Piezoresistivity of InAsP Nanowires: Role of Crystal Phases and Phosphorus Atoms in Strain-Induced Channel Conductances
Abstract
1. Introduction
2. Methods
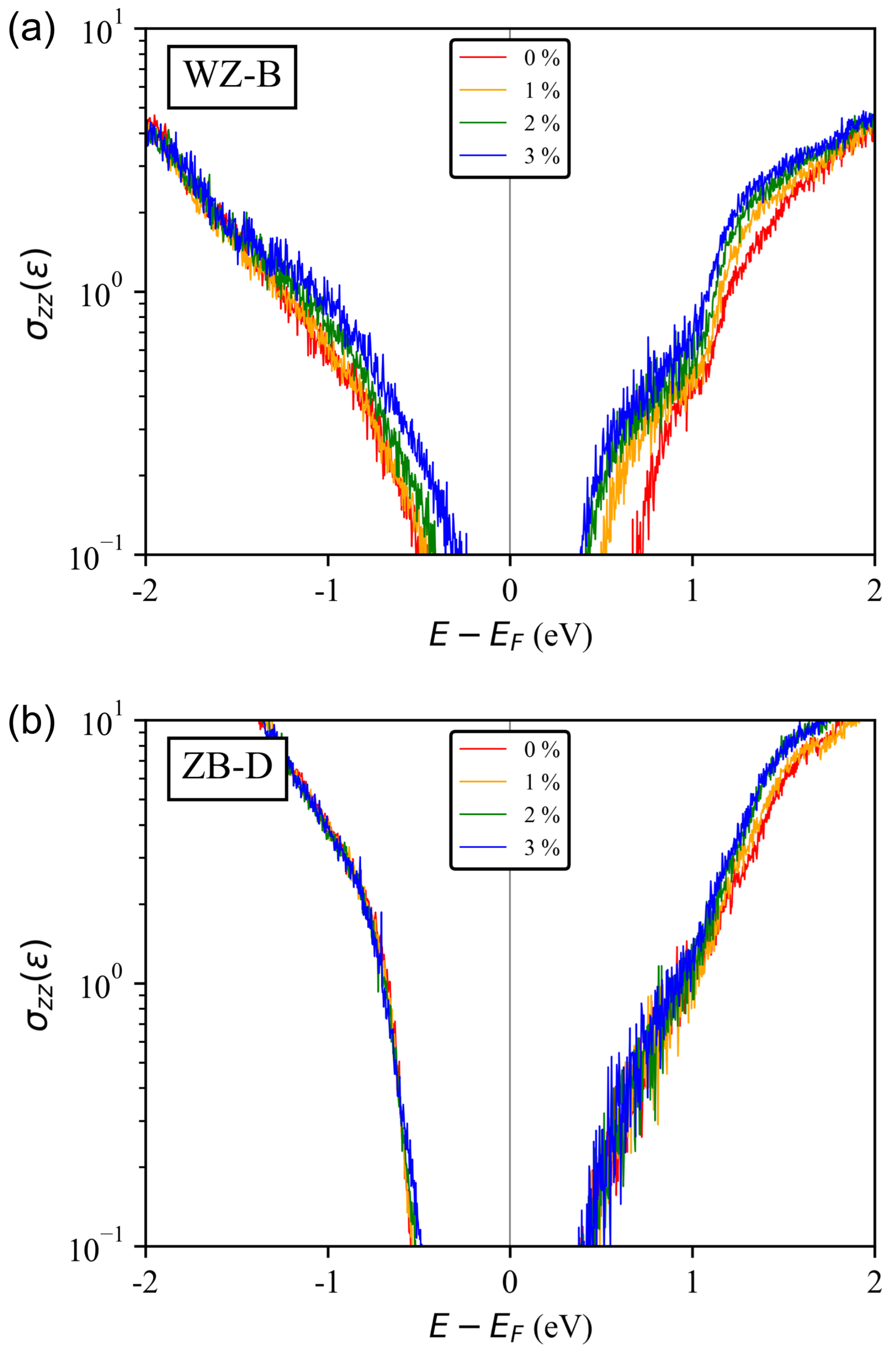
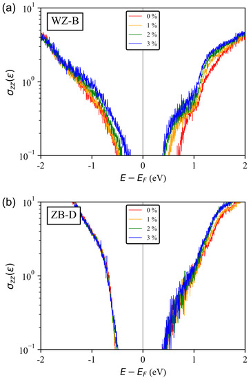
3. Results & Discussion
4. Conclusions
Author Contributions
Funding
Acknowledgments
Conflicts of Interest
References
- Smith, C.S. Piezoresistance effect in germanium and silicon. Phys. Rev. 1954, 94, 42–49. [Google Scholar] [CrossRef]
- Li, X.; Wei, X.; Xu, T.; Pan, D.; Zhao, J.; Chen, Q. Remarkable and Crystal-Structure-Dependent Piezoelectric and Piezoresistive Effects of InAs Nanowires. Adv. Mater. 2015, 27, 2852–2858. [Google Scholar] [CrossRef] [PubMed]
- Pandey, B.P.; Kumar, V. Structural and electronic property calculations of InxGa1-xAs alloy based on all electron potentials from first-principle theory. Indian J. Pure Appl. Phys. 2016, 54, 66–72. [Google Scholar]
- Chen, Y.; Liao, X. Mechanical Behaviors of Semiconductor Nanowires, 1st ed.; Elsevier: Amsterdam, The Netherlands, 2016; Volume 94. [Google Scholar]
- Gong, S.; Schwalb, W.; Wang, Y.; Chen, Y.; Tang, Y.; Si, J.; Shirinzadeh, B.; Cheng, W. A wearable and highly sensitive pressure sensor with ultrathin gold nanowires. Nat. Commun. 2014, 5, 3132. [Google Scholar] [CrossRef] [PubMed]
- Björk, M.T.; Ohlsson, B.J.; Thelander, C.; Persson, A.I.; Deppert, K.; Wallenberg, L.R.; Samuelson, L. Nanowire resonant tunneling diodes. Appl. Phys. Lett. 2002, 81, 4458–4460. [Google Scholar] [CrossRef]
- Barlian, A.A.; Park, W.T.; Mallon, J.R.; Rastegar, A.J.; Pruitt, B.L. Review: Semiconductor piezoresistance for microsystems. Proc. IEEE 2009, 97, 513–552. [Google Scholar] [CrossRef]
- Arcangeli, A.; Rossella, F.; Tomadin, A.; Xu, J.; Ercolani, D.; Sorba, L.; Beltram, F.; Tredicucci, A.; Polini, M.; Roddaro, S. Gate-Tunable Spatial Modulation of Localized Plasmon Resonances. Nano Lett. 2016, 16, 5688–5693. [Google Scholar] [CrossRef]
- Ning, C.Z.; Dou, L.; Yang, P. Bandgap engineering in semiconductor alloy nanomaterials with widely tunable compositions. Nat. Rev. Mater. 2017, 2, 17070. [Google Scholar] [CrossRef]
- Demontis, V.; Rocci, M.; Donarelli, M.; Maiti, R.; Zannier, V.; Beltram, F.; Sorba, L.; Roddaro, S.; Rossella, F.; Baratto, C. Conductometric Sensing with Individual InAs Nanowires. Sensors 2019, 19, 2994. [Google Scholar] [CrossRef]
