Synthesis of Aryl Propionamide Scaffold Containing a Pentafluorosulfanyl Moiety as SARMs
Abstract
:1. Introduction
2. Results and Discussion
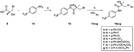
2.1. Chemistry
2.2. AR Activity In Vitro
3. Materials and Methods
3.1. General Synthesis
3.2. General Procedure for the Synthesis of 9, 10, and 15
3.3. General Procedure for the Synthesis of 12a–g, 13a–g, and 16a–g
3.4. Cell Preparation
3.5. Agonist Assay
3.6. Cytotoxicity
4. Conclusions
Supplementary Materials
Author Contributions
Funding
Conflicts of Interest
Abbreviations
| SF5 | Pentafluorosulfane |
| CF3 | Trifluoromethyl |
| SARMs | Selective androgen receptor modulators |
| AR | Androgen receptor |
| DMAc | N,N-dimethylacetamide |
| DMF | N,N-dimethylformamide |
| DHT | Dihydrotestosterone |
| SAR | Structure-activity relationship |
| TMS | Tetramethylsilane |
References
- Purser, S.; Moore, P.R.; Swallow, S.; Gouverneur, V. Fluorine in medicinal chemistry. Chem. Soc. Rev. 2008, 37, 320–330. [Google Scholar] [CrossRef]
- Sowaileh, M.F.; Hazlitt, R.A.; Colby, D.A. Application of the Pentafluorosulfanyl Group as a Bioisosteric Replacement. ChemMedChem 2017, 12, 1481–1490. [Google Scholar] [CrossRef]
- Savoie, P.R.; Welch, J.T. Preparation and utility of organic pentafluorosulfanyl-containing compounds. Chem. Rev. 2015, 115, 1130–1190. [Google Scholar] [CrossRef]
- Bassetto, M.; Ferla, S.; Pertusati, F. Polyfluorinated groups in medicinal chemistry. Future Med. Chem. 2015, 7, 527–546. [Google Scholar] [CrossRef]
- Altomonte, S.; Zanda, M. Synthetic chemistry and biological activity of pentafluorosulphanyl (SF5) organic molecules. J. Fluor. Chem. 2012, 143, 57–93. [Google Scholar] [CrossRef]
- Saethre, L.J.; Berrah, N.; Bozek, J.D.; Borve, K.J.; Carroll, T.X.; Kukk, E.; Gard, G.L.; Winter, R.; Thomas, T.D. Chemical insights from high-resolution X-ray photoelectron spectroscopy and ab initio theory: Propyne, trifluoropropyne, and ethynylsulfur pentafluoride. J. Am. Chem. Soc. 2001, 123, 10729–10737. [Google Scholar] [CrossRef]
- Bowden, R.D.; Comina, P.J.; Greenhall, M.P.; Kariuki, B.M.; Loveday, A.; Philp, D. A new method for the synthesis of aromatic sulfurpentafluorides and studies of the stability of the sulfurpentafluoride group in common synthetic transformations. Tetrahedron 2000, 56, 3399–3408. [Google Scholar] [CrossRef]
- Umemoto, T.; Garrick, L.M.; Saito, N. Discovery of practical production processes for arylsulfur pentafluorides and their higher homologues, bis- and tris(sulfur pentafluorides): Beginning of a new era of “super-trifluoromethyl” arene chemistry and its industry. Beilstein J. Org. Chem. 2012, 8, 461–471. [Google Scholar] [CrossRef] [PubMed]
- Gujjar, R.; El Mazouni, F.; White, K.L.; White, J.; Creason, S.; Shackleford, D.M.; Deng, X.Y.; Charman, W.N.; Bathurst, I.; Burrows, J.; et al. Lead Optimization of Aryl and Aralkyl Amine-Based Triazolopyrimidine Inhibitors of Plasmodium falciparum Dihydroorotate Dehydrogenase with Antimalarial Activity in Mice. J. Med. Chem. 2011, 54, 3935–3949. [Google Scholar] [CrossRef] [PubMed]
