Abstract
Fungal phytotoxins used as ecofriendly bioherbicides are becoming efficient alternatives to chemical herbicides for sustainable weed management. Previous study found that cultures of the pathogenic fungus Colletotrichum gloeosporioides BWH-1 showed phytotoxic activity. This study further isolated the major phytotoxin from cultures of the strain BWH-1 using bioactivity-guided isolation, by puncturing its host plant for an activity test and analyzing on the HPLC-DAD-3D mode for a purity check. Then, the active and pure phytotoxin was characterized as a dirhamnolipid (Rha-Rha-C10-C10) using the NMR, ESIMS, IR and UV methods. The herbicidal activity of dirhamnolipid was evaluated by the inhibition rate on the primary root length and the fresh plant weight of nine test plants, and the synergistic effect when combining with commercial herbicides. Dirhamnolipid exhibited broad herbicidal activity against eight weed species with IC50 values ranging from 28.91 to 217.71 mg L−1 and no toxicity on Oryza sativa, and the herbicidal activity could be synergistically improved combining dirhamnolipid with commercial herbicides. Thus, dirhamnolipid that originated from C. gloeosporioides BWH-1 displayed the potential to be used as a bioherbicide alone, or as an adjuvant added into commercial herbicides, leading to a decrease in herbicides concentration and increased control efficiency.
1. Introduction
Weeds compete with agricultural crops for water and nutrients, severely reducing crop yields, threatening the safety of world food production, and are one of the most serious agrarian pests that must be controlled. Strategies for weeds control can vary, including mechanical pulling, physical burial, cultural rotation, etc., but for many years the control of weeds has relied mainly on chemical herbicides [1,2]. However, the long-term and large-scale use of chemical herbicides has brought us many serious problems, especially the rapid evolution of resistant weed populations, and the substantial accumulation of herbicide residues in ecosystems that ultimately endanger human health [3]. Consequently, sustainable weed control strategies based on the use of natural products have become safer alternatives to chemical herbicides [1,4].
Bioherbicides are natural products originated from organisms or their metabolites with phytotoxic activity, which are more ecofriendly and more susceptible to degradation than chemical herbicides [5]. Only thirteen bioherbicides are currently available on the global market, while the global demands for bioherbicides continue rising due to the increase of public concern about the environmental safety of herbicides, the elimination of chemical herbicides using natural herbicides driven by legislation, and the need to improve weeds control efficiency [2].
Therefore, accelerating the discovering and development of bioherbicides has important practical value and far-reaching significance. Generally, the sources of bioherbicides are primarily microbial metabolites, especially phytotoxic metabolites produced by plant pathogenic fungi [1].
The plant pathogenic fungi belonging to the genus Colletotrichum usually cause serious anthracnose disease in a wide range of hosts worldwide, and the main symptoms of the affected parts are rapid necrosis, sunken and decay [6]. For this reason, species belonging to this genus have been utilized to identify and evaluate their phytotoxic metabolites for bioherbicide use. Recently, Masi et al. [7,8,9] carried out extensive studies on many species of the genus Colletotrichum for discovering potential active metabolites leading to the isolation of phytotoxins, among them colletopyrandione and colletochlorins. These results show that this genus Colletotrichum has great potential in discovering phytotoxins with potential herbicidal activity.
Previously, we isolated the pathogenic fungus Colletotrichum gloeosporioides from anthracnose disease-infected Bawanghua (Hylocereus undatus) in China [10], and named it as BWH-1. A previous study found that the cultures of this strain BWH-1 show phytotoxic activity when puncturing its host plant. Thus, we further investigated the phytotoxic metabolite produced by the strain BWH-1 for bioherbicide use in this study. Here, we isolated, purified and characterized the major phytotoxin from the cultures of Colletotrichum gloeosporioides BWH-1. Then, the herbicidal activity and synergistic effect that are combined with commercial herbicides of the target phytotoxin, were evaluated. Additionally, preliminary investigation on the mechanism of its herbicidal activity was also reported.
