Next Article in Journal
Cerium Oxide Nanoparticles Absorption through Intact and Damaged Human Skin
Previous Article in Journal
The Fragment-Based Development of a Benzofuran Hit as a New Class of Escherichia coli DsbA Inhibitors
 
 
Font Type:
Arial Georgia Verdana
Font Size:
Aa Aa Aa
Line Spacing:
Column Width:
Background:
Article

d-Idose, d-Iduronic Acid, and d-Idonic Acid from d-Glucose via Seven-Carbon Sugars

1
Chemistry Research Laboratory, Department of Chemistry, University of Oxford, Oxford OX1 3TA, UK
2
Oxford Glycobiology Institute, Department of Biochemistry, University of Oxford, Oxford OX1 3QU, UK
3
International Institute of Rare Sugar Research and Education, Kagawa University, Kagawa 761-0795, Japan
*
Author to whom correspondence should be addressed.
Molecules 2019, 24(20), 3758; https://doi.org/10.3390/molecules24203758
Submission received: 22 September 2019 / Revised: 15 October 2019 / Accepted: 16 October 2019 / Published: 18 October 2019
(This article belongs to the Section Chemical Biology)

Abstract

:
A practical synthesis of the very rare sugar d-idose and the stable building blocks for d-idose, d-iduronic, and d-idonic acids from ido-heptonic acid requires only isopropylidene protection, Shing silica gel-supported periodate cleavage of the C6-C7 bond of the heptonic acid, and selective reduction of C1 and/or C6. d-Idose is the most unstable of all the aldohexoses and a stable precursor which be stored and then converted under very mild conditions into d-idose is easily prepared.

Graphical Abstract

1. Introduction

Although the biotechnology of Izumoring [1,2] and related approaches [3] have revolutionized the availability of large quantities of many rare sugars, the practical conversion of d-sorbose to d-idose 6 by xylose isomerase [4] is beset by the 97:3 equilibrium in favor of d-sorbose and cannot easily produce significant quantities of d-idose 6 [5]. d-Idose, the rarest of all rare hexoses [6,7,8], is the least stable to acid, base, or heat; idose is the only aldohexose to never be crystallized. The easy preparation of a stable precursor that could be converted to d-idose under very mild conditions, would simplify both the investigation of its biological properties and its incorporation into oligosaccharides and aglycone pharmacophores. The Kiliani reaction [9] of d-glucose 1 with sodium cyanide, to give the sodium salts of the epimeric d-ido (2) and l-gluco- (3) heptonic acids in a ratio of approximately 1:4, has been a massive industrial process for many decades (Scheme 1) [10].
Salts of the gluco-acid 3, available cheaply [11] in >99% purity, are used as chelating agents, detergents, and for many other purposes. The mother liquors after the first crystallization contain more of the ido-acid 2 mixtures, such as Seqlene-50 [12] consisting of a 1:1 ratio of 2 and 3 at 50% concentration, are very cheap industrial cleaners.
Acetonation is the only protection needed for the synthesis of d-idose 6, d-iduronic 4, and d-idonic 5 acids. The key steps include (i) the Shing [13] periodate cleavage of the C6-C7 bond in heptonic acids 2 and 3, and the (ii) adjustment of the oxidation levels at C1 and C6 in the heptonic acid [Scheme 1]. The C2 symmetry of the ido-motif means that the aldehyde in d-idose may derived from either C1 or C6 of the ido-heptonic acid 2. Efficient inversion at C2 of gluco-acid 3 allows the unambiguous synthesis of the d-ido targets in the paper without any separation of diastereomers. Preliminary studies of the use of Seqlene to access acetonides of 2 are reported.
A similar strategy has been used for the scalable synthesis of l-glucose 1L from gluco-acid 3 with no column chromatography [14]. Treatment of the sodium salt of 3 with 2,2-dimethoxypropane in methanolic HCl formed the triacetonide 8 (54%) (Scheme 2); selective hydrolysis of 8 gave diol 7 (86%) and, in four steps, l-glucose 1L in 80% yield. The triacetonide 8 was also efficiently converted to many other rare sugars with differing oxidation levels at C1 and C6 [15].

2. Results and Discussion

2.1. Acetonides of Heptonic Acids and Inversion of Configuration at C2 in gluco-Acid 3

Access to the d-ido-diol 12, the intermediate for all the d-ido sugars, required inversion of configuration at C2 of the gluco-heptonic acid 3 (Scheme 2). The gluco-diacetonide 9 [16] formed a stable triflate (88%) [17], which, on treatment with trifluoroacetate [18], gave the diacetonide of ido-heptonolactone 10 (81%) [19].
Treatment of the ido-diacetonide 10 with 2,2-dimethoxypropane in methanolic hydrogen chloride formed the trans,trans-triacetonide 11 (94%) with all the substituents on the dioxolane ring trans to each other. Although there are other possible diacetonides of 11 that contain different size rings, the 13C singlet carbons at δ 109.5, 109.6, and 111.5 clearly showed all the isopropylidene protecting groups were 5-ring ketals [20].
Seqlene-50 contains a 50% concentration of an aqueous solution of a 1:1 mixture of the sodium salts of the epimeric heptonic acids 2 and 3. Evaporation of Seqlene to dryness, followed by treatment of the dark brown residue with 2,2-dimethoxypropane in methanolic hydrogen chloride, gave a 1:1 inseparable mixture of the triacetonides of the methyl ido- (11) and gluco- (8) heptonates (36%); the ratio was estimated by comparison of 1H NMR of the mixture to those of pure samples of the triacetonides 11 and 8]. It has been reported [21] that the double cadmium salt of the ido-heptonic acid 2, cadmium d-glycero-d-ido-heptonate cadmium chloride monohydrate, can be crystallized from the Seqlene 1:1 mixture; in a preliminary study of one crystallization as cadmium salts, the ratio of the 11:8 esters improved to 3:1. If large amounts of 11 are needed, it may be that optimization of this crystallization will be of considerable benefit.
Hydrolysis of the terminal acetonide in the presence of other acetonides usually proceeds in high yield; for example, partial hydrolysis of the gluco-triacetonide 8 by sulfuric acid in methanol gave 86% of the diol 7 on a large scale. More care is needed in the removal of the terminal acetonide in 11 where treatment with acetic acid:water:methanol, 2:1:3, afforded the key ido-heptonate 12 in 61% yield.

