Synthesis, Characterization, and In Vivo Anti-Cancer Activity of New Metal Complexes Derived from Isatin-N(4)antipyrinethiosemicarbazone Ligand Against Ehrlich Ascites Carcinoma Cells
Abstract
1. Introduction
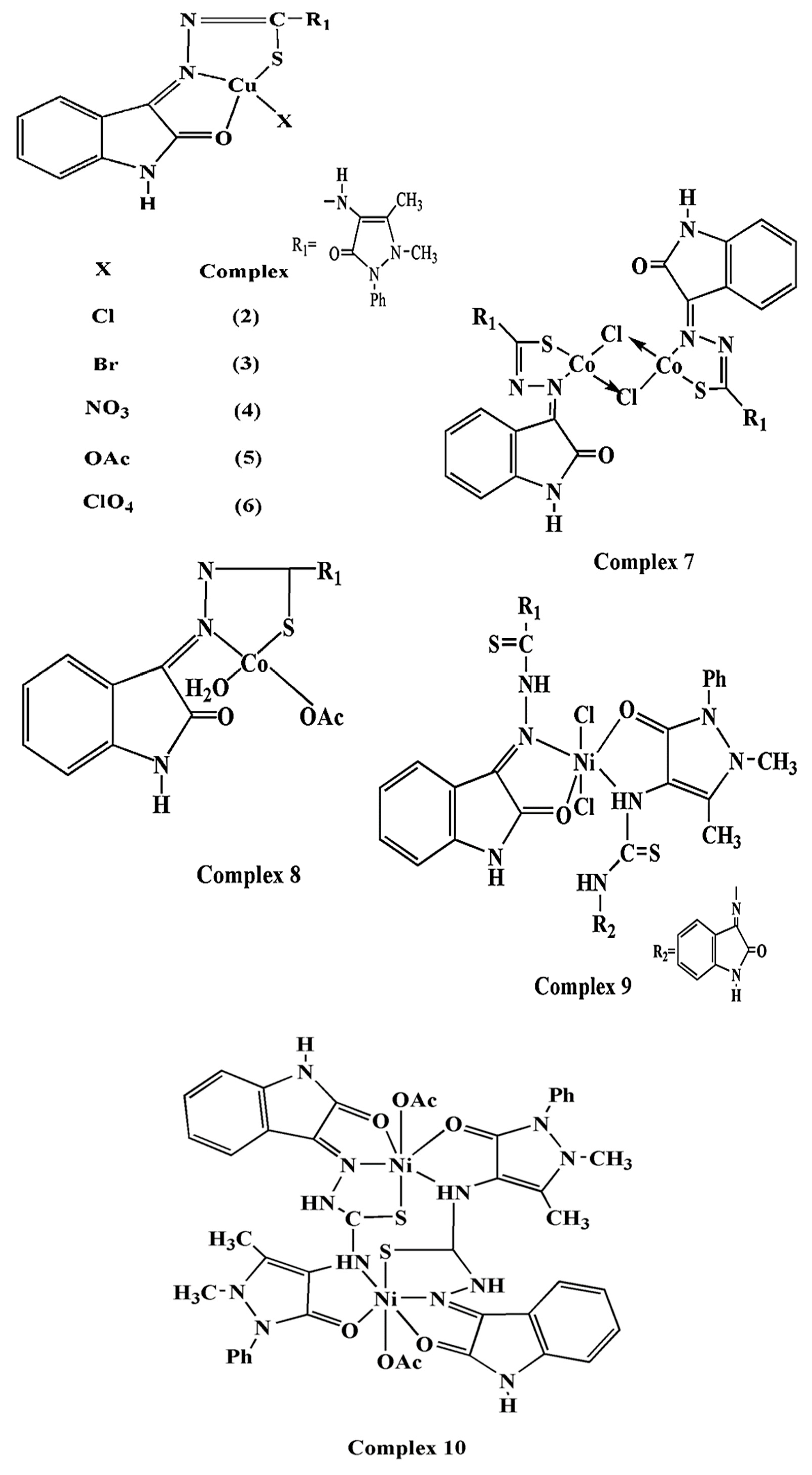
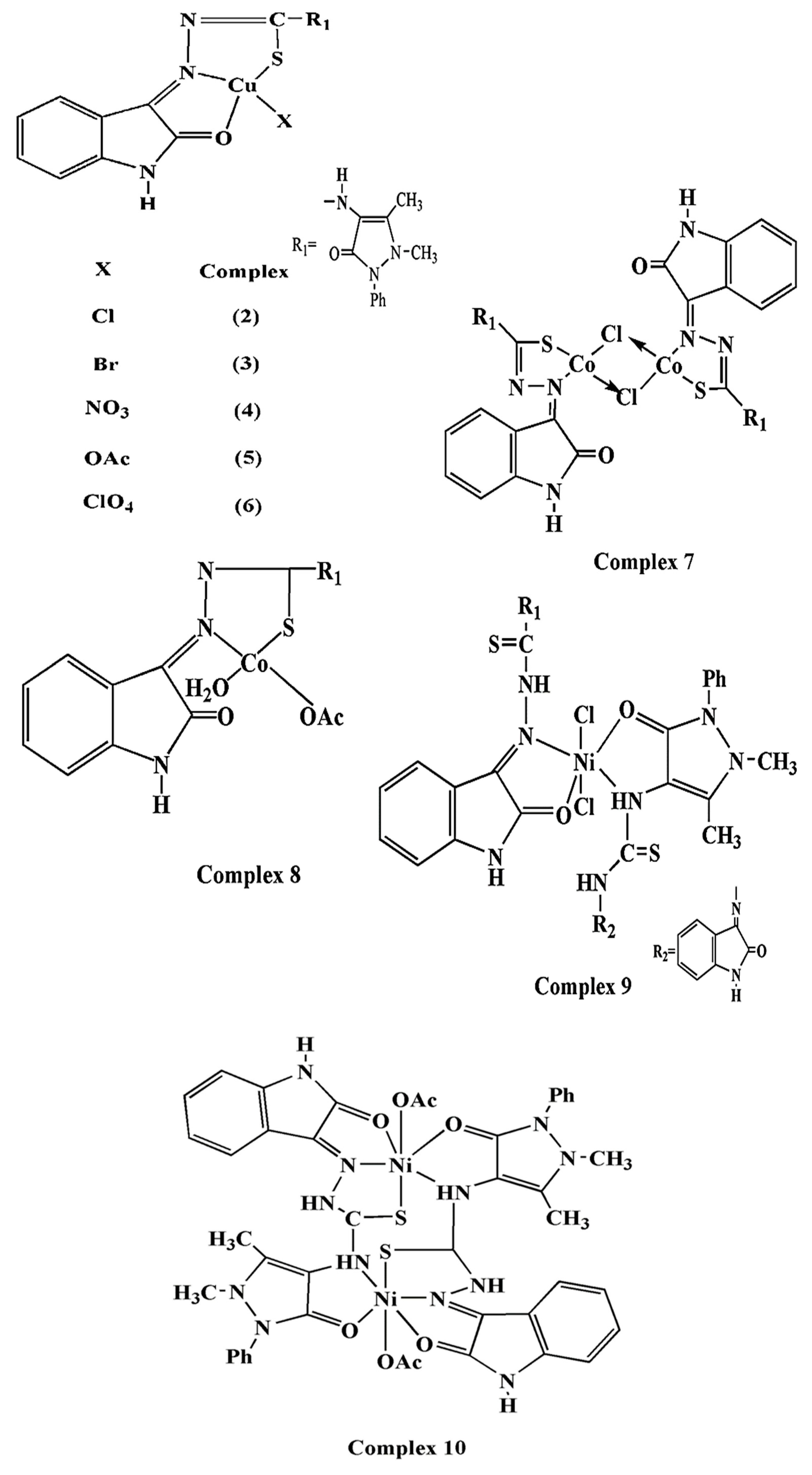
2. Results and Discussion
2.1. 1H-NMR Spectra
2.2. Mass Spectra
2.3. The Molar Conductance
2.4. Infrared (IR) Spectra
2.5. Magnetic and Electronic Spectra
2.6. EPR Spectra of the Copper(II) Complexes
2.7. Thermal Analysis
2.8. Biological Activities
2.8.1. Effect of Ligand 1 and Its Metal Complexes 2, 7 and 9 on Solid Tumor Volume
2.8.2. Effect of Ligand 1 and Its Metal Complexes 2, 7 and 9 on the Biochemical Analysis of Serum
2.8.3. Effect of Ligand 1 and Its Metal Complexes 2, 7 and 9 on the Expression of Vascular Endothelial Growth Factor (VEGF) in Tumor and Liver Tissues of EAC Mice
2.8.4. Effect of Ligand 1 and Its Metal Complexes 2, 7 and 9 on the Expression of Cysteine Aspartyl-Specific Protease-7 (Caspase-7) in Tumor and Liver Tissues of EAC Mice
3. Materials and Methods
3.1. Chemistry
3.1.1. Preparation of N(4)-antipyrinylthiosemicarbazide
3.1.2. Preparation of Isatin N(4)-antipyrine-thiosemicarbazide 1 (ligand)
3.1.3. Preparation of the Metal Complexes
3.1.4. Instrumentation and Measurements
3.2. Biological Evalution
3.2.1. Preparation of Solutions of the Complexes
3.2.2. Experimental Animals
3.2.3. Tumor Cell Line
3.2.4. Induction of Solid Tumor and Animals Grouping
- Group 1 (normal control): mice without any treatment.
- Group 2 (vehicle group): mice bearing solid tumors treated with DMSO/H2O.
- Group 3: mice bearing solid tumor and treated subcutaneously with 0.2 mM of ligand 1.
- Group 4: mice bearing solid tumor and treated subcutaneously with 0.2 mM of complexe 2.
- Group 5: mice bearing solid tumor and treated subcutaneously with 0.2 mM of complexe 7.
- Group 6: mice bearing solid tumor and treated subcutaneously with 0.2 mM of complexe 9.
3.2.5. Blood and Tissue Samples Collection
3.2.6. Assessment of Tumor Volume (TV)
3.2.7. Biochemical Analysis of the Serum
3.2.8. Immunohistochemical Examination of VEGF and Caspase-7 in Solid Tumors and Liver Tissues
3.3. Statistical Analysis
4. Conclusions
Supplementary Materials
Author Contributions
Funding
Acknowledgments
Conflicts of Interest
References
- Siegel, R.L.; Miller, K.D.; Jemal, A. Cancer statistics, 2019. CA 2019, 69, 7–34. [Google Scholar] [CrossRef] [PubMed]
- Folkman, J. Angiogenesis in cancer, vascular, rheumatoid and other disease. Nat. Med. 1995, 1, 27–30. [Google Scholar] [CrossRef] [PubMed]
- Thapa, D.; Lee, J.S.; Heo, S.W.; Lee, Y.R.; Kang, K.W.; Kwak, M.K. Novel hexahydrocannabinol analogs as potential anti-cancer agents inhibit cell proliferation and tumor angiogenesis. Eur. J. Pharmacol. 2011, 650, 61–71. [Google Scholar] [CrossRef] [PubMed]
- El-Aarag, B.Y.; Kasai, T.; Zahran, M.A.; Zakhary, N.I.; Shigehiro, T.; Sekhar, S.C.; Agwa, H.S.; Mizutani, A.; Murakami, H.; Kakuta, H.; et al. In vitro anti-proliferative and anti-angiogenic activities of thalidomide dithiocarbamate analogs. Int. Immunopharmacol. 2014, 21, 283–292. [Google Scholar] [CrossRef] [PubMed]
- El-Aarag, B.; Kasai, T.; Masuda, J.; Zahran, M.; Agwa, H.; Seno, M. Anticancer effects of novel thalidomide analogs in A549 cells through inhibition of vascular endothelial growth factor and matrix metalloproteinase-2. Biomed. Pharmacother. 2017, 85, 549–555. [Google Scholar] [CrossRef] [PubMed]
- Zahran, M.; Agwa, H.; Osman, A.; Hammad, S.; El-Aarag, B.; Ismail, N.; Salem, T.; Gamal-Eldeen, A. Synthesis and biological evaluation of phthalimide dithiocarbamate and dithioate derivatives as anti-proliferative and anti-angiogenic agents-I. Eur. J. Chem. 2017, 8, 391–399. [Google Scholar] [CrossRef][Green Version]
- Kamal, A.; Kumar, G.B.; Nayak, V.L.; Reddy, V.S.; Shaik, A.B.; Reddy, M.K. Design, synthesis and biological evaluation of imidazopyridine/imidazopyrimidine-benzimidazole conjugates as potential anticancer agents. Med. Chem. Commun. 2015, 6, 606–612. [Google Scholar] [CrossRef]
