Next Article in Journal
Prediction of Disease-related microRNAs through Integrating Attributes of microRNA Nodes and Multiple Kinds of Connecting Edges
Next Article in Special Issue
A New Method for the Synthesis of 3-Thiocyanatopyrazolo[1,5-a]pyrimidines
Previous Article in Journal
Optimization of Membrane Electrode Assembly of PEM Fuel Cell by Response Surface Method
Previous Article in Special Issue
[1,2,5]Thiadiazolo[3,4-d]Pyridazine as an Internal Acceptor in the D-A-π-A Organic Sensitizers for Dye-Sensitized Solar Cells
 
 
Font Type:
Arial Georgia Verdana
Font Size:
Aa Aa Aa
Line Spacing:
Column Width:
Background:
Article

Synthesis, Structure, and Reactivity of Binaphthyl Supported Dihydro[1,6]diazecines

1
Institute of Organic Chemistry, University of Vienna, Währinger Straße 38, 1090 Wien, Austria
2
Institute of Chemical Catalysis, University of Vienna, Währinger Straße 38, 1090 Wien, Austria
3
Institute of Inorganic Chemistry, University of Vienna, Währinger Straße 42, 1090 Wien, Austria
*
Author to whom correspondence should be addressed.
Molecules 2019, 24(17), 3098; https://doi.org/10.3390/molecules24173098
Submission received: 23 July 2019 / Revised: 23 August 2019 / Accepted: 25 August 2019 / Published: 26 August 2019
(This article belongs to the Special Issue Non-Natural Multi-Heteroatom Heterocycles: New Chemical Space)

Abstract

A short approach to chiral diaza-olefines from protected 2,2′-diamino-1,1′-binaphthyl is presented. Cis- and trans-olefines can be selectively obtained by twofold N-allylation followed by RCM or by bridging a 2,2′-diamino-1,1′-binaphthyl precursor with trans-1,4-dibromo-2-butene. Deprotection afforded cis- and trans-dihydro[1,6]diazecines 1 in 58 and 64% overall yield. The reactivity of the but-2-ene-1,4-diyl fragment was investigated yielding corresponding epoxides, diols, and mono- and dibromo products. In several cases rearrangements and participation of the proximate N-Boc group was observed. In no case could allylic substitution be accomplished. From 13 compounds X-ray structure analyses could be obtained.

1. Introduction

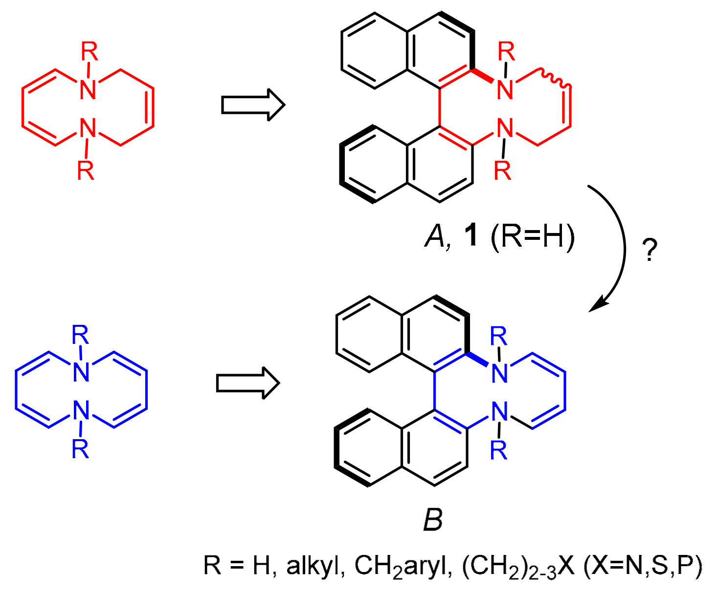
Monoolefine and diolefine ligands are often key players in homogeneous catalysis and have found various applications in asymmetric transformations [1,2]. The preferred structures are either rigid, based on bicyclic diene skeletons [3,4,5], semi-rigid, consisting of a mono-ene as part of a cycle which is linked to P [6,7] or S [8,9] functionalities as second coordination site, or flexible with the olefin part being a freely rotating pending side arm attached at a chiral back bone [10,11,12,13,14,15,16,17,18,19,20]. Some examples showing structural diversity are depicted in Figure 1.
The requirement for an efficient chiral ligand in transition metal catalysis is its ability to form only a few, conformative stable diastereomeric intermediates during the catalytic cycle. Ideally, these show highly differing stability and/or traversing transition states with significantly different activation energy on the reaction path to product enantiomers. This is usually fulfilled if stable chelate structures are involved. The challenge in catalyst design is to produce molecules with two coordination centres with a sufficiently large chiral cavity and tuned rigidity to form stable substrate complexes best as a single conformer. As the search for proper catalysts is a largely empirical and time consuming process, easy access to ligand libraries to be tested is desired. To this end, structural modification should be done at a late stage of the synthesis, preferably as the last step.
As a further extension of ligand design, we therefore considered the incorporation of an atropomeric biaryl unit as part of a cycloolefine A or –diolefine moiety B (Figure 2). This would place corresponding olefine complexes in a chiral environment with a variable degree of conformative freedom depending on the size and rigidity of the perimeter. Introduction of N-alky or –methylaryl substituents will fine-tune steric interactions. In the case of monoolefine A, various N-substituents also containing heteroatoms (sulphur or phosphorus functional groups preferred) could be introduced in the final step to act as further potential coordination sites. The aim of the present investigation was to synthesize the simplest candidate 1 (R=H) through bridging of 2,2′-diamino-1,1′-binaphthyl, exploring stereochemistry and reactivity [21].

2. Results and Discussion

For the synthesis of 1 in the beginning, a seemingly simple cyclization step of diaminobinaphthyl 2 was considered using trans-1,4-dibromo-2-butene or trans-1,4-dihydroxy-2-butene (Scheme 1). Unfortunately, only inseparable mixtures of, and in part oligomerized, products were obtained. Alternatively, olefin ring closing metathesis (RCM) of bis-N-allyl substrate 6 with Grubbs I, Grubbs II, Grubbs-Hoveyda II, and Schrock′s catalyst was attempted, which was previously successfully applied for substrates with unprotected NH functionality [22,23,24,25]. With none of these catalysts did a cyclization of 6 take place, neither at r.t. nor elevated temperature.
Protection of NH was therefore envisaged and suitable N-protecting groups (PG) were installed before the RCM step [26]. Diaminobinaphthyls 3ad with N-Ms [27], N-Ts [28], N-TFA, and N-Boc groups [29] were synthesized under standard conditions and obtained in good yield (86–93%). While in the subsequent allylation 3a and 3d performed well, yielding the disubstituted products 4a and 4d in 80% and 89%, respectively, the substitution of Ts-protected amine 3b proceeded slowly affording 28% of 4b along with 29% of the mono-allylated product.
We were pleased to discover that in the case of 3d the reactivity could be effectively controlled through proper choice of solvent. In THF, mono-allylation exclusively took place (71%), while on the other hand 89% of diallyl product 4d was obtained in DMF.
The allylation of bis(trifluoro)acetamide 3c proceeded slowly at r.t., yielding only monosubstitution product (DMF, NaH). Conducting the reaction at reflux (48 h) in acetonitrile in the presence of K2CO3 resulted in a complex mixture, only separable in part by chromatography. Two bands were isolated, each of which contained at least three compounds, two with C2 symmetry and one with C1 symmetry as evidenced by 19F-NMR (see Supplementary Materials). Fortunately, one component of fraction 2 crystallized and X-ray crystallography confirmed the expected structure 4c (Figure 3). Re-dissolving the crystalline material in CDCl3 gave identical spectra as before crystallization, supporting the assumption of three interconverting species in equilibrium. The same mixture was obtained as the sole product from diallyl compound 6 upon treatment with TFAA at r.t. The solution structure of neither of these compounds, nor of those present in the first fraction could be elucidated to date. All fractions gave the same HRMS and contain isomers of 4c.
For the RCM step of 4ad commercially available catalysts Grubbs I, Grubbs II, and Grubbs-Hoveyda II were tested [30]. It was found that the influence of the type of catalyst on reactivity was moderate, but instead a pronounced impact of the nature and bulkiness of PG on reactivity and cis/trans selectivity was observed. While a complex mixture was formed from 4c with no clear evidence for formation of a cyclic product 5c [31], products with cis-geometry dominated (5a,b) or were formed exclusively (76% of cis-5d with Grubbs I). Having developed a synthetic route with high yields and remarkable selectivity with PG = Boc, the synthesis 23d4dcis-5dcis-1 was chosen for subsequent investigations. Gratifying, the geometric isomer trans-5d was selectively accessible in 64% from 3d and trans-1,4-dibromo-2-butene in one step. The deprotection under standard conditions proceeded smoothly, affording cis- and trans-1 in quantitative yield.
The bulkiness of protecting groups effectively controlled the stability of conformers arising through rotation around the naphthyl-N bond. In 1H-NMR spectra significant line broadening of allyl moieties of 4a and 4b was observed, particularly pronounced for 4d.
Solid state structure of N-protected cycles cis- and trans-5a and 5d as well as cycles with free NH cis- and trans-1 did not show evidence for severe steric strain (Figure 4). Double bonds only display small deviations from planarity (maximum 5.2° for trans-1) as a consequence of widely unrestricted rotability of the binaphthyl bond. Most striking are differences between cis- and trans-1 with Ar-Ar angles of 65.2° and 98.9° and N-N distances of 3.04 Å and 4.31 Å, respectively. In trans-5d, as well as in trans-1 intermolecular hydrogen bonds were observed (C-H∙∙∙∙O and N∙∙∙∙H, respectively see Supplementary Materials) and intramolecular C-H∙∙∙∙π-ring interactions in trans-5d.
Cis- and trans-1 was completely stable in toluene even when heated to 100 °C which is in contrast to corresponding [1,6]dioxecine which could not be trapped due to its readiness to undergo Claisen rearrangement [32,33].
The reactivity of intermediates 5d was investigated next. Reaction of cis-5d with bromine did not give the expected dibromide by simple trans addition (Scheme 2). Instead formation of a cyclic carbamate 7 was observed, obviously formed through attack of the Boc group on the bromonium ion [34]. This step is facilitated as the tert-butyl cation is trapped by bromide, eventually forming some amount of isobutene with liberation of HBr which removes the second Boc group to give 8 as a sequence product. Racemic 7 crystallized in a chiral space group (see Supplementary Materials). From a non-racemic crystal relative configurations were determined as being 10S, 11S, in a binaphthyl with (S)ax configuration. While 7 exists as a single geometric form, two conformers of 8 were detected in an approximate ratio of 60:40 (1H-NMR). Also trans-5d did not afford the 2,3-dibromide; instead, ring contracted product 9 was isolated in 71% yield. The geometry of 9 was in agreement with HRMS and confirmed by X-ray structure analysis (Figure 5).
The 1H-NMR spectrum, even from the crystallized compound, was a complex which was attributed interconverting conformers. A N-boc aziridinium cation A is suggested as an intermediate as a similar rearrangement was reported by Paquette et al. [35]. The reaction is rather slow and required more than 48 h to complete. Attempts to cleave the Boc groups proceeded only with an excess of TFA and resulted in a mixture of two products, both without Boc groups (1H-NMR). One was identified as cyclic carbamate 10.
Epoxidation of cis- and trans-5 (Scheme 3) proceeded with both when employing m-CPBA under standard conditions [36], however considerably faster with the trans-substrate yielding 11 (57%) and 12 (89%), respectively. During prolonged reaction time, increasing amounts of hydroxyketone 11′ (10–30%) were formed. X-ray structure analysis confirmed the geometry of 12 and 11′. Both compounds showed inter moleculer (11′, O-H∙∙∙O=C) or intra molecular interaction (12, C-H∙∙∙∙π-ring). For details see Supplementary Materials, Figures S14 and S16. Treatment of 11 with excess of TFA afforded cyclocarbamate 13 still carrying one Boc group. Since formation of 5-membered rings is in general faster, this structure appears to be more reasonable than the isomeric 6-membered carbamate and is in agreement with 2D-NMR. A similar transformation has been reported by Tietze et al. [37]. Attempted deprotection of 12 with TFA at r.t. yielded a mixture of 14 and 15.
Bromination and TFA-induced deprotection of epoxides show similar behavior, best explained with the presence of cyclic onium ions in both cases (Figure 6). Their reactivity might be controlled through conformation of the substrate with efficient shielding preventing intermolecular reactivity but favouring an intramolecular attack of the boc group. The trans-isomer of 5d forms (protonated) epoxide 12 (and obviously also a cyclic bromonium ion) with local C2 symmetry, which will be attacked by N rather than by O as the Boc group is directed outside the perimeter (distance C-N: 2.4 Å) to give 9 via A (Scheme 2) and (presumably) a precursor of 15. In both cases a N-boc-aziridinium ion might be a key intermediates. In contrast, the cis-isomer of 5d may form an onium ion with better accessibility of the Boc carbonyl group yielding 7 and 13, respectively (distance C-O: 2.7 Å).
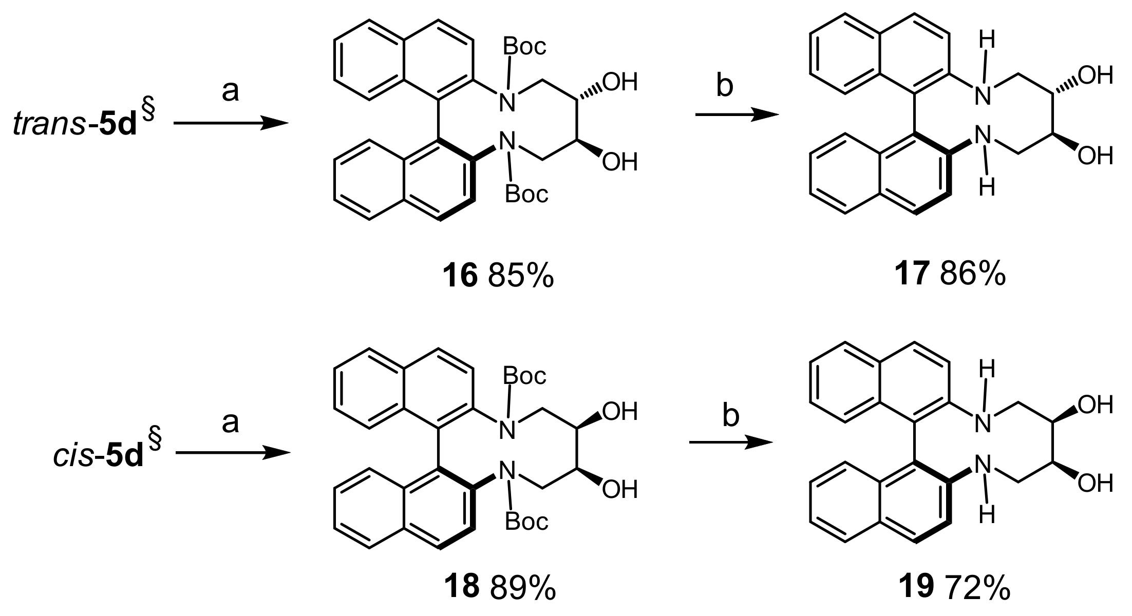
The dihydroxylation of cis- and trans-5d under standard conditions (K2OsO4, N-methylmorpholino-N-oxide (NMO) afforded diols 16 and 18 and after deprotection dihydroxydiamines 17 and 19 in good yield. The hydrogenation of cis- or trans-5d yielded diamine 21 in two steps (Scheme 4 and Scheme 5). The X-ray structure of 21 was determined (see Supplementary Materials).
Treatment of unprotected substrates, cis- and trans-1, with bromine under various conditions produced inseparable mixtures of polybrominated products. 1H-NMR spectra showed formation of several compounds with up to four bromo substituents (also in position 6 and 6′ of the binaphthyl moiety).
Summarizing, a short synthetic route for two ten-membered chiral diaza-macrocyles, cis- and trans-1, in 3 and 4 steps from 2,2′-diamino-1,1′-binaphthyl (58-64% overall yield) was developed and the reactivity of Boc-protected precursors towards bromine, m-CPBA, K2OsO4/NMO, and H2/Pd was investigated. In several cases, rearranged products could be isolated and characterized. Crystal structures of target compounds and various intermediates were determined.