2.2. d-Idose, d-iduronic, and d-idonic Acids from Protected Diol Ido-Heptonate 12

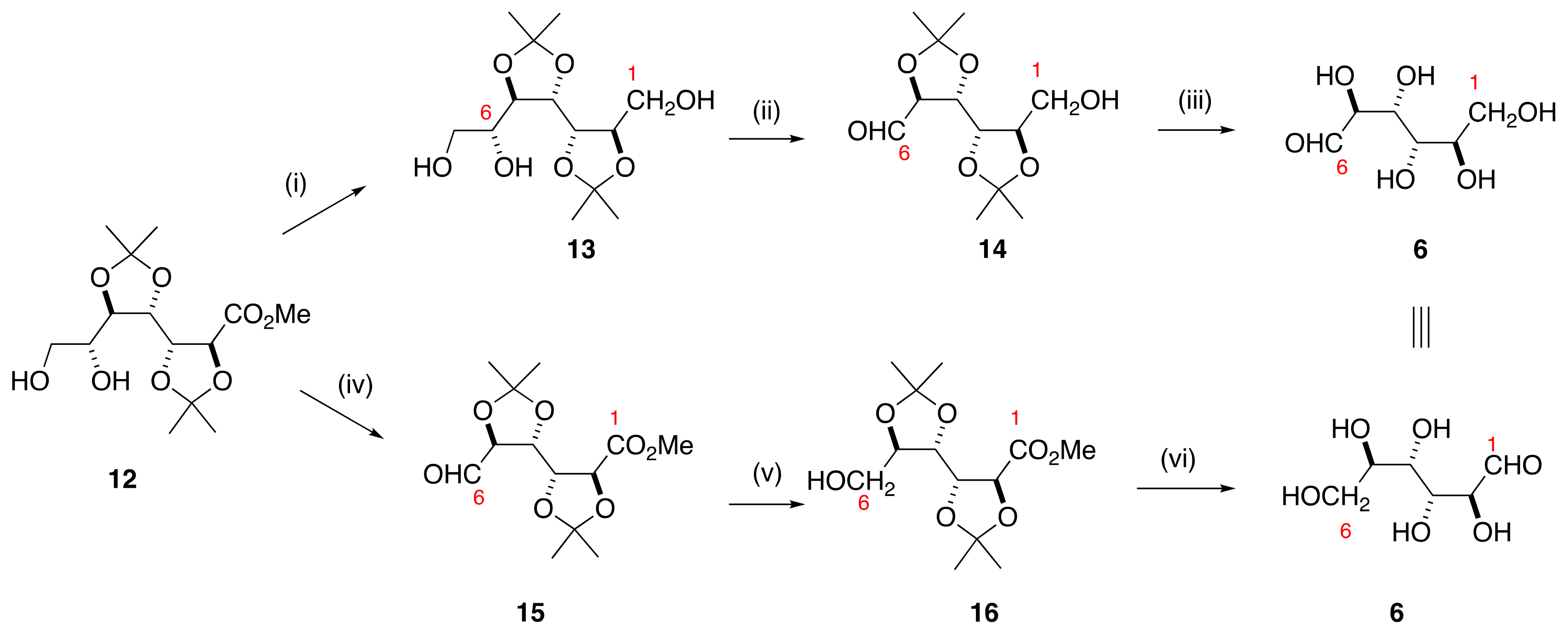
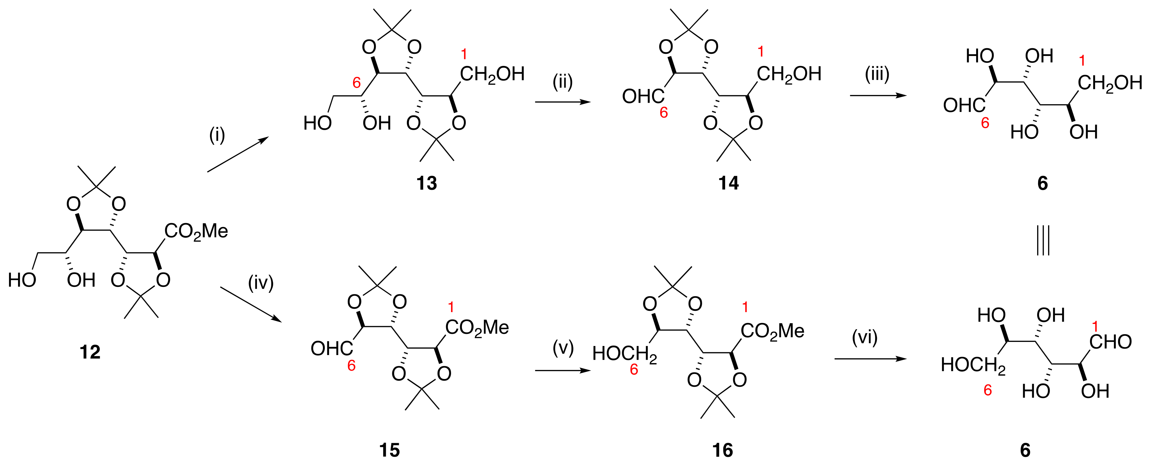
Reduction of the diol ester 12 by sodium borohydride in methanol gave the triol 13 (95%) (Scheme 3). Oxidative cleavage of C6-C7 bond in 13 by silica gel-supported sodium periodate in dichloromethane [13] formed the aldehyde 14 in quantitative yield. Subsequent hydrolysis of the acetonide protecting groups with DOWEX® resin gave d-idose 6 (97% from 13; 53% from 11) with identical 13C and 1H NMR spectra to those of an authentic sample, the purity of which was established by HPLC; the spectra are consistent with those previously reported for d-idose [22,23]. In this sequence, C1 and C6 of d-idose 6 were derived respectively from C6 and C1 of the ido-heptonic acid 2. The triol 13, a white crystallizable solid, is an ideal stable precursor for generation of d-idose.
Initial oxidation of 12 with silica gel-supported sodium periodate in dichloromethane gave the protected d-iduronic acid 15 (89%). Sodium borohydride in methanol at 0 °C caused selective reduction of the aldehyde group to give 16 (63%) as a protected d-idonic acid 2. Further reduction of the ester 16 with diisobutylaluminum hydride (DIBALH) in toluene gave the aldehyde 14 from which the acetonide groups were removed by DOWEX resin to produce d-idose 6 (76% from 16), identical to the sample formed above; in contrast to the first route, C1 and C6 of d-idose 6 were derived respectively from C1 and C6 of the ido-heptonic acid 2.