- Yang, L.L.; Lee, C.Y.; Yen, K.Y. Induction of apoptosis by hydrolyzable tannins from Eugenia jambos L. on human leukemia cells. Cancer Lett. 2000, 157, 65–75. [Google Scholar] [CrossRef]
- Rosu, T.; Negoiu, M.; Pasculescu, S.; Pahontu, E.; Poirier, D.; Gulea, A. Metal-based biologically active agents: Synthesis, characterization, antibacterial and antileukemia activity evaluation of Cu(II), V(IV) and Ni(II) complexes with antipyrine-derived compounds. Eur. J. Med. Chem. 2009, 45, 774–781. [Google Scholar] [CrossRef]
- Leovac, V.M.; Bogdanovic, G.A.; Jovanovic, L.S.; Joksovic, L.C.; Markovic, I.; Joksovic, M.D. Synthesis, characterization and antitumor activity of polymeric copper(II) complexes with thiosemicarbazones of 3-methyl-5-oxo-1-phenyl-3-pyrazolin-4-carboxaldehyde and 5-oxo-3-phenyl-3-pyrazolin-4-carboxaldehyde. J. Inorg. Biochem. 2011, 105, 1413–1421. [Google Scholar] [CrossRef] [PubMed]
- Refata, M.S.; El-Metwaly, N.M. El-Metwaly, Spectral, thermal and biological studies of Mn(II) and Cu(II) complexes with two thiosemicarbazide derivatives. Spectrochim. Acta Part A 2012, 92, 336–346. [Google Scholar] [CrossRef] [PubMed]
- Mendes, I.C.; Moreira, J.P.; Mangrich, A.S.; Balena, S.P.; Rodrigues, B.L.; Beraldo, H. Coordination to copper (II) strongly enhances the in vitro antimicrobial activity of pyridine-derived N(4)-tolyl thiosemicarbazones. Polyhedron 2007, 26, 3263–3270. [Google Scholar] [CrossRef]
- Vinuelas-Zahinos, E.; Maldonado-Rogado, M.A.; Luna-Giles, F.; Barros-Garcia, F.J. Coordination behaviour of Schiff base 2-acetyl-2-thiazoline hydrazone (ATH) towards cobalt(II), nickel(II) and copper(II). Polyhedron 2008, 27, 879–886. [Google Scholar] [CrossRef]
- Bharti, N.; Shailendra, Y.; Sharma, S.; Naqvi, F.; Azam, A. New palladium(II) complexes of 5-nitrothiophene-2-carboxaldehyde thiosemicarbazones. synthesis, spectral studies and in vitro anti-amoebic activity. Bioorg. Med. Chem. 2003, 11, 2923–2929. [Google Scholar] [CrossRef]
- El-Sawaf, A.K.; West, D.X.; El-Saied, F.A.; El-Bahnasawy, R.M. Synthesis, magnetic and spectral studies of iron(III), cobalt(II,III), nickel(II), copper(II) and zinc(II) complexes of 4–formylantipyrine N(4)-antipyrinylthiosemicarbazone. Transit. Met. Chem. 1998, 23, 649–655. [Google Scholar] [CrossRef]
- El-Sawaf, A.K.; West, D.X.; El-Saied, F.A.; El-Bahnasawy, R.M. Copper(II) complexes of 4-formylantipyrine N(4)-substitutedthiosemicarbazones. Transit. Met. Chem. 1998, 22, 360–365. [Google Scholar] [CrossRef]
- Ali, A.Q.; Teoh, S.G.; Salhin, A.; Eltayeb, N.E.; Ahamed, M.B.K.; Majid, A.A. Synthesis of isatin thiosemicarbazones derivatives: In vitro anti-cancer, DNA binding and cleavage activities. Spectrochim. Acta A 2014, 125, 440–448. [Google Scholar] [CrossRef] [PubMed]
- El-Saied, F.A.; El-Enein, S.A.A.; Emam, S.M.; El-Shater, H.A. Synthesis and characterization of Cu(II), Ni(II), Co(II), Mn(II), Zn(II), Ru(III), Hf(IV) and ZrO(II) complexes of 2-thiophenylidene-N-4-methoxy anilinoacetohydrazone. Polish J. Chem. 2009, 83, 1871–1883. [Google Scholar]
- Detrov, I.; Grupce, O.; Stafilov, T. The N-H stretching region of some imides and thioimides. Mol. Struct. 1986, 142, 275–278. [Google Scholar]
- Castineiras, A.; Gomez, M.C.; Sevillano, P. 2-(2,3-Dihydro-1,3-benzothiazol-2-yl)phenyl(diphenyl) phosphine oxide, Synthesis and characterization by IR and NMR spectroscopy and X-ray diffractometry. Mol. Struct. 2000, 554, 301–306. [Google Scholar] [CrossRef]
- Prasad, R.N.; Mathur, M.; Upadhayay, A. Synthesis and spectroscopic studies of Cr (III), Fe (III) and Co (II) complexes of hexaazamacrocycles. Indian Chem. Soc. 2007, 84, 1202–1204. [Google Scholar]
- Husain, K.; Bhat, A.; Azam, A. New Pd(II) complexes of the synthesized 1-N-substituted thiosemicarbazones of 3-indole carboxaldehyde: Characterization and antiamoebic assessment against E. histolytica. J. Med. Chem. 2008, 43, 2016–2028. [Google Scholar] [CrossRef] [PubMed]
- Mikuriya, M.; Okawa, H.; Kida, S. Binuclear Metal Complexes. XXXV. Synthesis and Magnetism of Binuclear Copper(II) Complexes with 3-[2-(Dialkylamino)ethylthio]-1-propanols. Bull. Chem. Soc. 1980, 53, 3717–3718. [Google Scholar] [CrossRef]