3. Materials and Methods

3.1. General Considerations

Melting points: Kofler melting point apparatus, uncorrected. NMR: recorded at 400.27 MHz (1H) and 100.66 MHz (13C), respectively, or at 600.25 MHz (1H) and 150.95 MHz (13C), respectively, on a Bruker AVIII400 or AVIII600 spectrometer. Chemical shifts δ were reported in ppm; for 1H rel. to (residuals non-deuterated) solvent signals (chloroform-d or DMSO-d6: 7.26 or 2.50 ppm, respectively), for 13C to CDCl3 or (CD3)2SO at 77.00 or 39.52 ppm, respectively. Coupling patterns were designated as s(inglet), d(oublet), t(riplet), q(uartet), m(ultiplet), ps(eudo), and br(oad). 13C{1H}-NMR spectra are recorded in a J-modulated mode; signals are assigned as C, CH, CH2, and CH3. HRMS: ESI (maXis ESI-Qq-TOF mass spectrometer, Bruker Daltonics, Bremen, Germany), or EI (Bruker, 70 eV).
Heptane fraction (PE), dichloromethane (DCM), and ethyl acetate (EtOAc) were distilled, absolute THF from sodium benzophenone ketyl, dichloromethane (DCM), DMF, and acetonitrile from CaH2; Li hexamethyldisilazide (LHMDS) was used as a 1.0 molar solution in THF. All the other chemicals were analytical grade and used without further purification. Preparative medium pressure chromatography (MPLC) was performed on an Isolera One chromatograph (Biotage) applying a solvent gradient using self-packed cartridges (SiO2, 40-63 µm). Reported procedures have been followed to obtain 2,2′-diamino-1,1′-binaphthyl (2) [38] and di-tert-butyl [1,1′-binaphthalene]-2,2′-diyldicarbamate (3d) [29].

