Reactive Conductive Ink Capable of In Situ and Rapid Synthesis of Conductive Patterns Suitable for Inkjet Printing
Abstract
1. Introduction
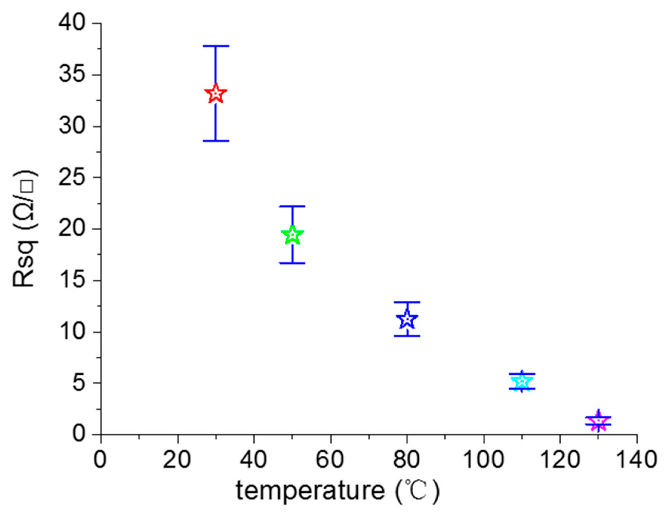
2. Results and Discussion
3. Experimental Approach
4. Conclusions
Supplementary Materials
Author Contributions
Funding
Conflicts of Interest
References
- Mou, Y.; Zhang, Y.R.; Cheng, H.; Peng, Y.; Chen, M.X. Fabrication of highly conductive and flexible printed electronics by low temperature sintering reactive silver ink. Appl. Surf. Sci. 2018, 459, 249–256. [Google Scholar] [CrossRef]
- Valeton, J.J.P.; Hermans, K.; Bastiaansen, C.W.M.; Broer, D.J.; Perelaer, J.; Schubert, U.S.; Crawford, G.P.; Smith, P.J. Room temperature preparation of conductive silver features using spin-coating and inkjet printing. J. Mater. Chem. 2010, 20, 543–546. [Google Scholar] [CrossRef]
- Peng, M.Y.; Lv, D.W.; Xiong, D.; Shen, W.F.; Song, W.J.; Tan, R.Q. Facile Preparation of a ZnO/SnO2-Based Gas Sensor Array by Inkjet Printing for Gas Analysis with BPNN. J. Electron. Mater. 2019, 48, 2373–2381. [Google Scholar] [CrossRef]
- Timsorn, K.; Wongchoosuk, C. Inkjet printing of room-temperature gas sensors for identification of formalin contamination in squids. J. Mater. Sci. Mater. Electron. 2019, 30, 4782–4791. [Google Scholar] [CrossRef]
- Sundriyal, P.; Bhattacharya, S. Inkjet-Printed Electrodes on A4 Paper Substrates for Low-Cost, Disposable, and Flexible Asymmetric Supercapacitors. ACS Appl. Mater. Interfaces. 2017, 9, 38507–38521. [Google Scholar] [CrossRef] [PubMed]
- Delekta, S.S.; Smith, A.D.; Li, J.T.; Ostling, M. Inkjet printed highly transparent and flexible graphene micro-supercapacitors. Nanoscale 2017, 9, 6998–7005. [Google Scholar] [CrossRef] [PubMed]
- Matavz, A.; Malic, B.; Bobnar, V. Inkjet printing of metal-oxide-based transparent thin-film capacitors. J. Appl. Phys. 2017, 122, 214102. [Google Scholar] [CrossRef]
- Tao, R.Q.; Ning, H.L.; Chen, J.Q.; Zou, J.H.; Fang, Z.Q.; Yang, C.G.; Zhou, Y.C.; Zhang, J.H.; Yao, R.H.; Peng, J.B. Inkjet Printed Electrodes in Thin Film Transistors. IEEE J. Electron. Devices. Soc. 2018, 6, 774–790. [Google Scholar] [CrossRef]
- Hu, H.L.; Zhu, J.G.; Chen, M.S.; Guo, T.L.; Li, F.S. Inkjet-printed p-type nickel oxide thin-film transistor. Appl. Surf. Sci. 2018, 441, 295–302. [Google Scholar] [CrossRef]
- Villani, F.; Vacca, P.; Nenna, G.; Valentino, O.; Burrasca, G.; Fasolino, T.; Minarini, C.; della Sala, D. Inkjet Printed Polymer Layer on Flexible Substrate for OLED Applications. J. Phys. Chem. C 2009, 113, 13398–13402. [Google Scholar] [CrossRef]