- Rreti, C.; Tosr, G. Complexes of Co alt (II), Nickel (II) and Copper Acetates, Perchlorates, and Tetrafluoroborates with Heterocyclic Ligands Containing VA and VIA group Donor Atoms. Can. J. chem. 1975, 53, 177–182. [Google Scholar]
- Jain, S.K.; Garg, B.S.; Bhoon, Y.K. Iron(III) complexes of 2-acetylpyridine-4-phenyl-3-thiosemicarbazones: Magnetic, E.s.r. and spectral studies. Transit. Met. Chem. 1986, 11, 89–95. [Google Scholar] [CrossRef]
- Maurya, R.C.; Rajput, S. Neutral dioxovanadium(V) complexes of biomimetic hydrazones ONO donor ligands of bioinorganic and medicinal relevance: Synthesis via air oxidation of bis(acetylaceto-nato)oxovanadium(IV), characterization, biological activity and 3D molecular modeling. J. Mol. Struct. 2007, 833, 133–144. [Google Scholar] [CrossRef]
- Sallam, S.A.; Orabi, A.S.; El-Shetary, B.A.; Lentz, A. Copper, nickel and cobalt complexes of Schiff-bases derived from β-diketones. Transit. Met. Chem. 2002, 27, 447–453. [Google Scholar] [CrossRef]
- Tossidis, A.; Bolos, C.A. Monohalogenobenzoylhydrazones II. Synthesis and Study of Ti(IV) Complexes with Monochlorobenzoylhydrazones of 2-Furaldehyde, 2-Thiophenaldehyde, 2-Pyrrolaldehyde and Di-2-pyridylketone as Ligands. Inorg. Chim. Acta 1986, 112, 93–97. [Google Scholar] [CrossRef]
- Ainscough, E.W.; Brodie, A.M.; Dobbs, A.J.; Ranford, J.D.; Waters, J.M. Antitumour copper(II) salicylaldehyde benzoylhydrazone (H2sb) complexes: Physicochemical properties and the single-crystal X-ray structures of [{Cu(H2sb)(CCl3CO2)2}2] and [{Cu(Hsb) (ClO4) (C2H5OH)}2] and the related salicylaldehyde acetylhydrazone (H2sa) complex, [Cu(Hsa)Cl(H2O)]·H2O. Inorg. Chim. Acta 1998, 267, 27–38. [Google Scholar]
- El-Sawaf, A.K.; Nassar, A.A.; El-Samanody, E. Synthesis, magnetic, spectral and biological studies of copper (II) complexes of 4-benzoyl-3-methyl-1-phenyl-2-pyrazolin-5-one N(4)-substituted thiosemicarbazones. Sci. J. Chem. 2014, 2, 17–26. [Google Scholar] [CrossRef][Green Version]
- Nair, M.K.M.; Radhakrishnan, P.K. Iodide Complexes of Yttrium and Lanthanides with 4-N-(4′-Antipyrylmethylidene) aminoantipyrine. Synth. React. Inorg. Met. Org. Chem. 1996, 26, 529–541. [Google Scholar] [CrossRef]
- Afrasiabi, Z.; Sinn, E.; Padhye, S.; Dutta, S.; Padhye, S.; Newton, C.; Anson, C.E.; Powell, A.K. Transition metal complexes of phenanthrenequinone thiosemicarbazone as potential anticancer agents: Synthesis, structure, spectroscopy, electrochemistry and in vitro anticancer activity against human breast cancer cellline, T47D. J. Inorg. Biochem. 2003, 95, 306–314. [Google Scholar] [CrossRef]
- Fouda, M.F.R.; Abd-Elzaher, M.M.; Shakdofa, M.M.; El-Saied, F.A.; Ayad, M.I.; el Tabl, A.S. Synthesis and Characterization of a Hydrazone Ligand Containing Antipyrine and its Transition Metal Complexes. J. Coord. Chem. 2008, 61, 1983–1996. [Google Scholar] [CrossRef]
- Lever, A.B.P. Electronic Spectra of Some Transition Metal Complexes: Derivation of Dq and B. J. Chem. Educ. 1968, 45, 711–712. [Google Scholar] [CrossRef]
- Shebl, M.; El-ghamry, M.A.; Khalil, S.M.; kishk, M.A. Mono- and binuclear copper(II) complexes of new hydrazone ligands derived from 4,6-diacetylresorcinol: Synthesis, spectral studies and antimicrobial activity. Spectrochim. Acta A Mol. Biomol. Spectrosc. 2014, 21, 232–241. [Google Scholar] [CrossRef] [PubMed]
- Downes, J.M.; Whelan, J.; Bosnich, B. Biological analogs, Spectroscopic characteristics of mercapto- and disulfide-copper(II) coordination in relation to type I proteins. Inorg. Chem. 1981, 20, 1081–1086. [Google Scholar] [CrossRef]
- Okawa, H.; Nakamoto, M.; Lzumitani, T.; Kida, S. Syntheses and Configurations of Copper(II) and Nickel(II) Complexes of trans-1,2-Dicyano-1,2-cyclohexanediamine. Bull. Chem. Soc. 1982, 55, 2671–2672. [Google Scholar] [CrossRef]
- Suzuki, M.; Kanatomi, H.; Koyama, H.; Murase, I. Copper(I) and Copper(II) Complexes of Tripod Ligands, Tris(2-alkylthioethyl)amine. Bull. Chem. Soc. 1980, 53, 1961–1964. [Google Scholar] [CrossRef]
- Kovala-Dermertzi, D.; Tsangaris, J.M.; Hadjiliadis, N. Complexes of aminobenzylamines. Part I. Complexes of O-aminobenzylamine with copper(II), cobalt(II) and nickel(II). Transit. Met. Chem. 1983, 8, 140–146. [Google Scholar] [CrossRef]