3.2. Synthesis

(E)-11,12,15,16-Tetrahydrodinaphtho [2,1-b:1′,2′-d][1,6]diazecine (trans-1): A solution of trans-5d (67 mg, 0.12 mmol) in DCM (3 mL) was cooled to 0 °C and an excess of TFA (1.5 mL) was added. The mixture was stirred for 2 h and then kept at 4 °C overnight. The reaction was quenched by careful addition of saturated NaHCO3 solution (10 mL) and extracted with DCM. The organic layer was dried (Na2SO4) and the solvent was evaporated at reduced pressure, affording 40 mg (99%) of trans-1 as colorless crystals; m.p.: 204–207 °C. 1H-NMR δ = 7.99 (d, J = 8.8 Hz, 2H); 7.91 (d, J = 8.2 Hz, 2H); 7.48 (d, J = 8.8 Hz; 2H); 7.43 (ddd, J = 8.2, 6.5, 1.7 Hz, 2H); 7.31 (ddd, J = 8.4, 6.6, 1.3 Hz, 2H); 7.27 (dm, J = 8.4 Hz, 2H); 4.67–4.76 (m, 2H); 3.42 (dm, J = 13.1 Hz, 2H); 3.22 (dm, J = 13.1 Hz, 2H); ~2.8 (br.s, 2H). 13C-NMR δ = 144.5 (C); 133.6 (C); 130.8 (C); 129.6 (CH); 128.7 (C); 128.3 (CH); 127.8 (CH); 127.3 (CH); 126.6 (CH); 125.0 (CH); 124.9 (CH); 52.2 (CH2). HRMS: calcd for C24H21N2 [M + H]+: 337.1698; found: 337.1696.
(Z)-11,12,15,16-Tetrahydrodinaphtho[2,1-b:1′,2′-d][1,6]diazecine (cis-1): The same procedure was applied as given for trans-1; yield: 34 mg (99%, colorless crystals, 0.1 mmol scale); m.p.: 184–185 °C. 1H-NMR δ = 7.90 (d, J = 8.7 Hz, 2H); 7.82 (br.d, J = 8.0 Hz, 2H); 7.35 (d, J = 8.8 Hz, 2H); 7.29 (ddd, J = 8.1, 6.6, 1.5 Hz, 2H); 7.21 (ddd, J = 8.5, 6.6, 1.4 Hz, 2H); 7.17 (dm, J = 8.5 Hz, 2H); 5.92–6.00 (m, 2H); 3.73–3.91 (m, 4H); 3.30 (br.s, 2H). 13C-NMR δ = 145.8 (C); 134.0 (C); 132.7 (CH); 129.7 (CH); 129.3 (C); 128.1 (CH); 126.7 (CH); 125.4 (CH); 123.2 (CH); 118.5 (CH); 117.7 (C); 45.1 (CH2). HRMS: calcd for C24H21N2 [M + H]+: 337.1705; found: 337.1696.
N,N′-([1,1′-Binaphthalene]-2,2′-diyl)dimethanesulfonamide (3a): To a solution of 2 (142 mg, 0.5 mmol) in pyridine (1 mL)/DCM (4 mL) was added mesylchloride (126 mg, 1.1 mmol) and the orange mixture was stirred at r.t. After 24 h, a second portion of mesylchloride was added (126 mg, 1.1 mmol) and stirring was continued. After complete conversion (TLC), the reaction was acidified (HCl, 1 M) and sufficiently extracted with DCM. The organic phase was dried (MgSO4) and the solvent removed under reduced pressure. The crude mixture was purified by MPLC (EtOAc (30→50%)/heptane) to yield 223 mg (quant.) of 3a as a mixture of tautomers; m.p.: 221–222 °C. 1H-NMR (C2-symmetric tautomer) δ = 8.10 (d, J = 8.9 Hz, 2H); 8.02 (d, J = 8.9 Hz, 2H); 7.95 (br.d, J = 8.2 Hz, 2H); 7.47 (ddd, J = 8.0, 6.8, 1.1 Hz, 2H); 7.31 (ddd, J = 8.4, 6.9, 1.3 Hz, 2H); 6.99 (br.d, J = 8.3 Hz, 2H); 6.02 (br.s, 2H); 2.97 (s, 6H). 13C-NMR δ = 134.4 (C); 132.5 (C); 131.5 (CH); 131.2 (C); 128.7 (CH); 128.2 (CH); 126.1 (CH); 124.5 (CH); 118.5 (C); 118.2 (CH); 41.0 (CH3). HRMS: calcd for C22H20NaN2O4S2 [M + Na]+: 463.0762; found 463.0762.
N,N′-([1,1′-Binaphthalene]-2,2′-diyl)bis(4-methylbenzenesulfonamide) (3b): A similar procedure as given for 3a was applied, yielding 252 mg (85%, 0.5 mmol scale) of 3b as off-white solid. NMR spectra are in agreement with references [28,39].
N,N′-([1,1′-Binaphthalene]-2,2′-diyl)bis(2,2,2-trifluoroacetamide) (3c): To a solution of 1,1′-binaphthyl-2,2′-diamine 2 (569 mg, 2 mmol) in THF (30 mL) was added solid Na2CO3 (212 mg, 2 mmol) followed by dropwise addition of TFAA (1.27 mL, 9 mmol) in THF (30 mL). After 2 h the reaction was quenched with sat. NaHCO3 solution and extracted with EtOAc, washed with H2O and brine, dried (Na2SO4), and evaporated to give 826 mg (87%) of 3c; colorless crystals; m.p.: 195–196 °C. The product was pure enough for the next step. 1H-NMR: δ = 8.19 (d, J = 8.9 Hz, 2H); 8.14 (d, J = 8.9 Hz, 2H); 8.01 (d, J = 8.2 Hz, 2H); 7.72 (s, 2H); 7.56 (ddd, J = 8.2, 6.8, 1.2 Hz, 2H); 7.38 (ddd, J = 8.4, 6.8, 1.3 Hz, 2H); 7.13 (dm, J = 8.6 Hz, 2H). 13C-NMR δ = 132.3 (C); 131.8 (C); 131.7 (C); 130.9 (CH); 128.7 (CH); 128.2 (CH); 127.0 (CH); 124.7 (CH); 124.0 (C); 121.8 (CH); 115.3 (CF3, JCF ~280 Hz). HRMS: calcd for C24H15F6N2O2 [M + H]+: 477.1038; found 477.1041.
N,N′-([1,1′-Binaphthalene]-2,2′-diyl)bis(N-allylmethanesulfonamide) (4a): Bis(N-mesylate) 3a (220 mg, 0.5 mmol) was suspended in acetonitrile and degassed. To this was added allylbromide (420 mg, 3.5 mmol) and K2CO3 (350 mg, 2.5 mmol), and the mixture was stirred at 85 °C for 48 h. Extractive work-up with EtOAc/water left crude diallylated product which was purified by column chromatography (EtOAc (20→30%)/heptane) to yield 208 mg (80%) of 4a; m.p.: 197–199 °C. 1H-NMR: δ = 7.99 (d, J = 8.8 Hz, 2H); 7.92 (br.d, J = 8.2 Hz, 2H); 7.65 (d, J = 8.9 Hz, 2H); 7.49 (ddd, J = 8.0, 6.8, 1.0 Hz, 2H); 7.26 (ddd, J = 8.4, 6.9, 1.3 Hz, 2H); 7.08 (d, J = 8.4 Hz, 2H); 5.67 (br.s, 2H); 4.96–5.08 (m, 4H); 3.73–4.05 (br.m, 4H); 2.54 (br.s, 6H). 13C-NMR δ = 138.1 (br.C); 133.8 (C); 132.6 (C); 132.3 (C); 129.2 (CH); 128.2 (br.CH); 127.9 (CH); 127.7 (br.CH); 126.7 (CH); 126.6 (CH); 119.3 (CH2); 54.4 (br.CH2); 41.7 (br.CH3). HRMS: calcd for C28H28NaN2O4S2 [M + Na]+: 543.1388; found 543.1394.
N,N′-([1,1′-Binaphthalene]-2,2′-diyl)bis(N-allyl-4-methylbenzenesulfonamide) (4b): A similar procedure as given for the synthesis of 4a was applied using an excess of allylbromide (8 equ.) and 48 h reflux to afford 92 mg (28%, 0.5 mmol scale) of 4b (along with 92 mg, 29% of mono-allylated product); m.p.: 125–128 °C. 1H-NMR: δ = 7.94 (d, J = 8.8 Hz, 2H); 7.87 (d, J = 8.0 Hz, 2H); 7.61 (br.d, J = 8.8 Hz, 2H); 7.43 (ddd, J = 8.0, 6.9, 1.1 Hz, 2H); 7.14–7.29 (br.m, 4H); 7.18 (ddd, J = 8.2, 6.7, 1.1 Hz, 2H); 7.06 (br.d, J = 8.4 Hz, 2H); 6.96–7.08 (br.m, 4H); 5.68 (br.s, 2H); 4.76–4.91 (br.m, 4H); 4.03–4.21 (br.m, 2H); 3.73–3.93 (br.m, 2H); 2.35 (s, 6H). 13C-NMR δ = 143.0 (br.C); 137.3 (br.C); 134.4 (C); 134.0 (C); 133.6 (br.CH); 132.6 (C); 129.1 (CH); 128.8 (CH); 128.7 (br.CH); 127.8 (CH); 127.5 (br.CH); 126.6 (CH); 126.2 (CH); 118.7 (CH2); 21.5 (CH3). HRMS: calcd for C40H36NaN2O4S2 [M + Na]+: 695.2014; found 695.2026.
N,N′-([1,1′-binaphthalene]-2,2′-diyl)bis(N-allyl-2,2,2-trifluoroacetamide) (4c): (Method A) Bis(trifluoroacetamide) 3c (238 mg, 0.5 mmol) was dissolved in MeCN (10 mL) and degassed. To this was added K2CO3 (346 mg, 2.5 mM) and allylbromide (423 mg, 303 µL, 3.5 mM) and the mixture was stirred at reflux for 20 h. The reaction was worked up with DCM (50 mL)/water (20 mL). The organic phase was washed with water and brine and dried (MgSO4). After removal of solvents the crude material was subjected to MPLC (EtOAc (5→20%)/heptane) afforded 109 mg (95% purity, 40% yield) of 4c as mixture of rotamers. Due to complexity of the 1H and 13C-NMR spectra, no signal assignment was possible (see Supplementary Materials). 19F-NMR: δ = −66.43 (s); −66.53 (q, J = 6.0 Hz); −68.43 (q, J = 6.0 Hz); −68.65 (s). HRMS: calcd for C30H22NaF6N2O2 [M + Na]+: 579.1483; found 579.1467.
(Method B) To a solution of diallyldiamine 6 (142 mg, 0.5 mmol), Et3N (101 mg, 139 µL, 1 mmol) and DIMAP (122 mg, 1 mmol) in DCM (5 mL) was added trifluoroacetic anhydride (420 mg, 282 µL, 2 mmol) at r.t. and the solution was stirred for 24 h. Extractive work-up with DCM (30 mL)/water (20 mL) and MPLC (see above) afforded of 4c (140 mg, 50%, colorless crystals, m.p.: 175–176 °C).
