- Once transformed to its liquid form, absorbs sensible heat by changing its temperature from to . At this point, the fusion temperature has changed according to Equation (10), since the inner pressure increases after the phase transition,
- (d)
- The original mass of liquid at time t absorbs heat by increasing its temperature from to .
2.4. Initial Conditions
2.5. Numerical and Semi-Analytical Results: Isobaric and Isochoric Regimes
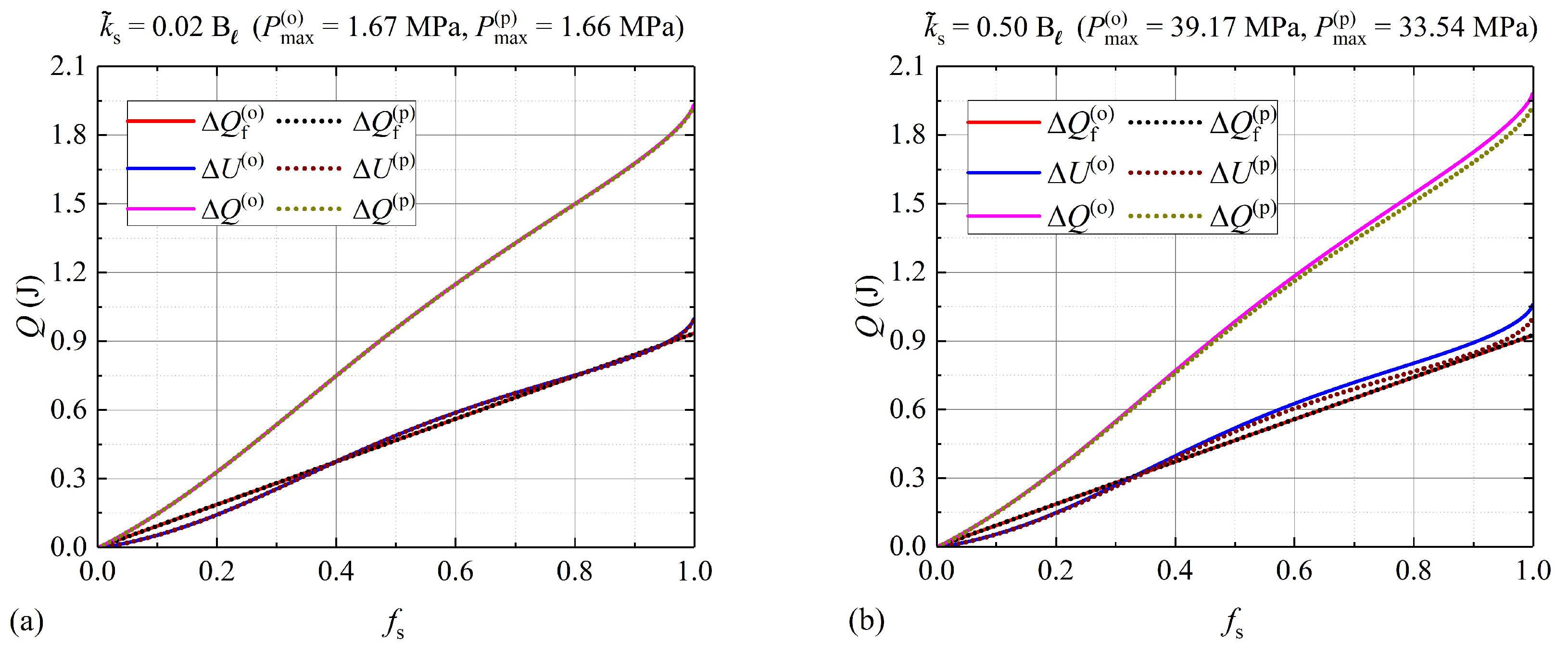
2.6. Numerical and Semi-Analytical Results: Absorbed Thermal Energy
3. Numerical and Semi-Analytical Methods
3.1. FDM
3.2. RHBIM
4. Conclusions
Author Contributions
Funding
Conflicts of Interest
Abbreviations
| PCM | phase change material | |
| HTPCM | high-temperature phase-change material | |
| TES | thermal energy storage | |
| CSP | concentrating solar power plant | |
| HTF | heat-transfer fluid | |
| EMB | energy-mass balance | |
| FDM | finite difference method | |
| RHBIM | refined heat balance integral method | |
| RPD | relative percent difference | |
| Thermal conductivity of the liquid | ||
| Thermal conductivity of the solid | ||
| Thermal expansion coefficient of the liquid | ||
| Thermal expansion coefficient of the solid | ||
| Specific heat capacity of the liquid | ||
| Specific heat capacity of the solid | ||
| Bulk modulus of the liquid | ||
| Bulk modulus of the solid | ||
| Compressibility of the liquid | ||
| Compressibility of the solid | ||
| Time dependent liquid density | ||
| Time dependent solid density | ||
| Density of the liquid in the isochoric limit | ||
| Inner pressure in the isochoric limit | ||
| Fusion temperature in the isochoric limit | ||
| Latent heat of fusion in the isochoric limit | ||
| Time dependent fusion temperature | ||
| Time dependent latent heat of fusion | ||
| Time dependent PCM radius | ||
| Time dependent radius of the solid phase | ||
| Temperature at the surface of the PCM | ||
| Elastic constant of the spring | ||
| Internal energy change | ||
| Total volume change | ||
| Energy absorbed as latent heat | ||
| Thermal energy absorbed | ||
| Total mass of the PCM | ||
| Mass of melted solid | ||
| s | Duration of the melting process |
References
- Zhou, D.; Zhao, C.Y.; Tian, Y. Review on thermal energy storage with phase change materials (PCMs) in building applications. Appl. Energy 2012, 92, 593–605. [Google Scholar] [CrossRef]
- Bland, A.; Khzouz, M.; Statheros, T.; Gkanas, E.I. PCMs for Residential Building Applications: A Short Review Focused on Disadvantages and Proposals for Future Development. Buildings 2017, 7, 78. [Google Scholar] [CrossRef]
- Kuznik, F.; David, D.; Johannes, K.; Roux, J.J. A review on phase change materials integrated in building walls. Renew. Sustain. Energy Rev. 2011, 15, 379–391. [Google Scholar] [CrossRef]
- Bahrani, S.A.; Royon, L.; Abou, B.; Osipian, R.; Azzouz, K.; Bontemps, A. A phenomenological approach of solidification of polymeric phase change materials. J. Appl. Phys. 2017, 121, 035103. [Google Scholar] [CrossRef]
