Effects of Pulsed Electric Field Treatment on Compression Properties and Solutes Diffusion Behaviors of Jerusalem artichoke
Abstract
1. Introduction
2. Results and Discussion
2.1. Deformation Curves and Data Computing
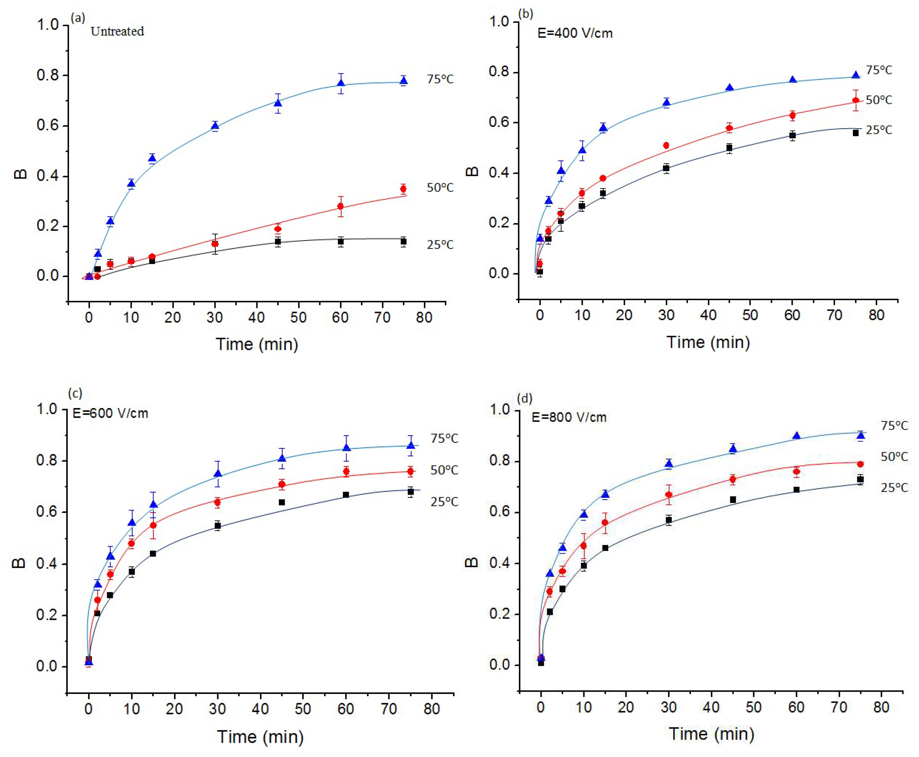
2.2. Diffusion
3. Materials and Methods
3.1. Materials
3.2. PEF Treatment
3.3. Diffusion Experiments
3.4. Compression Test
3.5. Statistic Analysis
3.6. Solid-Liquid Expression Model
4. Conclusions
Author Contributions
Funding
Conflicts of Interest
References
- Villegas, B.; Costell, E. Flow behavior of inulin–milk beverages. Influence of inulin average chain length and of milk fat content. Int. Dairy J. 2007, 17, 776–781. [Google Scholar] [CrossRef]
- Zhu, Z.; Bals, O.; Grimi, N.; Vorobiev, E. Pilot scale inulin extraction from chicory roots assisted by pulsed electric fields. Int. J. Food Sci. Tech. 2012, 47, 1361–1368. [Google Scholar] [CrossRef]
- Wei, L.Y.; Wang, J.H.; Zheng, X.D.; Teng, D.; Yang, Y.L.; Cai, C.G.; Feng, T.H.; Zhang, F. Studies on the extracting technical conditions of inulin from Jerusalem artichoke tubers. J. Food Eng. 2007, 79, 1087–1093. [Google Scholar]
- Apolinário, A.C.; de Lima Damasceno, B.P.G.; de Macêdo Beltrão, N.E.; Pessoa, A.; Converti, A.; da Silva, J.A. Inulin-type fructans: A review on different aspects of biochemical and pharmaceutical technology. Carbohydr. Polym. 2014, 101, 368–378. [Google Scholar] [CrossRef] [PubMed]
- Franck, A.; De Leenheer, L. Inulin. In Biopolymers Online; Wiley-VCHVerlagGmbH&Co.KGaA: Berlin, Germany, 2005. [Google Scholar]
- Zhu, Z.; He, J.; Liu, G.; Barba, F.J.; Koubaa, M.; Ding, L.; Bals, O.; Grimi, N.; Vorobiev, E. Recentin sights for the green recovery of inulin from plant food materials using non-conventional extraction technologies: Areview. Innov. Food Sci. Emerg. 2016, 33, 1–9. [Google Scholar] [CrossRef]
- Arsem, W.C. Extraction and Purification of Inulin. U.S. Patent 1,616,167, 1 February 1927. [Google Scholar]
- Zhu, Z.; Li, S.; He, J.; Thirumdas, R.; Montesano, D.; Barba, F.J. Enzyme-assisted extraction of polyphenol from edible lotus (Nelumbo nucifera) rhizomek not: Ultra-filtration performance and HPLC-MS2 profile. Food Res. Int. 2018, 111, 291–298. [Google Scholar] [CrossRef] [PubMed]
- Li, W.; Zhang, J.; Yu, C.; Li, Q.; Dong, F.; Wang, G.; Gu, G.; Guo, Z. Extraction, degree of polymerization determination and prebiotic effect evaluation of inulin from Jerusalem artichoke. Carbohydr. Polym. 2015, 121, 315–319. [Google Scholar] [CrossRef]
- Weaver, J.C.; Chizmadzhev, Y.A. Theory of electroporation: A review. Bioelectrochem. Bioenerg. 1996, 41, 135–160. [Google Scholar] [CrossRef]
