Line Scan Raman Microspectroscopy for Label-Free Diagnosis of Human Pituitary Biopsies
Abstract
1. Introduction
2. Results and Discussion
2.1. Raman Spectral Analysis
2.2. Line Scan Raman Microspectroscopy Image Analysis
2.2.1. Line Scan Raman Microspectroscopy Images
2.2.2. Texture Analysis with Grey Level Cooccurrence Matrices
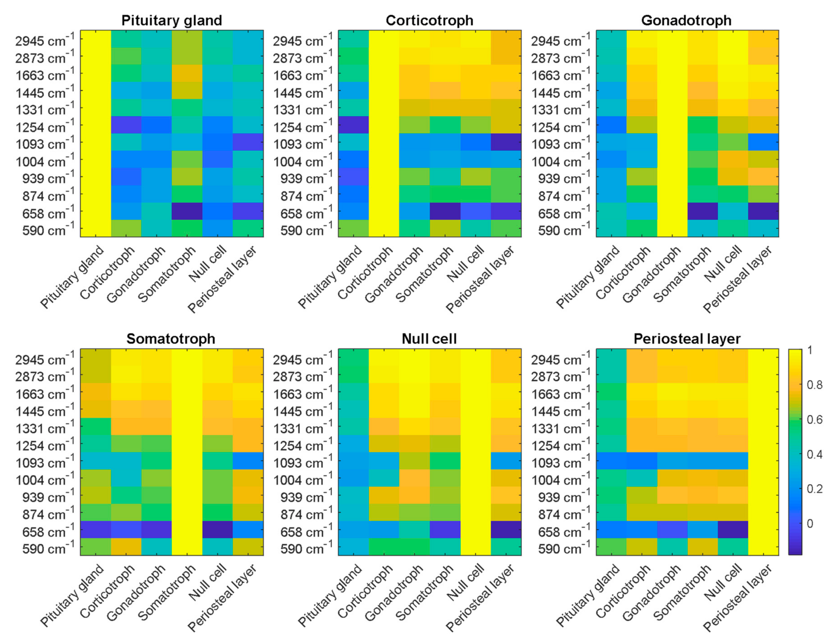
2.2.3. Image Analysis with Correlation Coefficients
3. Materials and Methods
3.1. Pituitary Tissue and Ethics
3.2. Line Scan Raman Microspectroscopy System
3.3. Raman Spectral Analysis
3.4. LSRM Image Visualization and Analysis
4. Conclusions
Author Contributions
Funding
Acknowledgments
Conflicts of Interest
References
- Melmed, S. Pathogenesis of pituitary tumors. Nat. Rev. Endocrinol. 2011, 7, 257–266. [Google Scholar] [CrossRef] [PubMed]
- Scheithauer, B.W.; Kovacs, K.T.; Laws, E.R.; Randall, R.V. Pathology of invasive pituitary tumors with special reference to functional classification. J. Neurosurg. 1986, 65, 733–744. [Google Scholar] [CrossRef] [PubMed]
- Ezzat, S.; Asa, S.L.; Couldwell, W.T.; Barr, C.E.; Dodge, W.E.; Vance, M.L.; McCutcheon, I.E. The prevalence of pituitary adenomas: A systematic review. Cancer 2004, 101, 613–619. [Google Scholar] [CrossRef] [PubMed]
- Asa, S.L.; Ezzat, S. The Pathogenesis of Pituitary Tumors. Annu. Rev. Pathol. Mech. Dis. 2009, 4, 97–126. [Google Scholar] [CrossRef] [PubMed]
- Micko, A.; Oberndorfer, J.; Weninger, W.J.; Vila, G.; Höftberger, R.; Wolfsberger, S.; Knosp, E. Challenging Knosp high-grade pituitary adenomas. J. Neurosurg. 2019, 1–8. [Google Scholar] [CrossRef] [PubMed]
- Cordero, E.; Latka, I.; Matthäus, C.; Schie, I.W.; Popp, J. In-vivo Raman spectroscopy: From basics to applications. J. Biomed. Opt. 2018, 23, 1. [Google Scholar] [CrossRef] [PubMed]
- Choo-Smith, L.-P.; Edwards, H.G.M.; Endtz, H.P.; Kros, J.M.; Heule, F.; Barr, H.; Robinson, J.S.; Bruining, H.A.; Puppels, G.J. Medical applications of Raman spectroscopy: From proof of principle to clinical implementation. Biopolymers 2002, 67, 1–9. [Google Scholar] [CrossRef]
- Austin, L.A.; Osseiran, S.; Evans, C.L. Raman technologies in cancer diagnostics. Analyst 2016, 141, 476–503. [Google Scholar] [CrossRef]
- Jermyn, M.; Desroches, J.; Aubertin, K.; St-Arnaud, K.; Madore, W.-J.; De Montigny, E.; Guiot, M.-C.; Trudel, D.; Wilson, B.C.; Petrecca, K.; et al. A review of Raman spectroscopy advances with an emphasis on clinical translation challenges in oncology. Phys. Med. Biol. 2016, 61, 370–400. [Google Scholar] [CrossRef]
- Bovenkamp, D.; Sentosa, R.; Rank, E.; Erkkilä, M.T.; Placzek, F.; Püls, J.; Drexler, W.; Leitgeb, R.A.; Garstka, N.; Shariat, S.F.; et al. Combination of High-Resolution Optical Coherence Tomography and Raman Spectroscopy for Improved Staging and Grading in Bladder Cancer. Appl. Sci. 2018, 8, 2371. [Google Scholar] [CrossRef]