Di-tert-butyl [1,1′-binaphthalene]-2,2′-diylbis(allylcarbamate) (4d): A stirred suspension of Boc protected 2,2′-diamino-1,1′-binaphthyl 3d [29] (242 mg, 0.5 mmol) in DMF (5 mL) was mixed at 0 °C with NaH (60 mg, 1.5 mmol, 60% in mineral oil) and then warmed up to r.t. during 30 min. The mixture was cooled to 0 °C again and treated with allylbromide (173 µL, 2 mmol) After stirring for 16 h at r.t. the reaction was diluted with EtOAc, washed with water and brine, dried (MgSO4), and concentrated under reduced pressure. Purification by MPLC (EtOAc (10→30%)/heptane) afforded 270 mg (93% purity, 89% yield, colorless foam) of 4d as mixture of rotamers. 1H-NMR δ = 7.88 (d, J = 7.9 Hz, ~2H); 7.87 (d, J = 8.5 Hz, ~2H); 7.42 (ps.t, J = 7.6 Hz, ~2H); 7.33 (d, J = 8.9 Hz, ~1H); 7.17 (ps.t, J = 7.5 Hz, ~1H); 6.85 (d, J = 8.5 Hz, ~1H); 5.59–5.72 (m, ~1H); 4.79 (d, J = 10.1 Hz, ~1H); 4.54 (d, J = 17.1 Hz, ~1H); 3.99 (dd, J = 15.4, 4.0 Hz, ~1H); 2.91 (dd, J = 15.4, 7.8 Hz, ~1H); 1.44 (br.s, >9H). In addition several unresolved multiplets were observed between 2.8 and 8.0 ppm. HRMS: calcd for C36H40N2NaO4 [M + Na]+: 587.2886; found: 587.2893.
Repetition of allylation of 3d in THF with a reaction time of 2 h at r.t. afforded 112 mg (71%, 0.3 mmol scale) of mono-allylated product, tert-butyl allyl(2′-((tert-butoxycarbonyl)amino)-[1,1′-binaphthalen]-2-yl)carbamate. 1H-NMR δ = 6.57–8.30 (several br.m, ~12H); 5.40–5.90 (m, 1H); 4.45–4.92 (m, 2H); 2.80–4.20 (m, 2H); 1.37; 1.28; 1.25 (3× br.s, ~18H). HRMS: calcd for C33H36N2NaO4 [M + Na]+: 547.2573; found: 547.2576.
(Z)- and (E)-11,16-Bis(methylsulfonyl)-11,12,15,16-tetrahydrodinaphtho[2,1-b:1′,2′-d][1,6]diazecine, (cis- and trans-5a) (Typical procedure): To a solution of 4a (52 mg, 0.1 mmol) in DCM (7 mL) was added at 40 °C Grubbs II catalyst (8.5 mg, 10 mol%) in DCM (3 mL) during 6 h by syringe pump. After 24 h the solvent was removed and the product mixture separated by chromatography (30→50% EtOAc/PE) to yield trans-5a (2 mg, 4%), cis-5a (35 mg, 71%), and a side product with shifted double bond cis-5a′ (9 mg, 18%). Repetition with Grubbs I catalysts afforded trans-5a (15%), cis-5a (55%), and 4a (2%).
trans-5a: Colorless crystals, m.p.: 248–255 °C, dec. 1H-NMR δ = 8.06 (d, J = 8.7 Hz, 2H); 7.92 (br.d, J = 8.2 Hz, 2H); 7.63 (br.d, J = 8.6 Hz, 2H), 7.62 (d, J = 8.6 Hz, 2H); 7.53 (ddd, J = 8.1, 6.9, 1.3 Hz, 2H); 7.38 (ddd, J = 8.3, 6.8, 1.3 Hz, 2H); 4.78–4.88 (m, 2H); 3.96–4.04 (m, 2H); 3.54–3.65 (m, 2H); 2.04 (s, 6H). 13C-NMR δ = 137.5 (C); 135.1 (C); 133.9 (C); 132.7 (C); 130.1 (CH); 129.5 (CH);129.1 (CH); 128.5 (CH); 127.5 (CH); 127.1 (CH); 126.5 (CH); 53.8 (CH2); 40.2 (CH3). HRMS (EI) calcd for C26H24N2O4S2 [M]+: 492.1178; found: 492.1171.
cis-5a: Colorless crystals, m.p.: 125–129 °C. 1H-NMR δ = 8.00 (d, J = 8.8 Hz, 2H); 7.90 (d, J = 8.2 Hz); 7.55 (d, J = 8.7 Hz, 2H); 7.47–7.53 (m, 2H); 7.29–7.35 (m, 4H); 5.80–5.88 (m, 2H); 4.16–4.23 (m, 4H); 1.88 (s, 6H). 13C-NMR δ = 137.8 (C); 135.0 (C); 133.5 (C); 132.4 (C); 129.9 (CH); 129.7 (CH); 128.4 (CH); 128.2 (CH); 127.7 (CH); 127.0 (CH); 126.7 (CH); 46.8 (CH2); 40.7 (CH3). HRMS (EI) calcd for C26H24N2O4S2 [M]+: 492.1178; found: 492.1168.
(Z)- and (E)-11,16-Ditosyl-11,12,15,16-tetrahydrodinaphtho[2,1-b:1′,2′-d][1,6]diazecine (cis- and trans-5b): A similar procedure as given for 5a was applied yielding a mixture of cis- and trans-5b, which was only in part separable affording trans-5b (~16%, enriched sample) and cis-5b (36 mg, 56%, 0.1 mmol scale) as a colorless foam.
trans-5b: 1H-NMR δ = 8.13 (d, J = 8.8 Hz, 2H); 8.04 (d, J = 8.1 Hz, 2H); 7.88 (d, J = 8.8 Hz, 2H); 7.81 (d, J = 8.4 Hz, 2H); 7.58 (ddd, J = 8.1, 6.8, 1.1 Hz, 2H); 7.39 (ddd, J = 8.3, 6.8, 1.3 Hz, 2H); 6.89 (d, J = 7.8 Hz, 4H); 6.70 (d, J = 8.2 Hz, 4H); 4.53–4.63 (m, 2H); 3.57–3.64 (m, 2H); 3.33–3.44 (m, 2H); 2.29 (s, 6H).
cis-5b: 1H-NMR δ = 7.98 (d, J = 8.8 Hz, 2H); 7.93 (br.d, J = 8.2 Hz, 2H); 7.50 (ddd, J = 8.1, 6.8, 1.1 Hz, 2H); 7.43 (d, J = 8.8 Hz, 2H); 7.38 (br.d, J = 8.4 Hz, 2H); 7.28 (ddd, J = 8.1, 6.7, 1.2 Hz, 2H); 6.94 (br.s, 8H); 5.42 (m, 2H); 3.92 (m, 4H); 2.31 (s, 6H). 13C-NMR δ = 143.5 (C); 137.4 (C); 135.9 (C); 135.6 (C); 134.1 (C); 132.6 (C); 129.41 (CH); 129.38 (CH); 129.3 (CH); 129.1 (CH); 128.1 (CH); 127.3 (CH); 126.7 (CH); 126.2 (2×CH), 47.2 (CH2); 21.4 (CH3). HRMS calcd for C38H33N2O4S2 [M + H]+: 645.1882; found: 645.1887.
Di-tert-butyl(E)-12,15-dihydrodinaphtho[2,1-b:1′,2′-d][1,6]diazecine-11,16-dicarboxylate (trans-5d): To a suspension of 3d (484 mg, 1 mmol) in DMF (10 mL) was added NaH (120 mg, 3 mmol, 60% in mineral oil) at 0 °C with stirring and after gas evolution ceased stirring was continued at r.t. for 30 min. The turbid mixture was again cooled to 0 °C, solid trans-1,4-dibromobut-2-ene (214 mg, 1 mmol) was added and reaction stirred at r.t. for 20 h. The mixture was diluted with EtOAc, washed with water and brine, dried and concentrated under reduced pressure. The crude product was purified by column chromatography (EtOAc(10→30%)/heptane) to give 399 mg (74%) of trans-5d as an off-white solid, m.p.: 242–243 °C. 1H-NMR (unresolved mixture of conformers) δ = 7.99 (br.d, J = 8.6 Hz, 2H); 7.86 (br.d, J = 8.2 Hz, 2H); 7.41–7.60 (br.m, 2H); 7.45 (br.pt, J = 7.4 Hz); 7.18–7.34 (br.m, 2H); 7.23 (ddd, J = 8.4, 7.0, 1.1 Hz, 2H); 4.79–4.89 (br.m, 2H); 4.40–4.90 (br.m, 2H); 3.18–3.42 (br.m, 2H); 1.15–1.45 (br.m, 18H). HRMS calcd for C34H36N2Na2O4 [M + Na]+: 559.2573; found: 559.2567.
Di-tert-butyl(Z)-12,15-dihydrodinaphtho[2,1-b:1′,2′-d][1,6]diazecine-11,16-dicarboxylate (cis-5d): A similar procedure as given for 5a was applied affording exclusively cis-5d in 41 mg (76%, Grubbs I or Grubbs-Hoveyda II) or 35 mg (65%, Grubbs II) yield. Experiments were performed on a 0.1 mmol scale and 10 mol% of catalyst; colorless crystals, m.p.: 230–231 °C. 1H-NMR (unresolved mixture of conformers) δ = 7.86–7.98 (br.m, 2H); 7.84 (br.d, J = 7.7 Hz, 2H); 7.37–7.46 (br.m, 2H); 7.16–7.36 (br.m, 6H); 5.62–5.73 (br.m, 2H); 3.69–4.39 (br.m, 4H); 0.95–1.38 (br.m, 18H). HRMS calcd for C34H36N2Na2O4 [M + Na]+: 559.2573; found: 559.2566.
N2,N2′-Diallyl-[1,1′-binaphthalene]-2,2′-diamine (6): To a solution of 2 (1.421 g, 5 mmol) in benzene (5 mL) was added allylalcohol (0.850 mL, 12.5 mmol) and dried molsieve (1 g, 4 Å) and the mixture was degassed. Subsequently, Ti(i-OPr)4, (710 mg, 740 µL, 2.5 mmol), PPh3 (105 mg, 0.4 mmol), and Pd(OAc)2 (22.5 mg, 0.1 mmol) was added and the reaction was stirred under Ar at 50 °C. The conversion was monitored by TLC. After extractive work-up with DCM/water, drying (MgSO4), and evaporation, the crude product was purified by chromatography in EtOAc (5→20%)/heptane to afford 1.55 g (85%) of 6 as a slightly brown crystaline solid; m.p.: 95–99 °C. 1H-NMR δ = 7.87 (d, J = 9.0 Hz, 2H); 7.78 (dm, J = 7.7 Hz, 2H); 7.21 (d, J = 9.1 Hz, 2H); 7.14–7.22 (m, 4H); 6.99 (dm, J = 7.9 Hz, 2H); 5.77 (ddm, J = 17.3, 10.3 Hz, 2H); 5.12 (dm, J = 17.3 Hz, 2H); 5.02 (dm, J = 10.3 Hz, 2H); 3.92 (br.s, 2H); 3.77–3.86 (br.m, 4H). 13C-NMR δ = 144.2 (C); 135.7 (CH); 133.9 (C); 129.5 (CH); 128.1 (CH); 127.7 (C); 126.7 (CH); 123.9 (CH); 122.0 (CH); 115.6 (CH2); 114.2 (CH); 112.0 (C); 46.1 (CH2). HRMS calcd for C26H25N2 [M + H]+: 365.2018; found: 365.2011.
tert-Butyl (10S*,11S*)-11-bromo-8-oxo-11,12-dihydro-8H-7,10-methanodinaphtho[2,1-d:1′,2′-f][1]oxa[3,8]di-azacycloundecine-13(10H)-carboxylate (7) and (10S*,11S*)-11-Bromo-10,11,12,13-tetrahydro-8H-7,10-methanodinaphtho[2,1-d:1′,2′-f][1]oxa[3,8]diazacycloundecin-8-one (8): Diazecine cis-5d (54 mg, 0.1 mmol) was added to DCM (2 mL) and the solution was cooled to 0 °C. Bromine (26 mg, 0.16 mmol) dissolved in DCM (1 mL) was added dropwise. After 16 h at r.t. the pale yellow reaction was diluted with DCM (10 mL) and stirred with NaHSO3 solution (10%, 3 mL). The organic phase was separated, dried, and evaporated. MPLC (EtOAc(20→40%)/heptane) afforded fractions containing 7 (18 mg, 33%, colorless crystals, m.p.: 180–185 °C, dec.) and 8 (28 mg, 62%, colorless crystals, m.p.: 254–256 °C, dec.).