- Loginov, M.; Loginova, K.; Lebovka, N.; Vorobiev, E. Comparison of dead-end ultrafiltration behavior and filtrate quality of sugar beet juices obtained by conventional and “cold” PEF-assisted diffusion. J. Membr. Sci. 2011, 377, 273–283. [Google Scholar] [CrossRef]
- Moubarik, A.; El-Belghiti, K.; Vorobiev, E. Kinetic model of solute aqueous extraction from Fennel (Foeniculum vulgare) treated by pulsed electric field, electrical discharges and ultrasonic irradiations. Food Bioprod. Process. 2011, 89, 356–361. [Google Scholar] [CrossRef]
- Zhu, Z.; Bals, O.; Grimi, N.; Ding, L.; Vorobiev, E. Qualitative characteristics and dead-end ultrafiltration of chicory juice obtained from pulsed electric field treated chicories. Ind. Crop. Prod. 2013, 46, 8–14. [Google Scholar] [CrossRef]
- Almohammed, F.; Mhemdi, H.; Vorobiev, E. Purification of juices obtained with innovative pulsed electric field and alkaline pressing of sugar beet tissue. Sep. Purif. Technol. 2017, 173, 156–164. [Google Scholar] [CrossRef]
- Pelletier, S.; Serre, É.; Mikhaylin, S.; Bazinet, L. Optimization of cranberry juice deacidification by electro dialysis with bipolarmembrane: Impact of pulsed electric field conditions. Sep. Purif. Technol. 2017, 186, 106–116. [Google Scholar] [CrossRef]
- Mhemdi, H.; Bals, O.; Vorobiev, E. Combined pressing-diffusion technology for sugar beets pretreated by pulsed electric field. J. Food Eng. 2016, 168, 166–172. [Google Scholar] [CrossRef]
- Mhemdi, H.; Bals, O.; Grimi, N.; Vorobiev, E. Filtration diffusivity and expression behavior of thermally and electrically pretreated sugar beet tissue and press-cake. Sep. Purif. Technol. 2012, 95, 118–125. [Google Scholar] [CrossRef]
- Grimi, N.; Vorobiev, E.; Lebovka, N.; Vaxelaire, J. Solid–liquid expression from denaturated plant tissue: Filtration–consolidation behaviour. J. Food Eng. 2010, 96, 29–36. [Google Scholar] [CrossRef]
- Zhu, Z.; Bals, O.; Grimi, N.; Ding, L.; Vorobiev, E. Better damage of chicory tissue by combined electroporation and ohmic heating for solute extraction. Food Bioprod. Process. 2015, 94, 248–254. [Google Scholar] [CrossRef]
- Grimi, N.; Lebovka, N.; Vorobiev, E.; Vaxelaire, J. Compressing behavior and texture evaluation for potatoes pretreated by pulsed electric field. J. Texture Stud. 2009, 40, 208–224. [Google Scholar] [CrossRef]
- Loginova, K.V.; Shynkaryk, M.V.; Lebovka, N.I.; Vorobiev, E. Acceleration of soluble matter extraction from chicory with pulsed electric fields. J. Food Eng. 2010, 96, 374–379. [Google Scholar] [CrossRef]