3. Experimental

3.1. General Experimental

All commercial reagents were used as supplied. Solvents were used as supplied (analytical or HPLC grade), without prior purification. Thin-layer chromatography (TLC) was performed on aluminium sheets coated with 60 F254 silica. Plates were visualized using a 0.2% w/v cerium (IV) sulfate and 5% ammonium molybdate solution in 2 M sulfuric acid. Melting points were recorded on a Kofler hot block and are uncorrected. Optical rotations of the protected sugars were recorded on a Perkin-Elmer 241 polarimeter with a path length of 1 dm; concentrations are quoted in g 100 mL−1. Optical rotations were recorded on a Jasco R1030 polarimeter, Na+ lamp, (Jasco, Tokyo, Japan) at 20 °C, polarimeter with a path length of 1 dm. Infrared spectra were recorded on a Perkin-Elmer 1750 IR Fourier transform spectrophotometer using thin films on a diamond ATR surface (thin film). Only the characteristic peaks are quoted. Nuclear magnetic resonance (NMR) spectra were recorded on a Bruker AMX 500 (1H: 500 MHz and 13C: 125.7 MHz) or Bruker AVIII 400 HD nanobay and Bruker DQX 400 (1H: 400 MHz, 13C: 100.6 MHz and 19F: 375 MHz) or Bruker DPX 250 (1H: 250 MHz and 13C: 62.5 MHz) or Varian Mercury 300 (1H: 300 MHz, 13C: 75 MHz) spectrometers in the deuterated solvent stated. 1H and 13C NMR spectra were assigned by utilizing 2D COSY, HSQC and HMBC spectra. All chemical shifts (δ) are quoted in ppm and coupling constants (J) in Hz. Residual signals from the solvents were used as an internal reference. For solutions in D2O acetonitrile was used as an internal reference. HRMS measurements were made using a micro-time-of-flight (TOF) mass analyzer using electrospray ionization (ESI) or an HP 5988A mass spectrometer using chemical ionization (CI). The purity of d-idose by high-performance liquid chromatography (Hitachi GL-611 column, Tokyo, Japan, and Shimadzu RID-6A refractive index detector, Kyoto, Japan) at 60 °C, eluted with 10−4 M NaOH at a flow rate of 1.0 mL/min. Seqlene-50 was obtained from Hallstar Engineering of Chicago, IL,USA (see Supplementary Materials for 1H and 13C NMR spectra).