7: 1H-NMR δ = 8.02 (d, J = 8.7 Hz, 1H); 7.96 (d, J = 8.5 Hz, 1H); 7.88 (br.d, J = 8.3 Hz); 7.48 (d, J = 8.8 Hz, 1H); 7.43–7.48 (m, 2H); 7.42 (d, J = 8.7 Hz, 1H); 7.18–7.27 (m, 3H); 7.01 (dm, J = 8.7 Hz, 1H); 5.01 (dd, J = 6.4, 3.6 Hz, 1H); 4.72 (dd, J = 12.7, 15.0 Hz, 1H); 4.29 (dd, J = 9.8, 6.4 Hz, 1H); 4.18 (dd, J = 15.0, 3.2 Hz, 1H); 4.09 (d, J = 9.9 Hz, 1H); 3.79 (dps.t, J = 12.7, 3.4 Hz, 1H); 0.71 (s, 9H). 13C-NMR δ = 153.4 (C); 134.23 (C); 134.17 (C); 133.7 (C); 133.1 (C); 132.4 (C); 132.2 (C); 132.1 (C); 131.9 (C); 130.3 (CH); 130.1 (CH); 128.5 (CH); 128.0 (CH); 127.9 (CH); 127.7 (CH); 126.6 (CH); 126.5 (CH); 126.4 (CH); 126.2 (CH); 123.3 (CH); 120.9 (CH); 82.0 (CH); 81.8 (C); 52.8 (CH2); 50.5 (CH2); 49.0 (CH); 27.4 (CH3). HRMS: calcd for C30H27BrN2NaO4 [M + Na]+: 583.1031; found: 583.1024.
8: 1H-NMR (mixture of conformers) δ = 8.03 (d, J = 8.5 Hz, 0.4H); 8.02 (d, J = 8.4 Hz, 0.6H); 7.92–7.96 (m, 1.4H); 7.90 (d, J = 8.8 Hz, 0.6H); 7.50–7.55 (m, 1H); 7.47 (d, J = 8.5 Hz, 0.6H); 7.46 (d, J = 8.7 Hz, 0.4H); 7.16-7.30 (m, 5H); 6.99 (dm, J = 8.5 Hz, 0.6H); 6.85 (dm, J = 9.1 Hz, 0.4H); 5.10–5.14 (m, 1H); 4.47–4.56 (m, 2H); 4.27–4.36 (m, 1H); 3.81–3.89 (m, 2H); 3.42–3.51 (m, 1H). 13C-NMR (mixture of conformers [40]) δ = 152.4 (C); 139.4 (C); 139.0 (C); 134.14 (C); 134.07 (C); 134.05 (C); 133.9 (C); 133.7 (C); 132.9 (C); 132.6 (C); 130.5 (CHB); 130.4 (CHA); 130.2 (CHA); 130.1 (CHB); 129.98 (CHB); 129.95 (C); 129.6 (C); 129.5 (CHB); 128.9 (C); 128.3 (CHB); 128.22 (CHA); 128.21 (CHA); 127.43 (CHB); 127.42 (CHB); 127.36 (CHB); 127.2 (CHA); 127.1 (CHB); 126.8 (CHA,CHB); 126.6 (CHA); 125.6 (CHA); 123.41 (CHA); 123.38 (CHB); 123.3 (CHA); 117.01 (C); 116.99 (C); 115.5 (CHB); 114.4 (CHA); 79.1 (CHA); 79.0 (CHB); 50.4 (CHA); 50.1 (CH2A); 50.04 (CHB); 50.00 (CH2B); 48.4 (CH2A); 48.3 (CH2B). HRMS: calcd for C25H19BrN2NaO4 [M + Na]+: 481.0528; found: 481.0516.
Di-tert-butyl (8S*,9R*)-9-bromo-8-(bromomethyl)-9,10-dihydro-7H-dinaphtho[2,1-f:1′,2′-h][1,5] diazonine-7,11(8H)-dicarboxylate (9): Diazecine trans-5d was treated with bromine in DCM similarly as described for cis-5d to afford 9 (49 mg, 71%, 0.1 mmol scale) after MPLC (EtOAc(5→20%)/heptane); m.p.: 180–183 °C, dec. 1H-NMR (mixture of conformers, THF solvate) δ = 7.63–8.03 (m, 5.13H); 6.85–7.52 (m, 6.90H); 5.10–5.19 (m, 0.42H); 4.49–4.79 (m, 2.60H); 3.90–3.95 (m, 0.49H); 3.73–3.77 (m, 2H, THF); 3.57–3.89 (m, 4.11H); 3.48 (dd, J = 14.4, 8.4 Hz, 0.48H); 1.81–1.90 (m, 2H, THF); 0.70–1.12 (6× s, 18.2H). HRMS: calcd for C34H3679Br81BrN2NaO4 [M + Na]+: 717.0919; found: 717.0923.
Attempted deprotection of9: Treatment of 9 with excess of TFA in DCM (1:1) afforded bromocarbamate 10 as white solid (12 mg, 25%, 0.1 mmol scale). 1H-NMR δ = 8.03 (dm, J = 8.9 Hz, 1H); 7.91 (dm, J = 8.3 Hz, 1H); 7.84 (dm, J = 8.9 Hz, 1H); 7.78 (dm, J = 8.9 Hz, 1H); 7.77 (d, J = 8.8 Hz, 1H); 7.47 (ddd, J = 8.1, 6.9, 1.2 Hz, 1H); 7.23–7.27 (m, 2H); 7.14 (ddd, J = 8.4, 6.9, 1.4 Hz, 1H); 7.09 (d, J = 8.9 Hz, 1H); 7.01 (dm, J = 8.4 Hz, 1H); 6.84 (dm, J = 8.4 Hz, 1H); 4.80 (ddd, J = 10.9, 9.6, 8.3 Hz, 1H); 4.34 (dd, J = 8.8, 8.2 Hz, 1H); 4.08 (dt, J = 11.1, 2.1 Hz, 1H); 3.84 (dd, J = 9.4, 9.0 Hz, 1H); 3.53 (dd, J = 17.2, 2.0 Hz, 1H); 2.93 (dd, J = 17.1, 2.4 Hz, 1H). 13C-NMR δ = 156.3 (C); 142.8 (C); 134.6 (C); 133.6 (C); 133.4 (C); 132.5 (C); 130.2 (CH); 130.0 (C); 129.6 (CH); 128.6 (C); 128.0 (CH); 127.6 (CH); 127.5 (CH); 127.2 (CH); 126.6 (CH); 125.64 (CH); 125.55 (CH); 123.6 (CH); 123.5 (CH); 120.5 (CH); 114.0 (C); 69.5 (CH2); 60.0 (CH); 57.3 (CH); 48.0 (CH2). HRMS: calcd for C25H19BrN2NaO2 [M + Na]+: 483.0507; found: 483.0505.
Di-tert-butyl(1aR*,17aS*)-1a,2,17,17a-tetrahydrodinaphtho[2,1-b:1′,2′-d]oxireno[2,3-h][1,6]diazecine- 3,16-dicarboxylate (11): To a solution of cis-5d (0.1 mmol, 54 mg) in DCM (4 mL) was added m-CPBA in portions (120 mg, 0.7 mmol) and the mixture was kept at r.t. overnight. To destroy excess of reagent, NaHSO3 (10%) was added and the organic phase was washed with Na2CO3 (2 M) and dried (Na2SO4). The crude material was purified by MPLC (EtOAc(20→50%)/heptane) to afford 11 as semisolid product (35 mg, 57%) and 11′ as a by-product (6 mg, 10%). 11: 1H-NMR δ = 7.77–8.07 (br.m, 4H); 7.16–7.55 (br.m, 8H); 4.03–4.71 (br.m, 2H); 2.89–3.14 (br.m, 2H); 2.45–2.89 (br.m, 2H); 1.00–1.42 (3× br.s, 18H). HRMS: calcd for C34H36N2NaO5 [M + Na]+: 575.2522; found: 575.2529. 11′: m.p.: 192–8 °C (dec.). 1H-NMR (DMSO-d6, 353K) δ = 8.13 (d, J = 8.9 Hz, 1H); 8.05 (d, J = 8.9 Hz, 1H); 7.98 (d, J = 8.3 Hz, 1H); 7.94 (d, J = 8.3 Hz, 1H); 7.84 (d, J = 8.9 Hz, 1H); 7.54 (d, J = 8.8 Hz, 1H); 7.46 (m, 2H); 7.21 (m, 2H); 7.01 (d, J = 8.6 Hz, 1H); 6.97 (d, J = 8.5 Hz, 1H); 4.79 (br.d, J = 6.3 Hz, 1H); 4.54 (d, J = 16.3 Hz, 1H); 4.24 (br.m, 1H); 3.99 (m, 2H); 3.91 (d, J = 16.3 Hz, 1H); 0.84 (s, ~9H); 0.80 (s, ~9H). 13C-NMR (DMSO-d6, 353K) δ = 204.4 (C); 152.5 (C); 138.1 (C); 136.0 (C); 132.8 (C); 132.7 (C); 131.9 (C); 131.4 (C); 131.04 (C); 130.99 (C); 129.4 (CH); 128.8 (CH); 128.0 (CH); 127.7 (CH); 127.0 (CH); 125.23 (CH); 125.16 (CH); 125.0 (CH); 124.2 (CH); 122.7 (CH); 80.4 (C); 79.6 (C); 68.7 (CH); 58.9 (CH2); 52.0 (CH2); 26.8 (CH3); 26.7 (CH3). HRMS: calcd for C34H36N2NaO6 [M + Na]+: 591.2471; found. 591.2466.
Di-tert-butyl (1aR*,17aR*)-1a,2,17,17a-tetrahydrodinaphtho[2,1-b:1′,2′-d]oxireno[2,3-h][1,6]diazecine-3,16-dicarboxylate (12): Epoxide 12 was accessed from trans-5d similarly as described for 11, with the exception that 3 equ. of m-CPBA were used; the reaction was complete after 6 h at r.t. Crystalline colorless material was obtained by slow evaporation from DCM/heptane solution; 49 mg (88% yield, 0.1 mmol scale). 1H-NMR δ = 7.14–8.12 (m, ~12H); 4.43–5.18 (br.m, 2H); 2.48 (br.m, 2H); 2.08 (dm, J = 9.3 Hz, 2H); 1.27 (br.s, ~18H). HRMS: calcd for C34H36N2NaO5 [M + Na]+: 575.2522; found: 575.2526.
Attempted deprotection of 11 and 12: To epoxide 11 (32 mg, 0.06 mmol) in DCM (2 mL) was added TFA (19 µL). After 22 h the reaction was neutralized (NaHCO3) and extracted. MPLC (MeOH(0→5%)/DCM) afforded 23 mg of 13 (80–90% purity). 1H-NMR δ = 7.98 (d, J = 8.8 Hz, 1H); 7.97 (d, J = 8.7 Hz, 1H); 7.88 (br.d, J = 8.1 Hz, 1H); 7.85 (br.d, J = 8.1 Hz, 1H); 7.46 (d, J = 8.7 Hz, 1H); 7.43 (ddd, J = 8.1, 6.7, 1.3 Hz, 1H); 7.40 (ddd, J = 8.0, 6.7, 1.1 Hz, 1H); 7.32 (d, J = 8.7 Hz, 1H); 7.21 (ddd, J = 8.6, 6.6, 1.3 Hz, 1H); 7.16 (dm, J = 8.7 Hz, 1H); 7.10 (ddd, J = 8.6, 6.8, 1.4 Hz, 1H); 6.85 (br.s, 1H); 6.83 (br.d, J = 8.7 Hz, 1H); 4.78 (ddd, J = 8.8, 5.7, 1.9 Hz, 1H); 4.51 (t, J = 9.2 Hz, 1H); 4.43 (dd, J = 15.0, 1.9 Hz, 1H); 4.00–4.03 (m, 1H); 3.95 (dd, J = 9.3, 2.1 Hz, 1H); 3.81 (dd, J = 15.0, 3.6 Hz, 1H); 0.56 (s, 9H). 13C-NMR δ = 152.8 (C); 138.8 (C); 134.2 (C); 133.59 (C); 133.55 (C); 132.1 (C); 131.8 (C); 130.7 (C); 130.2 (CH); 129.9 (CH); 128.6 (CH); 128.3 (CH); 128.0 (CH); 127.9 (C); 127.5 (CH); 126.52 (CH); 126.45 (CH); 126.2 (CH);125.8 (CH); 123.7 (CH); 122.5 (CH); 82.8 (C); 72.7 (CH); 68.6 (CH); 56.4 (CH2); 49.2 (CH2); 27.2 (CH3). HRMS: calcd for C30H28N2NaO5 [M + Na]+: 519.1896; found: 519.1897.