- Olivier, S.; Ishow, E.; Della-Gatta, S.M.; Maindron, T. Inkjet deposition of a hole-transporting small molecule to realize a hybrid solution-evaporation green top-emitting OLED. Org. Electron. 2017, 49, 24–32. [Google Scholar] [CrossRef]
- Sharif, A.; Ouyang, J.; Yang, F.; Chattha, H.T.; Imran, M.A.; Alomainy, A.; Abbasi, Q.H. Low-Cost Inkjet-Printed UHF RFID Tag-Based System for Internet of Things Applications Using Characteristic Modes. IEEE Internet Things J. 2019, 6, 3962–3975. [Google Scholar] [CrossRef]
- Lee, Y.H.; Lim, E.H.; Bong, F.L.; Chung, B.K. Bowtie-Shaped Folded Patch Antenna with Split Ring Resonators for UHF RFID Tag Design. IEEE Trans. Antennas Propag. 2019, 67, 4212–4217. [Google Scholar] [CrossRef]
- Walker, S.B.; Lewis, J.A. Reactive Silver Inks for Patterning High-Conductivity Features at Mild Temperatures. J. Am. Chem. Soc. 2012, 134, 1419–1421. [Google Scholar] [CrossRef] [PubMed]
- Yin, Y.D.; Li, Z.Y.; Zhong, Z.Y.; Gates, B.; Xia, Y.N.; Venkateswaran, S. Synthesis and characterization of stable aqueous dispersions of silver nanoparticles through the Tollens process. J. Mater. Chem. 2002, 12, 522–527. [Google Scholar] [CrossRef]
- Ghosale, A.; Shrivas, K.; Shankar, R.; Ganesan, V. Low-Cost Paper Electrode Fabricated by Direct Writing with Silver Nanoparticle-Based Ink for Detection of Hydrogen Peroxide in Wastewater. Anal. Chem. 2017, 89, 776–782. [Google Scholar] [CrossRef]
- Wang, Z.H.; Wang, W.; Jiang, Z.K.; Yu, D. Low temperature sintering nano-silver conductive ink printed on cotton fabric as printed electronics. Prog. Org. Coat. 2016, 101, 604–611. [Google Scholar] [CrossRef]
- Li, R.Z.; Hu, A.M.; Bridges, D.; Zhang, T.; Oakes, K.D.; Peng, R.; Tumuluri, U.; Wu, Z.L.; Feng, Z.L. Robust Ag nanoplate ink for flexible electronics packaging. Nanoscale 2015, 7, 7368–7377. [Google Scholar] [CrossRef]
- Kastner, J.; Faury, T.; Ausserhuber, H.M.; Obermuller, T.; Leichtfried, H.; Haslinger, M.J.; Liftinger, E.; Innerlohinger, J.; Gnatiuk, I.; Holzinger, D.; et al. Silver-based reactive ink for inkjet-printing of conductive lines on textiles. Microelectron. Eng. 2017, 176, 84–88. [Google Scholar] [CrossRef]
- Vaseem, M.; McKerricher, G.; Shamim, A. Robust Design of a Particle-Free Silver-Organo-Complex Ink with High Conductivity and Inkjet Stability for Flexible Electronics. ACS Appl. Mater. Interfaces 2016, 8, 177–186. [Google Scholar] [CrossRef]
- Bai, Y.; Williams, C.B. Binder jetting additive manufacturing with a particle-free metal ink as a binder precursor. Mater. Des. 2018, 147, 146–156. [Google Scholar] [CrossRef]
- Hu, M.J.; Cai, X.B.; Guo, Q.Q.; Bian, B.; Zhang, T.Y.; Yang, J. Direct Pen Writing of Adhesive Particle-Free Ultrahigh Silver Salt-Loaded Composite Ink for Stretchable Circuits. ACS Nano 2016, 10, 396–404. [Google Scholar] [CrossRef] [PubMed]
