Inhibition of Amyloid Beta Aggregation and Deposition of Cistanche tubulosa Aqueous Extract
Abstract
:1. Introduction
2. Results
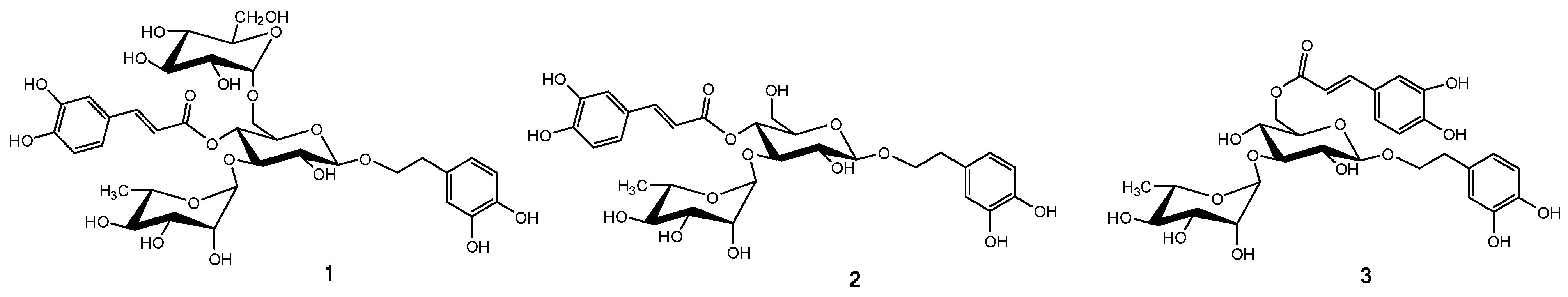
2.1. Isolation and Identification of Three Major Compounds (1–3)
2.2. The Phenylethanoid Glycosides (1–3) Content Assay from CTE
2.3. UPLC/MS/MS Validation
2.4. Analysis of AD-Like Rat Brain Tissues
2.5. The Phenylethanoid Glycosides (1–3) Metal Chelating Activity.
2.6. Anslysis of Echinacoside (1) in Rat Serum in Vivo
3. Discussion
4. Materials and Methods
4.1. Plant Material
4.2. Isolation and Purification
4.3. Experimental Analysis
4.4. Preparation of C. Tubulosa Aqueous Extract (CTE)
4.5. Animal Model and Experimental Schedule
4.6. Chemicals and Reagents
4.7. UPLC/MS/MS Apparatus
4.8. Sample Preparation
4.9. Preparation of the Calibration Standard Curve
4.10. Validation
4.11. Metal Chelating Activity Assay
5. Conclusions
Supplementary Materials
Author Contributions
Funding
Acknowledgments
Conflicts of Interest
References
- Wu, Y.T.; Beiser, A.S.; Breteler, M.M.B.; Fratiglioni, L.; Helmer, C.; Hendrie, H.C.; Honda, H.; Ikram, M.A.; Langa, K.M.; Lobo, A.; et al. The changing prevalence and incidence of dementia over time–current evidence. Nat. Rev. Neurol. 2017, 13, 327–339. [Google Scholar] [CrossRef]
- Robinson, L.; Tang, E.; Taylor, J.P. Dementia: Timely diagnosis and early intervention. BMJ 2015, 350, h3029. [Google Scholar] [CrossRef]
- Mitchell, R.; Draper, B.; Harvey, L.; Brodaty, H.; Close, J. The survival and characteristics of older people with and without dementia who are hospitalised following intentional self-harm. Int. J. Geriatr. Psych. 2017, 32, 892–900. [Google Scholar] [CrossRef] [PubMed]
- Ott, A.; Breteler, M.M.; van Harskamp, F.; Claus, J.J.; van der Cammen, T.J.; Grobbee, D.E.; Hofman, A. Prevalence of Alzheimer’s disease and vascular dementia: Association with education. The Rotterdam study. BMJ 1995, 310, 970–973. [Google Scholar] [CrossRef]
- Kalaria, R.N.; Maestre, G.E.; Arizaga, R.; Friedland, R.P.; Galasko, D.; Hall, K.; Luchsinger, J.A.; Ogunniyi, A.; Perry, E.K.; Potocnik, F.; et al. Alzheimer’s disease and vascular dementia in developing countries: Prevalence, management, and risk factors. Lancet. Neurol. 2008, 7, 812–826. [Google Scholar] [CrossRef]
- 2018 Alzheimer’s disease facts and figures. Alzheimer’s Dement. 2018, 14, 367–429. [CrossRef]
- Hardy, J.; Selkoe, D.J. The amyloid hypothesis of Alzheimer’s disease: Progress and problems on the road to therapeutics. Science 2002, 297, 353–356. [Google Scholar] [CrossRef]
- Querfurth, H.W.; LaFerla, F.M. Alzheimer’s disease. N. Engl. J. Med. 2010, 362, 329–344. [Google Scholar] [CrossRef]
- Ayton, S.; Lei, P.; Bush, A.I. Metallostasis in Alzheimer’s disease. Free Radic. Biol. Med. 2013, 62, 76–89. [Google Scholar] [CrossRef]
- Kim, A.C.; Lim, S.; Kim, Y.K. Metal ion effects on Aβ and Tau aggregation. Int. J. Mol. Sci. 2018, 19, 128. [Google Scholar] [CrossRef]