Similar treatment of epoxide 12 (TFA, DCM, r.t., 22 h) afforded a mixture of diaminoepoxide 14 and hydroxyaziridine 15: (1aR*,17aR*)-1a,2,3,16,17,17a-Hexahydrodinaphtho[2,1-b:1′,2′-d]oxireno[2,3-h][1,6]diazecine (14): 9 mg (31% yield, 0.08 mmol scale); colorless oil. 1H-NMR δ = 7.96 (d, J = 8.8 Hz, 2H); 7.91 (br.d, J = 8.1 Hz, 2H); 7.41–7.45 (m, 2H); 7.42 (d, J = 8.6 Hz, 2H); 7.35 (ddd, J = 8.3, 6.7, 1.4 Hz, 2H); 7.28 (dm, J = 8.4 Hz, 2H); 3.56 (dd, J = 13.7, 3.0 Hz, 2H); 2.88 (br.s, 2H); 2.63–2.72 (br.m, 2H); 2.03–2.08 (m, 2H). 13C-NMR δ = 144.6 (C); 133.7 (C); 130.3 (C); 129.9 (CH); 128.3 (CH); 127.5 (CH); 125.0 (CH); 124.8 (CH); 124.6 (C); 123.7 (CH); 55.1 (CH); 52.2 (CH2). HRMS: calcd for C24H21N2O [M + H]+: 353.1648; found: 353.1651.
(13R*,13aS*)-12,13,13a,14-Tetrahydro-11H-azirino[1,2-a]dinaphtho[2,1-f:1′,2′-h][1,5]diazonin-13-ol (15): 9 mg (30% yield, 90% purity, 0.08 mmol scale). 1H-NMR δ = 7.94 (d, J = 8.8 Hz, 1H); 7.93 (d, J = 8.7 Hz, 1H); 7.90 (br.d, J = 8.3 Hz, 1H); 7.84 (br.d, J = 8.0 Hz, 1H); 7.47 (d, J = 8.9 Hz, 1H); 7.39 (ddd, J = 8.0, 5.3, 2.7 Hz, 1H); 7.25-7.27 (m, 3H); 7.25 (d, J = 8.8 Hz, 1H); 7.16 (ddd, J = 8.1, 6.7, 1.2 Hz, 1H); 6.88 (d, J = 8.4 Hz, 1H); 3.33–3.40 (m, 2H); 2.86 (td, J = 9.3, 4.5 Hz, 1H); 2.86 (br.s, ~1H); 2.34 (d, J = 4.6 Hz, 1H); 2.23 (d, J = 3.0 Hz, 1H); 2.12 (ddd, J = 8.8, 4.5, 3.0 Hz, 1H). 13C-NMR δ = 145.6 (C); 145.4 (C); 134.3 (C); 132.7 (C); 130.4 (C); 130.3 (C); 129.9 (CH); 129.3 (CH); 128.1 (CH); 128.0 (CH); 127.1 (CH); 126.7 (CH); 126.01 (C); 125.1 (CH); 124.8 (CH); 124.6 (CH); 124.0 (CH); 122.4 (CH); 120.5 (CH); 73.8 (CH); 55.2 (br.CH2); 44.4 (CH); 29.2 (CH2). HRMS: calcd for C24H21N2O [M + H]+: 353.1648; found: 353.1651.
Di-tert-butyl(9S*,10S*)-9,10-dihydroxy-8,9,10,11-tetrahydrodinaphtho[2,1-b:1′,2′-d][1,6]diazecine- 7,12-dicarboxylate (16): To a solution of trans-5d (54 mg, 0.1 mmol) in THF/water (10:1, 2 mL) was added 2 equ. of NMO (50% in water, 25 mg) and K2OsO4∙H2O (0.01 mmol, 3.7 mg). After stirring for 24 h at r.t., solid Na2S2O3 (17 mg) was added and stirring was continued for 1 h. The mixture was diluted with DCM (19 mL), dried (MgSO4), filtered, and concentrated. MPLC (EtOAc(50→100%)/heptane) afforded 48 mg (85%) of 16 as colorless solid; m.p.: 201–205 °C. 1H-NMR δ = 7.94 (br.d, J = 8.6 Hz, 2H); 7.87 (d, J = 7.9 Hz, 2 H); 7.45 (ddd, J = 8.3, 6.2, 2.0 Hz, 2H); 7.33–7.46 (br.m, 2H); 7.19–7.26 (br. m, 4H); 3.40–3.86 (br.m, 4H); 3.31 (br.s, 2H); 2.27–2.95 (br.s, 2H); 1.18 (br.s, 18H). 13C-NMR δ = 138.9 (br.C); 133.1 (C); 132.3 (C); 129.3 (br.CH); 127.8 (br.CH); 127.5 (br.CH); 126.2 (2CH); 126.1 (CH); 80.7 (CH2); 73.9 (br.CH); 28.0 (CH3). HRMS: calcd for C34H38N2NaO6 [M + Na]+: 593.2628; found: 593.2624.
(9S*,10S*)-7,8,9,10,11,12-Hexahydrodinaphtho[2,1-b:1′,2′-d][1,6]diazecine-9,10-diol (17): To a solution of diol 16 (57 mg, 0.1 mmol) in DCM (1 mL) was added TFA (1 mL) and the reaction was stirred for 2 h at r.t. The mixture was concentrated under reduced pressure and the residue was dissolved in EtOAc (10 mL). Solid Na2CO3 was added and the mixture was stirred for 30 min. After filtration and evaporation of solvent the crude material was purified by MPLC (EtOAc(50→100%)/heptane) to afforded 32 mg (86%) of 17 as colorless crystalline solid; m.p: >165 °C (dec.). 1H-NMR (DMSO-d6) δ = 7.82 (d, J = 9.1 Hz, 2H); 7.77 (dd, J = 8.0, 1.1 Hz, 2H); 7.49 (d, J = 9.2 Hz, 2H); 7.14 (ddd, J = 7.9, 6.6, 1.2 Hz, 2H); 7.09 (ddd, J = 8.4, 6.7, 1.4 Hz, 2H); 6.79 (br.d, J = 8.4 Hz, 2H); 5.01–5.04 (m, 2H); 4.54 (d, J = 11.8 Hz, 2H); 4.11 (s, 2H); 3.80 (br.dd, J = 14.8, 12.6 Hz, 2H); 3.31 (d, J = 14.9 Hz, 2H). 13C-NMR (DMSO-d6) δ = 145.9 (C); 133.7 (C); 128.4 (CH); 128.0 (CH); 127.3 (C); 125.8 (CH); 124.0 (CH); 121.3 (CH); 117.6 (CH); 111.9 (C); 72.9 (CH); 48.0 (CH2). HRMS: calcd for C24H23N2O2 [M + H]+: 371.1760; found: 371.1745.
Di-tert-butyl (9R*,10S*)-9,10-dihydroxy-8,9,10,11-tetrahydrodinaphtho[2,1-b:1′,2′-d][1,6]diazecine- 7,12-dicarboxylate (18): A procedure similarly as described for 16 was applied to give 18; 51 mg (89% yield, colorless solid, 0.1 mmol scale); m.p.: 133–135 °C. 1H-NMR δ = 7.96 (d, J = 8.9 Hz, 1H); 7.94 (d, J = 8.9 Hz, 1H); 7.86 (d, J = 6.2 Hz, 1H); 7.84 (d, J = 6.2 Hz, 1H); 7.56 (br.d, J = 8.2 Hz, 1H); 7.39–7.45 (m, 2H); 7.29 (br.d, J = 8.7 Hz, 1H); 7.15–7.22 (m, 2H); 7.09–7.14 (br.m, 1H); 3.9–4.6 (br.s, ~2H); 4.04 (dd, J = 13.6, 4.6 Hz, 1H); 3.72–3.85 (m, 2H); 3.20–3.33 (m, 1H); 2.6–3.8 (br.s, ~2H); 1.01 (s, 9H); 0.93 (s, 9H). 13C-NMR δ = 140.0 (C); 137.3 (br.C); 133.7 (C); 133.5 (C); 132.5 (C); 132.0 (C); 131.8 (C); 130.1 (CH); 129.3 (CH); 128.7 (br.CH); 128.6 (br.CH); 127.5 (CH); 126.03 (CH); 125.95 (CH); 125.9 (CH); 125.7 (CH); 125.2 (br.CH); 80.8 (C); 80.7 (C); 54.5 (CH2); 48.3 (br.CH2); 27.9 (CH3); 27.7 (CH3). HRMS: calcd for C34H38N2NaO6 [M + Na]+: 593.2628; found: 593.2618.
(9R*,10S*)-7,8,9,10,11,12-Hexahydrodinaphtho[2,1-b:1′,2′-d][1,6]diazecine-9,10-diol (19): A procedure as described similarly for 17 was applied to give 19; yield: 21 mg (72%, colorless solid, 0.08 mmol scale); m.p.: 240-245 °C (dec.). 1H-NMR (DMSO-d6) δ = 7.93 (d, J = 9.0 Hz, 1H); 7.83 (dm, J = 7.9 Hz, 1H); 7.81 (d, J = 9.1 Hz, 1H); 7.78 (dm, J = 7.9 Hz, 1H); 7.49 (d, J = 9.1 Hz, 1H); 7.48 (d, J = 9.1 Hz, 1H); 7.09–7.21 (m, 4H); 6.83 (dm, J = 8.4 Hz, 1H); 6.79 (dm, J = 8.3 Hz, 1H); 5.01 (d, J = 4.1 Hz, 1H); 4.79 (d, J = 4.4 Hz, 1H); 4.07 (dd, J = 12.0, 2.3 Hz, 1H); 3.91 (ddd, J = 14.6, 12.0, 2.6 Hz, 1H); 3.71–3.79 (m, 2H); 3.59–3.68 (m, 1H); 3.06–3.14 (m, 2H). 13C-NMR (DMSO-d6) δ = 146.2 (C); 144.9 (C); 134.0 (C); 133.6 (C); 129.4 (CH); 128.3 (CH); 128.2 (CH); 128.0 (CH); 127.8 (C); 127.6 (C); 126.1 (CH); 125.9 (CH); 123.9 (CH); 123.7 (CH); 121.7 (CH); 121.6 (CH); 118.5 (CH); 116.5 (CH); 113.7 (C); 112.6 (C); 79.7 (CH); 70.1 (CH); 50.1 (CH2); 47.7 (CH2). HRMS: calcd for C24H23N2O2 [M + H]+: 371.1760; found: 371.1754.
Di-tert-butyl8,9,10,11-tetrahydrodinaphtho[2,1-b:1′,2′-d][1,6]diazecine-7,12-dicarboxylate (20): To a solution of cis- or trans-5d (54 mg, 0.1 mmol) in THF/water (3 + 3 mL) was added Pd/C (10%, 5 mg) and the mixture was stirred under H2 (2 bar) at r.t. for 2 h. After filtration and concentration, the crude product was purified by MPLC (EtOAc(25→40%)/heptane) to afforded 49 mg (92% from cis-5d), and 51 mg (94% from trans-5d) of 20, respectively as colorless crystaline solid; m.p.: 172–173 °C. 1H-NMR δ = 7.93 (d, J = 8.7 Hz, 2H); 7.84 (br.d, J = 8.1 Hz, 2H); 7.33–7.44 (br.m, 4H); 7.14–7.21 (br.m, 4H); 3.84–3.93 (br.m, 2H); 3.50–3.66 (br.m, 2H); 1.78 (br.s, 2H); 1.52–1.63 (br.m, 2H); 0.99 (s, 18H). 13C-NMR δ = 139.0 (br.C); 133.8 (C); 132.9 (br.C); 132.1 (C); 129.3 (CH); 128.9 (br.CH); 127.2 (br.CH); 125.6 (CH); 125.5 (CH); 125.1 (br.CH); 79.9 (CH2); 48.9 (CH2); 27.9 (CH3). HRMS: calcd for C34H39N2O4 [M + H]+: 539.2910; found: 539.2909.
7,8,9,10,11,12-Hexahydrodinaphtho[2,1-b:1′,2′-d][1,6]diazecine (21): To 20 (53 mg, 0.1 mmol) dissolved in DCM (1 mL) was added TFA (1 mL) and the solution was stirred at r.t. for 2 h. The solvents were removed under vacuum and the crude product was dissolved in DCM (10 mL). Solid Na2CO3 was added and the mixture was stirred for 30 min. After filtration and concentration the pure product was obtained by MPLC (EtOAc(10→80%)/heptane); yield: 27 mg (81%, colorless crystals); m.p.: 275–278 °C. 1H-NMR δ = 7.92 (d, J = 8.9 Hz, 2H); 7.82 (dm, J = 7.9 Hz, 2H); 7.40 (d, J = 8.9 Hz, 2H); 7.28 (ddd, J = 8.1, 6.8, 1.3 Hz, 2H); 7.19 (ddd, J = 8.4, 6.8, 1.4 Hz, 2H); 7.08 (dm, J = 8.4 Hz, 2H); 4.00 (br.d, J = 11.7 Hz, 2H); 3.74 (br.t, J = 12.7 Hz, 2H); 2.76 (br.t, J = 13.5 Hz, 2H); 1.69–1.78 (m, 2H); 1.32–1.40 (m, 2H). 13C-NMR δ = 144.3 (C); 134.5 (C); 129.8 (CH); 129.0 (C); 128.0 (CH); 126.8 (CH); 124.7 (CH); 123.1 (CH); 117.9 (CH); 117.7 (C); 46.5 (CH2); 25.9 (CH2). HRMS: calcd for C24H23N2 [M + H]+: 339.1861; found: 339.1855.