- Lieb, J.; Demontis, V.; Prete, D.; Ercolani, D.; Zannier, V.; Sorba, L.; Ono, S.; Beltram, F.; Sacépé, B.; Rossella, F. Ionic-Liquid Gating of InAs Nanowire-Based Field-Effect Transistors. Adv. Funct. Mater. 2019, 29, 1804378. [Google Scholar] [CrossRef]
- Jamond, N.; Chrétien, P.; Houzé, F.; Lu, L.; Largeau, L.; Maugain, O.; Travers, L.; Harmand, J.C.; Glas, F.; Lefeuvre, E.; et al. Piezo-generator integrating a vertical array of GaN nanowires. Nanotechnology 2016, 27, 325403. [Google Scholar] [CrossRef] [PubMed]
- Signorello, G.; Sant, S.; Bologna, N.; Schraff, M.; Drechsler, U.; Schmid, H.; Wirths, S.; Rossell, M.D.; Schenk, A.; Riel, H. Manipulating Surface States of III–V Nanowires with Uniaxial Stress. Nano Lett. 2017, 17, 2816–2824. [Google Scholar] [CrossRef] [PubMed]
- Zheng, K.; Zhang, Z.; Hu, Y.; Chen, P.; Lu, W.; Drennan, J.; Han, X.; Zou, J. Orientation Dependence of Electromechanical Characteristics of Defect-free InAs Nanowires. Nano Lett. 2016, 16, 1787–1793. [Google Scholar] [CrossRef] [PubMed]
- Zeng, L.; Gammer, C.; Ozdol, B.; Nordqvist, T.; Nygård, J.; Krogstrup, P.; Minor, A.M.; Jäger, W.; Olsson, E. Correlation between Electrical Transport and Nanoscale Strain in InAs/In0.6Ga0.4As Core-Shell Nanowires. Nano Lett. 2018, 18, 4949–4956. [Google Scholar] [CrossRef] [PubMed]
- Lee, J.H.; Pin, M.W.; Choi, S.J.; Jo, M.H.; Shin, J.C.; Hong, S.G.; Lee, S.M.; Cho, B.; Ahn, S.J.; Song, N.W.; et al. Electromechanical Properties and Spontaneous Response of the Current in InAsP Nanowires. Nano Lett. 2016, 16, 6738–6745. [Google Scholar] [CrossRef] [PubMed]
- Lee, S.M.; Kim, M.Y.; Kim, Y.H. Electronic Structures of Strained InAsxP1−x by Density Functional Theory. J. Nanosci. Nanotechnol. 2018, 18, 6650–6652. [Google Scholar] [CrossRef] [PubMed]
- Akiyama, T.; Nakamura, K.; Ito, T. Effects of stacking sequence on the electrical conductivity of InAs: A combination of density functional theory and Boltzmann transport equation calculations. Jpn. J. Appl. Phys. 2015, 54, 075001. [Google Scholar] [CrossRef]
- Kresse, G.; Furthmüller, J. Efficiency of ab-initio total energy calculations for metals and semiconductors using a plane-wave basis set. Comput. Mater. Sci. 1996, 6, 15–50. [Google Scholar] [CrossRef]
