Inhibition of Q235 Carbon Steel by Calcium Lignosulfonate and Sodium Molybdate in Carbonated Concrete Pore Solution
Abstract
:1. Introduction
2. Results and Discussion
2.1. Inhibition Evaluation
2.1.1. Potentiodynamic Polarization Measurement
2.1.2. Electrochemical Impedance Spectroscopy Measurements
2.2. Surface and Isotherm Adsorption Studies
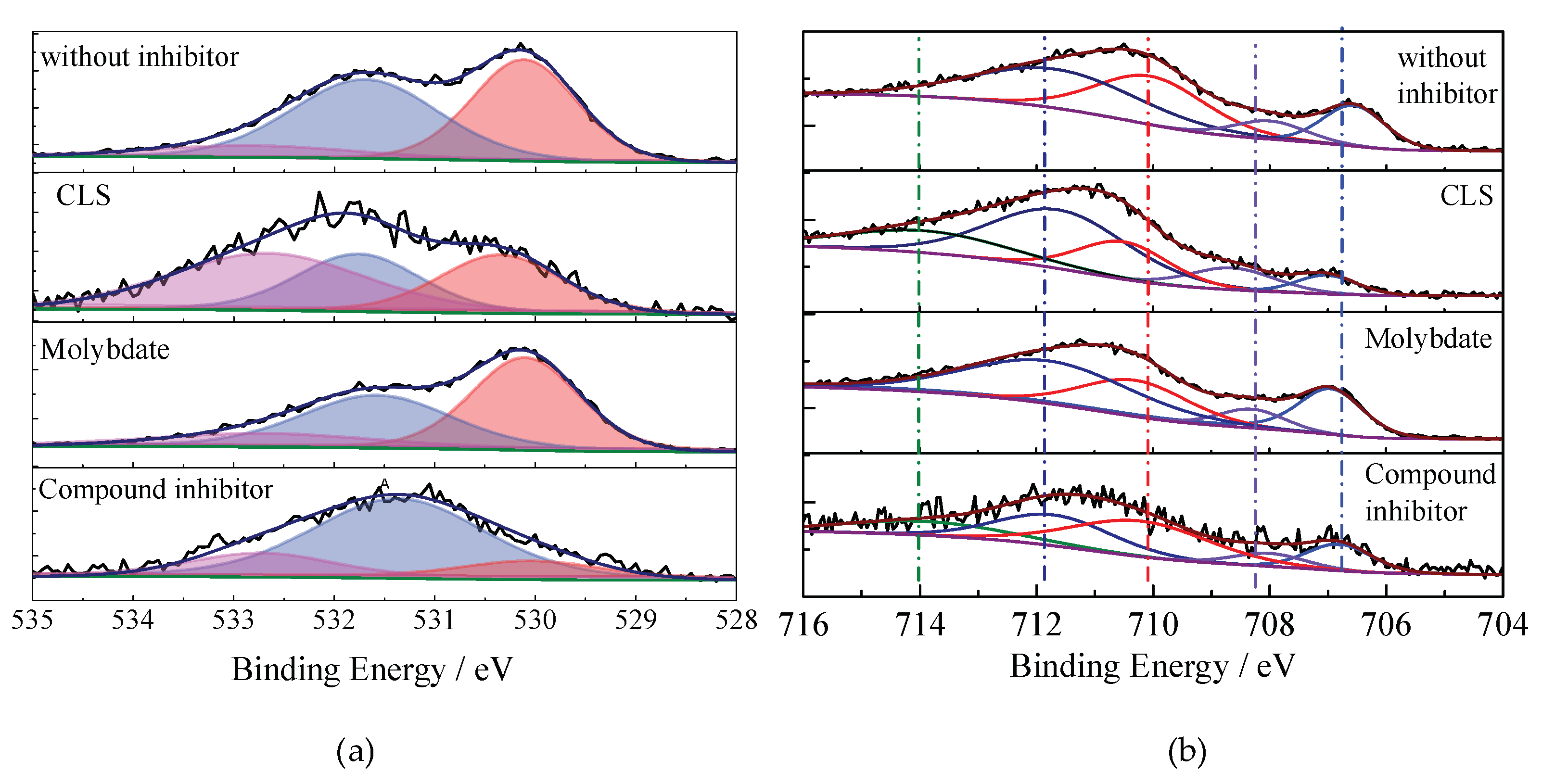
2.2.1. X-ray Photoelectron Spectroscopy Measurement and Contact Angle
2.2.2. Inhibition Mechanism of CLS and Na2MoO4 Compound Inhibitor
3. Materials and Methods
3.1. Materials and Test Solutions
3.2. Electrochemical Measurements
4. Conclusions
Author Contributions
Funding
Acknowledgments
Conflicts of Interest
References
- Xu, H.; Liu, Y.; Chen, W.; Du, R.; Lin, C. Corrosion behavior of reinforcing steel in simulated concrete pore solutions: A scanning micro-reference electrode study. Electrochim. Acta 2009, 54, 4067–4072. [Google Scholar] [CrossRef]
- Cao, Y.; Dong, S.; Zheng, D.; Wang, J.; Zhang, X.; Du, R.; Song, G.; Lin, C. Multifunctional inhibition based on layered double hydroxides to comprehensively control corrosion of carbon steel in concrete. Corros. Sci. 2017, 126, 166–179. [Google Scholar] [CrossRef]
- Cao, F.; Wei, J.; Dong, J.; Ke, W. The corrosion inhibition effect of phytic acid on 20SiMn steel in simulated carbonated concrete pore solution. Corros. Sci. 2015, 100, 365–376. [Google Scholar] [CrossRef]
- Anonymous. Draft recommendation for repair strategies for concrete structures damaged by reinforcement corrosion. Mater. Struct. 1994, 27, 415–436. [Google Scholar] [CrossRef]
- Yang, Z.; Fischer, H.; Polder, R. Synthesis and characterization of modified hydrotalcites and their ion exchange characteristics in chloride-rich simulated concrete pore solution. Cem. Concr. Compos. 2014, 47, 87–93. [Google Scholar] [CrossRef]
- Huet, B.; L’Hostis, V.; Miserque, F.; Idrissi, H. Electrochemical behavior of mild steel in concrete: Influence of pH and carbonate content of concrete pore solution. Electrochim. Acta 2005, 51, 172–180. [Google Scholar] [CrossRef]