3.3. X-ray Structure Analysis

Suitable crystals were obtained by slow evaporation from solvent mixtures at r.t; DCM/heptane was used in for 11′ (Supplementary Materials), 12, and 21 (Supplementary Materials), all other compounds crystallized from ethyl acetate/heptane. Details of X-ray structure analysis can be found in Table 1 and Table 2. Solid state biaryl angles are summarized in Table 3.

Supplementary Materials

The following are available online, containing 1H- and 13C-NMR charts and details of crystal structure determinations.

Author Contributions

Synthesis and characterization of products was performed by M.L., M.A., and B.R.B. A.R. conducted crystal structure analyses, and M.W. conceived and designed the experiments and wrote the paper.

Funding

This research received no external funding.

Acknowledgments

Open Access Funding by the University of Vienna is grateful acknowledged.

Conflicts of Interest

The authors declare no conflict of interest.

References and Notes

  1. Dong, H.-Q.; Xu, M.-H.; Feng, C.-G.; Sunc, X.-W.; Lin, G.-Q. Recent applications of chiral N-tert-butanesulfinyl imines, chiral diene ligands and chiral sulfur–olefin ligands in asymmetric synthesis. Org. Chem. Front. 2015, 2, 73–89. [Google Scholar] [CrossRef]
  2. Feng, X.; Du, H. Synthesis of Chiral Olefin Ligands and their Application in Asymmetric Catalysis. Asian J. Org. Chem. 2012, 1, 204–213. [Google Scholar] [CrossRef]
  3. Shintani, R.; Hayashi, T. Chiral Diene Complexes for Asymmetric Catalysis. Aldrichim. Acta 2009, 42, 31–38. [Google Scholar]
  4. He, Z.-T.; Wei, Y.-B.; Yu, H.-J.; Sun, C.-Y.; Feng, C.-G.; Tian, P.; Lin, G.-Q. Rhodium/diene-catalyzed asymmetric arylation of N-Boc-protected α,β-unsaturated δ-lactam with arylboronic acids: Enantioselective synthesis of 4-aryl-2-piperidinones. Tetrahedron 2012, 68, 9186–9191. [Google Scholar] [CrossRef]
  5. Liu, Y.; Feng, X.; Du, H. Asymmetric synthesis of axially chiral anilides by Pd-catalyzed allylic substitutions with P/olefin ligands. Org. Biomol. Chem. 2015, 13, 125–132. [Google Scholar] [CrossRef] [PubMed]
  6. Gandi, V.R.; Lu, Y.; Hayashi, T. A chiral phosphine–olefin ligand derived from L-hydroxyproline and its use in the rhodium-catalyzed asymmetric 1,4-addition. Tetrahedron: Asymmetry 2015, 26, 679–682. [Google Scholar] [CrossRef]
  7. Vlahovic, S.; Schädel, N.; Tussetschläger, S.; Laschat, S. Tropanes as Scaffolds for Phosphorus–Olefin Ligands and Their Application in Asymmetric Catalysis. Eur. J. Org. Chem. 2013, 1580–1590. [Google Scholar] [CrossRef]
  8. Li, Y.; Xu, M.-H. Simple sulfur–olefins as new promising chiral ligands for asymmetric catalysis. Chem. Commun. 2014, 50, 3771–3782. [Google Scholar] [CrossRef]
  9. Chen, Q.; Li, L.; Guo, F.; Mao, Z. The first application of C2-symmetric chiral sulfurous diamide as efficient sulfure olefin hybrid ligands for Rh-catalyzed asymmetric 1,4-addition reactions. Tetrahedron 2016, 72, 2632–2636. [Google Scholar] [CrossRef]
  10. Kasák, P.; Arion, V.B.; Widhalm, M. A chiral phosphepine-olefin rhodium complex as an efficient catalyst for the asymmetric conjugate addition. Tetrahedron: Asymmetry 2006, 17, 3084–3090. [Google Scholar] [CrossRef]
  11. Stemmler, R.; Bolm, C. Synthesis of Novel Chiral Phosphine-Olefin Complexes and Their Evaluation as Ligands in Rhodium-Catalyzed Asymmetric 1,4-Addition. Synlett 2009, 1365–1370. [Google Scholar]
  12. Liu, Z.; Du, H. Development of Chiral Terminal-Alkene-Phosphine Hybrid Ligands for Palladium-Catalyzed Asymmetric Allylic Substitutions. Org. Lett. 2010, 12, 3054–3057. [Google Scholar] [CrossRef] [PubMed]
  13. Wang, H.-L.; Hu, R.-B.; Zhang, H.; Zhou, A.-X.; Yang, S.-D. Pd(II)-Catalyzed Ph2(O)P-Directed C–H Olefination toward Phosphine–Alkene Ligands. Org. Lett. 2013, 15, 5302–5305. [Google Scholar] [CrossRef] [PubMed]
  14. Hahn, B.T.; Tewes, F.; Fröhlich, R.; Glorius, F. Olefin–Oxazolines (OlefOx): Highly Modular, Easily Tunable Ligands for Asymmetric Catalysis. Angew. Chem. Int. Ed. 2010, 49, 1143–1146. [Google Scholar] [CrossRef]
  15. Cao, Z.; Du, H. Development of Binaphthyl Based Chiral Dienes for Rhodium(I)-Catalyzed Asymmetric Arylation of N,N-Dimethylsulfamoyl-Protected Aldimines. Org. Lett. 2010, 12, 2602–2605. [Google Scholar] [CrossRef]
  16. Xue, F.; Wang, D.; Lia, X.; Wan, B. Chiral olefin–sulfoxide as ligands for rhodium catalyzed asymmetric conjugate addition of arylboronic acids to unsaturated esters. Org. Biomol. Chem. 2013, 11, 7893–7898. [Google Scholar] [CrossRef]
  17. Zhu, T.-S.; Xu, M.-H. Chiral Sulfinamide-Olefin Ligands: Switchable Selectivity in Rhodium-Catalyzed Asymmetric 1,2-Addition of Arylboronic Acids to Aliphatic α-Ketoesters. Chin. J. Chem. 2013, 31, 321–328. [Google Scholar] [CrossRef]
  18. Liu, Y.; Du, H. Pd-Catalyzed Asymmetric Allylic Alkylations of 3′ Substituted Indoles Using Chiral P/Olefin Ligands. Org. Lett. 2013, 15, 740–743. [Google Scholar] [CrossRef]
  19. Chen, G.; Gui, J.; Cao, P.; Liao, J. Chiral sulfoxide-olefin ligands: Tunable stereoselectivity in Rh-catalyzed asymmetric 1,4-additions. Tetrahedron 2012, 68, 3220–3224. [Google Scholar] [CrossRef]
  20. Feng, X.; Nie, Y.; Yang, J.; Du, H. Rh(I)-Catalyzed Asymmetric 1,2-Addition to α-Diketones with Chiral Sulfur-Alkene Hybrid Ligands. Org. Lett. 2012, 14, 624–627. [Google Scholar] [CrossRef]
  21. Note: A literature search revealed that medium-sized diaza-macrocyles derived from N,N bridged BINAM are rather unimploied. Only one paper reported formation of a C3 bridge (Ashokkumar, V.; Chithiraikumar, C.; Siva, A. Binaphthyl-based chiral bifunctional organocatalysts for water mediated asymmetric List–Lerner–Barbas aldol reactions. Org. Biomol. Chem. 2016, 14, 9021–9032. [Google Scholar]). No compounds with N-C4-N bridge have been reported.
  22. Groso, E.J.; Schindler, C. Recent Advances in the Application of Ring-Closing Metathesis for the Synthesis of Unsaturated Nitrogen Heterocycles. Synthesis 2019, 51, 1100–1114. [Google Scholar] [CrossRef]
  23. Compain, P. Olefin Metathesis of Amine-Containing Systems: Beyond the Current Consensus. Adv. Synth. Catal. 2007, 349, 1829–1846. [Google Scholar] [CrossRef]
  24. Toste, F.D.; Chatterjee, A.H.; Grubbs, R.H. Functional group diversity by ruthenium catalyzed olefin cross-metathesis. Pure Appl. Chem. 2002, 74, 7–10. [Google Scholar] [CrossRef]
  25. Sattely, E.S.; Cortez, G.A.; Moebius, D.C.; Schrock, R.S.; Hoveyda, A.H. Enantioselective Synthesis of Cyclic Amides and Amines through Mo-Catalyzed Asymmetric Ring-Closing Metathesis. J. Am. Chem. Soc. 2005, 127, 8526–8533. [Google Scholar] [CrossRef]
  26. For recent examples of medium sized aza-macrocycles synthesized by olefin metathesis see: Mangina, N.S.V.M.R.; Guduru, R.; Karunakar, G.V. Synthesis of medium-sized aryl-fused nitrogenous heterocycles via sequential aryne aza-Claisen rearrangement/ring-closing metathesis. Org. Biomol. Chem. 2018, 16, 2134–2142. [Google Scholar]
  27. Yus, M.; Ramón, D.J.; Prieto, O. Synthesis of new C2-symmetrical bis(hydroxycamphorsulfonamide) ligands and their application in the enantioselective addition of dialkylzinc reagents to aldehydes and ketones. Tetrahedron: Asymmetry 2003, 14, 1103–1114. [Google Scholar] [CrossRef]
  28. Zi, G.; Zhang, F.; Xiang, L.; Chen, Y.; Fang, W.; Song, H. Synthesis and characterization of group 4 metal amides with new C2-symmetric binaphthyldiamine-based ligands and their use as catalysts for asymmetric hydroamination/cyclization. Dalton Trans. 2010, 39, 4048–4061. [Google Scholar] [CrossRef]
  29. Huang, H.; Okuno, T.; Tsuda, K.; Yoshimura, M.; Kitamura, M. Enantioselective Hydrogenation of Aromatic Ketones Catalyzed by Ru Complexes of Goodwin-Lions-type sp2N/sp3N Hybrid Ligands R-BINAN-R′-Py. J. Am. Chem. Soc. 2006, 128, 8716–8717. [Google Scholar] [CrossRef]
  30. See a selection for successful application of RCM with similar substrates: (a) Qadir, M.; Cobb, J.; Sheldrake, P.W.; Whittall, N.; White, A.J.P.; Hii, K.K.; Horton, P.N.; Hursthouse, M.B. Conformation Analyses, Dynamic Behavior and Amide Bond Distortions of Medium-sized Heterocycles. 1. Partially and Fully Reduced 1-Benzazepines. J. Org. Chem. 2005, 70, 1545–1551. [Google Scholar] (b) Kotha, S.; Shah, V.R. Design and Synthesis of 1-Benzazepine Derivatives by Strategic Utilization of Suzuki–Miyaura Cross-Coupling, Aza-Claisen Rearrangement and Ring-Closing Metathesis. Eur. J. Org. Chem. 2008, 1054–1064. [Google Scholar] (c) Ye, K.-Y.; Dai, L.-X.; You, S.-L. Enantioselective synthesis of 2,5-dihydrobenzo[b]azepine derivatives via iridium-catalyzed asymmetric allylic amination with 2-allylanilines and ring-closing-metathesis reaction. Org. Biomol. Chem. 2012, 10, 5932–5939. [Google Scholar]
  31. With the hope to gain more information on the composition and nature of allylation products of 3c this was also treated with Grubbs I, Grubbs II and Grubbs-Hoveyda catalyst in DCM or benzene but in all cases only starting material or minor amounts of partly deallylated substrate (after prolonged reaction time) was detected. We attribute this failure to interference of side products or inappropriate conformation of 4c with preferred out-side orientation of both allyl substituents as such geometry was also found in the crystal structure (Figure 3).
  32. Abraham, M.; Reischl, W.; Kirchner, K.A.; Roller, A.; Veiros, L.F.; Widhalm, M. Tandem RCM–Claisen Rearrangement–[2+2] Cycloaddition of O,O′-(But-2-en-1,4-diyl)-bridged Binaphthols. Molecules 2012, 17, 14531–14554. [Google Scholar] [CrossRef]
  33. Heating a sealed NMR sample of trans-1 in DMSO-d6 above 170 °C (micro wave) resulted in an inseparable mixture of several products.
  34. A similar reaction with carbamate attacking a bromonium ion has been reported: Mühlstädt, M.; Olk, B.; Widera, R. Cyclisierungsreaktionen β,γ-ungesättigter Kohlensäurederivate. IX. Regiochemie der elektrophilen Cyclofunktionalisierung β,γ-ungesättigter Carbamidsäureester mit Brom – Synthese von Oxazolidin-2-onen und Tetrahydro-2H-1,3-oxazin-2-onen. J. Prakt. Chemie 1986, 328, 163–172. [Google Scholar]
  35. Proust, N.; Gallucci, J.C.; Paquette, L.A. Effect of Sulfonyl Protecting Groups on the neighboring Group Participation Ability of Sulfonamido Nitrogen. J. Org. Chem. 2009, 74, 2897–2900. [Google Scholar] [CrossRef]
  36. Cf: Genet, J.P.; Denis, A.; Vilar, A.; Schoops, A.R.; Alard, P. Stereospecific syntheses of erythro and threo 5-(1′,2′-dihydroxyethyl)-3-aryl-oxazolidin-2-ones. Tetrahedron Lett. 1990, 31, 515–518. [Google Scholar] [CrossRef]
  37. Tietze, L.F.; Schuster, H.J.; von Hof, J.M.; Hampel, S.M.; Colunga, J.F.; John, M. Atropisomerism of Aromatic Carbamates. Chem. Eur. J. 2010, 16, 12678–12682. [Google Scholar] [CrossRef]
  38. Yamamoto, Y.; Sakamoto, A.; Nishioka, T.; Oda, J.; Fukazawa, Y. Asymmetric Synthesis of 5- and 6- Membered Lactones from Cyclic Substrates Bearing a C2-Chiral Auxiliary. J. Org. Chem. 1991, 56, 1112–1119. [Google Scholar] [CrossRef]
  39. Jamieson, J.Y.; Schrock, R.R.; Davis, W.M.; Bonitatebus, P.J.; Zhu, S.S.; Hoveyda, A.H. Synthesis of Molybdenum Imido Alkylidene Complexes Containing N,N′-Disubstituted 2,2′-Bisamido-1,1′-binaphthyl Ligands. Organometallics 2000, 19, 925–930. [Google Scholar] [CrossRef]
  40. NMR signals of conformers A and B (approximately 6:4) could be only in part assigned due to overlapping; quarternary C are not assigned.
Sample Availability: Not available.
Figure 1. Selected mono- and diolefine ligands previously applied in asymmetric catalysis.
Figure 1. Selected mono- and diolefine ligands previously applied in asymmetric catalysis.
Molecules 24 03098 g001
Figure 2. Chiral diazaheterocycles based on the 1,1′-binaphthyl skeleton.
Figure 2. Chiral diazaheterocycles based on the 1,1′-binaphthyl skeleton.
Molecules 24 03098 g002
Scheme 1. Synthesis of cis- and trans-1. (a) MsCl or TsCl, Py/DCM, r.t. (3a, 3b), trifluoroacetic anhydride (TFAA), Na2CO3, THF, r.t. (3c), Li hexamethyldisilazide (LiHMDS), Boc2O, THF, 0 °C→r.t. (3d); (b) NaH, trans-1,4-dibromobut-2-ene, THF, 0 °C→r.t., (c) allylbromide, K2CO3, MeCN, 85 °C (4a, 4b), allylbromide, NaH, DMF, 0 °C→r.t. (4d), (d) 10 mol% catalyst (see text) DCM, 40 °C, syringe pump, (e) trifluoroacetic acid (TFA), DCM, 0→4 °C, (f) allyl alcohol, Pd(OAc)2, Ph3P, Ti(OiPr)4, benzene, 50 °C, (g) TFAA, Et3N, 4-dimethylaminopyridine (DIMAP), DCM, r.t. * Yield depending on reaction condition and metathesis catalyst applied. # see text. § Note: The synthesis was conducted with racemic starting material and consequently all products are racemic, too; only the enantiomer with (S)axial configuration is depicted.
Scheme 1. Synthesis of cis- and trans-1. (a) MsCl or TsCl, Py/DCM, r.t. (3a, 3b), trifluoroacetic anhydride (TFAA), Na2CO3, THF, r.t. (3c), Li hexamethyldisilazide (LiHMDS), Boc2O, THF, 0 °C→r.t. (3d); (b) NaH, trans-1,4-dibromobut-2-ene, THF, 0 °C→r.t., (c) allylbromide, K2CO3, MeCN, 85 °C (4a, 4b), allylbromide, NaH, DMF, 0 °C→r.t. (4d), (d) 10 mol% catalyst (see text) DCM, 40 °C, syringe pump, (e) trifluoroacetic acid (TFA), DCM, 0→4 °C, (f) allyl alcohol, Pd(OAc)2, Ph3P, Ti(OiPr)4, benzene, 50 °C, (g) TFAA, Et3N, 4-dimethylaminopyridine (DIMAP), DCM, r.t. * Yield depending on reaction condition and metathesis catalyst applied. # see text. § Note: The synthesis was conducted with racemic starting material and consequently all products are racemic, too; only the enantiomer with (S)axial configuration is depicted.
Molecules 24 03098 sch001
Figure 3. Crystal structure of 4a (left side) and 4c (right side). Note: To facilitate visual comparison of structures, all compounds are depicted with (S)axial-configuration and viewing along the binaphthyl axis.
Figure 3. Crystal structure of 4a (left side) and 4c (right side). Note: To facilitate visual comparison of structures, all compounds are depicted with (S)axial-configuration and viewing along the binaphthyl axis.
Molecules 24 03098 g003
Figure 4. Crystal structures of N-protected diazacycles cis- and trans-5a and 5d and deprotected cycles cis- and trans-1. See also note in Figure 3.
Figure 4. Crystal structures of N-protected diazacycles cis- and trans-5a and 5d and deprotected cycles cis- and trans-1. See also note in Figure 3.
Molecules 24 03098 g004
Scheme 2. Bromination of cis- and trans-5d. (a) Br2, DCM, 0 °C→r.t. (b) TFA, DCM. § See note in Scheme 1.
Scheme 2. Bromination of cis- and trans-5d. (a) Br2, DCM, 0 °C→r.t. (b) TFA, DCM. § See note in Scheme 1.
Molecules 24 03098 sch002
Figure 5. Crystal structure of 7, 9, and 12. See also note in Figure 3.
Figure 5. Crystal structure of 7, 9, and 12. See also note in Figure 3.
Molecules 24 03098 g005
Scheme 3. Epoxidation of cis- and trans-5d. (a) meta-chloroperbenzoic acid (m-CPBA), DCM. (b) TFA, DCM. § See note in Scheme 1.
Scheme 3. Epoxidation of cis- and trans-5d. (a) meta-chloroperbenzoic acid (m-CPBA), DCM. (b) TFA, DCM. § See note in Scheme 1.
Molecules 24 03098 sch003
Figure 6. Graphic representation of postulated onium ions derived from cis- (left side) and trans-5d (right side).
Figure 6. Graphic representation of postulated onium ions derived from cis- (left side) and trans-5d (right side).
Molecules 24 03098 g006
Scheme 4. Dihydroxylation of cis- and trans-5d. (a) K2OsO4, NMO, DCM. (b) TFA, DCM. § See note in Scheme 1.
Scheme 4. Dihydroxylation of cis- and trans-5d. (a) K2OsO4, NMO, DCM. (b) TFA, DCM. § See note in Scheme 1.
Molecules 24 03098 sch004
Scheme 5. Hydrogenation of cis- and trans-5d (a) Pd/C, H2 (1 bar), THF. (b) TFA, DCM. § See note in Scheme 1.
Scheme 5. Hydrogenation of cis- and trans-5d (a) Pd/C, H2 (1 bar), THF. (b) TFA, DCM. § See note in Scheme 1.
Molecules 24 03098 sch005
Table 1. Crystal structure data of cis- and trans-1, 4a, 4c, and cis- and trans-5a.
Table 1. Crystal structure data of cis- and trans-1, 4a, 4c, and cis- and trans-5a.
cis-1trans-14a4ccis-5atrans-5a
M [g/mol]336.42336.42520.64556.49614.98985.18
Space groupP21/nP212121P212121C2/cP-1P21/n
a [Å]14.133(5)10.5405(4)9.7339(11)13.8966(4)10.7270(5)10.8879(4)
b [Å]11.145(3)11.5662(5)11.2343(11)13.3655(4)11.3356(5)13.6381(5)
c [Å]22.787(6)14.4010(5)22.750(3)13.9480(4)12.4265(6)15.6689(5)
α[°]9090909086.543(2)90
β[°]105.704(13)9090103.583(2)81.059(3)90.396(2)
γ[°]9090909071.569(2)90
V [Å3]3455.2(17)1755.68(12)2487.8(5)2518.17(13)1416.00(12)2326.62(14)
Z844422
Dcalc [g/cm3]1.2931.2731.391.4681.4421.406
Rint0.16410.04050.09880.05690.03030.0738
Rsigma0.27280.02550.05770.02720.01520.0424
R1 (I ≥ 2σ (I))0.07720.03330.03480.04390.04820.0406
wR2 (all data)0.20840.08480.08290.11860.1540.1039
Table 2. Crystal structure data of cis- and trans-5d, 7, 9, and 12.
Table 2. Crystal structure data of cis- and trans-5d, 7, 9, and 12.
cis-5dtrans-5d7912
M [g/mol]538.66536.65559.44732.52550.65
Space groupC2/cC2/cP21/nC2/cC2/c
a [Å]19.795(4)19.7641(15)9.4794(6)23.929(2)19.4742(11)
b [Å]12.914(4)12.6467(8)21.6529(14)12.375(2)13.0437(11)
c [Å]13.521(4)14.2008(9)12.2608(6)24.078(3)14.0412(12)
α[°]9090909090
β[°]124.816(10)127.156(3)92.249(2)111.178(4)125.810(3)
γ[°]9090909090
V [Å3]2837.5(12)2828.9(3)2514.7(3)6648.4(15)2892.5(4)
Z44484
Dcalc [g/cm3]1.2611.261.4781.4641.264
Rint0.05150.07130.06830.07450.0549
Rsigma0.05850.08790.05550.10780.0286
R1 (I ≥ 2σ (I))0.06040.05830.04110.04830.0374
wR2 (all data)0.15350.15570.09970.09750.0977
Table 3. Biaryl angles in crystal structures.
Table 3. Biaryl angles in crystal structures.
cis-1trans-14a4ccis-5atrans- 5acis-5dtrans-5d79111221
biaryl angle/° 168.0/67.4 298.972.277.896.397.395.8101.166.570.068.099.973.2
1 Defined as angle between binaphthyl planes, values rounded to one digit after decimal point. 2 Two molecules in the asymmetric unit.

