Asymmetric and Reduced Xanthene Fluorophores: Synthesis, Photochemical Properties, and Application to Activatable Fluorescent Probes for Detection of Nitroreductase
Abstract
1. Introduction
2. Results and Discussion
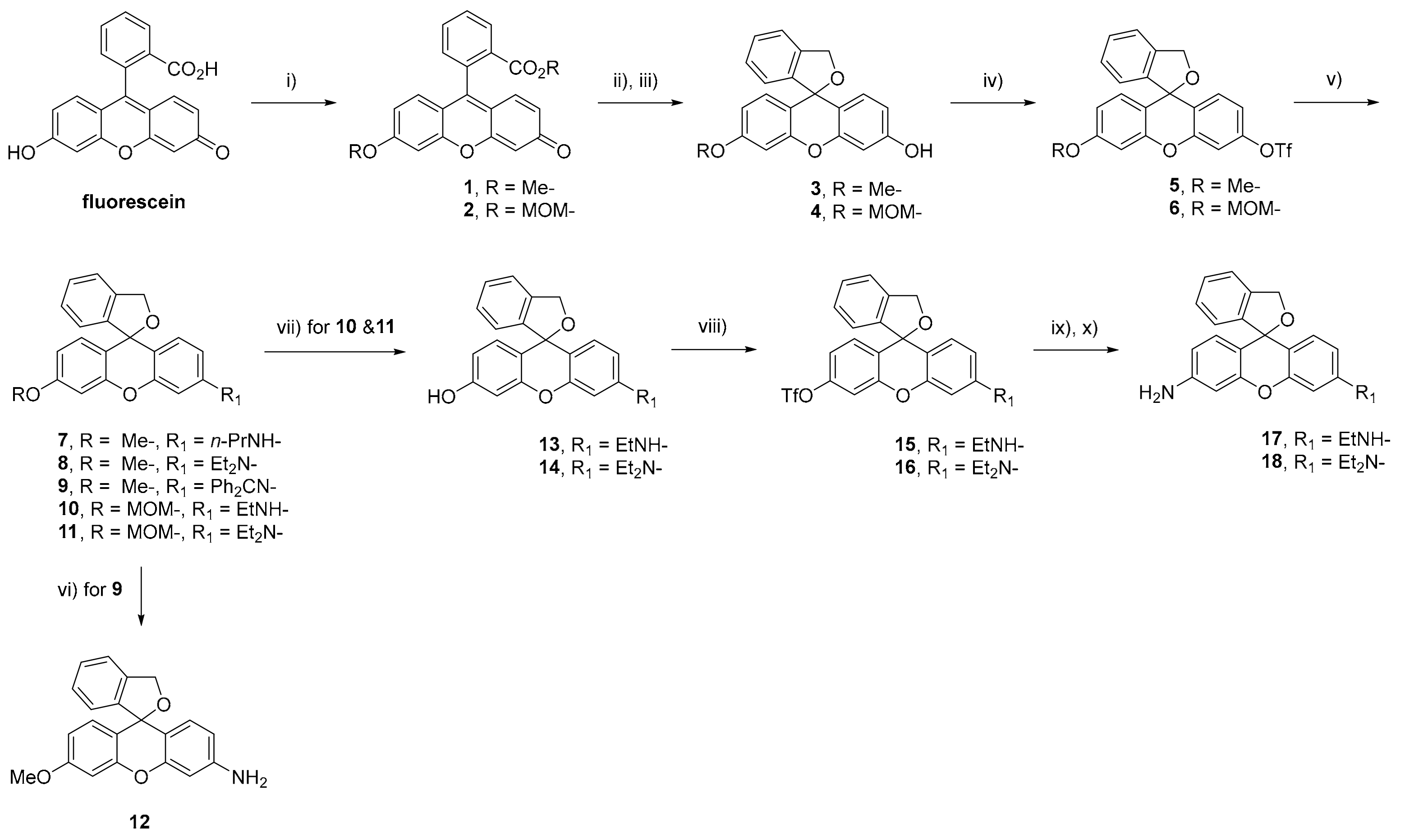
2.1. Chemistry
2.2. Photochemical Properties and NTR Reaction
3. Materials and Methods
3.1. Materials and Instrumentation
3.2. General Synthetic Procedures
3.2.1. General Procedure A: Alkylation
3.2.2. General Procedure B: LiAlH4 Reduction and p-Chloranil Oxidation
3.2.3. General Procedure C: Triflation
3.2.4. General Procedure D: Pd-Catalyzed Cross Coupling Reaction
3.2.5. General Procedure E: MOM-Deprotection
3.3. Determination of Fluorescence Quantum Yield
3.4. Concentration-Dependent Fluorescence Study of Fluorophores
3.5. Effect of pH on Fluorescence Intensity of Fluorophores
3.6. Solvent Effect on the Fluorescence Emission of Fluorophores
3.7. In vitro Nitroreductase Assay
3.8. pH and Thermal Stability of Fluorescent Probes
4. Conclusions
Supplementary Materials
Author Contributions
Funding
Conflicts of Interest
References
- Kobayashi, H.; Ogawa, M.; Alford, R.; Choyke, P.L.; Urano, Y. New Strategies for Fluorescent Probe Design in Medical Diagnostic Imaging. Chem. Rev. 2010, 110, 2620–2640. [Google Scholar] [CrossRef] [PubMed]
- Beija, M.; Afonso, C.A.M.; Martinho, J.M.G. Synthesis and Applications of Rhodamine Derivatives as Fluorescent Probes. Chem. Soc. Rev. 2009, 38, 2410–2433. [Google Scholar] [CrossRef] [PubMed]
- Whitaker, J.E.; Haugland, R.P.; Ryan, D.; Hewitt, P.C.; Haugland, R.P.; Prendergast, F.G. Fluorescent Rhodol Derivatives: Versatile, Photostable Labels and Tracers. Anal. Biochem. 1992, 207, 267–279. [Google Scholar] [CrossRef]
- Lacivita, E.; Leopoldo, M.; Berardi, F.; Colabufo, N.A.; Perrone, R. Activatable Fluorescent Probes: A New Concept in Optical Molecular Imaging. Curr. Med. Chem. 2012, 19, 4731–4741. [Google Scholar] [CrossRef] [PubMed]
- Zhao, J.; Jin, G.; Weng, G.; Li, J.; Zhu, J.; Zhao, J. Recent Advances in Activatable Fluorescence Imaging Probes for Tumor Imaging. Drug Discov. Today 2017, 22, 1367–1374. [Google Scholar] [CrossRef] [PubMed]