- Yang, Z.; Fischer, H.; Polder, R. Modified hydrotalcites as a new emerging class of smart additive of reinforced concrete for anticorrosion applications: A literature review. Mater. Corros. 2014, 64, 1066–1074. [Google Scholar] [CrossRef]
- Jin, M.; Xu, J.; Jiang, L.; Xu, Y.; Chu, H. Investigation on the performance characteristics of chloride selective electrode in concrete. Ionics 2015, 21, 2981–2992. [Google Scholar] [CrossRef]
- Hamdani, N.E.; Fdil, R.; Tourabi, M.; Jama, C.; Bentiss, F. Alkaloids extract of Retama monosperma (L.) Boiss. seeds used as novel eco-friendly inhibitor for carbon steel corrosion in 1 M HCl solution: Electrochemical and surface studies. Appl. Surf. Sci. 2015, 357, 1294–1305. [Google Scholar] [CrossRef]
- Faustin, M.; Maciuk, A.; Salvin, P.; Roos, C.; Lebrini, M. Corrosion inhibition of C38 steel by alkaloids extract of Geissospermum laeve in 1M hydrochloric acid: Electrochemical and phytochemical studies. Corros. Sci. 2015, 92, 287–300. [Google Scholar] [CrossRef]
- Heakal, E.T.; Elkholy, A.E. Gemini surfactants as corrosion inhibitors for carbon steel. J. Mol. Liq. 2017, 230, 395–407. [Google Scholar] [CrossRef]
- Abdulrahman, A.S.; Ismail, M.; Hussain, M.S. Corrosion inhibitors for steel reinforcement in concrete: A review. Sci. RES. Essays 2011, 6, 4152–4162. [Google Scholar] [CrossRef]
- Abdulrahman, A.S.; Ismail, M.; Hussain, M.S. Inhibiting sulphate attack on concrete by hydrophobic green plant extract. Adv. Mater. Res. 2011, 250, 3837–3843. [Google Scholar] [CrossRef]
- Abdulrahman, A.S.; Ismail, M.; Hussain, M.S. Inhibition of corrosion of mild steel in hydrochloric acid by bambusa arundinacea. Int. Rev. Mech. Eng. 2011, 5, 59–63. [Google Scholar]
- Tang, F.; Wang, X.; Xu, X.; Li, L. Phytic cid doped nanoparticles for green anticorrosion coatings. Colloids Surf. A 2010, 369, 101–105. [Google Scholar] [CrossRef]
- Mohamed, H.A. Eco-friendly zero VOC anticorrosive paints for steel protection. J. Appl. Polym. Sci. 2012, 125, 1790–1795. [Google Scholar] [CrossRef]
