Novel Substituted Thiophenes and Sulf-Polyacetylene Ester from Echinops ritro L.
Abstract
:1. Introduction
2. Results and Discussion
2.1. Structure Elucidation of the Compounds
2.2. In Vitro Antimicrobial Activity
3. Experimental Section
3.1. General Procedures
3.2. Plant Material
3.3. Extraction and Isolation
3.4. Compound Characterization Data
3.5. Assay for Antimicrobial Activity
4. Conclusions
Supplementary Materials
Author Contributions
Funding
Acknowledgments
Conflicts of Interest
References
- Editorial Committee of Flora of China. Flora of China; Scientific Press: Beijing, China, 1987; pp. 1–3. [Google Scholar]
- Chinese Pharmacopoeia Commission. Chinese Pharmacopoeia; China Medical Science Press: Beijing, China, 2015. [Google Scholar]
- Editorial Committee of Flora of medicinal plants in Xinjiang. Flora of medicinal plants in Xinjiang; Xinjiang People’s Press: Urumqi, China, 1984; pp. 176–177. [Google Scholar]
- Frolova, V.I.; Ban’kovskii, A.I.; Zheleznova, E.S. Chemical study of the alkaloids of Echinops ritro. Med. Promst. SSSR. 1957, 11, 20–24. [Google Scholar]
- Chevrier, M. The flavonoids of Echinops ritro. Fitoterapia. 1976, 47, 115–117. [Google Scholar]
- Ulubelen, A.; Kurucu, S. Sesquiterpene acids from Echinops ritro. Fitoterapia 1991, 62, 280. [Google Scholar]
- Chevrier, M.; Abdel Gawad, M.; Raynaud, J. Unsaponifiable, fatty acids of Echinops ritro. Pharmazie 1975, 30, 389–390. [Google Scholar] [PubMed]
- Chevrier, M.; Abdel Gawad, M.M. Alkanes from Echinops ritro L. (Compositae). Bull. Trav. Soc. Pharm. Lyon. 1974, 18, 58–65. [Google Scholar]
- Shukla, Y.N. Chemical, botanical and pharmacological studies on the genus Echinops: A review. J. Med. Aromat. Plant Sci. 2003, 25, 720–732. [Google Scholar]
- Lambert, J.D.; Campbell, G.; Arnason, J.; Majak, W. Herbicidal properties of alpha-terthienyl, a naturally occurring phototoxin. Can. J. Plant Sci. 1991, 71, 215–218. [Google Scholar] [CrossRef]
- Marles, R.J.; Hudson, J.B.; Graham, E.A.; Arnason, J.T. Structure-activity studies of photoactivated antiviral and cytotoxic tricyclic thiophenes. Photochem. Photobiol. 1992, 56, 479–487. [Google Scholar] [CrossRef] [PubMed]
- Hudson, J.B.; Harris, L.; Teeple, A.; Towers, G.H. The anti-HIV activity of the phytochemical alpha-terthienyl. Antiviral Res. 1993, 20, 33–43. [Google Scholar] [CrossRef]