- More, K.N.; Lim, T.H.; Kim, S.Y.; Kang, J.; Inn, K.S.; Chang, D.J. Characteristics of New Bioreductive Fluorescent Probes Based on the Xanthene Fluorophore: Detection of Nitroreductase and Imaging of Hypoxic Cells. Dyes Pigm. 2018, 151, 245–253. [Google Scholar] [CrossRef]
- Song, F.; Garner, A.L.; Koide, K. A Highly Sensitive Fluorescent Sensor for Palladium Based on the Allylic Oxidative Insertion Mechanism. J. Am. Chem. Soc. 2007, 129, 12354–12355. [Google Scholar] [CrossRef]
- Song, F.; Watanabe, S.; Floreancig, P.E.; Koide, K. Oxidation-Resistant Fluorogenic Probe for Mercury Based on Alkyne Oxymercuration. J. Am. Chem. Soc. 2008, 130, 16460–16461. [Google Scholar] [CrossRef]
- Kamiya, M.; Asanuma, D.; Kuranaga, E.; Takeishi, A.; Sakabe, M.; Miura, M.; Nagano, T.; Urano, Y. β-Galactosidase Fluorescence Probe with Improved Cellular Accumulation Based on a Spirocyclized Rhodol Scaffold. J. Am. Chem. Soc. 2011, 133, 12960–12963. [Google Scholar] [CrossRef]
- Asanuma, D.; Sakabe, M.; Kamiya, M.; Yamamoto, K.; Hiratake, J.; Ogawa, M.; Kosaka, N.; Choyke, P.L.; Nagano, T.; Kobayashi, H.; et al. Sensitive β-galactosidase-Targeting Fluorescence Probe for Visualizing Small Peritoneal Metastatic Tumours In Vivo. Nat. Commun. 2015, 6, 6463. [Google Scholar] [CrossRef]
- Uno, S.; Kamiya, M.; Yoshihara, T.; Sugawara, K.; Okabe, K.; Tarhan, M.C.; Fujita, H.; Funatsu, T.; Okada, Y.; Tobita, S.; et al. A Spontaneously Blinking Fluorophore Based on Intramolecular Spirocyclization for Live-Cell Super-Resolution Imaging. Nat. Chem. 2014, 6, 681–689. [Google Scholar] [CrossRef] [PubMed]
- Iwatate, R.J.; Kamiya , M.; Urano , Y. Asymmetric Rhodamine-Based Fluorescent Probe for Multicolour In Vivo Imaging. Chem. Eur. J. 2016, 22, 1696–1703. [Google Scholar] [CrossRef] [PubMed]
- Au-Yeung, H.Y.; Chan, J.; Chantarojsiri, T.; Chang, C.J. Molecular Imaging of Labile Iron(II) Pools in Living Cells with a Turn-On Fluorescent Probe. J. Am. Chem. Soc. 2013, 135, 15165–15173. [Google Scholar] [CrossRef] [PubMed]
- Sakabe, M.; Asanuma, D.; Kamiya, M.; Iwatate, R.J.; Hanaoka, K.; Terai, T.; Nagano, T.; Urano, Y. Rational Design of Highly Sensitive Fluorescence Probes for Protease and Glycosidase Based on Precisely Controlled Spirocyclization. J. Am. Chem. Soc. 2013, 135, 409–414. [Google Scholar] [CrossRef] [PubMed]