- Buttersack, C. Two-zone model for solid-liquid separation by filtration and expression. Chem. Eng. Sci. 1994, 49, 1145–1160. [Google Scholar] [CrossRef]
- Lanoisellé, J.L.; Vorobyov, E.I.; Bouvier, J.M.; Pair, G. Modeling of solid/liquid expression for cellular materials. Alche J. 1996, 42, 2057–2068. [Google Scholar] [CrossRef]
- Wongkittipong, R.; Prat, L.; Damronglerd, S.; Gourdon, C. Solid–liquid extraction of andrographolide from plants—experimental study, kinetic reaction and model. Sep. Purif. Technol. 2004, 40, 147–154. [Google Scholar] [CrossRef]
- Shirato, M.; Murase, T.; Atsumi, K. Simplified computational method for constant pressure expression of filter cakes. J. Chem. Eng. Jpn. 1980, 13, 397–401. [Google Scholar] [CrossRef]
- Andersen, N.P.R.; Christensen, M.L.; Keiding, K. New approach to determining consolidation coefficients using cake-filtration experiments. Powder Technol. 2004, 142, 98–102. [Google Scholar] [CrossRef]
- Bouzrara, H.; Vorobiev, E. Solid–liquid expression of cellular materials enhanced by pulsed electric field. Chem. Eng. Process. Process Intensif. 2003, 42, 249–257. [Google Scholar] [CrossRef]
- Peleg, M. Characterization of the stress relaxation curves of solid foods. J. Food Sci. 1979, 44, 277–281. [Google Scholar] [CrossRef]
Sample Availability: Samples of the compounds are not available from the authors. |








© 2019 by the authors. Licensee MDPI, Basel, Switzerland. This article is an open access article distributed under the terms and conditions of the Creative Commons Attribution (CC BY) license (http://creativecommons.org/licenses/by/4.0/).
Share and Cite
Zhu, Z.; Zhang, R.; Grimi, N.; Vorobiev, E. Effects of Pulsed Electric Field Treatment on Compression Properties and Solutes Diffusion Behaviors of Jerusalem artichoke. Molecules 2019, 24, 559. https://doi.org/10.3390/molecules24030559
Zhu Z, Zhang R, Grimi N, Vorobiev E. Effects of Pulsed Electric Field Treatment on Compression Properties and Solutes Diffusion Behaviors of Jerusalem artichoke. Molecules. 2019; 24(3):559. https://doi.org/10.3390/molecules24030559
Chicago/Turabian StyleZhu, Zhenzhou, Rui Zhang, Nabil Grimi, and Eugene Vorobiev. 2019. "Effects of Pulsed Electric Field Treatment on Compression Properties and Solutes Diffusion Behaviors of Jerusalem artichoke" Molecules 24, no. 3: 559. https://doi.org/10.3390/molecules24030559
APA StyleZhu, Z., Zhang, R., Grimi, N., & Vorobiev, E. (2019). Effects of Pulsed Electric Field Treatment on Compression Properties and Solutes Diffusion Behaviors of Jerusalem artichoke. Molecules, 24(3), 559. https://doi.org/10.3390/molecules24030559