2. Results and Discussions
As shown in Figure 1, bioactivity-guided isolation gave the target phytotoxin R127 (final yield 0.93 mg/L), which is described in details in the Materials and Methods section. The whole isolation process included ethyl acetate (EtOAc) crude extracts from liquid cultures of the strain BWH-1, following column chromatography fractions which were tested by puncture bioassay and a subsequent purity check by HPLC-DAD-3D chromatogram [11]. The structure of obtained major phytotoxin R127 was identified as a dirhamnolipid (Rha-Rha-C10-C10) (Figure 2) by comparison of NMR, ESI-MS, FT-IR and UV data, (this data is listed in the Materials and Methods section; spectra is placed in the Supplementary Materials, Figures S1–11), with those published by Sharma et al., which was previously found in the rizosphere of Pseudomonas [12]. Therefore, the major phytotoxin produced by the pathogenic fungus C. gloeosporioides BWH-1 is identified as a dirhamnolipid.
Figure 1.
Bioactivity-guided isolation of the major phytotoxin produced by Colletotrichum gloeosporioides BWH-1. (A) Anthracnose disease of Bawanghua (Hylocereus undatus); (B) the pathogenic fungus C. gloeosporioides BWH-1; (C) liquid cultures of the strain BWH-1; (D) ethyl acetate (EtOAc) crude extracts of the liquid cultures; (E) puncture bioassay of EtOAc crude extracts; (F) puncture bioassay of fraction 82 isolated from EtOAc crude extracts; (G) puncture bioassay of fraction R127 isolated from fraction 82; (H) white crystals of R127 after purification; (I) purity check of R127 (265nm, 4.9min) by HPLC-DAD-3D chromatogram.
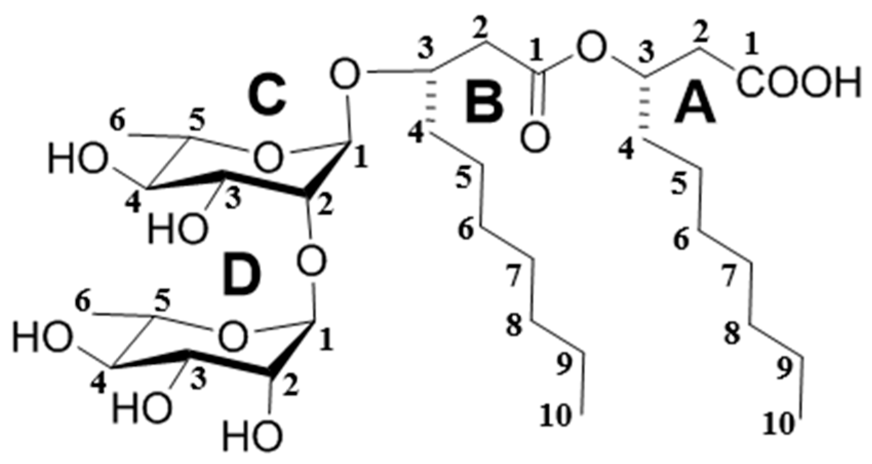
Figure 2.
Structure of dirhamnolipid (Rha-Rha-C10-C10) identified from the pathogenic fungus Colletotrichum gloeosporioides BWH-1
Interestingly, rhamnolipids are a group of biosurfactants including various monorhamnolipids and dirhamnolipids which are usually formed by one or two rhamnose molecules attached to one or two fatty acids of saturated or unsaturated alkyl chains between C8 and C12 [13,14]. They are generally produced by some bacteria species of Pseudomonas aeruginosa and Burkholderia malleior [15], and have become very promising bioactive molecules in recent years due to their novel structures, diverse bioactivities, high biodegradability, and that they can be produced from renewable resources [16]. To the best of our knowledge, this is the first report of the isolation of a dirhamnolipid from a fungus, and also the first report of a dirhamnolipid isolated from C. gloeosporioides. These results suggest that rhamnolipids are not only present in the metabolites of certain strains of bacteria, but C. gloeosporioides BWH-1 can also be used as a new strain for production of the promising bioactive dirhamnolipid.