- Fujii, T.; Kamiya, M.; Urano, Y. In Vivo Imaging of Intraperitoneally Disseminated Tumors in Model Mice by Using Activatable Fluorescent Small-Molecular Probes for Activity of Cathepsins. Bioconjugate Chem. 2014, 25, 1838–1846. [Google Scholar] [CrossRef] [PubMed]
- Taki, M.; Akaoka, K.; Mitsui, K.; Yamamoto, Y. A Mitochondria-Targeted Turn-On Fluorescent Probe Based on a Rhodol Platform for the Detection of Copper(I). Org. Biomol. Chem. 2014, 12, 4999–5005. [Google Scholar] [CrossRef]
- Niwa, M.; Hirayama, T.; Okuda, K.; Nagasawa, H. A New Class of High-Contrast Fe(II) Selective Fluorescent Probes Based on Spirocyclized Scaffolds for Visualization of Intracellular labile Iron Delivered by Transferrin. Org. Biomol. Chem. 2014, 12, 6590–6597. [Google Scholar] [CrossRef]
- Castelló Beltrán, C.; Palmer, E.A.; Buckley, B.R.; Iza, F. Virtues and Limitations of Pittsburgh Green for Ozone Detection. Chem. Commun. 2015, 51, 1579–1582. [Google Scholar] [CrossRef]
- Doura, T.; Kamiya, M.; Obata, F.; Yamaguchi, Y.; Hiyama, T.Y.; Matsuda, T.; Fukamizu, A.; Noda, M.; Miura, M.; Urano, Y. Detection of LacZ-Positive Cells in Living Tissue with Single-Cell Resolution. Angew. Chem. Int. Ed. 2016, 55, 9620–9624. [Google Scholar] [CrossRef]
- Best, Q.A.; Prasai, B.; Rouillere, A.; Johnson, A.E.; McCarley, R.L. Efficacious Fluorescence Turn-On Probe for High-Contrast Imaging of Human Cells Overexpressing Quinone Reductase Activity. Chem. Commun. 2017, 53, 783–786. [Google Scholar] [CrossRef]
- Yogo, T.; Umezawa, K.; Kamiya, M.; Hino, R.; Urano, Y. Development of an Activatable Fluorescent Probe for Prostate Cancer Imaging. Bioconjugate Chem. 2017, 28, 2069–2076. [Google Scholar] [CrossRef] [PubMed]
- Kuriki, Y.; Kamiya, M.; Kubo, H.; Komatsu, T.; Ueno, T.; Tachibana, R.; Hayashi, K.; Hanaoka, K.; Yamashita, S.; Ishizawa, T.; et al. Establishment of Molecular Design Strategy to Obtain Activatable Fluorescent Probes for Carboxypeptidases. J. Am. Chem. Soc. 2018, 140, 1767–1773. [Google Scholar] [CrossRef] [PubMed]
- Atwell, G.J.; Yang, S.; Pruijn, F.B.; Pullen, S.M.; Hogg, A.; Patterson, A.V.; Wilson, W.R.; Denny, W.A. Synthesis and Structure−Activity Relationships for 2,4-Dinitrobenzamide-5-mustards as Prodrugs for the Escherichia coli nfsB Nitroreductase in Gene Therapy. J. Med. Chem. 2007, 50, 1197–1212. [Google Scholar] [CrossRef] [PubMed]