- Bhasin, S.; Jasuja, R. Selective androgen receptor modulators as function promoting therapies. Curr. Opin. Clin. Nutr. Metab. Care 2009, 12, 232–240. [Google Scholar] [CrossRef] [PubMed]
- Narayanan, R.; Mohler, M.L.; Bohl, C.E.; Miller, D.D.; Dalton, J.T. Selective androgen receptor modulators in preclinical and clinical development. Nucl. Recept. Signal. 2008, 6, e010. [Google Scholar] [CrossRef] [PubMed]
- Bhasin, S.; Calof, O.M.; Storer, T.W.; Lee, M.L.; Mazer, N.A.; Jasuja, R.; Montori, V.M.; Gao, W.Q.; Dalton, J.T. Drug Insight: Testosterone and selective androgen receptor modulators as anabolic therapies for chronic illness and aging. Nat. Clin. Pract. Endoc. 2006, 2, 146–159. [Google Scholar] [CrossRef] [PubMed]
- Marhefka, C.A.; Gao, W.; Chung, K.; Kim, J.; He, Y.; Yin, D.; Bohl, C.; Dalton, J.T.; Miller, D.D. Design, synthesis, and biological characterization of metabolically stable selective androgen receptor modulators. J. Med. Chem. 2004, 47, 993–998. [Google Scholar] [CrossRef] [PubMed]
- Yin, D.; Gao, W.; Kearbey, J.D.; Xu, H.; Chung, K.; He, Y.; Marhefka, C.A.; Veverka, K.A.; Miller, D.D.; Dalton, J.T. Pharmacodynamics of selective androgen receptor modulators. J. Pharmacol. Exp. Ther. 2003, 304, 1334–1340. [Google Scholar] [CrossRef]
- Clark, R.V.; Walker, A.C.; Andrews, S.; Turnbull, P.; Wald, J.A.; Magee, M.H. Safety, pharmacokinetics and pharmacological effects of the selective androgen receptor modulator, GSK2881078, in healthy men and postmenopausal women. Br. J. Clin. Pharmacol. 2017, 83, 2179–2194. [Google Scholar] [CrossRef]
- Basaria, S.; Collins, L.; Dillon, E.L.; Orwoll, K.; Storer, T.W.; Miciek, R.; Ulloor, J.; Zhang, A.Q.; Eder, R.; Zientek, H.; et al. The Safety, Pharmacokinetics, and Effects of LGD-4033, a Novel Nonsteroidal Oral, Selective Androgen Receptor Modulator, in Healthy Young Men. J. Gerontol. Ser. a-Biol. Sci. Med. Sci. 2013, 68, 87–95. [Google Scholar] [CrossRef]
- Zilbermint, M.F.; Dobs, A.S. Nonsteroidal selective androgen receptor modulator Ostarine (TM) in cancer cachexia. Future Oncol. 2009, 5, 1211–1220. [Google Scholar] [CrossRef]
- Ferla, S.; Bassetto, M.; Pertusati, F.; Kandil, S.; Westwell, A.D.; Brancale, A.; McGuigan, C. Rational design and synthesis of novel anti-prostate cancer agents bearing a 3,5-bis-trifluoromethylphenyl moiety. Bioorg. Med. Chem. Lett. 2016, 26, 3636–3640. [Google Scholar] [CrossRef]
- Guo, C.X.; Linton, A.; Kephart, S.; Ornelas, M.; Pairish, M.; Gonzalez, J.; Greasley, S.; Nagata, A.; Burke, B.J.; Edwards, M.; et al. Discovery of Aryloxy Tetramethylcyclobutanes as Novel Androgen Receptor Antagonists. J. Med. Chem. 2011, 54, 7693–7704. [Google Scholar] [CrossRef]
- Jung, M.E.; Ouk, S.; Yoo, D.; Sawyers, C.L.; Chen, C.; Tran, C.; Wongvipat, J. Structure-Activity Relationship for Thiohydantoin Androgen Receptor Antagonists for Castration-Resistant Prostate Cancer (CRPC). J. Med. Chem. 2010, 53, 2779–2796. [Google Scholar] [CrossRef]