3.2. Methyl 2,3:4,5:6,7-Tri-O-Isopropylidene-d-glycero-d-ido-Heptonate 11

Method 1 from Ido-Heptono-1,4-Lactone 10
A methanolic solution of hydrogen chloride [prepared by dropwise addition of acetyl chloride (0.8 mL, 11.2 mmol) to methanol (6.6 mL) under argon at 0 °C] was added to a solution of the ido-diacetonide 10 (3.45 g, 12.0 mmol) in 2,2-dimethoxypropane (50 mL). The reaction mixture was then refluxed for 2 h when TLC (cyclohexane/ethyl acetate, 1:1) showed the formation of a major product (Rf 0.70). Sodium carbonate (5 g) was added into reaction mixture to neutralize the pH to 7 (the color of reaction mixture turned from brown to light yellow). After the solids were removed by filtration, the solvent was removed in vacuo to give a residue that was dissolved into cyclohexane (50 mL). The solution was washed with distilled water (3 × 50 mL), dried (MgSO4) and solvent was removed in vacuo to yield pure triacetonide 11 (3.10 g, 8.6 mmol, yield 71%). Further extraction of the aqueous layer by ethyl acetate (3 × 50 mL) gave partially acetonated products; removal of solvent in vacuo, afforded a residue (~2.0 g), which was dissolved into acetone (20 mL), and the procedures above were repeated to obtain more 11 (4.10 g in total, 95%) as a syrup, which used in the next step without further purification.
Method 2 from Seqlene without Recrystallization
A solution of Seqlene (2 mL) was fully dried in vacuo to give a dark brown residue (~1.3 g). A methanolic solution of hydrogen chloride (prepared by dropwise addition of acetyl chloride (0.4 mL, 5.6 mmol) to methanol (3.3 mL) under argon at 0 °C) was added to a solution of the residue in 2,2-dimethoxypropane (25 mL). The reaction mixture was then refluxed for 5 h when TLC (cyclohexane/ethyl acetate, 1:1) showed the formation of a major product (Rf 0.70). Sodium carbonate (2 g) was added to the reaction mixture to neutralize the pH to 7 (the color of reaction mixture turned from brown to light yellow). After the solids were removed by filtration, the solvent was removed in vacuo to give a residue that was dissolved into cyclohexane (20 mL). The solution was washed with distilled water (3 × 10 mL), dried (MgSO4) and solvent was removed in vacuo to yield a mixture of 8 and 11 (680 mg in total, 36%) as a NMR ratio of 1:1 (some impurities were also detected).
Method 3 (from Seqlene with Recrystallization)
A solution of Seqlene (10 mL, ~7.2 g solid) was diluted with water (60 mL) and passed through a column containing Amberlite IR-120 (H+) cation-exchange resin column (~40 mL). The eluent was stirred at 100 °C for 5 h with cadmium carbonate (2.7 g). Then, cadmium chloride (2.9 g) was added. After filtration by active carbon, the solution was concentrated in vacuo to half of the volume. Ethanol (~40 mL) was added until the solution became muddy. The solution was left to recrystallize at rt overnight to obtain a cadmium salt (1.5 g) of lactones that was subjected to the protection conditions as shown above to form a mixture of triacetonide 8 and 11 (2.0 g) as a ratio of 3:10 according to 1H NMR.
HRMS m/z (ESI + ve): found 383.1673 [M + Na]+, C17H28O8Na+ requires 383.1676; [α]D20 + 18.9 (c 1.25, MeOH); νmax (thin film): 1764 (s, C=O); δH (CD3OD, 400MHz): 1.22 (3H, s, CH3), 1.28 (3H, s, CH3), 1.29 (6H, s, 2 x CH3), 1.35 (3H, s, CH3), 1.36 (3H, s, CH3), 3.69 (3H, s, OCH3), 3.82–3.85 (1H, m, H7), 3.92–3.94 (1H, m, H5), 4.00 (1H, dd, H4, J4,3 2.1, J4,5 7.5), 4.01–4.04 (2H, m, H6, H7′), 4.17 (1H, dd, H3, J3,4 = 2.1, J3,2 7.8), 4.53 (1H, d, H2, J2,3 7.8), δC (CD3OD, 100MHz) 24.1 (CH3), 24.8 (CH3), 25.5 (CH3), 25.7 (CH3), 26.2 (CH3), 26.6 (CH3), 51.5 (OCH3), 67.1 (C7), 75.3 (C2), 77.0 (C5), 77.2 (C6), 77.9 (C4), 78.6 (C3), 109.5 (C(CH3)2), 109.6 (C(CH3)2), 111.5 (C(CH3)2), 171.3 (C1); m/z (ESI + ve): 383 ([M + Na]+, 100%).

3.3. Methyl 2,3:4,5-Di-O-Isopropylidene-d-glycero-d-ido-Heptonate 12

A solution of triacetonide 11 (4.10 g, 11.4 mmol) in acetic acid:water:methanol (15 mL, 2:1:3) was stirred at 40 °C for 5.5 h until TLC (ethyl acetate) showed the formation of one major product (Rf 0.60). The reaction mixture was concentrate in vacuo to ~2 mL and then stirred with NaHCO3 (sat. aq, 40 mL). Cyclohexane (3 × 40 mL) was used to extract the unreacted starting material 11 (~2.2 g) on which the process was repeated. The aqueous layer was then washed with dichloromethane (3 × 40 mL), the combined extracts dried (MgSO4), and the solvent removed in vacuo to obtain 12 (1.20 g, 32%) as a clear oil. The unreacted 11 from cyclohexane was recycled by the hydrolysis protocol to obtain more 12 (2.21 g, 61% based on recovered 12).
HRMS m/z (ESI + ve): found 343.1360 [M + Na]+, C14H24O8Na+ requires 343.1363; [α]D20 + 63 (c 0.46, MeOH); νmax (thin film): 3469 (br, OH), 1760 (s, C=O); δH (CDCl3, 400MHz) 1.44 (3H, s, CH3), 1.45 (3H, s, CH3), 1.47 (3H, s, CH3), 1.51 (3H, s, CH3), 2.42 (1H, t, OH7, JOH,H7 = JOH,H7′ 5.5), 2.98 (1H, d, OH6, JOH, H6 5.3), 3.72–3.79 (2H, m, H6, H7), 3.83 (3H, s, OCH3), 3.84–3.87 (1H, m, H7′), 4.12 (1H, t, H5, J5,6 = J5,4 7.3), 4.26 (1H, dd, H4, J4,3 3.1, J4,5 7.3), 4.33 (1H, dd, H3, J3,4 3.1, J3,2 7.6), 4.70 (1H, d, H2, J2,3 7.6); δC (CDCl3, 100MHz) 26.0 (CH3), 26.6 (CH3), 26.7 (CH3), 27.4 (CH3), 52.6 (OCH3), 63.9 (C7), 74.7 (C4), 73.0 (C6), 75.5 (C2), 76.8 (C5), 78.4, 78.6 (C3 and C4), 110.0 (C(CH3)2), 111.6 (C(CH3)2), 171.4 (C1); m/z (ESI + ve): 343 ([M + Na]+, 100%).