- Peng, T.; Yang, D. Construction of a Library of Rhodol Fluorophores for Developing New Fluorescent Probes. Org. Lett. 2010, 12, 496–499. [Google Scholar] [CrossRef] [PubMed]
- Grimm, J.B.; Lavis, L.D. Synthesis of Rhodamines from Fluoresceins Using Pd-Catalyzed C–N Cross-Coupling. Org. Lett. 2011, 13, 6354–6357. [Google Scholar] [CrossRef]
- Butkevich, A.N.; Mitronova, G.Y.; Sidenstein, S.C.; Klocke, J.L.; Kamin, D.; Meineke, D.N.H.; D‘ Este, E.; Kraemer, P.T.; Danzl, J.G.; Belov, V.N.; et al. Fluorescent Rhodamines and Fluorogenic Carbopyronines for Super-Resolution STED Microscopy in Living Cells. Angew. Chem. Int. Ed. 2016, 55, 3290–3294. [Google Scholar] [CrossRef] [PubMed]
- Butkevich, A.N.; Belov, V.N.; Kolmakov, K.; Sokolov, V.V.; Shojaei, H.; Sidenstein, S.C.; Kamin, D.; Matthias, J.; Vlijm, R.; Engelhardt, J.; et al. Hydroxylated Fluorescent Dyes for Live-Cell Labeling: Synthesis, Spectra and Super-Resolution STED. Chem. Eur. J. 2017, 23, 12114–12119. [Google Scholar] [CrossRef]
- Haynes, C.A.; Koder, R.L.; Miller, A.F.; Rodgers, D.W. Structures of Nitroreductase in Three States: Effects of Inhibitor Binding and Reduction. J. Biol. Chem. 2002, 277, 11513–11520. [Google Scholar] [CrossRef]
- Horsman, M.R.; Mortensen, L.S.; Petersen, J.B.; Busk, M.; Overgaard, J. Imaging Hypoxia to Improve Radiotherapy Outcome. Nat. Rev. Clin. Oncol. 2012, 9, 674–687. [Google Scholar] [CrossRef]
- Faraggi, M.; Peretz, P.; Rosenthal, I.; Weinraub, D. Solution Properties of Dye Lasers. Rhodamine B in Alcohols. Chem. Phys. Lett. 1984, 103, 310–314. [Google Scholar] [CrossRef]
- Hinckley, D.A.; Seybold, P.G. A Spectroscopic/Thermodynamic Study of the Rhodamine B Lactone ⇌ Zwitterion Equilibrium. Spectrochim. Acta A Mol. Biomol. Spectrosc. 1988, 44, 1053–1059. [Google Scholar] [CrossRef]
- Magde, D.; Rojas, G.E.; Seybold, P.G. Solvent Dependence of the Fluorescence Lifetimes of Xanthene Dyes. Photochem. Photobiol. 1999, 70, 737–744. [Google Scholar] [CrossRef]
- Huth, B.G.; Farmer, G.I.; Kagan, M.R. Temperature-Dependent Measurements of a FlashlampPumped Dye Laser. J. Appl. Phys. 1969, 40, 5145–5147. [Google Scholar] [CrossRef]
- Rosenthal, I.; Peretz, P.; Muszkat, K.A. Thermochromic and Hyperchromic Effects in Rhodamine B Solutions. J. Phys. Chem. 1979, 83, 350–353. [Google Scholar] [CrossRef]