- Nivsarkar, M.; Kumar, G.P.; Laloraya, M. Superoxide dismutase in the anal gills of the mosquito larvae of Aedes aegypti: Its inhibition by a-terthienyl. Arch. Insect. Biochem. Physiol. 1991, 16, 249–255. [Google Scholar] [CrossRef] [PubMed]
- Nikolas, F.; Charles, L.C.; Stephen, O.D. Antifungal activity of thiophenes from Echinops ritro. J. Agric. Food Chem. 2006, 54, 1651–1655. [Google Scholar]
- Zhou, R.; Makabel, B.; Jia, X.G.; Si, J.Y. Studies on chemical constituents of Echinops ritro L. Acta Bot. Boreal.-Occident. Sin. 2011, 31, 616–619. [Google Scholar]
- Liu, Y.; Ye, M.; Guo, H.Z.; Zhao, Y.Y.; Guo, D.A. New thiophenes from Echinops grijisii. J. Asian Nat. Prod. Res. 2002, 4, 175–178. [Google Scholar] [CrossRef] [PubMed]
- Wang, Y.; Li, X.; Li, L.H.; Meng, D.L.; Li, Z.L.; Li, N. Two new thiophenes from Echinops latifolius and their phototoxic activities. Planta Med. 2007, 73, 696–698. [Google Scholar] [CrossRef] [PubMed]
- Umeyama, A.; Nagano, C.; Arihara, S. Three novel C21 polyacetylenes from the marine sponge Callyspongia sp. J. Nat. Prod. 1997, 60, 131–133. [Google Scholar] [CrossRef]
- Zhu, H.J.; Ren, J.; Pittman, C.U., Jr. Matrix model to predict specific optical rotations of acyclic chiral molecules. Tetrahedron 2007, 63, 2292–2314. [Google Scholar] [CrossRef]
- Zhang, L.; Shen, Y.; Zhu, H.J.; Wang, F.; Leng, Y.; Liu, J.K. Pentanol derivatives from basidiomycete Catathelasma imperiale and their 11beta-hydroxysteroid dehydrogenases inhibitory activity. J. Antibiot. 2009, 62, 239–242. [Google Scholar] [CrossRef] [PubMed]
- Wei, H.X.; Gao, W.Y.; Guan, Y.K.; Huang, M.H.; Cheng, D.L. Study on lipophilic chemical constituents of Rhaponticum uniflorum. Lanzhou Daxue Xuebao Ziran Kexueban 1997, 33, 79–82. [Google Scholar]
- Liang, D.; Li, N.; Xiao, W.; Zhang, P.; Ma, Z.J.; Li, X. Chemical constituents of the root of Echinops grijsii Hance. Shenyang Yaoke Daxue Xuebao 2008, 25, 620–622. [Google Scholar]
- Schulte, K.E.; Reisch, J.; Hoerner, L. Thiophenes from alkynes, I. Chem. Berichte 1962, 95, 1943–1954. [Google Scholar] [CrossRef]
- Maldonado, Z.; Hoeneisen, M.; Silva, M.A. Dithiophene from Aphyllocladus denticulatus. Phytochemistry 1988, 27, 2993–2994. [Google Scholar] [CrossRef]
- Ahmad, V.U.; Alam, N.A. Acetylenic thiophene derivatives from Glumea obliqua. Phytochemistry 1996, 42, 733–735. [Google Scholar] [CrossRef]