3.4. 2,3:4,5-Di-O-Isopropylidene-d-glycero-d-ido-Heptitol 13

Sodium borohydride (334 mg, 8.80 mmol) was added into a solution of 12 (1.41 g, 4.40 mmol) in methanol (20 mL) at 0 °C, and the solution was stirred for 3 h at rt until TLC (ethyl acetate) showed the consumption of starting material (Rf 0.57) and the formation of a new product (Rf 0.37). Acetic acid (~0.5 mL) was added into the solution to adjust the pH to 7, and the solvent was removed in vacuo to obtain a crude product which was further purified by flash column chromatography (ethyl acetate/methanol, 50:1) to obtain the triol 13 as a white solid (1.20 g, 95%).
HRMS m/z (ESI + ve): found 315.1415 [M + Na]+, C13H24O7Na+ requires 315.1414; m.p. 92 °C–94 °C; [α]D20 + 64 (c, 0.68 in MeOH); νmax (thin film): 3389 (broad, OH); δH (CD3OD, 400MHz) 1.38 (3H, s, CH3), 1.40 (9H, s, 3 x CH3), 3.55 (1H, dd, H7, J7,6 6.3, Jgem 11.0), 3.60–3.53 (1H, m, H6), 3.65 (1H, dd, H1, J1,2 5.2, Jgem 11.9), 3.71 (1H, dd, H1′, J1′,2 4.0, Jgem 11.9), 3.73 (1H, dd, H7′, J7′,6 2.9, Jgem 11.0), 3.99 (1H, dd, H3, J3,4 1.5, J3,2 8.5), 4.03–4.05 (2H, m, H4, H5), 4.18 (1H, ddd, H2, J2,1′ 4.1, J2,1 5.2, J2,3 8.5); δC (CD3OD, 100MHz) 25.8 (2 x CH3), 26.2 (CH3), 26.3 (CH3), 61.7 (C1), 63.6 (C7), 73.8 (C6), 76.6, 78.5 (C4, C5), 77.4 (C3), 77.9 (C2), 108.9 (C(CH3)3), 109.2 (C(CH3)2); m/z (ESI + ve): 315 ([M + Na]+, 100%).

3.5. Methyl 2,3:4,5-Di-O-Isopropylidene-d-glycero-d-Iduronate 15 and Methyl 2,3:4,5-Di-O-Isopropylidene-d-glycero-d-Idonate 16

Silica gel-supported NaIO4 (4.50 g) was added portionwise to a vigorously stirred solution of 12 (791 mg, 2.47 mmol) in dichloromethane (30 mL). After 1 h, TLC analysis (cyclohexane/ethyl acetate, 1:1) showed no remaining starting material (Rf 0.19) and formation of a single product (Rf 0.70). The mixture was filtered and the silica gel was thoroughly washed with CH2Cl2 (4 × 30 mL). The solvents were removed in vacuo to afford the crude aldehyde 15 (630 mg, 89%). Then, sodium borohydride (20.9 mg, 1.36 mmol) was added to a solution of the crude aldehyde 15 in methanol (5 mL) at 0 °C. The reaction mixture was stirred at 0 °C for 1 h until TLC (cyclohexane/ethyl acetate, 1:1) indicated the formation of one major product (Rf 0.53) and a minor product (0.30). After acetic acid (~0.2 mL) was added into the reaction mixture to adjust pH to 7, ethyl acetate (3 × 10 mL) was used to extract the product and organic layer was dried (MgSO4), filtered and the solvent was removed to obtain a residue which was further purified by flash column chromatography (cyclohexane/ethyl acetate, 1:3) to obtain the major product 16 as a clear oil (410 mg, 57% 2 steps).
HRMS m/z (ESI + ve): found 343.1362 [M + Na]+, C14H24O8Na+ requires 343.1363; [α]D20 + 33 (c 1.02, CHCl3); νmax (thin film): 3495 (br, OH), 1759 (s, C=O); δH (CDCl3, 400MHz) 1.46 (3H, s, CH3), 1.47 (3H, s, CH3), 1.48 (3H, s, CH3), 1.50 (3H, s, CH3), 2.11 (1H, br-dd, OH6, JOH,H6′ 5.0, JOH,6 7.0), 3.71 (1H, ddd, H6, J6,5 4.0, J6,OH 7.3, Jgem 12.0), 3.82 (3H, s, OCH3), 3.88 (1H, dt, H6′, J6′,5 = J6′,OH 4.0, Jgem 12.0), 4.15 (1H, dd, H4, JH4,H3 3.2, JH4,H5 8.2), 4.21 (1H, dd, H3, J3,4 3.2, J3,2 7.5), 4.24 (1H, q, H5, J5,6 = J5,6′ 4.0, J5.4 8.2), 4.62 (1H, d, H2, J2,3 7.5), δC (CDCl3, 100MHz) 26.0 (CH3), 26.5 (CH3), 26.7 (CH3), 27.3 (CH3), 52.6 (OCH3), 61.7 (C6), 75.5 (C2), 76.2 (C4), 77.3, 77.7 (C3 and C5), 109.8 (C(CH3)2), 111.7 (C(CH3)2), 171.0 (C1); m/z (ESI + ve): 343 ([M + Na]+, 100%).