- Ouyang, X.; Qiu, X.; Lou, H.; Yang, D. Corrosion and Scale Inhibition Properties of Sodium Lignosulfonate and Its Potential Application in Recirculating Cooling Water System. Ind. Engin. Chem. Res. 2006, 45, 5716–5721. [Google Scholar] [CrossRef]
- Macias, A.; Goñi, S. Characterization of admixture as plasticizer or superplasticizer by deflocculation test. ACI Mater. J. 1999, 96, 40–46. [Google Scholar]
- Forostyan, Y.N.; Prosper, M. Inhibiting properties of lignin. Chem. Nat. Compd. 1983, 19, 358–359. [Google Scholar] [CrossRef]
- Yahya, S.; Othman, N.K.; Daud, A.R.; Jalar, A. The inhibition of carbon steel corrosion by lignin in HCl and H2SO4, Universiti-kebangsaan-malaysia, Faculty-of-science-and-technology. Am. Inst. Phys. 2013, 1571, 132–135. [Google Scholar]
- Akbarzadeh, E.; Ibrahim, M.N.M.; Rahim, A.A. Monomers of lignin as corrosion inhibitors for mild steel: Study of their behaviour by factorial experimental design. Br. Corros. J. 2012, 47, 302–311. [Google Scholar] [CrossRef]
- Abu-Dalo, M.A.; Al-Rawashdeh, N.A.F.; Ababneh, A. Evaluating the performance of sulfonated Kraft lignin agent as corrosion inhibitor for iron-based materials in water distribution systems. Desalination 2013, 313, 105–114. [Google Scholar] [CrossRef]
- Bishop, M.; Barron, A.R. Cement Hydration Inhibition with Sucrose, Tartaric Acid, and Lignosulfonate: Analytical and Spectroscopic Study. Ind. Eng. Chem. Res. 2006, 45, 7042–7049. [Google Scholar] [CrossRef]
- Li, R.; Yang, D.; Guo, W.; Qiu, X. The adsorption mechanisms of sodium lignosulfonate on Al2O3 particles in aqueous solution. Adv. Chem. Eng. 2012, 550–553, 1120–1123. [Google Scholar] [CrossRef]
- Wang, Y.; Zuo, Y.; Zhao, X.; Zha, S. The adsorption and inhibition effect of calcium lignosulfonate on Q235 carbon steel in simulated concrete pore solution. Appl. Surf. Sci. 2016, 379, 98–110. [Google Scholar] [CrossRef]
- Emregül, K.C.; Aksüt, A.A. The effect of sodium molybdate on the pitting corrosion of aluminum. Corros. Sci. 2003, 45, 2415–2433. [Google Scholar] [CrossRef]
- Bai, W.; Li, X.; Mu, G.; Qu, Q. Molybdate and tungstate as corrosion inhibitors for cold rolling steel in hydrochloric acid solution. Clean. World 2006, 48, 445–459. [Google Scholar]