Moreover, dirhamnolipid was previously reported to possess strong insecticidal activities against green peach aphid [17] and mosquito pupae [18]. However, to date, there are few reports on its herbicidal activity. Thus, we conducted research on the herbicidal activity of dirhamnolipid in this study.
The herbicidal activity of dirhamnolipid was evaluated by inhibiting the primary root length and fresh plant weight of nine test plants (eight weed species and Oryza sativa). Dirhamnolipid exhibited broad herbicidal activity against the eight weed species with half of the maximal inhibitory concentration (IC50) values ranging from 28.91 to 145.23 mg L−1 on the primary root length and 50.07 to 217.71 mg L−1 on the fresh plant weight, while no toxicity was found against O. sativa (Table 1). Compared to the herbicidal activity of berberine [4], the dirhamnolipid showed relatively weak herbicidal activity, which may help to ensure the safety of dirhamnolipid application.
Table 1.
Inhibition rate (%) and IC50 values of dirhamnolipid on the primary root length and fresh plant weight of the nine test plants (7d) a.
Thus, the dirhamnolipid that was originated from C. gloeosporioides BWH-1 displayed the potential to be used as a bioherbicide.
In addition, the average IC50 value of dirhamnolipid on the primary root length of tested dicot weeds (56.93 mg L−1) was two times lower than that of monocot weeds (117 mg L−1) (Figure 3). Meanwhile, the average IC50 value of dirhamnolipid on the fresh plant weight of dicot weeds (91.61 mg L−1) was 1.93 times lower than that of monocot weeds (176.87 mg L−1) (Figure 3). These results indicate that the dirhamnolipid showed better herbicidal activity against dicot weeds than monocot weeds.
Figure 3.
Average IC50 values of this dirhamnolipid on dicot weeds and monocot weeds
According to Yan et al. [14], rhamnolipids combined with laurel oil have a synergistic effect against Alternaria alternata, leading to the decrease of fungicides concentration and increase of control efficiency. So, the herbicidal synergy of dirhamnolipid (DiRL) was evaluated when it combined with commercial herbicides, cyhalofop-butyl (CB) or penoxsulam (PEN), against four dicot weeds.
As shown in Figure 4A, the treatment DiRL + CB reduces the primary root length and fresh plant weight of B. pilosa by 94.79% and 71.74% respectively, which were significantly higher than that caused by either DiRL (88.50% and 63.58%., respectively) or CB (61.82% and 36.13%, respectively) alone. Meanwhile, using DiRL + PEN reduces the primary root length and fresh plant weight of B. pilosa by 94.02% and 81.42%, respectively, which were also significantly higher than that caused by either DiRL (88.50% and 63.58%, respectively) or PEN (88.22% and 63.81%, respectively) alone. In parallel, similar reductions were observed inhibiting M. micrantha (Figure 4B) and A. retroflexus (Figure 4C). These results suggest that both combinations exhibit significant synergistic effects against the three dicot weeds. Additionally, the use of DiRL+CB or DiRL+PEN shows additive effects against A. Conyzoides (Figure 4D) because the inhibition rates of combinations were not significantly different to being used alone. These results indicate that the herbicidal activity of dirhamnolipid could be synergistically improved when combining with commercial herbicides leading to decreased herbicides concentration and increased control efficiency.
Figure 4.
Inhibition rates of dirhamnolipid combined with cyhalofop-butyl or penoxsulam on the primary root length and fresh plant weight of four test dicot weeds at the concentration of 100 mg L−1 (7d). (A) B. pilosa; (B) M. micrantha; (C) A. retroflexus; (D) A. Conyzoides. CB: Cyhalofop-butyl. DiRL + CB: Dirhamnolipid combined with cyhalofop-butyl. DiRL: Dirhamnolipid. PEN: Penoxsulam. DiRL + PEN: Dirhamnolipid combined with penoxsulam. Same letter represent values that are not significantly different at the 0.05 probability level according to Duncan’s multiple range test.