- Black, K.; Singh, J.; Mehta, D.; Sung, S.; Sutcliffe, C.J.; Chalker, P.R. Silver Ink Formulations for Sinter-free Printing of Conductive Films. Sci. Rep. 2016, 6, 20814. [Google Scholar] [CrossRef] [PubMed]
- Jung, K.H.; Kim, J.; Park, B.G.; Lee, C.J.; Sung, H.J.; Jung, S.B. Fabrication of Ag circuit embedded in PDMS substrate and its mechanical and electrical property with variations of photonic energy. J. Alloys Compd. 2018, 748, 898–904. [Google Scholar] [CrossRef]
- Jahn, S.F.; Blaudeck, T.; Baumann, R.R.; Jakob, A.; Ecorchard, P.; Ruffer, T.; Lang, H.; Schmidt, P. Inkjet printing of conductive silver patterns by using the first aqueous particle-free MOD ink without additional stabilizing ligands. Chem. Mater. 2010, 22, 3067–3071. [Google Scholar] [CrossRef]
- Zope, K.R.; Cormier, D.; Williams, S.A. Reactive Silver Oxalate Ink Composition with Enhanced Curing Conditions for Flexible Substrates. ACS Appl. Mater. Interfaces 2018, 10, 3830–3837. [Google Scholar] [CrossRef] [PubMed]
- Lai, C.Y.; Cheong, C.F.; Mandeep, J.S.; Abdullah, H.B.; Amin, N.; Lai, K.W. Synthesis and Characterization of Silver Nanoparticles and Silver Inks: Review on the Past and Recent Technology Roadmaps. J. Mater. Eng. Perform. 2014, 23, 3541–3550. [Google Scholar] [CrossRef]
- Rao, V.K.R.; Abhinav, V.K.; Karthik, P.S.; Singh, S.P. Conductive silver inks and their applications in printed and flexible electronics. RSC Adv. 2015, 5, 77760–77790. [Google Scholar]
- Sun, J.Z.; Guo, Y.Z.; Cui, B.; Chu, F.Q.; Li, H.Z.; Li, Y.; He, M.; Ding, D.; Liu, R.P.; Li, L.H.; et al. Inkjet printing bendable circuits based on an oil-water interface reaction. Appl. Surf. Sci. 2018, 445, 391–397. [Google Scholar] [CrossRef]
- Bidoki, S.M.; Lewis, D.M.; Clark, M.; Vakorov, A.; Millner, P.A.; McGorman, D. Ink-jet fabrication of electronic components. J. Micromech Microeng. 2007, 17, 967–974. [Google Scholar] [CrossRef]
- Li, D.; Sutton, D.; Burgess, A.; Graham, D.; Calvert, P.D. Conductive copper and nickel lines via reactive inkjet printing. J. Mater. Chem. 2009, 19, 3719–3724. [Google Scholar] [CrossRef]
- Lei, Q.; He, J.; Zhang, B.; Chang, J.; Li, D. Microscale electrohydrodynamic printing of conductive silver features based on in situ reactive inks. J. Mater. Chem. C 2018, 6, 213–218. [Google Scholar] [CrossRef]
- Choi, C.H.; Allan-Cole, E.; Chang, C. Room temperature fabrication and patterning of highly conductive silver features using in situ reactive inks by microreactor-assisted printing. J. Mater. Chem. C 2015, 6, 7262–7266. [Google Scholar] [CrossRef]
- Wu, J.T.; Hsu, S.L.-C.; Tsai, M.-H.; Hwang, W.-S. Inkjet Printing of Low-Temperature Cured Silver Patterns by Using AgNO3/1-Dimethylamino-2-propanol Inks on Polymer Substrates. J. Phys. Chem. C 2011, 115, 10940–10945. [Google Scholar] [CrossRef]