- Barigelletti, F. Effect of Temperature on the Photophysics of Rhodamine 101 in a Polar Solvent. Chem. Phys. Lett. 1987, 140, 603–606. [Google Scholar] [CrossRef]
- Hinckley, D.A.; Seybold, P.G.; Borris, D.P. Solvatochromism and Thermochromism of Rhodamine Solutions. Spectrochim. Acta A Mol. Biomol. Spectrosc. 1986, 42, 747–754. [Google Scholar] [CrossRef]
Sample Availability: Samples of the compounds are not available from the authors. |










| Comp. | 3 | 7 | 8 | 12 | 13 | 14 | 17 | 18 |
|---|---|---|---|---|---|---|---|---|
| λabs | 456 | 473 | 490 | 467 | 472 | 510 | 490 | 504 |
| λem | 518 | 535 | 554 | 519 | 532 | 553 | 537 | 556 |
| Φsa | 0.044 | 0.010 | 0.004 b | 0.013 | 0.824 b | 0.141 b | 0.399 | 0.042 a |
© 2019 by the authors. Licensee MDPI, Basel, Switzerland. This article is an open access article distributed under the terms and conditions of the Creative Commons Attribution (CC BY) license (http://creativecommons.org/licenses/by/4.0/).
Share and Cite
More, K.N.; Lim, T.-H.; Kang, J.; Yun, H.; Yee, S.-T.; Chang, D.-J. Asymmetric and Reduced Xanthene Fluorophores: Synthesis, Photochemical Properties, and Application to Activatable Fluorescent Probes for Detection of Nitroreductase. Molecules 2019, 24, 3206. https://doi.org/10.3390/molecules24173206
More KN, Lim T-H, Kang J, Yun H, Yee S-T, Chang D-J. Asymmetric and Reduced Xanthene Fluorophores: Synthesis, Photochemical Properties, and Application to Activatable Fluorescent Probes for Detection of Nitroreductase. Molecules. 2019; 24(17):3206. https://doi.org/10.3390/molecules24173206
Chicago/Turabian StyleMore, Kunal N., Tae-Hwan Lim, Julie Kang, Hwayoung Yun, Sung-Tae Yee, and Dong-Jo Chang. 2019. "Asymmetric and Reduced Xanthene Fluorophores: Synthesis, Photochemical Properties, and Application to Activatable Fluorescent Probes for Detection of Nitroreductase" Molecules 24, no. 17: 3206. https://doi.org/10.3390/molecules24173206
APA StyleMore, K. N., Lim, T.-H., Kang, J., Yun, H., Yee, S.-T., & Chang, D.-J. (2019). Asymmetric and Reduced Xanthene Fluorophores: Synthesis, Photochemical Properties, and Application to Activatable Fluorescent Probes for Detection of Nitroreductase. Molecules, 24(17), 3206. https://doi.org/10.3390/molecules24173206