- Suzuki, M.; Demura, H.K.Y.; Murase, I. Syntheses and Properties of Dinuclear Copper(II) Complexes with 2,6-Bis[bis(2-pyridylmethyl)aminomethyl]-4-methylphenol. Bull. Chem. Soc. 1984, 57, 1003–1007. [Google Scholar] [CrossRef]
- El-Tabl, A.S.; El-Bahnasawy, R.M.; Hamdy, A.E.D. Synthesis, magnetic, spectral and antimicrobial studies on metal complexes of 4- methylphenylaminoacetoisatin hydrazine. J. Chem. Res. 2009, 11, 659–664. [Google Scholar]
- Chohan, Z.H.; Pervez, H.; Khan, K.M.; Supuran, C.T. Metal binding and antibacterial activity of ciprofloxacin complexes. J. Enzym. Inhib. Med. Chem. 2005, 20, 303–307. [Google Scholar] [CrossRef] [PubMed]
- Lever, A.B.P. Inorganic Electronic Spectroscopy, Studies in Physical and Theoretical Chemistry; Elsevier Science Ltd.: Amsterdam, The Netherlands, 1984. [Google Scholar]
- Matovic, Z.D.; Miletic, V.D.; Samardzic, G.; Pelosi, G.; Ianelli, S.; Trifunovic, S. Square-planar copper(II) complexes with a tetradentate amido-carboxylate ligands. Crystal structure of Na2[Cu(obap)]2⋅2H2O. Strain analysis and spectral assignments of complexes. Inorg. Chim. Acta 2005, 358, 3135–3144. [Google Scholar] [CrossRef]
- Mangalam, N.A.; Kurup, M.R.P. Versatile binding properties of a di-2-pyridyl ketone nicotinoylhydrazone ligand: Crystal structure of a Cu(II) complex. Spectrochim. Acta Part A Mol. Biomol. Spectrosc. 2011, 78, 926–934. [Google Scholar] [CrossRef] [PubMed]
- Aly, M.M.; Imam, S.M. Characterization of Copper(II), nickel(II), cobalt(II) and palladium(II) complexes of vicinal oxime-imine ligands; induced chelate isomerism in the same molecule of the nickel(II) complex. Mon. Chem. Chem. Mon. 1995, 126, 173–185. [Google Scholar] [CrossRef]
- el Saied, F.A.; Shakdofa, M.M.E.; el Tabl, A.S.; Elzaher, M.M.A. Coordination behaviour of N′1,N′4-bis((1, 5-dimethyl-3-oxo-2-phenyl-2,3-dihydro-1H-pyrazol-4-yl)methylene) succinohydrazide toward transition metal ions and their antimicrobial activities. Main Group Chem. 2014, 13, 87–99. [Google Scholar]
- Pahonțu, E.; Ilieș, D.C.; Shova, S.; Oprean, C.; Păunescu, V.; Olaru, O.T.; Rădulescu, F.Ș.; Gulea, A.; Roșu, T.; Drăgănescu, D. Synthesis, Characterization, Antimicrobial and Antiproliferative Activity Evaluation of Cu(II), Co(II), Zn(II), Ni(II) and Pt(II) Complexes with Isoniazid-Derived Compound. Molecules 2017, 22, 650. [Google Scholar]
- Earnshaw, A. Introduction to Magneto-Chemistry; Academic Press: New York, NY, USA, 1968. [Google Scholar]
- Chandra, S.; Sharma, K.K. Cobalt(II) and nickel(II) complexes of some nitrogen-oxygen and nitrogen-sulphur ligands. Transit. Met. Chem. 1984, 9, 1–3. [Google Scholar] [CrossRef]
- El-Tabl, A.S.; El-Saied, F.A.; Al-Hakimi, A.N. Synthesis, spectroscopic investigation and biological activity of metal complexes with ONO trifunctionalalized hydrazone ligand. Transit. Met. Chem. 2007, 32, 689–701. [Google Scholar] [CrossRef]
- Fouda, M.F.R.; Abd-El-zaher, M.M.; Shakdofa, M.M.; El-Saied, F.A.; Ayad, M.I.; El-Tabl, A.S. Synthesis and characterization of transition metal complexes of N′-[(1, 5-dimethyl-3-oxo-2-phenyl-2, 3-dihydro-1H-pyrazol-4-yl) methylene] thiophene-2-carbohydrazide. Transit. Met. Chem. 2008, 33, 219–228. [Google Scholar] [CrossRef]
- Al-Tabl, A.S.; AbouEl-Enein, S.A. Reactivity of the new potentially binucleating ligand, 2-(acetichydrazido-N-methylidene-α-naphthol)-benzothiazol, towards manganese (II), nickel (II), cobalt (II), copper (II) and zinc (II) salts. J. Coord. Chem 2004, 57, 281–294. [Google Scholar] [CrossRef]
- El-Reash, G.M.A.; Ibrahim, K.M.; Bekheit, M.M. Structural studies of 4(phenyl or benzamidos)-1-cyclohexa-none-3- thiosemicarbazone complexes. Transit. Met. Chem. 1990, 15, 148–151. [Google Scholar]
- El-Saied, F.A.; El-Asmy, A.A.; Kaminsky, W.; West, D.X. Spectral and structural studies of cobalt(II,III), nickel(II), and copper(II) complexes of dehydroacetic acid N4-dialkyl- and 3-azacyclothiosemicarbazones. Transit. Met. Chem. 2003, 28, 954–960. [Google Scholar] [CrossRef]