- Robert, A.; Liu, Y.; Nguyen, M.; Meunier, B. Regulation of copper and iron homeostasis by metal chelators: A possible chemotherapy for Alzheimer’s disease. Acc. Chem. Res. 2015, 48, 1332–1339. [Google Scholar] [CrossRef] [PubMed]
- Opare, S.K.A.; Rauk, A. Copper(I) chelators for Alzheimer’s disease. J. Phys. Chem. B 2017, 121, 11304–11310. [Google Scholar] [CrossRef] [PubMed]
- Santos, M.A.; Chand, K.; Chaves, S. Recent progress in multifunctional metal chelators as potential drugs for Alzheimer’s disease. Coord. Chem. Rev. 2016, 327–328, 287–303. [Google Scholar] [CrossRef]
- D’Acunto, C.W.; Kaplanek, R.; Gbelcova, H.; Kejik, Z.; Briza, T.; Vasina, L.; Havlik, M.; Ruml, T.; Kral, V. Metallomics for Alzheimer’s disease treatment: Use of new generation of chelators combining metal-cation binding and transport properties. Eur. J. Med. Chem. 2018, 150, 140–155. [Google Scholar] [CrossRef] [PubMed]
- Wang, X.; Wang, X.; Guo, Z. Metal-involved theranostics: An emerging strategy for fighting Alzheimer’s disease. Coord. Chem. Rev. 2018, 362, 72–84. [Google Scholar] [CrossRef]
- Shao, M.L.; Ma, X.W.; Wu, Z.; Yu, W.M.; Chen, X.N. Chinese Pharmacopoeia; Chemical and Industrial Publisher: Beijing, China, 2005; p. 90. [Google Scholar]
- Li, Z.; Lin, H.; Gu, L.; Gao, J.; Tzeng, C.-M. Herba Cistanche (Rou cong-rong): One of the best pharmaceutical gifts of traditional Chinese Medicine. Front. Pharmacol. 2016, 7, 41. [Google Scholar] [CrossRef] [PubMed]
- Guo, Q.; Zhou, Y.; Wang, C.J.; Huang, Y.M.; Lee, Y.T.; Su, M.H.; Lu, J. An open-label, nonplacebo-controlled study on Cistanche tubulosa glycoside capsules (memoregain (R)) for treating moderate Alzheimer’s Disease. Am. J. Alzheimers Dis. Other Demen. 2013, 28, 363–370. [Google Scholar] [CrossRef]
- Wu, C.R.; Lin, H.C.; Su, M.H. Reversal by aqueous extracts of Cistanche tubulosa from behavioral deficits in Alzheimer’s disease-like rat model: Relevance for amyloid deposition and central neurotransmitter function. BMC Complement. Altern. Med. 2014, 14, 202. [Google Scholar] [CrossRef]
- Wang, Y.M.; Zhang, S.J.; Luo, G.A.; Hu, Y.N.; Hu, J.P.; Liu, L.; Zhu, Y.; Wang, H.J. Analysis of phenylethanoid glycosides in the extract of herba Cistanchis by LC/ESI-MS/MS. Acta Pharm. Sinic. 2000, 35, 839–842. [Google Scholar]
- Geng, X.C.; Tian, X.F.; Tu, P.F.; Pu, X.P. Neuroprotective effects of echinacoside in the mouse MPTP model of Parkinson’s disease. Eur. J. Pharmacol. 2007, 564, 66–74. [Google Scholar] [CrossRef]
- Zhao, Q.; Yang, X.; Cai, D.; Ye, L.; Hou, Y.; Zhang, L.; Cheng, J.; Shen, Y.; Wang, K.; Bai, Y. Echinacoside protects against MPP(+)-induced neuronal apoptosis via ROS/ATF3/CHOP pathway regulation. Neurosci. Bull. 2016, 32, 349–362. [Google Scholar] [CrossRef] [PubMed]
- Wang, Y.H.; Xuan, Z.H.; Tian, S.; Du, G.H. Echinacoside protects against 6-hydroxydopamine-induced mitochondrial dysfunction and inflammatory responses in PC12 cells via reducing ROS production. Evid. Based Complement. Alternat. Med. 2015, 2015, 189239. [Google Scholar] [CrossRef] [PubMed]