- Wang, Y.; Li, X.; Meng, D.L.; Li, N.; Zhang, Y.W. Chemical constituents of thiophenes from Echinops latifolius Tausch. Shenyang Yaoke Daxue Xuebao 2008, 25, 194–196. [Google Scholar]
- Wei, H.X.; Gao, W.Y.; Tian, Y.J.; Guan, Y.K.; Huang, M.H.; Cheng, D.L. New eudesmane sesquiterpene and thiophene derivatives from the roots of Rhaponticum uniflorum. Pharmazie 1997, 52, 245–247. [Google Scholar]
- George, J.; Bais, H.P.; Ravishankar, G.A. Biotechnological production of plant-based insecticides. Crit. Rev. Biotechnol. 2000, 20, 49–77. [Google Scholar] [CrossRef] [PubMed]
- DiCosmo, F.; Towers, G.H.N.; Lam, J. Photoinduced fungicidal activity elicited by naturally occurring thiophene derivatives. Pestic. Sci. 1982, 13, 589–594. [Google Scholar] [CrossRef]
- Okanya, P.W.; Mohr, K.I.; Gerth, K.; Jansen, R.; Muller, R. Marinoquinolines A-F, pyrroloquinolines from Ohtaekwangia kribbensis (Bacteroidetes). J. Nat. Prod. 2011, 74, 603–608. [Google Scholar] [CrossRef] [PubMed]
- Zeng, X.B.; Qiu, Q.; Jiang, C.G.; Jing, Y.T.; Qiu, G.F.; He, X.J. Antioxidant flavanes from Livistona chinensis. Fitoterapia 2011, 82, 609–614. [Google Scholar] [CrossRef] [PubMed]
- Bohlman, F.; Suwita, A. Polyacetylenic compounds. Further constituents from species of the tribus Arctotideae. Chem. Ber. 1975, 108, 515–519. [Google Scholar]
Sample Availability: Samples of the compounds 1–16 are available from the authors. |

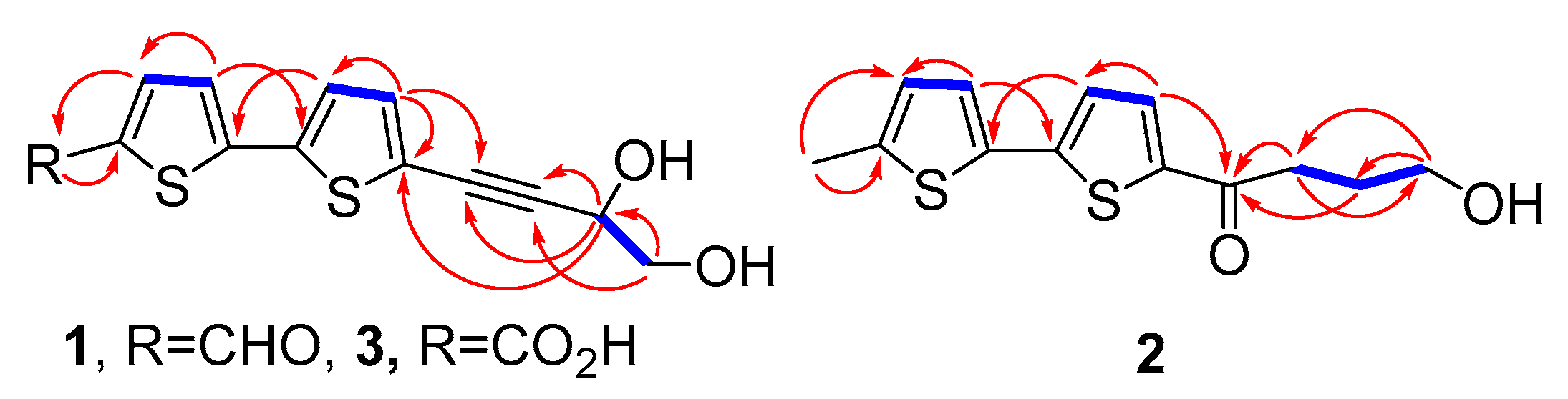
) and key correlations in HMBC spectra (H
C) of compounds 1–3.
), key HMBC (H
C), and key ROESY (
) correlations of 16.
| 1a | 2b | 3a | ||||
|---|---|---|---|---|---|---|
| δC | δH mult (J) | δC | δH mult (J) | δC | δH mult (J) | |
| 2 | 146.9 | 134.0 s | 138.6 s | |||
| 3 | 126.4 | 7.41 d (4.0) | 125.7 d | 7.12 d (3.6) | 123.7 d | 7.16–7.19 m |
| 4 | 139.6 | 7.85 d (4.0) | 126.5 d | 6.71 d (3.6) | 133.4 d | 7.16–7.19 m |
| 5 | 143.6 | 141.3 s | 135.5 s | |||
| 6 | 184.8 | 9.85 s | 15.4 q | 2.50 s | 164.3 s | |
| 2′ | 138.3 | 146.3 s | 128.5.3 s | |||
| 3′ | 127.3 | 7.37 d (3.8) | 123.4 d | 7.09 d (4.0) | 124.6 d | 7.16–7.19 m |
| 4′ | 134.7 | 7.22 d (3.8) | 133.0 d | 7.61 d (4.0) | 7.16–7.19 m | |
| 5′ | 125.4 | 141.7 s | 120.4 s | |||
| 1′′ | 78.2 | 193.0 s | 76.7 s | |||
| 2′′ | 95.8 | 35.5 t | 3.04 t (7.0) | 96.1 s | ||