- El-Tabl, A.S.; Shakdofa, M.M.E.; El-Seidy, A.M.A.; Al-Hakimi, A.N. Synthesis, characterization and antifungal activity of metal complexes of 2-(5-((2-chlorophenyl) diazenyl)-2-hydroxybenzylidene) hydrazinecarbothioamide. Phosphorus Sulfur Silicon Relat. Elem. 2012, 187, 1312–1323. [Google Scholar] [CrossRef]
- Kasumov, V.T.; Köksal, F. Synthesis, ESR, UV-Visible and reactivity studies of new bis(N-dimethoxyaniline-3,5-(t)Bu2-salicylaldiminato)copper(II) complexes. Spectrochim. Acta A Mol. Biomol. Spectrosc. 2012, 98, 207–214. [Google Scholar] [CrossRef] [PubMed]
- Hathaway, B.J.; Billing, D.E. The electronic properties and stereochemistry of mono-nuclear complexes of the copper(II) ion. Coord. Chem. Rev. 1970, 5, 1949. [Google Scholar] [CrossRef]
- Zaky, R.R.; Ibrahim, K.M.; Gabr, I.M. Bivalent transition metal complexes of o-hydroxyacetophenone [N-(3-hydroxy-2-naphthoyl)] hydrazone: Spectroscopic, antibacterial, antifungal activity and thermogravimetric studies. Spectrochim. Acta A Mol. Biomol. Spectrosc. 2011, 81, 28–34. [Google Scholar] [CrossRef] [PubMed]
- Brown, D.R.; West, D.X. An ESR study of addition species formed between bis(2-thiopyridine N-oxide)Cu(II) and heterocyclic and aliphatic amines. J. Inorg. Nucl. Chem. 1981, 43, 1017–1021. [Google Scholar] [CrossRef]
- Nagashri, K.; Joseph, J.; Dhanaraj, C.J. Copper (II) complexes of hydroxyflavone derivatives as potential bioactive molecule to combat antioxidants: Synthesis, characterization and pharmacological activities. Appl. Organomet. Chem. 2011, 25, 704–717. [Google Scholar] [CrossRef]
- Proctor, I.M.; Hathaway, B.J.; Nicholis, P. The electronic properties and stereochemistry of the copper(II) ion. Part I. Bis(ethylenediamine)copper(II) complexes. J. Chem. Soc. A 1968, 1678–1684. [Google Scholar] [CrossRef]
- Kivelson, D.; Neiman, R. ESR Studies on the Bonding in Copper Complexes. J. Chem. Phys. 2004, 35, 149. [Google Scholar] [CrossRef]
- Shauib, N.M.; Elassar, A.Z.A.; El-Dissouky, A. Synthesis and spectroscopic characterization of copper(II) complexes with the polydentate chelating ligand 4,4’-[1,4-phenylenedi(nitrilo)dipente-2-one. Spectrochim. Acta Part A Mol. Biomol. Spectrosc. 2006, 63, 714–722. [Google Scholar] [CrossRef] [PubMed]
- Ray, R.K.; Kauffmann, G.B. An EPR study of copper(II)-substituted biguanide complexes. Part III. Inorg. Chim. Acta 1990, 174, 237–244. [Google Scholar] [CrossRef]
- Hathaway, B.J. A new look at the stereochemistry and electronic properties of complexes of the copper(II) ion. Complex Chem. 1984, 57, 55–118. [Google Scholar]
- Sakaguchi, U.; Adison, A.W. Spectroscopic and redox studies of some copper(II) complexes with biomimetic donor atoms: Implications for protein copper centres. J. Chem. Soc. Dalton Trans. 1979, 4, 600–608. [Google Scholar] [CrossRef]
- El-Tabl, A.S. Synthesis and spectral studies on mononuclear copper (II) complexes of isonitrosoacetylacetone ligand. Polish J. Chem. 1997, 71, 1213–1222. [Google Scholar]
- Mahajian, M.; Saxena, K.N.; Saxen, P.C. ESR study of Cu(II) complexes. Inorg. Nucl.Chem. 1981, 43, 2148–2149. [Google Scholar] [CrossRef]
- Oscar, C. Biopharmacological studies on certain new anticancer drugs. J. Biochem. 1988, 110, 701–707. [Google Scholar]
- Tagmizyan, W.A. Metabolism of impaired glucose in patients with neoplasia. Am. Biol. 1990, 2, 53–58. [Google Scholar]
- Silverstein, H.; Dervot, K.; Oscar, D. Studies on carbohydrate metabolism and different types of tumors bearing animals. Lancet 1988, 22, 40–45. [Google Scholar]
- Kind, P.R.N.; Gordon, M.; Laverick, M.; Nias, A.H.; Slavin, B.M. The effect of C3H mouse mammary tumor on the levels of serum and urine analytes in vivo. Br. J. Cancer 1985, 52, 607–612. [Google Scholar] [CrossRef] [PubMed]
- Parveen, A.; Subedi, L.; Kim, H.W.; Khan, Z.; Zahra, Z.; Farooqi, M.Q.; Kim, S.Y. Phytochemicals Targeting VEGF and VEGF-Related Multifactors as Anticancer Therapy. J. Clin. Med. 2019, 8, 350. [Google Scholar] [CrossRef] [PubMed]
- Abd-Alhaseeb, M.M.; Zaitone, S.A.; Abou-El-Ela, S.H.; Moustafa, Y.M. Olmesartan Potentiates the Anti-Angiogenic Effect of Sorafenib in Mice Bearing Ehrlich’s Ascites Carcinoma: Role of Angiotensin (1–7). PLoS ONE 2014, 9, e85891. [Google Scholar] [CrossRef] [PubMed]