- Shiao, Y.J.; Su, M.H.; Lin, H.C.; Wu, C.R. Echinacoside ameliorates the memory impairment and cholinergic deficit induced by amyloid beta peptides via the inhibition of amyloid deposition and toxicology. Food Funct. 2017, 8, 2283–2294. [Google Scholar] [CrossRef] [PubMed]
- Shiao, Y.J.; Su, M.H.; Lin, H.C.; Wu, C.R. Acteoside and isoacteoside protect amyloid beta peptide induced cytotoxicity, cognitive deficit and neurochemical disturbances in Vitro and in Vivo. Int. J. Mol. Sci. 2017, 18. [Google Scholar] [CrossRef]
- Yan, Y.; Song, Q.; Chen, X.; Li, J.; Li, P.; Wang, Y.; Liu, T.; Song, Y.; Tu, P. Simultaneous determination of components with wide polarity and content ranges in Cistanche tubulosa using serially coupled reverse phase-hydrophilic interaction chromatography-tandem mass spectrometry. J. Chromatogr. A 2017, 1501, 39–50. [Google Scholar] [CrossRef] [PubMed]
- Li, Y.; Zhou, G.; Peng, Y.; Tu, P.F.; Li, X.B. Screening and identification of three typical phenylethanoid glycosides metabolites from Cistanches Herba by human intestinal bacteria using UPLC/Q-TOF-MS. J. Pharm. Biomed. Anal. 2016, 118, 167–176. [Google Scholar] [CrossRef] [PubMed]
- Jiang, Y.; Tu, P.F. Analysis of chemical constituents in Cistanche species. J. Chromatogra. A 2009, 1216, 1970–1979. [Google Scholar] [CrossRef] [PubMed]
- Jia, C.Q.; Shi, H.M.; Wu, X.M.; Li, Y.Z.; Chen, J.J.; Tu, P.F. Determination of echinacoside in rat serum by reversed-phase high-performance liquid chromatography with ultraviolet detection and its application to pharmacokinetics and bioavailability. J. Chromatogra. B 2006, 844, 308–313. [Google Scholar] [CrossRef] [PubMed]
- Wu, Y.T.; Lin, L.C.; Sung, J.S.; Tsai, T.H. Determination of acteoside in Cistanche deserticola and Boschniakia rossica and its pharmacokinetics in freely-moving rats using LC-MS/MS. J. Chromatogra. B 2006, 844, 89–95. [Google Scholar] [CrossRef]
- Deyama, T.; Kobayashi, H.; Nishibe, S.; Tu, P.F. Isolation, structure elucidation and bioactivities of phenylethanoid glycosides from Cistanche, Forsythia and Plantgo plants. Stud. Nat. Prod. Chem. 2006, 33, 645–674. [Google Scholar]
- Xie, J.; Deng, J.; Tan, F.; Su, J. Separation and purification of echinacoside from Penstemon barbatus (Can.) Roth by recycling high-speed counter-current chromatography. J. Chromatogra. B 2010, 878, 2665–2668. [Google Scholar] [CrossRef] [PubMed]
- Schlauer, J.; Budzianowski, J.; Kukulczanka, K.; Ratajczak, L. Acteoside and related phenylethanoid glycosides in Byblis liniflora Salisb. plants propagated in vitro and its systematic significance. Acta Soc. Bot. Pol. 2004, 73, 9–15. [Google Scholar] [CrossRef]
- Kretschy, D.; Koellensperger, G.; Hann, S. Stability assessment of different chelating moieties used for elemental labeling of bio-molecules. Metallomics 2011, 3, 1304–1309. [Google Scholar] [CrossRef] [PubMed]