| 3′′ | 64.7 | 4.56 t (6.5) | 27.2 t | 1.98–2.05 m | 63.1 d | 4.40 t (6.0) |
| 4′′ | 67.0 | 3.67 m | 62.3 t | 3.75 t (6.0) | 65.5 t | 3.47 d (6.0) |
| 16 | δC | δH | δC | ||
|---|---|---|---|---|---|
| δH | |||||
| 1 | 179.2 | 11 | 6.38 dt (16, 7.2) | 149.8 | |
| 2 | 4.36–4.38 m | 71.5 | 12 | 2.26–2.29 m | 29.6 |
| 3 | 3.39 dd (11.5, 4.4) | 34.7 | 13 | 1.50–1.54 m | 37.3 |
| 3.25 dd (11.5, 4.4) | |||||
| 4 | 155.8 | 14 | 3.71–3.74 m | 69.5 | |
| 5 | 5.91 s | 103.7 | 15 | 1.59–1.61 m | 40.4 |
| 6 | 81.8 | 16 | 3.69 t (10.5) | 60.5 | |
| 7 | 78.4 | 17 | 4.34 d (6.0) | 64.6 | |
| 8 | 73.2 | 1′ | 4.12–4.14 m | 65.5 | |
| 9 | 83.5 | 2′ | 1.62–1.64 m | 31.3 | |
| 10 | 5.69 d (16) | 109.2 | 3′ | 1.36–1.40 m | 19.7 |
| 2-OH | 4.77 d (6.0) | 4′ | 0.90 t (7.6) | 13.9 | |
| 17-OH | 4.59 t (6.0) | 14-OH | 3.85 d (4.8) |
| MIC (µg/mL) | |||
|---|---|---|---|
| Compounds | S. aureus ATCC 2592 | E. coli ATCC 25922 | C. albicans ATCC 2002 |
| 1 | 128 | 256 | 256 |
| 2 | 8 | 32 | 32 |
| 3 | 256 | >512 | >512 |
| 4 | 8 | 64 | 64 |
| 9 | 32 | 64 | >512 |
| 12 | 8 | 64 | 64 |
| 14 | 8 | 64 | >512 |
| 16 | >512 | >512 | >512 |
| levofloxacin | 8 | 16 | 64 |
© 2019 by the authors. Licensee MDPI, Basel, Switzerland. This article is an open access article distributed under the terms and conditions of the Creative Commons Attribution (CC BY) license (http://creativecommons.org/licenses/by/4.0/).
Share and Cite
Li, L.-B.; Xiao, G.-D.; Xiang, W.; Yang, X.; Cao, K.-X.; Huang, R.-S. Novel Substituted Thiophenes and Sulf-Polyacetylene Ester from Echinops ritro L. Molecules 2019, 24, 805. https://doi.org/10.3390/molecules24040805
Li L-B, Xiao G-D, Xiang W, Yang X, Cao K-X, Huang R-S. Novel Substituted Thiophenes and Sulf-Polyacetylene Ester from Echinops ritro L. Molecules. 2019; 24(4):805. https://doi.org/10.3390/molecules24040805
Chicago/Turabian StyleLi, Liang-Bo, Guang-Da Xiao, Wei Xiang, Xing Yang, Ke-Xin Cao, and Rong-Shao Huang. 2019. "Novel Substituted Thiophenes and Sulf-Polyacetylene Ester from Echinops ritro L." Molecules 24, no. 4: 805. https://doi.org/10.3390/molecules24040805
APA StyleLi, L.-B., Xiao, G.-D., Xiang, W., Yang, X., Cao, K.-X., & Huang, R.-S. (2019). Novel Substituted Thiophenes and Sulf-Polyacetylene Ester from Echinops ritro L. Molecules, 24(4), 805. https://doi.org/10.3390/molecules24040805