- Stempien, Z.; Rybicki, E.; Patykowska, A.; Rybicki, T.; Szynkowska, M. Shape-Programmed Inkjet-Printed Silver Electro-Conductive Layers on Textile Surfaces. J. Ind. Text. 2017, 6, 1321–1341. [Google Scholar] [CrossRef]
- Whittow, W.G.; Chauraya, A.; Vardaxoglou, J.; Li, Y.; Torah, R.; Yang, K.; Beeby, S.; Tudor, J. Inkjet-Printed Microstrip Patch Antennas Realized on Textile for Wearable Applications. IEEE Antennas Wirel. Propag. Lett. 2014, 13, 71–74. [Google Scholar] [CrossRef]
- Hasan, S.; Inhwan, K.; Henry, S. Inkjet Printing of Reactive Silver Ink on Textiles. ACS Appl. Mater. Inter. 2019, 11, 6208–6216. [Google Scholar]
- Jabbour, G.; Abulikamu, M.; Choi, H.W.; Haverinen, H. Reactive Inkjet Printing as a Tool for in situ Synthesis of Self-Assembled Nanoparticles. In Nanomaterials for 2D and 3D Printing; Wiley-VCH Verlag GmbH & Co. KGaA: Weinheim, Germany, 2017; pp. 69–82. [Google Scholar]
Sample Availability: Samples of the compounds of the reactive silver precursor inks are available from the authors. |












| Bending Cycles (n) | S1 (ohm) | S2 (ohm) | S3 (ohm) | S4 (ohm) |
|---|---|---|---|---|
| 0 | 41.8 | 34.3 | 36.3 | 41.8 |
| 10 | 41.9 | 34.4 | 39.7 | 43.1 |
| 100 | 41.3 | 34.5 | 41 | 43 |
| 1000 | 42.1 | 41.4 | 43.4 | 43.7 |
| 2000 | 45.1 | 41.6 | 47.6 | 44.5 |
| 3000 | 45.9 | 49.3 | 59.9 | 57.6 |
© 2019 by the authors. Licensee MDPI, Basel, Switzerland. This article is an open access article distributed under the terms and conditions of the Creative Commons Attribution (CC BY) license (http://creativecommons.org/licenses/by/4.0/).
Share and Cite
Wang, Y.; Du, D.; Zhou, Z.; Xie, H.; Li, J.; Zhao, Y. Reactive Conductive Ink Capable of In Situ and Rapid Synthesis of Conductive Patterns Suitable for Inkjet Printing. Molecules 2019, 24, 3548. https://doi.org/10.3390/molecules24193548
Wang Y, Du D, Zhou Z, Xie H, Li J, Zhao Y. Reactive Conductive Ink Capable of In Situ and Rapid Synthesis of Conductive Patterns Suitable for Inkjet Printing. Molecules. 2019; 24(19):3548. https://doi.org/10.3390/molecules24193548
Chicago/Turabian StyleWang, Yuehui, Dexi Du, Zhimin Zhou, Hui Xie, Jingze Li, and Yuzhen Zhao. 2019. "Reactive Conductive Ink Capable of In Situ and Rapid Synthesis of Conductive Patterns Suitable for Inkjet Printing" Molecules 24, no. 19: 3548. https://doi.org/10.3390/molecules24193548
APA StyleWang, Y., Du, D., Zhou, Z., Xie, H., Li, J., & Zhao, Y. (2019). Reactive Conductive Ink Capable of In Situ and Rapid Synthesis of Conductive Patterns Suitable for Inkjet Printing. Molecules, 24(19), 3548. https://doi.org/10.3390/molecules24193548