3.6. d-Idose 6

3.6.1. Method 1 (from 13)

Silica gel-supported NaIO4 (4.50 g) was added portionwise to a vigorously stirred solution of the triol 13 (668 mg, 2.29 mmol) in dichloromethane (30 mL). After 2 h, TLC analysis (ethyl acetate) showed no remaining starting material (Rf 0.31) and formation of one elongated spot (Rf 0.56–0.65). The reaction mixture was filtered and the silica gel was thoroughly washed with dichloromethane (4 × 30 mL). The solvents were removed in vacuo to afford the crude aldehyde 14 (600 mg, 100%), which was dissolved in water (20 mL) and treated with DOWEX® 50WX8-200 (~400 mg, prewashed with water). After stirring at rt for 24 h, TLC analysis (ethyl acetate) showed no remaining starting material and formation of a single product (baseline). The resin was filtered and washed with water. Removal of water in vacuo afforded D-idose 6 (400 mg, 97% from 13; 53% from 11) as a colorless syrup.
[α]D20 + 10.7 (c 0.55, water) (authentic sample: [α]D20 + 10.0 (c 0.80, water), [1] [α]D17 + 13.7 (c 2.47, water)], 1H, and 13C NMR are identical with those of authentic sample; HPLC showed purity 85%; After HPLC purification, purity reached to 100%; m/z (ESI + ve): 203 ([M + Na]+, 100%) HRMS m/z (ESI + ve): found 203.0524 ([M + Na]+), C6H12O6Na+ requires 203.0526.

3.6.2. Method 2 (from 16)

Diisobutylaluminum hydride (1.0 M in toluene, 4.05 mL, 4.05 mmol) was added dropwise to a solution of 16 (391 mg, 1.35 mmol) in dichloromethane (5 mL) at −78 °C. The reaction mixture was stirred at −78 °C for 2 h until TLC analysis (ethyl acetate) showed no remaining starting material (Rf 0.31) and the formation of one spot (Rf 0.56–0.65). Mass spectrometry also showed the formation of desired product peak ([M + MeOH + Na]+ 315) and disappearance of starting material peak ([M + Na]+ 313). The mixture was diluted with ethyl acetate (10 mL) and potassium sodium tartrate (sat., aq., 2 mL) was added. After stirring for 8 h, the reaction mixture was diluted with water (10 mL) and extracted with ethyl acetate (3 × 10 mL). The organic phase was dried (MgSO4) and filtered; then, the solvent was removed in vacuo to obtain an oil that was further purified by flash chromatography (cyclohexane/ethyl acetate 7:1 to 3:1) to yield crude aldehyde 14 as a syrup (267 mg, 76%). The crude aldehyde 14 was dissolved in water (20 mL) was treated with DOWEX® 50WX8-200 (~300 mg, prewashed with water). After 24 h, TLC analysis (ethyl acetate) showed no remaining starting material and formation of a single product (baseline). The resin was filtered and washed with water. Removal of water in vacuo afforded d-idose 6 (185 mg, 76% from 16; 21% from 11) as a colorless syrup.
[α]D20 + 11.7 (c 0.65, water, eq), 1H and 13C NMR were identical to those produced by Method 1 above.

4. Conclusions

Neither d-idose nor any d-ido-furanosides/d-ido-pyranosides have been reported as natural products, so it may be that such idosides attached to steroids or alkaloids would not be subject to enzymic hydrolysis and provide a novel set of glycosylated—but enzymically stable—bioactive compounds. Repetition of the isolation of the pure cadmium salt of the ido-heptonate 2 by the method of Isbell and Frush [21] will surely be achieved by other workers and would allow the preparation in three efficient steps of the triol diacetonide 13 as a stable crystalline precursor for d-idose, merely by subsequent periodate cleavage and mild acid hydrolysis. Although the preparation from the gluco-heptononic acid 3 in this paper is rather longer, it provides practical multigram scalable access to a stable form of d-idose suitable either for investigation of the properties of the free sugar or the investigation of d-idosides of oligosaccharides and pharmacophores. Precursors for d-iduronic and d-idonic acids are also easily prepared. Even for such densely functionalized compounds with seven adjacent oxygen groups, acetonide is the only protection needed, as it is cheap, selective and often crystalline.

Supplementary Materials

Supplementary material of 1H and 13C NMR spectra is provided online.

Author Contributions

Data curation, K.I.; Investigation, Z.L., S.F.J., and A.Y.; Methodology, Z.L., S.F.J., A.Y., and M.R.W.; Project administration, K.I. and G.W.J.F.; Supervision, S.F.J., M.R.W., and G.W.J.F.; Writing—original draft, Z.L., S.F.J., and G.W.J.F.; Writing—review & editing, Z.L., S.F.J., A.Y., M.R.W., K.I., and G.W.J.F.