- Liang, Y.; Brekken, R.A.; Hyder, S.M. Vascular endothelial growth factor induces proliferation of breast cancer cells and inhibits the anti-proliferative activity of anti-hormones. Endocr. Relat. Cancer 2006, 13, 905–919. [Google Scholar] [CrossRef] [PubMed]
- Kumar, S.; Cieplak, P. Effect of phosphorylation and single nucleotide polymorphisms on caspase substrates processing. Apoptosis 2018, 23, 194–200. [Google Scholar] [CrossRef] [PubMed]
- Hassan, M.; Watari, H.; AbuAlmaaty, A.; Ohba, Y.; Sakuragi, N. Apoptosis and Molecular Targeting Therapy in Cancer. BioMed Res. Int. 2014, 2014, 150845. [Google Scholar] [CrossRef] [PubMed]
- Cao, Z.; Yang, Q.; Yin, H.; Qi, Q.; Li, H.; Sun, G.; Wang, H.; Liu, W.; Li, J. Peroxynitrite induces apoptosis of mouse cochlear hair cells via a Caspase-independent pathway in vitro. Apoptosis 2017, 22, 1419–1430. [Google Scholar] [CrossRef] [PubMed]
- Vance, N.R.; Gakhar, L.; Spies, M.A. Allosteric Tuning of Caspase-7: A Fragment-Based Drug Discovery Approach. Angew. Chem. Int. Ed. Engl. 2017, 56, 14443–14447. [Google Scholar] [CrossRef] [PubMed]
- Zahran, M.A.-H.; El-Aarag, B.; Mehany, A.B.M.; Belal, A.; Younes, A.S. Design, synthesis, biological evaluations, molecular docking, and in vivo studies of novel phthalimide analogs. Arch. Pharm. Chem. Life Sci. 2018, 351, 1–12. [Google Scholar] [CrossRef] [PubMed]
- Salem, M.L.; Shoukry, N.M.; Teleb, W.K.; Abdel-Daim, M.M.; Abdel-Rahman, M.A. In vitro and in vivo antitumor effects of the Egyptian scorpion Androctonus amoreuxi venom in an Ehrlich ascites tumor model. SpringerPlus 2016, 5, 570. [Google Scholar] [CrossRef]
- Marcelli, M.; Cunningham, G.R.; Walkup, M.; He, Z.; Sturgis, L.; Kagan, C.; Mannucci, R.; Nicoletti, I.; Teng, B.; Denner, L. Signaling Pathway Activated during Apoptosis of the Prostate Cancer Cell Line LNCaP: Overexpression of Caspase-7 as a New Gene Therapy Strategy for Prostate Cancer. Cancer Res. 1999, 59, 382–390. [Google Scholar] [PubMed]
- Guirgis, A.A.; Zahran, M.; Mohamed, A.S.; Talaat, R.M.; Abdou, B.Y.; Agwa, H.S. Effect of thalidomide dithiocarbamate analogs on the intercellular adhesion molecule-1 expression. Int. Immunopharmacol. 2010, 10, 805–811. [Google Scholar] [CrossRef] [PubMed]
- Zahra, M.H.; Salem, T.A.; El-Aarag, B.; Yosri, N.; EL-Ghlban, S.; Zaki, K.; Marei, A.H.; Abd El-Wahed, A.; Saeed, A.; Khatib, A.; et al. Alpinia zerumbet (Pers.): Food and Medicinal Plant with Potential In Vitro and In Vivo Anti-Cancer Activities. Molecules 2019, 24, 2495. [Google Scholar] [CrossRef] [PubMed]
- Papadopoulos, D.; Kimler, B.F.; Estes, N.C.; Durham, F.J. Growth delay effect of combined interstitial hyperthermia and brachytherapy in a rat solid tumor model. Anticancer Res. 1989, 9, 45–47. [Google Scholar] [PubMed]
- El-Aarag, B.; Hussein, W.; Ibrahim, W.; Zahran, M. Thymoquinone Improves Anti-Diabetic Activity of Metformin in Streptozotocin-Induced Diabetic Male Rats. J. Diabetes Metab. 2017, 8, 780. [Google Scholar]
- Chen, J.; Stavro, P.M.; Thompson, L.U. Dietary Flaxseed Inhibits Human Breast Cancer Growth and Metastasis and Downregulates Expression of Insulin-Like Growth Factor and Epidermal Growth Factor Receptor. Nutr. Cancer 2002, 43, 187–192. [Google Scholar] [CrossRef] [PubMed]
Sample Availability: Samples of the compounds are available from the authors. |







| No. | Molar Ratio/Compound | Color | m.p. (°C) | F.W. | Yield% | Analysis (%)/Found (Calcd) | Molar Conductance | |||
|---|---|---|---|---|---|---|---|---|---|---|
| C | H | N | S | |||||||
| 1 | HL C20H18N6O2S | Yellow | 210–212 | 406.64 | 94 | 59.14(59) | 5.15(4.43) | 20.91(20.66) | 7.85(7.87) | - |
| 2 | HL+CuCl2(1:1),(2:1),(1:2) [CuLCl]·H2O | Deep brown | 238–240 | 522.6 | 79 | 46.0(46) | 4.1(3.64) | 16.3(16.10) | 6.88(6.13) | 10.0 |
| 3 | HL+CuBr2(1:1) [CuLBr]·3H2O | Brown | 250 | 602.5 | 89 | 38.81(39.83) | 3.54(3.82) | 15.02(13.94) | 5.03(5.31) | 37.9 |
| 4 | HL+Cu(NO3)2·3H2O (1:1)[Cu(NO3) L]·H2O | Brown | 247 | 548.5 | 80 | 43.4(43.5) | 3.29(3.5) | 18(17.9) | 6(5.8) | 34.3 |
| 5 | HL+Cu(OAc)2 (1:1) [Cu(OAc) L]·2H2O | Brown | 212–216 | 563.5 | 74 | 46.12(46.90) | 4.82(4.30) | 15.13 (14.9) | 5.1(5.7) | 11.9 |