- Perdew, J.P.; Ruzsinszky, A.; Csonka, G.I.; Vydrov, O.A.; Scuseria, G.E.; Constantin, L.A.; Zhou, X.; Burke, K. Restoring the density-gradient expansion for exchange in solids and surfaces. Phys. Rev. Lett. 2008, 100, 136406. [Google Scholar] [CrossRef] [PubMed]
- Soler, M.; Artacho, E.; Gale, J.D.; Garc, A.; Junquera, J.; Ordej, P.; Daniel, S. The SIESTA method for ab initio order-N materials. J. Phys. Cond. Mat. 2002, 14, 2745–2779. [Google Scholar] [CrossRef]
- Troullier, N.; Martins, J.L. Efficient pseudopotentials for plane-wave calculations. Phys. Rev. B 1991, 43, 1993–2006. [Google Scholar] [CrossRef] [PubMed]
- Artacho, E.; Sánchez-Portal, D.; Ordejón, P.; García, A.; Soler, J.M. Linear-scaling ab-initio calculations for large and complex systems. Phys. Status Solidi B Basic Res. 1999, 215, 809–817. [Google Scholar] [CrossRef]
- Kittel, C. Introduction to Solid State Physics, 8th ed.; Wiley: Hoboken, NJ, USA, 2004. [Google Scholar]
- Madsen, G.K.; Carrete, J.; Verstraete, M.J. BoltzTraP2, a program for interpolating band structures and calculating semi-classical transport coefficients. Comput. Phys. Commun. 2018, 231, 140–145. [Google Scholar] [CrossRef]
- Fowlie, J.; Gibert, M.; Tieri, G.; Gloter, A.; Íñiguez, J.; Filippetti, A.; Catalano, S.; Gariglio, S.; Schober, A.; Guennou, M.; et al. Conductivity and Local Structure of LaNiO3 Thin Films. Adv. Mater. 2017, 29, 1605197. [Google Scholar] [CrossRef] [PubMed]
- Pshenay-Severin, D.A.; Ivanov, Y.V.; Burkov, A.T. The effect of energy-dependent electron scattering on thermoelectric transport in novel topological semimetal CoSi. J. Phys. Condens. Matter 2018, 30, 475501. [Google Scholar] [CrossRef]
- Zhao, T.; Shi, W.; Xi, J.; Wang, D.; Shuai, Z. Intrinsic and Extrinsic Charge Transport in CH3NH3PbI3 Perovskites Predicted from First-Principles. Sci. Rep. 2016, 6, 19968. [Google Scholar] [CrossRef]
- Nurion—Cray CS500, Intel Xeon Phi 7250 68C 1.4 GHz, Intel Omni-Path|TOP500 Supercomputer Sites. Available online: https://www.top500.org/system/179421 (accessed on 1 September 2019).
- Hjorth Larsen, A.; JØrgen Mortensen, J.; Blomqvist, J.; Castelli, I.E.; Christensen, R.; Dułak, M.; Friis, J.; Groves, M.N.; Hammer, B.; Hargus, C.; et al. The atomic simulation environment—A Python library for working with atoms. J. Phys. Condens. Matter 2017, 29, 273002. [Google Scholar] [CrossRef]