Importantly, DiRL + CB shows no antagonism and significantly improves the herbicidal activity against the four tested dicot weeds compared to using CB alone (Figure 4). In contrast, Ottis et al. [19] reports that CB is antagonized by some rice herbicides, while Kim et al. [20] report that CB is an effective herbicide for monocot weeds control, but inefficient for dicot weeds control. Our results suggest that the combination of dirhamnolipid with cyhalofop-butyl could be used to improve the control efficiency of dicot weeds.
Mechanisms involved in the synergistic effect of rhamnolipids combined with laurel oil was supported by Yan et al. [14], that rhamnolipids interact and dehydrate the plasma membrane of Alternaria alternata, and then allow essential oils to penetrate into cytoplasm more easily, so that the combination can exert a greater inhibitory effect than if it was used alone. So, Scanning Electron Microscope (SEM) observation on the root tip mature area of B. pilosa treated with different concentrations of dirhamnolipid was employed to investigate preliminarily whether the herbicidal activity of dirhamnolipid had a similar mechanism of action.
Via SEM observations, the regular morphology with full shape was obtained on the root tip mature area of B. pilosa with no treatment of the dirhamnolipid, whilst irregular morphology with severe dehydration was observed with the treatment of 500 mg L−1 or 1000 mg L−1 dirhamnolipid (Figure 5). These morphology changes preliminarily suggest that the herbicidal activity of dirhamnolipid could possess the similar mechanism that interacted with and dehydrated the target part of weeds, and thus caused its death. However, further investigations on the specific mechanism of the action of any dirhamnolipid should be carried out.
Figure 5.
Scanning Electron Microscope (SEM) observation on the root tip mature area of Bidens pilosa. (A,D) Untreated control (magnification, ×1000 and ×5000); (B,E) treated with 500 mg L−1 dirhamnolipid (magnification, ×1000 and ×5000); (C,F) treated with 1000 mg L−1 dirhamnolipid (magnification, ×1000 and ×5000).
3. Materials and Methods
3.1. General Experimental Procedures
1H and 13C NMR spectra were recorded at 600 MHz and 150 MHz in MeOD on a Bruker Avance 600 spectrometer (Bruker, Karlsruhe, Germany). The same solvent was used as an internal standard. ESI-MS analysis was conducted using a Waters LC-MS system (Waters, MA, USA) with an ACQUITY UPLC system coupled to the Waters Q-Tof Premier high-resolution mass spectrometer. FT-IR spectrum was obtained on a Nicolet 6700 FT-IR System (Thermo Scientific, MA, USA). Column chromatography was performed using silica gel (200–300 mesh, Qingdao Marine Chemical Factory, Qingdao, China) and ODS (SP-120-40/60-ODS-RPS, Daiso Co., Ltd., Osaka, Japan), respectively. Analytical thin layer chromatography (TLC) was performed on silica gel (GF254, Qingdao Marine Chemical Factory, Qingdao, China) plates. An HPLC-DAD-3D chromatogram was made on an Agilent 1290 Infinity II HPLC system (Agilent Technologies, Inc., CA, USA) equipped with a DAD detector.
3.2. Strain and Liquid Culture
The strain Colletotrichum gloeosporioides BWH-1 used in this study was isolated from anthracnose disease-infected Bawanghua (Hylocereus undatus) in China, as reported in our previous paper [10]. It was maintained on PDA plates at 28 °C for seven days and then twenty fresh mycelium pieces (0.5 cm × 0.5 cm) were inoculated into 500 mL Czapek-dox seed medium at 28 °C, 160 rpm for seven days. The seed culture (100 mL) was then transferred into 2500 mL fresh Czapek-dox medium for further culture at 28 °C, 160 rpm for 14 days.