| 6 | HL+Cu(ClO4)2(1:1) [Cu(ClO4)L]·2H2O | Brown | 250–252 | 604.5 | 91 | 38.92(39.7) | 3.75(3.48) | 14.67(13.91) | 5.18(5.29) | 70.32 |
| 7 | HL+CoCl2 (1:1) [CoClL]2·2H2O | Brown | 258-260 | 1036 | 66 | 47(46.33) | 4.17(3.7) | 17(16.21) | 6.4(6.18) | 47.9 |
| 8 | HL+Co(OAc)2 (1:1) [Co(OAc) L(H2O)]·4H2O | Brown | Over 300 | 614.5 | 75 | 42.96(41.9) | 5.3(5.04) | 14.2(13.7) | 4.87(5.2) | 4.6 |
| 9 | Hl+NiCl2 (1:1) [NiCl2(HL)2]·4H2O | Brown | 254–255 | 1014.9 | 84 | 46.84(47.3) | 4.94(4.33) | 16.95(16.55) | 5.89(6.3) | 13.5 |
| 10 | HL+Ni(OAc)2 (1:1) [Ni(OAc) L]·2H2O | Brown | Over 300 | 558.9 | 70 | 47.76(47.24) | 4.19(4.3) | 15. 6(15.03) | 6.71(5.78) | 2.6 |
| 11 | HL+Zn(OAc)2 (1:1) [ZnL2·H2O | Deep yellow | Over 300 | 912.2 | 69 | 51.9(52.6) | 3.7(4.2) | 18.8 (18.42) | 6.64 (7) | 1.4 |
| 12 | HL+FeCl3 (1:1) [FeCl2(HL)2]Cl·H2O | Deep green | 210–212 | 993.7 | 78 | 47.62(48.3) | 3.9(3.8) | 16.95(16.91) | 5.6(6.44) | 54.09 |
| No. | Ligand/Complexes | ν(H2O) | ν(N4H) | ν(C=O) | ν(C=N) | ν(C=S) | ν(M-O) | ν(M-N) | ν(OAc/ClO4/NO3 |
|---|---|---|---|---|---|---|---|---|---|
| 1 | Ligand C20H18N6O2S | - | 3442, 3348, 3287, 3251, 3141 | 1738 a, 1645 b | 1688 a, 1623, 1595 | 881 | - | - | - |
| 2 | [CuClL]·2H2O] | 3395 | 3161, 3100 | 1702 a, 1645 b | 1616, 1539 | 808 | 632 | 498 | - |
| 3 | [CuBrL]·3H2O | 3446 | 3106 | 1695 a, 1643(sh) b | 1622, 1578 | - | 614 | 504 | - |
| 4 | [Cu (NO3) L]·H2O | 3425 | 3166 | 1703 a, 1645 b | 1620, 1539 | 808 | 638 | 586 | 1382–1462 |
| 5 | [Cu(OAc)L]·2H2O | 3417 | 3237 | 1680 a, 1645 b | 1560, 1525 | 847 | 595 | 503 | 1615, 1333 |
| 6 | [Cu(ClO4)L]·2H2O | 3428 | 3325, 3170 | 1628 a, 1645 b | 1568, 1516 | 838 | 631 | 505 | 1085, 1049 |
| 7 | [CoClL]2·2H2O | 3388 | 3150 | 1734 a, 1645 b | 1600, 1515 | 840 | 629 | 585 | - |
| 8 | [Co (OAc) L(H2O)]·4H2O | 3491, 3422 | 3196 | 1734 a, 1645 b | 1590, 1545 | 841 | 630 | 540 | 1619, 1372 |
| 9 | [NiCl2(HL)2]·4H2O | 3441 | 3280 | 1735 a, 1660 a, 1645 b. 1610 b | 1688, 1620 | 877 | 648 | 591 | - |
| 10 | [Ni(OAc) L]·2H2O | 3445 | 3310, 3200 | 1664 a (sh), 1640 b | 1580, 1540 | 829 | 590 | 503 | 1620, 1342 |
| 11 | [Zn L2]·2H2O | 3413 | 3223 | 1700 a, 1643 b | 1609 | 848 | 612 | 580 | - |
| 12 | [FeCl2(HL)2]Cl·H2O | 3429(s,br) | 3280 | 1737 a, 1700 a, 1645 b, 1610 a | 1685, 1620 | 881 | 589 | 512 | - |
| No. | Compound | π→π* (nm) | n→π* | Charge Transfer | d→d Bands | µeff (β.M) |
|---|---|---|---|---|---|---|
| 1 | HL C20H18N6O2S | 268 | 280, 369 | - | ||
| 2 | [CuLCl]·2H2O | 291 | 310, 395 | 600, 672, 770 | 1.03 | |
| 3 | [CuLBr]·3H2O | 295 | 325, 445 | 580, 631 | 1.1 | |
| 4 | [Cu(NO3) L]·H2O | 270 | 310, 455 | 520, 574 | 675, 720 | 1 |
| 5 | [Cu(OAc) L]·2H2O | 270 | 310 | 560, 671 | 1.11 | |
| 6 | [Cu(ClO4)L]·2H2O | 270 | 363, 400 | 500(br), 770(br) | 1.6 | |
| 7 | [CoClL]2·2H2O | 260 | 318, 345 | 600, 675, 700 | 0.42 | |
| 8 | [Co(OAc) L(H2O)]·4H2O | 290 | 320 | 600, 675, 780 | 3.7 | |
| 9 | [NiCl2(HL)2]·4H2O | 290 | 310, 396 | 420 | 500 | - |
| 10 | [Ni (OAc) L]·2H2O | 291 | 305 | 567, 950 | 2.26 | |
| 11 | [ZnL2]·2H2O | 280 | 319, 396 | 480, 520(sh) | - | - |
| 12 | [FeCl2(HL)2]Cl·H2O | 270 | 300, 391 | 450 | 584 | 4.67 |
| Parameter | Complex 2 | Complex 3 | Complex 4 | Complex 5 | Complex 6 |
|---|---|---|---|---|---|
| g‖ or g1 | 2.189 | 2.198 | 2.287 | g‖ = 2.21 | 2.25 |
| g⊥ or g2, g3 | 2.121, 2.057 | 2.079, 1.989 | 2.121, 1.977 | g⊥ = 2.038 | 2.12, 2.027 |
| g⊥ | 2.089 | 2.034 | 2.049 | 2.038 | 2.074 |
| gav | 2.12 | 2.125 | 2.128 | 2.095 | 2.132 |
| G | 2.12 | 5.82 | 5.86 | 5.53 | 3.38 |
| R | 0.94 | 0.76 | 0.87 | - | 0.72 |
| k‖2/k‖ | 0.419/0.647 | 0.468/0.684 | 0.637/0.798 | 0.424/0.651 | 0.554/0.744 |
| k⊥2/k⊥ | 0.722/0.850 | 0.29/0.539 | 0.391/0.625 | 0.248/0.498 | 0.137/0.370 |
| K2/k | 0.621/0.788 | 0.349/0.591 | 0.473/0.688 | 0.307/0.554 | 0.276/0.525 |
| No. | Complex | Temp. Range (°C) | Weight Loss Found (calc)% | Assignment | Residual’s Formula |
|---|---|---|---|---|---|
| 2 | [Cu(L)Cl]·H2O] | 30–120 213–898 | 4.10 (3.44) 83.90(84.30) | Loss of water of hydration (1H2O) Continuous decomposition of complex | [Cu(L)Cl] CuO |