- Piatnitski Chekler, E.L.; Unwalla, R.; Khan, T.A.; Tangirala, R.S.; Johnson, M.; St Andre, M.; Anderson, J.T.; Kenney, T.; Chiparri, S.; McNally, C.; et al. 1-(2-Hydroxy-2-methyl-3-phenoxypropanoyl)indoline-4-carbonitrile derivatives as potent and tissue selective androgen receptor modulators. J. Med. Chem. 2014, 57, 2462–2471. [Google Scholar] [CrossRef] [PubMed]
Sample Availability: Samples of the compounds 3–16g are available from the authors. |




| Compounds | Agonist Activity in CV-1 | Agonist Activity in C2C12 | ||
|---|---|---|---|---|
| EC50 (nM) | Efficacy (%) | EC50 (nM) | Efficacy (%) | |
| DHT | 3.1 ± 0.9 | 100 | 0.1 ± 0.03 | 100 |
| Ostarine | 1.7 ± 0.1 | 85.8 ± 7.4 | 3.9 ± 1.3 | 81.9 ± 11.6 |
| 13a | 80.3 ± 74.5 | 89.5 ± 15.4 | 119.7 ± 109.9 | 80.8 ± 8.1 |
| 13b | 28.1 ± 3.3 | 46.1 ± 11.3 | 42.1 ± 21.7 | 45.8 ± 21.9 |
| 13c | 180.0 ± 116.0 | 66.3 ± 2.8 * | 196.6 ± 110.0 | 69.9 ± 5.9 * |
| 13d | 1449.5 ± 99.7 | 51.2 ± 10.3 | 1035.8 ± 643.1 | 53.2 ± 7.9 * |
| 13e | 426.8 ± 387.8 | 65.1 ± 10.0 | 305.3 ± 161.7 | 68.4 ± 16.9 |
| 13f | 15.1 ± 7.2 | 46.0 ± 5.2 * | 66.9 ± 19.7 | 57.3 ± 16.3 |
| 13g | 1135.0 ± 357.8 | 26.6 ± 15.2 | 921.4 ± 112.5 | 42.1 ± 6.9 |

| Compounds | Agonist activity in CV-1 | Compounds | Agonist activity in CV-1 | ||
|---|---|---|---|---|---|
| EC50 (nM) | Efficacy (%) | EC50 (nM) | Efficacy (%) | ||
| DHT | 3.1 ± 0.9 | 100 | Ostarine | 1.7 ± 0.1 | 85.8 ± 7.4 |
| 12a | 1508 ± 429.9 | 9.1 ± 6.5 | 16a | NA | NA |
| 12b | 51213.5 ± 5806.1 | 5.2 ± 3.6 | 16b | NA | NA |
| 12c | 1282 ± 79.2 | 6.7 ± 4.9 | 16c | NA | NA |
| 12d | NA | NA | 16d | NA | NA |
| 12e | NA | 1.6 ± 1.4 | 16e | NA | NA |
| 12f | 12733.5 ± 2144.7 | 5.7 ± 9.5 | 16f | NA | 0.7 ± 2.2 |
| 12g | NA | 0.3 ± 1.6 | 16g | 2144.0 ± 694.4 | 1.5 ± 0.5 |
© 2019 by the authors. Licensee MDPI, Basel, Switzerland. This article is an open access article distributed under the terms and conditions of the Creative Commons Attribution (CC BY) license (http://creativecommons.org/licenses/by/4.0/).
Share and Cite
Shao, P.; Zhou, Y.; Yang, D.; Wang, M.-W.; Lu, W.; Jin, J. Synthesis of Aryl Propionamide Scaffold Containing a Pentafluorosulfanyl Moiety as SARMs. Molecules 2019, 24, 4227. https://doi.org/10.3390/molecules24234227
Shao P, Zhou Y, Yang D, Wang M-W, Lu W, Jin J. Synthesis of Aryl Propionamide Scaffold Containing a Pentafluorosulfanyl Moiety as SARMs. Molecules. 2019; 24(23):4227. https://doi.org/10.3390/molecules24234227
Chicago/Turabian StyleShao, Pingxuan, Yan Zhou, Dehua Yang, Ming-Wei Wang, Wei Lu, and Jiyu Jin. 2019. "Synthesis of Aryl Propionamide Scaffold Containing a Pentafluorosulfanyl Moiety as SARMs" Molecules 24, no. 23: 4227. https://doi.org/10.3390/molecules24234227
APA StyleShao, P., Zhou, Y., Yang, D., Wang, M.-W., Lu, W., & Jin, J. (2019). Synthesis of Aryl Propionamide Scaffold Containing a Pentafluorosulfanyl Moiety as SARMs. Molecules, 24(23), 4227. https://doi.org/10.3390/molecules24234227