- Ashok, P.C.; Praveen, B.B.; Bellini, N.; Riches, A.; Dholakia, K.; Herrington, C.S. Multi-modal approach using Raman spectroscopy and optical coherence tomography for the discrimination of colonic adenocarcinoma from normal colon. Biomed. Opt. Express 2013, 4, 2179. [Google Scholar] [CrossRef]
- Feng, X.; Moy, A.J.; Nguyen, H.T.M.; Zhang, Y.; Fox, M.C.; Sebastian, K.R.; Reichenberg, J.S.; Markey, M.K.; Tunnell, J.W. Raman Spectroscopy Reveals Biophysical Markers in Skin Cancer Surgical Margins; Mahadevan-Jansen, A., Petrich, W., Eds.; SPIE: San Francisco, CA, USA, 2018; p. 9. [Google Scholar]
- Zhou, Y.; Liu, C.-H.; Sun, Y.; Pu, Y.; Boydston-White, S.; Liu, Y.; Alfano, R.R. Human brain cancer studied by resonance Raman spectroscopy. J. Biomed. Opt. 2012, 17, 116021. [Google Scholar] [CrossRef] [PubMed]
- Qi, J.; Shih, W.-C. Performance of line-scan Raman microscopy for high-throughput chemical imaging of cell population. Appl. Opt. 2014, 53, 2881. [Google Scholar] [CrossRef] [PubMed]
- Palonpon, A.F.; Ando, J.; Yamakoshi, H.; Dodo, K.; Sodeoka, M.; Kawata, S.; Fujita, K. Raman and SERS microscopy for molecular imaging of live cells. Nat. Protoc. 2013, 8, 677–692. [Google Scholar] [CrossRef] [PubMed]
- Ando, J.; Palonpon, A.F.; Sodeoka, M.; Fujita, K. High-speed Raman imaging of cellular processes. Curr. Opin. Chem. Biol. 2016, 33, 16–24. [Google Scholar] [CrossRef] [PubMed]
- Schlücker, S.; Schaeberle, M.D.; Huffman, S.W.; Levin, I.W. Raman Microspectroscopy: A Comparison of Point, Line, and Wide-Field Imaging Methodologies. Analy. Chem. 2003, 75, 4312–4318. [Google Scholar] [CrossRef]
- Ilchenko, O.; Pilgun, Y.; Makhnii, T.; Slipets, R.; Reynt, A.; Kutsyk, A.; Slobodianiuk, D.; Koliada, A.; Krasnenkov, D.; Kukharskyy, V. High-speed line-focus Raman microscopy with spectral decomposition of mouse skin. Vib. Spectr. 2016, 83, 180–190. [Google Scholar] [CrossRef]
- Lin, S.-Y.; Li, M.-J.; Cheng, W.-T. FT-IR and Raman vibrational microspectroscopies used for spectral biodiagnosis of human tissues. Spectroscopy 2007, 21, 1–30. [Google Scholar] [CrossRef]
- Banas, A.; Banas, K.; Furgal-Borzych, A.; Kwiatek, W.M.; Pawlicki, B.; Breese, M.B.H. Pituitary gland under infrared light - in search of representative spectrum for homogenous regions. Analyst 2015, 140, 2156–2163. [Google Scholar] [CrossRef]
- Steiner, G.; Mackenroth, L.; Geiger, K.D.; Stelling, A.; Pinzer, T.; Uckermann, O.; Sablinskas, V.; Schackert, G.; Koch, E.; Kirsch, M. Label-free differentiation of human pituitary adenomas by FT-IR spectroscopic imaging. Anal. Bioanal. Chem. 2012, 403, 727–735. [Google Scholar] [CrossRef]
- Anna, I.; Bartosz, P.; Lech, P.; Halina, A. Novel strategies of Raman imaging for brain tumor research. Oncotarget 2017, 8, 85290–85310. [Google Scholar] [CrossRef] [PubMed]