- Kumari, V.A.; Sreevalsan, K.; Shibli, S.M.A. Sodium molybdate for the effective protection of steel: A comprehensive review. Corros. Prev. Contro. 2001, 48, 83–109. [Google Scholar]
- Zhou, Y.; Zuo, Y. The inhibitive mechanisms of nitrite and molybdate anions on initiation and propagation of pitting corrosion for mild steel in chloride solution. Appl. Surf. Sci. 2015, 353, 924–932. [Google Scholar] [CrossRef]
- Cheng, T.; Lee, J.; Tsai, W. Passivation of titanium in molybdate-containing sulphuric acid solution. Electrochim. Acta 1991, 36, 2069–2076. [Google Scholar] [CrossRef]
- Atia, A.A.; Donia, A.M.; Awed, H.A. Synthesis of magnetic chelating resins functionalized with tetraethylenepentamine for adsorption of molybdate anions from aqueous solutions. J. Hazard. Mater. 2008, 155, 100–108. [Google Scholar] [CrossRef] [PubMed]
- Loto, R.T. Study of the synergistic effect of 2-methoxy-4-formylphenol and sodium molybdenum oxide on the corrosion inhibition of 3CR12 ferritic steel in dilute sulphuric acid. Result. Phys. 2017, 7, 769–776. [Google Scholar] [CrossRef]
- Zhou, Y.; Zuo, Y.; Lin, B. The compounded inhibition of sodium molybdate and benzotriazole on pitting corrosion of Q235 steel in NaCl+NaHCO3, solution. Mat. Chem. Phys. 2017, 192, 86–93. [Google Scholar] [CrossRef]
- Ferreira, E.S.; Giacomelli, C.; Giacomelli, F.C.; Spinelli, A. Evaluation of the inhibitor effect of l-ascorbic acid on the corrosion of mild steel. Mat. Chem. Phys. 2004, 83, 129–134. [Google Scholar] [CrossRef]
- Bouanis, M.; Tourabi, M.; Nyassi, A.; Zarrouk, A.; Jama, C.; Bentiss, F. Corrosion inhibition performance of 2,5-bis(4-dimethylaminophenyl)-1,3,4-oxadiazole for carbon steel in HCl solution: Gravimetric, electrochemical and XPS studies. Appl. Surf. Sci. 2016, 389, 952–966. [Google Scholar] [CrossRef]
- Standard test method for conducting cyclic potentiodynamic polarization measurements for localized corrosion susceptibility of iron-, nickel-, or cobalt-based alloys, ASTM-G61-86. In Annual Book of ASTM Standards; ASTM Internationa: Philadelphia, PA, USA, 1999; pp. 239–242.