- Yadav, S.K.; Wang, J.; Liu, X.Y. Ab initio modeling of zincblende AlN layer in Al-AlN-TiN multilayers. J. Appl. Phys. 2016, 119, 224304. [Google Scholar] [CrossRef]
- Dacal, L.C.; Cantarero, A. Ab initio calculations of indium arsenide in the wurtzite phase: Structural, electronic and optical properties. Mater. Res. Express 2014, 1, 015702. [Google Scholar] [CrossRef]
- Hori, Y.; Ando, Y.; Miyamoto, Y.; Sugino, O. Effect of strain on band structure and electron transport in InAs. Solid-State Electron. 1999, 43, 1813–1816. [Google Scholar] [CrossRef]
- Kriegner, D.; Wintersberger, E.; Kawaguchi, K.; Wallentin, J.; Borgström, M.T.; Stangl, J. Unit cell parameters of wurtzite InP nanowires determined by X-ray diffraction. Nanotechnology 2011, 22, 425704. [Google Scholar] [CrossRef] [PubMed]
- Zafar, F.; Iqbal, A. Indium phosphide nanowires and their applications in optoelectronic devices. Proc. Math. Phys. Eng. Sci. 2016, 472, 20150804. [Google Scholar] [CrossRef] [PubMed]
- Haas, P.; Tran, F.; Blaha, P. Calculation of the lattice constant of solids with semilocal functionals. Phys. Rev. B Condens. Matter Mater. Phys. 2009, 79, 085104. [Google Scholar] [CrossRef]
- Denton, A.R.; Ashcroft, N.W. Vegard’s law. Phys. Rev. A 1991, 43, 3161–3164. [Google Scholar] [CrossRef] [PubMed]
- Kriegner, D.; Panse, C.; Mandl, B.; Dick, K.A.; Keplinger, M.; Persson, J.M.; Caroff, P.; Ercolani, D.; Sorba, L.; Bechstedt, F.; et al. Unit Cell Structure of Crystal Polytypes in InAs and InSb Nanowires. Nano Lett. 2011, 11, 1483–1489. [Google Scholar] [CrossRef] [PubMed]
- Evarestov, R. Theoretical Modeling of Inorganic Nanostructures; NanoScience and Technology; Springer: Berlin/Heidelberg, Germany, 2015. [Google Scholar]
- Humphrey, W.; Dalke, A.; Schulten, K. VMD: Visual molecular dynamics. J. Mol. Graph. 1996, 14, 33–38. [Google Scholar] [CrossRef]
- Ehrenreich, H. Electron mobility of indium arsenide phosphide [In(AsyP1−y)]. J. Phys. Chem. Solids 1959, 12, 97–104. [Google Scholar] [CrossRef]
- Murayama, M.; Nakayama, T. Chemical trend of band offsets at wurtzite/zinc-blende heterocrystalline semiconductor interfaces. Phys. Rev. B 1994, 49, 4710–4724. [Google Scholar] [CrossRef]