- Takele, A.; Mohamed, A.-M.I.; Hymete, A.; Alula, M.T. High performance liquid chromatography (HPLC) stability indicating method for the determination of bromazepam its copper (II) chelates. Open Pharma. Sci. J. 2017, 4, 32–42. [Google Scholar] [CrossRef]
- Wilcock, G.; Howe, I.; Coles, H.; Lilienfeld, S.; Truyen, L.; Zhu, Y.; Bullock, R.; Kershaw, P. A long-term comparison of galantamine and donepezil in the treatment of Alzheimer’s disease. Drugs Aging 2003, 20, 777–789. [Google Scholar] [CrossRef] [PubMed]
- Matthias, A.; Addison, R.S.; Penman, K.G.; Dickinson, R.G.; Bone, K.M.; Lehmann, R.P. Echinacea alkamide disposition and pharmacokinetics in humans after tablet ingestion. Life Sci. 2005, 77, 2018–2029. [Google Scholar] [CrossRef] [PubMed]
- Gao, Y.; Zong, C.; Liu, F.; Fang, L.; Cai, R.; Shi, Y.; Chen, X.; Qi, Y. Evaluation of the intestinal transport of a phenylethanoid glycoside-rich extract from Cistanche deserticola across the Caco-2 cell monolayer model. PloS ONE 2015, 10, e0116490. [Google Scholar] [CrossRef]
- Li, Y.; Zhou, G.S.; Xing, S.H.; Tu, P.F.; Li, X.B. Identification of echinacoside metabolites produced by human intestinal bacteria using ultraperformance liquid chromatography-quadrupole time-of-flight mass spectrometry. J. Agric. Food Chem. 2015, 63, 6764–6771. [Google Scholar] [CrossRef]
- Ponka, P. Tissue-specific regulation of iron metabolism and heme synthesis: Distinct control mechanisms in erythroid cells. Blood 1997, 89, 1–25. [Google Scholar]
- Nuñez, M.; Chana-Cuevas, P. New perspectives in iron chelation therapy for the treatment of neurodegenerative diseases. Pharmaceuticals 2018, 11, 109. [Google Scholar] [CrossRef]
Sample Availability: Samples of the compounds 1–3 are available from the authors. |






© 2019 by the authors. Licensee MDPI, Basel, Switzerland. This article is an open access article distributed under the terms and conditions of the Creative Commons Attribution (CC BY) license (http://creativecommons.org/licenses/by/4.0/).
Share and Cite
Chao, C.-L.; Huang, H.-W.; Huang, H.-C.; Chao, H.-F.; Yu, S.-W.; Su, M.-H.; Wang, C.-J.; Lin, H.-C. Inhibition of Amyloid Beta Aggregation and Deposition of Cistanche tubulosa Aqueous Extract. Molecules 2019, 24, 687. https://doi.org/10.3390/molecules24040687
Chao C-L, Huang H-W, Huang H-C, Chao H-F, Yu S-W, Su M-H, Wang C-J, Lin H-C. Inhibition of Amyloid Beta Aggregation and Deposition of Cistanche tubulosa Aqueous Extract. Molecules. 2019; 24(4):687. https://doi.org/10.3390/molecules24040687
Chicago/Turabian StyleChao, Chien-Liang, Hsin-Wen Huang, Hui-Chi Huang, Hsin-Fan Chao, Shuen-Wen Yu, Muh-Hwan Su, Chao-Jih Wang, and Hang-Ching Lin. 2019. "Inhibition of Amyloid Beta Aggregation and Deposition of Cistanche tubulosa Aqueous Extract" Molecules 24, no. 4: 687. https://doi.org/10.3390/molecules24040687
APA StyleChao, C.-L., Huang, H.-W., Huang, H.-C., Chao, H.-F., Yu, S.-W., Su, M.-H., Wang, C.-J., & Lin, H.-C. (2019). Inhibition of Amyloid Beta Aggregation and Deposition of Cistanche tubulosa Aqueous Extract. Molecules, 24(4), 687. https://doi.org/10.3390/molecules24040687