- Tiziano, B.; Giampaolo, G.; Gabriella, R. Study of stainless steels corrosion in a strong acid mixture. Part 1: Cyclic potentiodynamic polarization curves examined by means of an analytical method. Corros. Sci. 2018, 130, 113–125. [Google Scholar]
- Blin, F.; Koutsoukos, P.; Klepetsianis, P.; Forsyth, M. The corrosion inhibition mechanism of new rare earth cinnamate compounds—Electrochemical studies. Electrochim. Acta 2007, 52, 6212–6220. [Google Scholar] [CrossRef]
- Ou, H.H.; Tran, Q.T.P.; Lin, P.H. A synergistic effect between gluconate and molybdate on corrosion inhibition of recirculating cooling water systems. Corros. Sci. 2018, 133, 231–239. [Google Scholar] [CrossRef]
- Refaey, S.A.M.; El-Rehim, S.S.A.; Taha, F.; Saleh, M.B.; Ahmed, R.A. Inhibition of chloride localized corrosion of mild steel by PO43−, CrO42−, MoO42−, and NO2− anions. Appl. Surf. Sci. 2000, 158, 190–196. [Google Scholar] [CrossRef]
- Eghbali, F.; Moayed, M.H.; Davoodi, A.; Ebrahimi, N. Critical pitting temperature (CPT) assessment of 2205 duplex stainless steel in 0.1 M NaCl at various molybdate concentrations. Corros. Sci. 2011, 53, 513–522. [Google Scholar] [CrossRef]
- Ilevbare, G.O.; Burstein, G.T. The inhibition of pitting corrosion of stainless steels by chromate and molybdate ions. Corros. Sci. 2003, 45, 1545–1569. [Google Scholar] [CrossRef]
- Moayed, M.H.; Newman, R.V. Aggressive effects of pitting ‘inhibitors’ on highly alloyed stainless steels. Corros. Sci. 2006, 48, 3513–3530. [Google Scholar] [CrossRef]
- Trasatti, S.P. Electrochemical approach to repassivation kinetics of Al alloys: Gaining insight into environmentally assisted cracking: Corrosion Reviews. Corros. Rev. 2015, 33, 373–393. [Google Scholar]
- Trueba, M. The repassivation response from single cycle anodic polarization: The case study of a sensitized Al-Mg alloy. Electrochim. Acta 2018, 259, 492–499. [Google Scholar] [CrossRef]
- Vukasovich, M.S.; Farr, J.P.G. Molybdate in corrosion inhibition—A review. Polyhedron 1986, 5, 551–559. [Google Scholar] [CrossRef]
- Tang, Y.; Zuo, Y.; Wang, J.; Zhao, X.; Niu, B.; Lin, B. The metastable pitting potential and its relation to the pitting potential for four materials in chloride solutions. Corros. Sci. 2014, 80, 111–119. [Google Scholar] [CrossRef]
- Danaee, I.; Khomami, M.N.; Attar, A.A. Corrosion behavior of AISI 4130 steel alloy in ethylene glycol–water mixture in presence of molybdate. Mat. Chem. Phys. 2012, 135, 658–667. [Google Scholar] [CrossRef]
- Samiento-Bustos, E.; Rodriguez, J.G.G.; Uruchurtu, J.; Dominguez-Patiño, G.; Salinas-Bravob, V.M. Effect of inorganic inhibitors on the corrosion behavior of 1018 carbon steel in the LiBr + ethylene glycol + H2O mixture. Corros. Sci. 2008, 50, 2296–2303. [Google Scholar] [CrossRef]
- Zhang, F.; Pan, J.; Claesson, P.M. Electrochemical and AFM studies of mussel adhesive protein (Mefp-1) as corrosion inhibitor for carbon steel. Electrochim. Acta 2011, 56, 1636–1645. [Google Scholar] [CrossRef]
- Zhang, Z.; Tian, N.; Zhang, W.; Huang, X.; Ruan, L.; Wu, L. Inhibition of carbon steel corrosion in phase-change-materials solution by methionine and proline. Corros. Sci. 2016, 111, 675–689. [Google Scholar] [CrossRef]