Funding

This work was supported in part by supported in part by the Regional Innovation Ecosystems from the Ministry of Education, Culture, Sports, Science and Technology Japan (KI, AY).

Acknowledgments

We are grateful for a sample of Seqlene-ES provided as a gift by Hallstar Engineering of Chicago, IL.

Conflicts of Interest

The authors declare no conflicts of interest.

References and Note

  1. Izumori, K. Izumoring: A strategy for bioproduction of all hexoses. J. Biotechnol. 2006, 124, 717–722. [Google Scholar] [CrossRef] [PubMed]
  2. Granstrom, T.B.; Takata, G.; Tokuda, M.; Izumori, K. Izumoring: A novel and complete strategy for bioproduction of rare sugars. J. Biosci. Bioengineer. 2004, 97, 89–94. [Google Scholar] [CrossRef]
  3. Chen, W.; Zhang, W.; Zhang, T.; Jiang, B.; Mu, W. Advances in the enzymatic production of L-hexoses. Appl. Microbiol. Biotechnol. 2016, 100, 6971–6979. [Google Scholar] [CrossRef] [PubMed]
  4. Pastinen, O.; Schoemaker, H.E.; Leisola, M. Xylose Isomerase Catalysed Novel Hexose Epimerization. Biocatal. Biotransform. 1999, 17, 393–400. [Google Scholar] [CrossRef]
  5. Mu, W.; Lina Yu, L.; Zhang, W.; Zhang, T.; Bo Jiang, B. Isomerases for biotransformation of d-hexoses. Appl. Microbiol. Biotechnol. 2015, 99, 6571–6584. [Google Scholar] [CrossRef]
  6. Dromowicz, M.; Koll, P. A convenient synthesis of d-idose. Carbohydr. Res. 1998, 308, 169–171. [Google Scholar] [CrossRef]
  7. Sorkin, E.; Reichstein, T. d-Idose aus d(+)-Galaktose. Helv. Chim. Acta. 1945, 28, 1–17. [Google Scholar] [CrossRef]
  8. Davies, S.G.; Nicholson, R.L.; Smith, A.D. SuperQuat glycolate aldol approach to the asymmetric synthesis of hexose monosaccharides. Org. Biomol. Chem. 2005, 3, 348–359. [Google Scholar] [CrossRef]
  9. Hudson, C.S.; Hartley, O.; Purves, C.B. A Convenient Modification of the Kiliani synthesis of Higher Carbon Acids (or their Lactones) from Reducing Sugars. J. Am. Chem. Soc. 1934, 56, 1248–1249. [Google Scholar] [CrossRef]
  10. Hudson, C.S. The Fischer cyanohydrin synthesis and the configurations of higher-carbon sugars and alcohols. Adv. Carbohydr. Chem. 1945, 1, 1–36. [Google Scholar]
  11. An recent quotation for delivery to Oxford of 50 kg of the Na salt of 3 was around £8.50 per kg.
  12. Seqlene products are available from Hallstar Engineering of Chicago, IL, USA. Available online: https://www.hallstarindustrial.com/product/seqlene-es-50 (accessed on 18 October 2019).
  13. Zhong, Y.-L.; Shing, T.K.M. Efficient and facile glycol cleavage oxidation Checked 18/10/2019using improved silica gel-supported sodium metaperiodate. J. Org. Chem. 1997, 62, 2622–2624. [Google Scholar] [CrossRef] [PubMed]
  14. Martinez, R.F.; Liu, Z.; Glawar, A.F.G.; Yoshihara, A.; Izumori, K.; Fleet, G.W.J.; Jenkinson, S.F. Short and sweet: d-glucose to l-glucose and l-glucuronic acid. Angew. Chem. Int. Edit. 2014, 53, 1160–1162. [Google Scholar] [CrossRef] [PubMed]
  15. Liu, Z.; Yoshihara, A.; Jenkinson, S.F.; Wormald, M.R.; Estevez, R.J.; Fleet, G.W.J.; Izumori, K. Triacetonide of Glucoheptonic Acid in the Scalable Syntheses of d-Gulose, 6-Deoxy-d-gulose, l-Glucose, 6-Deoxy-l-glucose and Related Sugars. Org. Lett. 2016, 18, 4112–4115. [Google Scholar] [CrossRef] [PubMed]
  16. Brimacombe, J.S.; Tucker, L.C.N. Reaction of d-glycero-d-gulo-heptono-1,4-lactone with acetone. Carbohydr. Res. 1966, 2, 341–348. [Google Scholar] [CrossRef]
  17. Glawar, A.F.G.; Jenkinson, S.F.; Newberry, S.J.; Thompson, A.L.; Nakagawa, S.; Yoshihara, A.; Akimitsu, K.; Izumori, K.; Butters, T.D.; Kato, A.; et al. An approach to 8 stereoisomers of homonojirimycin from d-glucose via kinetic & thermodynamic azido-1,4-lactones. Org. Biomol. Chem. 2013, 11, 6886–6899. [Google Scholar]
  18. Bell, A.A.; Pickering, L.; Finn, M.; de la Fuente, C.; Krulle, T.M.; Davis, B.G.; Fleet, G.W.J. Caesium Trifluoroacetate Displacement of Triflates in the Inversion of Alcohols. Synlett 1997, 1077–1080. [Google Scholar] [CrossRef]
  19. Bichard, C.J.F.; Brandstetter, T.W.; Estevez, J.C.; Fleet, G.W.J.; Hughes, D.J.; Wheatley, J.R. Complex tetrahydrofurans from carbohydrate lactones: Easy access to epimeric C-glycosides of glucofuranose from d-glycero-d-gulo-heptono-1,4-lactone. J. Chem. Soc. Perkin Trans. 1996, 1, 2151–2156. [Google Scholar] [CrossRef]
  20. Clayton, J.P.; Oliver, R.S.; Rogers, N.H.; King, T.J. Rearrangement of pseudomonic acid A in acid and basic solution. J. Chem. Soc. Perkin Trans. 1979, 1, 838–846. [Google Scholar] [CrossRef]
  21. Isbell, H.S.; Frush, H.L. Cadmium d-glycero-d-ido-heptonate cadmium chloride monohydrate: A convenient intermediate for isolating d-glycero-d-ido-heptonic acid. Carbohydr. Res. 1971, 20, 176–178. [Google Scholar] [CrossRef]
  22. Snyder, J.R.; Serianni, A.S. d-Idose, A one- and two-dimensional NMR investigation of solution composition and conformation. J. Org. Chem. 1986, 51, 2694–2702. [Google Scholar] [CrossRef]
  23. Sorkin, E.; Reichstein, T. d-Idose aus d-Galaktose (Nachtrag). Helv. Chim. Acta. 1945, 28, 662–664. [Google Scholar] [CrossRef]
Sample Availability: Samples of the compounds are not available from the authors.
Scheme 1. Strategy for the synthesis of d-iduronic 4 and d-idonic 5 acids, and d-idose 6.
Scheme 1. Strategy for the synthesis of d-iduronic 4 and d-idonic 5 acids, and d-idose 6.
Molecules 24 03758 sch001
Scheme 2. (i) Me2C(OMe)2, HCl, MeOH, reflux, 2 h (54%) [14]; (ii) MeOH, H2SO4, (86%) [14]; (iii) Me2CO, H2SO4 (75%) [16]; (iv) (CF3SO2)2O, pyridine, THF; then CF3CO2Na, DMF (81%) [19]; (v) Me2C(OMe)2, HCl, MeOH, reflux, 2 h (94%); (vi) MeCO2H:H2O:MeOH, 2:1:3, 40 °C, 5.5 h (61%).
Scheme 2. (i) Me2C(OMe)2, HCl, MeOH, reflux, 2 h (54%) [14]; (ii) MeOH, H2SO4, (86%) [14]; (iii) Me2CO, H2SO4 (75%) [16]; (iv) (CF3SO2)2O, pyridine, THF; then CF3CO2Na, DMF (81%) [19]; (v) Me2C(OMe)2, HCl, MeOH, reflux, 2 h (94%); (vi) MeCO2H:H2O:MeOH, 2:1:3, 40 °C, 5.5 h (61%).
Molecules 24 03758 sch002
Scheme 3. (i) NaBH4, MeOH, 0 °C, 3 h (95%); (ii) NaIO4, CH2Cl2, rt, 2 h (100%); (iii) DOWEX® 50WX8-200, 24 h (97%) (iv) NaIO4, CH2Cl2, rt, 1 h (89%); (v) NaBH4, MeOH, 0 °C, 1 h (63%); (vi) DIBALH, CH2Cl2, −78 °C, 2 h; then DOWEX® 50WX8-200, 24 h (76%).
Scheme 3. (i) NaBH4, MeOH, 0 °C, 3 h (95%); (ii) NaIO4, CH2Cl2, rt, 2 h (100%); (iii) DOWEX® 50WX8-200, 24 h (97%) (iv) NaIO4, CH2Cl2, rt, 1 h (89%); (v) NaBH4, MeOH, 0 °C, 1 h (63%); (vi) DIBALH, CH2Cl2, −78 °C, 2 h; then DOWEX® 50WX8-200, 24 h (76%).
Molecules 24 03758 sch003