3.3. Bioactivity-guided Isolation and Purification
The liquid cultures (10 L) of the strain BWH-1 was centrifuged, and then the obtained supernatant was extracted with ethyl acetate (EtOAc) to obtain dark brown crude extracts (10.1 g) after evaporation of the solvent. The EtOAc crude extracts were separated by column chroma-tography over silica gel (200–300 mesh, Qingdao Marine Chemical Factory, Qingdao, China) with gradient elution of CHCl2/MeOH and 105 fractions were obtained. Monitored by TLC (GF254, Qingdao Marine Chemical Factory, Qingdao, China), these 105 fractions were divided into eight homogenous groups (fraction 12, 20, 31, 43, 61, 76, 82 and 105). The fraction 82 (2.5 g) showed phytotoxic activity, and was further separated by column chromatography over ODS (SP-120-40/60-ODS-RPS, Daiso Co., Ltd., Osaka, Japan) with gradient elution of H2O/MeOH, and 130 fractions were obtained. Monitored by TLC, 130 fractions were divided into 10 homogenous groups (fraction R8, R25, R37, R65, R69, R84, R100, R102, R107 and R127). The fraction R127 (1.2 g) showed phytotoxic activity, and was further purified by recrystallization (final yield 0.93 mg/L). The purity of bioactive fraction R127 was checked by the HPLC-DAD-3D chromatogram (Agilent 1290 Infinity II, Agilent, CA, United States) [11]. The phytotoxic activity of crude extracts and all fraction groups were tested by puncture bioassay on the host plant [9]. See Figure 1 for the entire isolation and purification procedures.
3.4. Structure Characterization
Dirhamnolipid (Figure 2), Rha-Rha-C10-C10. White crystals; UV λmax nm (log ε) 265 nm; IR νmax 3336, 2924, 2856, 1734, 1648, 1459, 1118 and 1052 cm−1; 1H NMR (600 MHz, MeOD) δ: 5.26 [1H, pentet, J = 6.0, (A)H-3], 4.94 [1H, d, J =1.2, (C)H-1], 4.90 [1H, d, J =1.8, (D)H-1], 4.06 [1H, pentet, J = 6.0, (B)H-3], 3.98 [1H, dd, J = 3.0, 1.5, (D)H-2], 3.67-3.76 [5H, m, (C)H-2,3,5, (D)H-3,5], 3.40 [1H, t, J = 9.6, (C)H-4], 3.33 [1H, t, J = 9.6, (D)H-4], 2.59 [3H, m, (A)H-2, (B)H-2a], 2.50 [1H, dd, J = 15.0, 6.0, (B)H-2b], 1.64 [2H, d, J = 6.6, (A)H-4], 1.57 [2H, d, J = 7.2, (B)H-4], 1.33 [20H, m, (A)H-5,6,7,8,9, (B)H-5,6,7,8,9], 1.27 [3H, d, J = 6, (C)H-6], 1.25 [3H, d, J = 6, (D)H-6], 0.92 [6H, t, J = 7.2, (A)H-10, (B)H-10]; 13C NMR (150 MHz, MeOD) δ: 174.50 [(A)C-1], 172.63[(B)C-1], 104.32 [(D)C-1], 99.34 [(C)C-1], 80.55 [(C)C-2], 75.55 [(B)C-3], 74.38 [(C)C-4], 73.96 [(D)C-4], 72.50 [(A)C-3], 72.37 [(D)C-3], 72.02 [(C)C-3, (D)C-2], 70.38 [(D)C-5], 70.26 [(C)C-5], 41.39 [(B)C-2], 40.04 [(A)C-2], 35.14 [(A)C-4], 34.39 [(B)C-4], 33.05, 32.98, 30.81, 30.46, 30.40, 30.35, 26.28, 25.93, 23.76, 23.76, 18.16 [(C)C-6], 18.11 [(D)C-6], 14.52 [(A)C-10, (B)C-10]; ESIMS (–) m/z: 649.3323 [M–H]− (calculated for C32H58O13, 650.3877). These data are consistent with the published data [12].