- De, A.; Pryor, C.E. Predicted band structures of III-V semiconductors in the wurtzite phase. Phys. Rev. B Condens. Matter Mater. Phys. 2010, 81, 155210. [Google Scholar] [CrossRef]
- Hjort, M.; Lehmann, S.; Knutsson, J.; Zakharov, A.A.; Du, Y.A.; Sakong, S.; Timm, R.; Nylund, G.; Lundgren, E.; Kratzer, P.; et al. Electronic and Structural Differences between Wurtzite and Zinc Blende InAs Nanowire Surfaces: Experiment and Theory. ACS Nano 2014, 8, 12346–12355. [Google Scholar] [CrossRef]
Sample Availability: Not available. |




| WZ | Orthorhombic (Error %) | Expt. | ||||
|---|---|---|---|---|---|---|
| a | b | c | Ref. | |||
| InAs | 7.4035 (0.01) | 4.2744 (0.01) | 7.0257 (0.01) | 4.2742 | 7.0250 | [38] |
| InP | 7.1822 (0.10) | 4.1466 (0.10) | 6.8098 (0.13) | 4.1423 | 6.8013 | [34] |
| InAsP | 7.3630 | 4.2503 | 13.9689 | |||
| ZB | Ref. | |||||
| InAs | 14.8456 (0.28) | 8.5711 (0.28) | 10.4975 (0.28) | 6.044 | [36] | |
| InP | 14.3931 (0.34) | 8.3098 (0.34) | 10.1774 (0.34) | 5.856 | [36] | |
| InAsP | 14.7286 | 8.5028 | 10.4155 | |||
© 2019 by the authors. Licensee MDPI, Basel, Switzerland. This article is an open access article distributed under the terms and conditions of the Creative Commons Attribution (CC BY) license (http://creativecommons.org/licenses/by/4.0/).
Share and Cite
Kim, I.; Kim, H.S.; Ryu, H. Piezoresistivity of InAsP Nanowires: Role of Crystal Phases and Phosphorus Atoms in Strain-Induced Channel Conductances. Molecules 2019, 24, 3249. https://doi.org/10.3390/molecules24183249
Kim I, Kim HS, Ryu H. Piezoresistivity of InAsP Nanowires: Role of Crystal Phases and Phosphorus Atoms in Strain-Induced Channel Conductances. Molecules. 2019; 24(18):3249. https://doi.org/10.3390/molecules24183249
Chicago/Turabian StyleKim, In, Han Seul Kim, and Hoon Ryu. 2019. "Piezoresistivity of InAsP Nanowires: Role of Crystal Phases and Phosphorus Atoms in Strain-Induced Channel Conductances" Molecules 24, no. 18: 3249. https://doi.org/10.3390/molecules24183249
APA StyleKim, I., Kim, H. S., & Ryu, H. (2019). Piezoresistivity of InAsP Nanowires: Role of Crystal Phases and Phosphorus Atoms in Strain-Induced Channel Conductances. Molecules, 24(18), 3249. https://doi.org/10.3390/molecules24183249