- Mazzeo, D.; Oliveti, G.; De Simone, M.; Arcuri, N. Analytical model for solidification and melting in a finite PCM in steady periodic regime. Int. J. Heat Mass Transf. 2015, 88, 844–861. [Google Scholar] [CrossRef]
- Araújo, C.; Pinheiro, A.; Castro, M.F.; Bragança, L. Phase Change Materials as a solution to improve energy efficiency in Portuguese residential buildings. IOP Conf. Ser. Mat. Sci. 2017, 251, 012110. [Google Scholar] [CrossRef]
- Chow, L.C.; Zhong, J.K.; Beam, J.E. Thermal conductivity enhancement for phase change storage media. Int. Commun. Heat Mass 1996, 23, 91–100. [Google Scholar] [CrossRef]
- Cabeza, L.F.; Castellón, C.; Nogués, M.; Medrano, M.; Leppers, R.; Zubillaga, O. Use of microencapsulated PCM in concrete walls for energy savings. Energy Build. 2007, 39, 113–119. [Google Scholar] [CrossRef]
- Yang, H.B.; Liu, T.C.; Chern, J.C.; Lee, M.H. Mechanical properties of concrete containing phase-change material. J. Chin. Inst. Eng. 2016, 39, 521–530. [Google Scholar] [CrossRef]
- Gil, A.; Medrano, M.; Martorell, I.; Lázaro, A.; Dolado, P.; Zalba, B.; Cabeza, L.F. State of the art on high temperature thermal energy storage for power generation. Part 1—Concepts, materials and modellization. Renew. Sustain. Energy Rev. 2010, 14, 31–55. [Google Scholar] [CrossRef]
- Mathur, A.; Kasetty, R.; Oxley, J.; Mendez, J.; Nithyanandam, K. Using Encapsulated Phase Change Salts for Concentrated Solar Power Plant. Energy Procedia 2014, 49, 908–915. [Google Scholar] [CrossRef]
- Karthik, M.; Faik, A.; Blanco-Rodríguez, P.; Rodríguez-Aseguinolaza, J.; D’Aguanno, B. Preparation of erythritol–graphite foam phase change composite with enhanced thermal conductivity for thermal energy storage applications. Carbon 2015, 94, 266–276. [Google Scholar] [CrossRef]
- Lokesh, S.; Murugan, P.; Sathishkumar, A.; Kumaresan, V.; Velraj, R. Melting/Solidification characteristics of paraffin based nanocomposite for thermal energy storage applications. Therm. Sci. 2017, 21, 2517–2524. [Google Scholar] [CrossRef]
- Liu, M.; Saman, W.; Bruno, F. Review on storage materials and thermal performance enhancement techniques for high temperature phase change thermal storage systems. Renew. Sustain. Energy Rev. 2012, 16, 2118–2132. [Google Scholar] [CrossRef]
- Agyenim, F.; Hewitt, N.; Philip, E.; Smyth, M. A review of materials, heat transfer and phase change problem formulation for latent heat thermal energy storage systems (LHTESS). Renew. Sustain. Energy Rev. 2010, 14, 615–618. [Google Scholar] [CrossRef]
- Höhlein, S.; König-Haagen, A.; Brüggemann, D. Thermophysical Characterization of MgCl2·6H2O, Xylitol and Erythritol as Phase Change Materials (PCM) for Latent Heat Thermal Energy Storage (LHTES). Materials 2017, 10, 444. [Google Scholar] [CrossRef] [PubMed]
- Cáceres, G.; Fullenkamp, K.; Montané, M.; Krzysztof, N.; Dmitruk, A. Encapsulated Nitrates Phase Change Material Selection for Use as Thermal Storage and Heat Transfer Materials at High Temperature in Concentrated Solar Power Plants. Energies 2017, 10, 1318. [Google Scholar] [CrossRef]