3.5. Evaluation of Herbicidal Activity
The herbicidal activity of dirhamnolipid was evaluated according to the described method [4] by inhibiting the primary root length and fresh plant weight of nine test plants, including Oryza sativa and eight test weeds. The seeds of dicot weeds (Ageratum conyzoides, Celosia argentea, Bidens pilosa, Mikania micrantha, Capsella bursa-pastoris and Amaranthus retroflexus) were provided by the research group of Prof. Lijuan Zhou, South China Agricultural University. The seeds of monocot weeds (Alopecurus aequalis and Echinochloa crusgalli) were provided by Dr. Lanlan Sun, Henan Academy of Agricultural Sciences. All of the tested seeds used in this research were first immersed in 1.0% (v/v) sodium hypochlorite solutions for 10 min, killing fungi and bacteria.
Then the sterilized seeds were washed three times by sterilized water and immersed in water for 1–3 days at room temperature until germinated. The germinated seeds were immediately placed in a refrigerator at 4 °C, waiting for use. Dirhamnolipid was first dissolved in acetone and then diluted with sterilized water to get a series of concentrations from 50 to 1000 mg L−1. Different concentrations of dirhamnolipid solutions were introduced into six-well cell culture plates (5 mL/well) which filled with 2 mm diameter glass beads that mechanically supported seedlings growth. Sterilized water containing the same amount of acetone was used as a negative control. Berberine [4] was used as the positive control. Ten germinated seeds were placed in each well of the culture plates, and then each plate was covered with polyethylene wrapping film which was perforated with several little holes for ventilation. Then the ready culture plates were placed in a growth chamber calibrated to provide 12 h light/12 h darkness at 25 ± 2 °C. A completely randomized design was selected, and all treatments were replicated at least three times. After seven days of treatment, the fresh plant weight of each seedling was weighed, and the primary root length of each photographed seedling was measured on the software Image Pro Plus 6.0 (Media Cybernetics, Inc., Rockville, MD, USA). The inhibition rate on the primary root length and fresh plant weight of all tested plants was calculated by the following formula:
3.6. Evaluation of Synergistic Effect
The synergistic effect was evaluated using dirhamnolipid (DiRL) combined with commercial herbicides, cyhalofop-butyl (CB) (Sigma, CAS: 122008-85-9) or penoxsulam (PEN) (Sigma, CAS: 219714-96-2), against four dicot weeds (B. pilosa, M. micrantha, A. retroflexus and A. conyzoides) [14,21]. Seeds of the four tested weeds were pretreated as described above. The concentrations of test solutions were treated as follows: (1) Sterilized water used as negative control; (2) DiRL at 100 mg L−1; (3) CB at 100 mg L−1; (4) PEN at 100 mg L−1; (5) DiRL + CB at 100 mg L−1; (6) DiRL + PEN at 100 mg L−1. A similar set of experiments were conducted as described above. All treatments were repeated at least three times. The inhibition rate on the primary root length and fresh plant weight of four tested dicot weeds was investigated at seven days after treatment.
3.7. Microscopy Observation
The mechanism of the herbicidal activity of dirhamnolipid was preliminarily investigated on the root tip mature area of B. pilosa by scanning electron microscopy (SEM) observations [4]. The roots of seven days old B. pilosa seedlings were immersed in the 500 mg L−1 dirhamnolipid and 1000 mg L−1 dirhamnolipid solutions respectively for seven days. Seedlings were immersed in water as untreated control. The SEM samples were processed using common methods [22]. The processed samples were observed by XL-30-ESEM (FEI, Eindhoven, Netherlands).
3.8. Statistical Analysis
The inhibition rates of the primary root length and fresh plant weight were analyzed using IBM SPSS 20.0 software. All data were presented as the means ± SE of at least three independent experiments. One-way Analysis of Variance (ANOVA) analyses and Duncan’s multiple range test were used to detect statistical significance, and differences were considered significant when p < 0.05.