Share and Cite

MDPI and ACS Style

Lemmerer, M.; Abraham, M.; Brutiu, B.R.; Roller, A.; Widhalm, M. Synthesis, Structure, and Reactivity of Binaphthyl Supported Dihydro[1,6]diazecines. Molecules 2019, 24, 3098. https://doi.org/10.3390/molecules24173098

AMA Style

Lemmerer M, Abraham M, Brutiu BR, Roller A, Widhalm M. Synthesis, Structure, and Reactivity of Binaphthyl Supported Dihydro[1,6]diazecines. Molecules. 2019; 24(17):3098. https://doi.org/10.3390/molecules24173098

Chicago/Turabian Style

Lemmerer, Miran, Michael Abraham, Bogdan R. Brutiu, Alexander Roller, and Michael Widhalm. 2019. "Synthesis, Structure, and Reactivity of Binaphthyl Supported Dihydro[1,6]diazecines" Molecules 24, no. 17: 3098. https://doi.org/10.3390/molecules24173098

APA Style

Lemmerer, M., Abraham, M., Brutiu, B. R., Roller, A., & Widhalm, M. (2019). Synthesis, Structure, and Reactivity of Binaphthyl Supported Dihydro[1,6]diazecines. Molecules, 24(17), 3098. https://doi.org/10.3390/molecules24173098

Article Metrics

Back to TopTop