- Lopez, J.; Caceres, G.; Palomo Del Barrio, E.; Jomaa, W. Confined melting in deformable porous media: A first attempt to explain the graphite/salt composites behavior. Int. J. Heat Mass Transf. 2010, 53, 1195–1207. [Google Scholar] [CrossRef]
- Parrado, C.; Cáceres, G.; Bize, F.; Bubnovich, V.; Baeyens, J.; Degrève, J.; Zhang, H.L. Thermo-mechanical analysis of copper-encapsulated NaNO3–KNO3. Chem. Eng. Res. Des. 2015, 93, 224–231. [Google Scholar] [CrossRef]
- Pitié, F.; Zhao, C.Y.; Cáceres, G. Thermo-mechanical analysis of ceramic encapsulated phase-change-material (PCM) particles. Energy Environ. Sci. 2011, 4, 2117–2124. [Google Scholar] [CrossRef]
- Elmozughi, A.F.; Solomon, L.; Oztekin, A.; Neti, S. Encapsulated phase change material for high temperature thermal energy storage—Heat transfer analysis. Int. J. Heat Mass Transf. 2014, 78, 1135–1144. [Google Scholar] [CrossRef]
- Dallaire, J.; Gosselin, L. Various ways to take into account density change in solid–liquid phase change models: Formulation and consequences. Int. J. Heat Mass Transf. 2016, 103, 672–683. [Google Scholar] [CrossRef]
- Dallaire, J.; Gosselin, L. Numerical modeling of solid-liquid phase change in a closed 2D cavity with density change, elastic wall and natural convection. Int. J. Heat Mass Transf. 2017, 114, 903–914. [Google Scholar] [CrossRef]
- Hernández, E.M.; Otero, J. Fundamental incorporation of the density change during melting of a confined phase change material. J. Appl. Phys. 2018, 123, 085105. [Google Scholar] [CrossRef]
- Santiago Acosta, R.D.; Otero, J.A.; Hernández Cooper, E.M.; Pérez-Álvarez, R. Thermal expansion effects on the one-dimensional liquid-solid phase transition in high temperature phase change materials. AIP Adv. 2019, 9, 025125. [Google Scholar] [CrossRef]
- Hernández, E.M.; Otero, J.A.; Santiago, R.D.; Martínez, R.; Castillo, F.; Oseguera, J.E. Non parabolic interface motion for the 1-D Stefan problem: Dirichlet boundary conditions. Therm. Sci. 2017, 21, 2327–2336. [Google Scholar] [CrossRef]
- Ozisik, M.N. Finite difference in the cylindrical and spherical coordinate systems. In Baundary Value Problems of Heat Conduction; Dover Publications Inc.: New York, NY, USA, 1989; pp. 412–419. [Google Scholar]
- Mitchell, S.L.; Myers, T.G. Application of Heat Balance Integral Methods to One-Dimensional Phase Change Problems. Int. J. Differ. Equ. 2012, 2012, 187902. [Google Scholar] [CrossRef]
- Mitchell, S.L. An Accurate Nodal Heat Balance Integral Method with Spatial Subdivision. Numer. Heat Transfer B Fundam. 2011, 60, 34–56. [Google Scholar] [CrossRef]
- Caldwell, J.; Chiu, C.K. Numerical solution of one-phase Stefan problems by the heat balance integral method, Part I—Cylindrical and spherical geometries. Commun. Numer. Meth. Eng. 2000, 16, 569–583. [Google Scholar] [CrossRef]






| State | Property | Salt |