4. Conclusions
In summary, dirhamnolipid was identified as the major phytotoxin produced by the pathogenic fungus C. gloeosporioides BWH-1 for the first time. Moreover, dirhamnolipid exhibited broad herbicidal activity which could be synergistically improved when combining with commercial herbicides. These findings indicate that dirhamnolipid has the potential to be used as a bioherbicide alone, or as an adjuvant added into commercial herbicides, leading to decrease the herbicides concentration and to increase control efficiency.
Supplementary Materials
The following supplementary materials are available online. Figure S1–S3. 1H NMR of the isolated major phytotoxin R127 in MeOD. Figure S4–S6. 13C NMR of the isolated major phytotoxin R127 in MeOD. Figure S7–S9. HSQC of the isolated major phytotoxin R127 in MeOD. Figure S10. ESI-MS of the isolated major phytotoxin R127. Figure S11. FT-IR of the isolated major phytotoxin R127. Figure S12. Inhibitory effect of dirhamnolipid against the 8 tested weeds (7d). Figure S13. Synergistic effects of dirhamnolipid combined with cyhalofop-butyl or penoxsulam on the 4 test dicot weeds at the concentration of 100 mg L−1 (7d). (A) A. Conyzoides; (B) B. pilosa; (C) M. micrantha; (D) A. retroflexus. CK: negative control. CB: cyhalofop-butyl. PEN: penoxsulam. DiRL: dirhamnolipid. DiRL + CB: dirhamnolipid combined with cyhalofop-butyl. DiRL + PEN: dirhamnolipid combined with penoxsulam.
Author Contributions
Conceptualization, M.L.; Data curation, Z.X., M.S., Y.T. and P.Z.; Funding acquisition, M.L.; Investigation, Z.X., M.S., Y.T. and Y.N.; Methodology, M.L.; Project administration, M.L.; Supervision, Z.X. and M.L.; Validation, Z.X., M.S. and P.Z.; Writing-original draft, Z.X.; Writing -review & editing, Z.X., Y.T. and M.L.
Funding
This research was cofinanced by the National Key Technologies Research and Development Program (2017YFD02011087) and Guangzhou Science and Technology Program key projects (201803020019).
Acknowledgments
The authors are very grateful to Jie Liu (South China Agricultural University, Guangzhou, China) for her tremendous help in the language improvements of this paper, and the generous help given by Lijuan Zhou (South China Agricultural University, Guangzhou, China) and Lanlan Sun (Henan Academy of Agricultural Sciences, Zhengzhou, China) on the provision of experimental materials.
Conflicts of Interest
The authors declare no conflict of interest.
References
- Cimmino, A.; Masi, M.; Evidente, M.; Superchi, S.; Evidente, A. Fungal phytotoxins with potential herbicidal activity: Chemical and biological characterization. Nat. Prod. Rep. 2015, 32, 1629–1653. [Google Scholar] [CrossRef] [PubMed]
- Cordeau, S.; Triolet, M.; Wayman, S.; Steinberg, C.; Guillemin, J.P. Bioherbicides: Dead in the water? A review of the existing products for integrated weed management. Crop Prot. 2016, 87, 44–49. [Google Scholar] [CrossRef]
- Masi, M.; Freda, F.; Sangermano, F.; Calabro, V.; Cimmino, A.; Cristofaro, M.; Meyer, S.; Evidente, A. Radicinin, a fungal phytotoxin as a target-specific bioherbicide for invasive buffelgrass (Cenchrus ciliaris) control. Molecules 2019, 24, 1086. [Google Scholar] [CrossRef] [PubMed]