- Duraipandian, S.; Zheng, W.; Ng, J.; Low, J.J.H.; Ilancheran, A.; Huang, Z. Simultaneous Fingerprint and High-Wavenumber Confocal Raman Spectroscopy Enhances Early Detection of Cervical Precancer In Vivo. Anal. Chem. 2012, 84, 5913–5919. [Google Scholar] [CrossRef] [PubMed]
- Krafft, C.; Sobottka, S.B.; Schackert, G.; Salzer, R. Near infrared Raman spectroscopic mapping of native brain tissue and intracranial tumors. Analyst 2005, 130, 1070. [Google Scholar] [CrossRef] [PubMed]
- Talari, A.C.S.; Movasaghi, Z.; Rehman, S.; Rehman, I. Raman Spectroscopy of Biological Tissues. Appl. Spectrosc. Rev. 2015, 50, 46–111. [Google Scholar] [CrossRef]
- Bocklitz, T.; Walter, A.; Hartmann, K.; Rösch, P.; Popp, J. How to pre-process Raman spectra for reliable and stable models? Anal. Chim. Acta 2011, 704, 47–56. [Google Scholar] [CrossRef] [PubMed]
- Cansell, F.; Petitet, J.P.; Fabre, D. Raman spectroscopy of DMSO and DMSO-H20 mixtures (32 mol% of DMSO) up to 20 GPa. Phys. B 1992, 182, 195–200. [Google Scholar] [CrossRef]
- Hutsebaut, D.; Vandenabeele, P.; Moens, L. Evaluation of an accurate calibration and spectral standardization procedure for Raman spectroscopy. Analyst 2005, 130, 1204. [Google Scholar] [CrossRef]
- Lieber, C.A.; Jansen, A. Automated Method for Subtraction of Fluorescence from Biological Raman Spectra. Appl. Spectr. 2003, 57, 1363–1367. [Google Scholar] [CrossRef]
- Savitzky, A.; Golay, M.J.E. Smoothing and Differentiation of Data by Simplified Least Squares Procedures. Anal. Chem. 1964, 36, 1627–1639. [Google Scholar] [CrossRef]
- Bonnier, F.; Byrne, H.J. Understanding the molecular information contained in principal component analysis of vibrational spectra of biological systems. Analyst 2012, 137, 322–332. [Google Scholar] [CrossRef]
- Li, X.; Yang, T.; Li, S.; Wang, D.; Song, Y.; Zhang, S. Raman spectroscopy combined with principal component analysis and k nearest neighbour analysis for non-invasive detection of colon cancer. Laser Phys. 2016, 26, 035702. [Google Scholar] [CrossRef]
- Kaur, J.; Sharma, R. A comparison of artificial neural networks and k-nearest neighbor classifiers in the off-lie signature verification. Int. J. Adv. Res. Comput. Sci. 2017, 8, 380–383. [Google Scholar] [CrossRef]
- Biau, G.; Devroye, L. Lectures on the Nearest Neighbor Method; Springer Series in the Data Sciences; Springer International Publishing: Cham, Switzerland, 2015; ISBN 978-3-319-25386-2. [Google Scholar]
- Shakhnarovich, G.; Darrell, T.; Indyk, P. Nearest-Neighbor Methods in Learning and Vision: Theory and Practice; Neural information processing series; MIT Press: Cambridge, MA, USA, 2005; ISBN 978-0-262-19547-8. [Google Scholar]
- Haralick, R.M.; Shanmugam, K.; Dinstein, I. Textural Features for Image Classification. IEEE Trans. Syst. 1973, SMC-3, 610–621. [Google Scholar] [CrossRef]