- Breslin, C.B.; Treacy, G.; Carroll, W.M. Studies on the passivation of aluminium in chromate and molybdate solutions. Corros. Sci. 1994, 36, 1143–1154. [Google Scholar] [CrossRef]
- Lopez-Garrity, O.; Frankel, G.S. Corrosion Inhibition of Aluminum Alloy 2024-T3 by Sodium Molybdate. Corrosion -Houston Tx- 2014, 70, 928–941. [Google Scholar] [CrossRef]
- Han, P.; Li, W.; Tian, H.; Gao, X.; Ding, R.; Xiong, C.; Chen, C. Designing and fabricating of time-depend self-strengthening inhibitor film: Synergistic inhibition of sodium dodecyl sulfate and 4-mercaptopyridine for mild steel. J. Mol. Liq. 2018, 268, 425–437. [Google Scholar] [CrossRef]
- Zhou, B.; Wang, Y.; Zuo, Y. Evolution of the corrosion process of AA 2024-T3 in an alkaline NaCl solution with sodium dodecylbenzenesulfonate and lanthanum chloride inhibitors. Appl. Surf. Sci. 2015, 357, 735–744. [Google Scholar] [CrossRef]
- Tourabi, M.; Nohair, K.; Nyassi, A. Thermodynamic characterization of metal dissolution and inhibitor adsorption processes in mild steel/3,5-bis(3,4-dimethoxyphenyl)-4-amino-1,2,4-triazole/hydrochloric acid system. J. Mater. Enviro. Sci. 2014, 5, 1133–1143. [Google Scholar]
- Gerónimo-López, C.; Vazquez-Arenas, J.; Picquart, M.; Picquart, M.; Gonzáleza, I. The energetic conditions determining the active dissolution of carbon steel during electrocoagulation in sulfate media. Electrochim. Acta 2014, 136, 146–156. [Google Scholar] [CrossRef]
- Hirschorn, B.; Orazem, M.E.; Tribollet, B.; Vivier, V.; Frateur, I.; Musiani, M. Determination of effective capacitance and film thickness from constant-phase-element parameters. Electrochim. Acta 2010, 55, 6218–6227. [Google Scholar] [CrossRef]
- Xun-jie, G.; Yu-chun, L.; Ke-ru, P. Electrochemical behavior of molybdate inhibitor in tap water. Corros. Sci. Prot. Technol. 2001, 13, 208–210. [Google Scholar]
- Frateur, I.; Carnot, A.; Zanna, S.; Marcus, P. Role of pH and calcium ions in the adsorption of an alkyl N-aminodimethylphosphonate on steel: An XPS study. Appl. Surf. Sci. 2006, 252, 2757–2769. [Google Scholar] [CrossRef]
- Olivares, O.; Likhanova, N.V.; Gómez, B.; Navarrete, J.; Llanos-Serrano, M.E.; Arce, E.; Hallen, J.M. Electrochemical and XPS studies of decylamides of α-amino acids adsorption on carbon steel in acidic environment. Appl. Surf. Sci. 2006, 252, 2894–2909. [Google Scholar] [CrossRef]
- Pang, X.; Ran, X.; Fei, K.; Xie, J.; Hou, B. Inhibiting Effect of Ciprofloxacin, Norfloxacin and Ofloxacin on Corrosion of Mild Steel in Hydrochloric Acid. Chin. J. Chem. Eng. 2010, 18, 337–345. [Google Scholar] [CrossRef]
- Dong, Z.H.; Shi, W.; Guo, X.P. Localized Corrosion Inhibition of Carbon Steel in Carbonated Concrete Pore Solutions Using Wire Beam Electrodes. Acta Phys. Chim. Sin. 2011, 27, 127–134. [Google Scholar]
- Nakayama, N. Inhibitory effects of nitrilotris (methylenephosphonic acid) on cathodic reactions of steels in saturated Ca(OH)2 solutions. Corros. Sci. 2000, 42, 1897–1920. [Google Scholar] [CrossRef]
- Clayton, C.R.; Lu, Y.C. A bipolar model of the passivity of stainless steels - III. The mechanism of MoO42− formation and incorporation. Corros. Sci. 1989, 29, 881–898. [Google Scholar] [CrossRef]
- Muñoz, A.I.; Antón, J.G.; Nuévalos, S.L.; Guiñón, J.L.; Herranz, V.P. Corrosion studies of austenitic and duplex stainless steels in aqueous lithium bromide solution at different temperatures. Corros. Sci. 2004, 46, 2955–2974. [Google Scholar]