Share and Cite

MDPI and ACS Style

Liu, Z.; Jenkinson, S.F.; Yoshihara, A.; Wormald, M.R.; Izumori, K.; Fleet, G.W.J. d-Idose, d-Iduronic Acid, and d-Idonic Acid from d-Glucose via Seven-Carbon Sugars. Molecules 2019, 24, 3758. https://doi.org/10.3390/molecules24203758

AMA Style

Liu Z, Jenkinson SF, Yoshihara A, Wormald MR, Izumori K, Fleet GWJ. d-Idose, d-Iduronic Acid, and d-Idonic Acid from d-Glucose via Seven-Carbon Sugars. Molecules. 2019; 24(20):3758. https://doi.org/10.3390/molecules24203758

Chicago/Turabian Style

Liu, Zilei, Sarah F. Jenkinson, Akihide Yoshihara, Mark R. Wormald, Ken Izumori, and George W. J. Fleet. 2019. "d-Idose, d-Iduronic Acid, and d-Idonic Acid from d-Glucose via Seven-Carbon Sugars" Molecules 24, no. 20: 3758. https://doi.org/10.3390/molecules24203758

APA Style

Liu, Z., Jenkinson, S. F., Yoshihara, A., Wormald, M. R., Izumori, K., & Fleet, G. W. J. (2019). d-Idose, d-Iduronic Acid, and d-Idonic Acid from d-Glucose via Seven-Carbon Sugars. Molecules, 24(20), 3758. https://doi.org/10.3390/molecules24203758

Article Metrics

Back to TopTop