|---|---|---|
| Liquid | () | |
| () | ||
| () | ||
| (1/) | ||
| () | ||
| Solid | () | |
| () | ||
| () | ||
| (1/) | 0 | |
| () | ||
| Liquid–Solid | (K) | |
| () |
| RHBIM | FDM | |||||
| 0.200 | 0.322851 | 0.322751 | 0.031009 | 0.329669 | 0.329570 | 0.030014 |
| 0.400 | 0.750799 | 0.750426 | 0.049719 | 0.749478 | 0.749107 | 0.049590 |
| 0.600 | 1.151147 | 1.150360 | 0.068445 | 1.149879 | 1.149091 | 0.068530 |
| 0.800 | 1.500673 | 1.499320 | 0.090199 | 1.500158 | 1.498806 | 0.090224 |
| 0.999 | 1.952634 | 1.950478 | 0.110516 | 1.931832 | 1.929690 | 0.110999 |
| RHBIM | FDM | |||||
| 0.200 | 0.328046 | 0.325425 | 0.805233 | 0.335435 | 0.332826 | 0.784106 |
| 0.400 | 0.771019 | 0.760911 | 1.328459 | 0.769567 | 0.759496 | 1.325984 |
| 0.600 | 1.184663 | 1.163518 | 1.817271 | 1.183411 | 1.162257 | 1.820062 |
| 0.800 | 1.544538 | 1.509094 | 2.348696 | 1.544044 | 1.508598 | 2.349626 |
| 0.999 | 1.993065 | 1.944339 | 2.506055 | 1.981092 | 1.927143 | 2.799454 |
| RHBIM | FDM | |||||
| 0.200 | 0.333506 | 0.328038 | 1.667047 | 0.341453 | 0.335974 | 1.630623 |
| 0.400 | 0.791873 | 0.770294 | 2.801517 | 0.790260 | 0.768759 | 2.796869 |
| 0.600 | 1.218525 | 1.174065 | 3.786892 | 1.217289 | 1.172801 | 3.793311 |
| 0.800 | 1.588553 | 1.515688 | 4.807451 | 1.588082 | 1.515206 | 4.809648 |
| 0.999 | 2.050789 | 1.943153 | 5.539260 | 2.031265 | 1.923613 | 5.596347 |
| RHBIM | FDM | |||||
| 0.200 | 0.355787 | 0.336985 | 5.579661 | 0.365541 | 0.346518 | 5.489847 |
| 0.400 | 0.871734 | 0.796825 | 9.400960 | 0.869372 | 0.794792 | 9.383609 |
| 0.600 | 1.340701 | 1.198014 | 11.910236 | 1.339509 | 1.196714 | 11.932198 |
| 0.800 | 1.744361 | 1.525478 | 14.348484 | 1.743959 | 1.525026 | 14.356043 |
| 0.999 | 2.235443 | 1.927275 | 15.989813 | 2.218157 | 1.908944 | 16.198151 |
© 2019 by the authors. Licensee MDPI, Basel, Switzerland. This article is an open access article distributed under the terms and conditions of the Creative Commons Attribution (CC BY) license (http://creativecommons.org/licenses/by/4.0/).
Share and Cite
Hernández-Cooper, E.M.; Otero, J.A. Effects of Pressure-Induced Density Changes in the Thermal Energy Absorbed by a Micro-Encapsulated Phase-Change Material. Molecules 2019, 24, 1254. https://doi.org/10.3390/molecules24071254
Hernández-Cooper EM, Otero JA. Effects of Pressure-Induced Density Changes in the Thermal Energy Absorbed by a Micro-Encapsulated Phase-Change Material. Molecules. 2019; 24(7):1254. https://doi.org/10.3390/molecules24071254
Chicago/Turabian StyleHernández-Cooper, Ernesto M., and José A. Otero. 2019. "Effects of Pressure-Induced Density Changes in the Thermal Energy Absorbed by a Micro-Encapsulated Phase-Change Material" Molecules 24, no. 7: 1254. https://doi.org/10.3390/molecules24071254
APA StyleHernández-Cooper, E. M., & Otero, J. A. (2019). Effects of Pressure-Induced Density Changes in the Thermal Energy Absorbed by a Micro-Encapsulated Phase-Change Material. Molecules, 24(7), 1254. https://doi.org/10.3390/molecules24071254