- Tu, B.; Zhang, X.; Kang, X.; Zhang, G.; Wang, J.; Wu, J. Hyperspectral Image Classification via Fusing Correlation Coefficient and Joint Sparse Representation. IEEE Geosci. Remote Sens. Lett. 2018, 15, 340–344. [Google Scholar] [CrossRef]








| Raman Shift [cm−1] | Vibrational Mode * | Assignment |
|---|---|---|
| 590 | ν(PO4) | Phosphatidylinositol |
| 658 | τ(C-C) | Phenylalanine, tyrosine, proteins |
| 874 | δd(CCH), ν(C-C) | Carbohydrates, glycogen, protein and collagen |
| 939 | ν(C-C) | Protein, collagen backbone |
| 1004 | ν(C-C) aromatic ring breathing | Phenylalanine |
| 1093 | ν(PO2-), ν(C-C), ν(C-N) | Nucleic acids, phospholipids, glycogen, collagen |
| 1254 | Amide III (mix of ν(C-N) and δ(N-H)) | α-helix, protein, collagen |
| 1331 | τ(CH3/CH2), ω(CH3/CH2) | Tryptophan, protein, collagen |
| 1445 | δ(CH2/CH3) | Fatty acids, protein, lipids |
| 1663 | ν(C=O), ν(C=C), Amide I | Unsaturated fatty acids, α-helix, protein, lipids |
| 2873 | ν(CH2) | Lipids |
| 2945 | ν(CH3) | Protein, lipids |
| Pituitary Gland Tissue | Number of Biopsies | Accuracy of kNN Classification |
|---|---|---|
| Corticotroph | 3 | 84% |
| Gonadotroph | 5 | 88% |
| Somatotroph | 2 | 99% |
| Plurihormonal | 3 | 91% |
| Null cell | 6 | 91% |
| Pituitary gland | 8 | 95% |
| Periosteal layer | 1 | 100% |
© 2019 by the authors. Licensee MDPI, Basel, Switzerland. This article is an open access article distributed under the terms and conditions of the Creative Commons Attribution (CC BY) license (http://creativecommons.org/licenses/by/4.0/).
Share and Cite
Bovenkamp, D.; Micko, A.; Püls, J.; Placzek, F.; Höftberger, R.; Vila, G.; Leitgeb, R.; Drexler, W.; Andreana, M.; Wolfsberger, S.; et al. Line Scan Raman Microspectroscopy for Label-Free Diagnosis of Human Pituitary Biopsies. Molecules 2019, 24, 3577. https://doi.org/10.3390/molecules24193577
Bovenkamp D, Micko A, Püls J, Placzek F, Höftberger R, Vila G, Leitgeb R, Drexler W, Andreana M, Wolfsberger S, et al. Line Scan Raman Microspectroscopy for Label-Free Diagnosis of Human Pituitary Biopsies. Molecules. 2019; 24(19):3577. https://doi.org/10.3390/molecules24193577
Chicago/Turabian StyleBovenkamp, Daniela, Alexander Micko, Jeremias Püls, Fabian Placzek, Romana Höftberger, Greisa Vila, Rainer Leitgeb, Wolfgang Drexler, Marco Andreana, Stefan Wolfsberger, and et al. 2019. "Line Scan Raman Microspectroscopy for Label-Free Diagnosis of Human Pituitary Biopsies" Molecules 24, no. 19: 3577. https://doi.org/10.3390/molecules24193577
APA StyleBovenkamp, D., Micko, A., Püls, J., Placzek, F., Höftberger, R., Vila, G., Leitgeb, R., Drexler, W., Andreana, M., Wolfsberger, S., & Unterhuber, A. (2019). Line Scan Raman Microspectroscopy for Label-Free Diagnosis of Human Pituitary Biopsies. Molecules, 24(19), 3577. https://doi.org/10.3390/molecules24193577