| 3 | [Cu(L)Br]·3H2O | 26–75 191–763 | 9.3(8.96) 79.54(80.6) | Loss of water of hydration (3H2O) Continuous decomposition of complex | [Cu(L)Br] CuO |
| 5 | [Cu(L)OAc]·2H2O | 30–109 109–800 | 6.60(6.40) 81.55(82.40) | Loss of water of hydration (2H2O) Continuous decomposition of complex | [Cu(L)OAc] CuO |
| 7 | [Co(L)Cl]2·2H2O | 45–145 195–470 625–660 | 4.20(3.50) 69.23(70.30) 8.30(8.10) | Loss of water of hydration (2H2O) Partial decomposition of complex oxidation of carbon to CO2 | [Co(L)Cl]2 2CoS + 7C 2CoS |
| 8 | [Co(L)OAc(H2O)]·4H2O | 27–80 80–175 195–550 600–898 | 11.30(11.73) 3.63(2.93) 66.00(66.51) 3.12(3.91) | Loss of water of hydration (4H2O) Loss of coordinated water (1H2O) Continuous decomposition of complex to form metal oxide and carbon Partial oxidation of carbon | [Co(L)OAc (H2O)]·CoO + 3C CoO + 1C |
| 9 | [Ni(HL)2Cl2]·4H2O | 42–133 133–550 | 7.50(7.10) 77.73(78.85) | Loss of water of hydration (4H2O) decomposition of complex and formation of cobalt oxide and carbon | [Ni (HL)2Cl2]·NiO + 7C |
| 10 | [Ni2(L)2(OAc)2]·4H2O | 27–75 75–255 255–899 | 6.00(6.43) 4.50(4.30) 78.30(77.80) | Loss of water of hydration (4H2O) Loss of one acetato ligand Decomposition of complex | [Ni2(L)2(OAc)2] [Ni2(L)2(OAc)] NiO |
| 11 | [Zn(L)2]·2H2O | 45–131 131–999 | 3.98(3.95) | Loss of water of hydration (2H2O) Decomposition of complex | [Zn(L2)]·ZnS + 7C |
| 12 | [Fe(HL)2Cl2]Cl·H2O | 55–160 160–350 605–700 | 1.60 (1.80) 70.30(68.80) 8.97(8.45) | Loss of water of hydration (1H2O) Decomposition of complex and formation of iron sulfide and carbon Oxidation of carbon to CO2 | [FeCl2(HL)2]Cl Fe2S3 + 7C Fe2S3 |
| Groups | Tumor Volume (mm3) | Inhibition % |
|---|---|---|
| Tumor-bearing mice + DMSO | 334.8 ± 17.5 | - |
| Tumor-bearing mice + ligand 1 | 212.2 ± 22 * | 36.6 |
| Tumor-bearing mice + complex 2 | 112.2 ± 52 ** | 66.5 |
| Tumor-bearing mice + complex 7 | 99.2 ± 17.9 ** | 70.37 |
| Tumor-bearing mice + complex 9 | 82.6 ± 3.9 ** | 75.53 |
| Groups | ALT (U/L) | AST (U/L) | Albumin (g/dL) | Glucose (mg/dL) |
|---|---|---|---|---|
| Normal control | 39 ± 3.1 | 194 ± 35.1 | 3.3 ± 0.3 | 128 ± 8.8 |
| Solid tumor + DMSO | 77.8 ± 11.5 # | 438.6 ± 66.4 # | 2.5 ± 0.2 # | 80.2 ± 9.5 # |
| Solid tumor + ligand 1 | 43.2 ± 9 * | 387 ± 45.6 * | 2.3 ± 0.3 | 86.4 ± 11.2 |
| Solid tumor + complex 2 | 42.2 ± 5 * | 275.6 ± 60.9 * | 2.4 ± 0.2 | 122.2 ± 11.6 ** |
| Solid tumor + complex 7 | 39.2 ± 7.9 * | 206.6 ± 54.3 ** | 2.5 ± 0.1 | 126 ± 9.6 *** |
| Solid tumor + complex 9 | 36.6 ± 3.9 ** | 208 ± 51.2 ** | 2.7 ± 0.4 | 127.4 ± 13.5 ** |
© 2019 by the authors. Licensee MDPI, Basel, Switzerland. This article is an open access article distributed under the terms and conditions of the Creative Commons Attribution (CC BY) license (http://creativecommons.org/licenses/by/4.0/).
Share and Cite
El-Saied, F.; El-Aarag, B.; Salem, T.; Said, G.; Khalifa, S.A.M.; El-Seedi, H.R. Synthesis, Characterization, and In Vivo Anti-Cancer Activity of New Metal Complexes Derived from Isatin-N(4)antipyrinethiosemicarbazone Ligand Against Ehrlich Ascites Carcinoma Cells. Molecules 2019, 24, 3313. https://doi.org/10.3390/molecules24183313
El-Saied F, El-Aarag B, Salem T, Said G, Khalifa SAM, El-Seedi HR. Synthesis, Characterization, and In Vivo Anti-Cancer Activity of New Metal Complexes Derived from Isatin-N(4)antipyrinethiosemicarbazone Ligand Against Ehrlich Ascites Carcinoma Cells. Molecules. 2019; 24(18):3313. https://doi.org/10.3390/molecules24183313
Chicago/Turabian StyleEl-Saied, Fathy, Bishoy El-Aarag, Tarek Salem, Ghada Said, Shaden A. M. Khalifa, and Hesham R. El-Seedi. 2019. "Synthesis, Characterization, and In Vivo Anti-Cancer Activity of New Metal Complexes Derived from Isatin-N(4)antipyrinethiosemicarbazone Ligand Against Ehrlich Ascites Carcinoma Cells" Molecules 24, no. 18: 3313. https://doi.org/10.3390/molecules24183313
APA StyleEl-Saied, F., El-Aarag, B., Salem, T., Said, G., Khalifa, S. A. M., & El-Seedi, H. R. (2019). Synthesis, Characterization, and In Vivo Anti-Cancer Activity of New Metal Complexes Derived from Isatin-N(4)antipyrinethiosemicarbazone Ligand Against Ehrlich Ascites Carcinoma Cells. Molecules, 24(18), 3313. https://doi.org/10.3390/molecules24183313