- Temesghen, W.; Sherwood, P.M. Analytical utility of valence band X-ray photoelectron spectroscopy of iron and its oxides, with spectral interpretation by cluster and band structure calculations. Anal. Bioanal. Chem. 2002, 373, 601–608. [Google Scholar] [CrossRef] [PubMed]
- Sajid, H.U.; Kiran, R. Influence of corrosion and surface roughness on wettability of ASTM A 36 steels. J. Constr. Steel Res. 2018, 144, 310–326. [Google Scholar] [CrossRef]
- Datta, A.; Mukherjee, S. Structural and Morphological Evolution in Metal-Organic Films and Multilayers; CRC Press: Boca Raton, FL, USA, 2015. [Google Scholar]
- Liang, C.; Lv, Z.; Zhu, Y.; Xu, S. Molybdate-based conversion treatment for improving the peeling strength between aluminum foil and polypropylene grafted with glycidyl methacrylate. Surf. Coat. Technol. 2014, 249, 1–5. [Google Scholar] [CrossRef]
- Rutland, M.W.; Parker, J.L. Surfaces Forces between Silica Surfaces in Cationic Surfactant Solutions: Adsorption and Bilayer Formation at Normal and High pH. Langmuir 1994, 10, 1110–1121. [Google Scholar] [CrossRef]
- Yu, H.; Chiang, K.T.K. Threshold chloride level and characteristics of reinforcement corrosion initiation in simulated concrete pore solutions. Construct. Build. Mat. 2012, 26, 723–729. [Google Scholar] [CrossRef]
Sample Availability: Samples of the compounds are available from the authors. |














| Inhibitor | Ecorr | Eb | Epp | IE% | S | |
|---|---|---|---|---|---|---|
| CLS | Na2MoO4 | mVSCE | mVSCE | mVSCE | ||
| 0 | 0 | −298 | −171.2 | −584 | − | − |
| 200 | 800 | −375 | −73.2 | −407 | 93.88 | 6.89 |
| 400 | 600 | −338 | 3.9 | −399 | 92.67 | 2.98 |
| 600 | 400 | −310 | −43.8 | −429 | 81.73 | 1.34 |
| 800 | 200 | −364 | −15.3 | −577 | 78.33 | 1.11 |
| 1000 | 0 | −304 | −0.3 | −565 | 91.27 | − |
| Inhibitor | Contact Angle (Degrees) | Average Contact Angle (Degrees) | ||
|---|---|---|---|---|
| Location 1 | Location 2 | Location 3 | ||
| Without | 68.00 | 66.75 | 71.54 | 68.76 |
| CLS | 18.32 | 18.56 | 16.37 | 17.75 |
| Na2MoO4 | 85.84 | 89.00 | 79.04 | 84.63 |
| Compound | 30.12 | 33.84 | 36.42 | 33.46 |
© 2019 by the authors. Licensee MDPI, Basel, Switzerland. This article is an open access article distributed under the terms and conditions of the Creative Commons Attribution (CC BY) license (http://creativecommons.org/licenses/by/4.0/).
Share and Cite
Lin, B.; Zuo, Y. Inhibition of Q235 Carbon Steel by Calcium Lignosulfonate and Sodium Molybdate in Carbonated Concrete Pore Solution. Molecules 2019, 24, 518. https://doi.org/10.3390/molecules24030518
Lin B, Zuo Y. Inhibition of Q235 Carbon Steel by Calcium Lignosulfonate and Sodium Molybdate in Carbonated Concrete Pore Solution. Molecules. 2019; 24(3):518. https://doi.org/10.3390/molecules24030518
Chicago/Turabian StyleLin, Bing, and Yu Zuo. 2019. "Inhibition of Q235 Carbon Steel by Calcium Lignosulfonate and Sodium Molybdate in Carbonated Concrete Pore Solution" Molecules 24, no. 3: 518. https://doi.org/10.3390/molecules24030518
APA StyleLin, B., & Zuo, Y. (2019). Inhibition of Q235 Carbon Steel by Calcium Lignosulfonate and Sodium Molybdate in Carbonated Concrete Pore Solution. Molecules, 24(3), 518. https://doi.org/10.3390/molecules24030518