- Wu, J.; Ma, J.J.; Liu, B.; Huang, L.; Sang, X.Q.; Zhou, L.J. Herbicidal spectrum, absorption and transportation, and physiological effect on Bidens pilosa of the natural alkaloid berberine. J. Agric. Food Chem. 2017, 65, 6100–6113. [Google Scholar] [CrossRef] [PubMed]
- Radhakrishnan, R.; Alqarawi, A.A.; Abd Allah, E.F. Bioherbicides: Current knowledge on weed control mechanism. Ecotox. Environ. Saf. 2018, 158, 131–138. [Google Scholar] [CrossRef] [PubMed]
- Phoulivong, S.; Lei, C.; Hang, C.; Mckenzie, E.H.C.; Abdelsalam, K.; Chukeatirote, E.; Hyde, K.D. Colletotrichum gloeosporioides is not a common pathogen on tropical fruits. Fungal Divers. 2010, 44, 33–43. [Google Scholar] [CrossRef]
- Masi, M.; Cimmino, A.; Boari, A.; Zonno, M.C.; Gorecki, M.; Pescitelli, G.; Tuzi, A.; Vurro, M.; Evidente, A. Colletopyrandione, a new phytotoxic tetrasubstituted indolylidenepyran-2,4-dione, and colletochlorins G and H, new tetrasubstituted chroman- and isochroman-3,5-diols isolated from Colletotrichum higginsianum. Tetrahedron 2017, 73, 6644–6650. [Google Scholar] [CrossRef]
- Masi, M.; Cimmino, A.; Boari, A.; Tuzi, A.; Zonno, M.C.; Baroncelli, R.; Vurro, M.; Evidente, A. Colletochlorins E and F, new phytotoxic tetrasubstituted pyran-2-one and dihydrobenzofuran, isolated from Colletotrichum higginsianum with potential herbicidal activity. J. Agric. Food Chem. 2017, 65, 1124–1130. [Google Scholar] [CrossRef] [PubMed]
- Masi, M.; Zonno, M.C.; Cimmino, A.; Reveglia, P.; Berestetskiy, A.; Boari, A.; Vurro, M.; Evidente, A. On the metabolites produced by Colletotrichum gloeosporioides a fungus proposed for the Ambrosia artemisiifolia biocontrol; spectroscopic data and absolute configuration assignment of colletochlorin A. Nat. Prod. Res. 2018, 32, 1537–1547. [Google Scholar] [CrossRef] [PubMed]
- Ma, W.J.; Yang, X.; Wang, X.R.; Zeng, Y.S.; Liao, M.D.; Chen, C.J.; Sun, S.; Jia, D.M. First report of anthracnose disease on young stems of Bawanghua (Hylocereus undatus) caused by Colletotrichum gloeosporioides in China. Plant Dis. 2014, 98, 991–992. [Google Scholar] [CrossRef] [PubMed]
- Cui, L.Z.; Poon, J.; Poon, S.K.; Chen, H.; Gao, J.B.; Kwan, P.; Fan, K.; Ling, Z.H. An improved independent component analysis model for 3D chromatogram separation and its solution by multi-areas genetic algorithm. BMC Bioinform. 2014, 15, S8. [Google Scholar] [CrossRef] [PubMed]
- Sharma, A.; Jansen, R.; Nimtz, M.; Johri, B.N.; Wray, V. Rhamnolipids from the rhizosphere bacterium Pseudomonas sp GRP(3) that reduces damping-off disease in chilli and tomato nurseries. J. Nat. Prod. 2007, 70, 941–947. [Google Scholar] [CrossRef] [PubMed]
- Haba, E.; Pinazo, A.; Jauregui, O.; Espuny, M.J.; Infante, M.R.; Manresa, A. Physicochemical characterization and antimicrobial properties of rhamnolipids produced by Pseudomonas aeruginosa 47T2 NCBIM 40044. Biotechnol. Bioeng. 2003, 81, 316–322. [Google Scholar] [CrossRef] [PubMed]
- Yan, F.J.; Xu, S.X.; Guo, J.; Chen, Q.R.; Meng, Q.; Zheng, X.D. Biocontrol of post-harvest Alternaria alternata decay of cherry tomatoes with rhamnolipids and possible mechanisms of action. J. Sci. Food Agric. 2015, 95, 1469–1474. [Google Scholar] [CrossRef] [PubMed]
- Toribio, J.; Escalante, A.E.; Soberon-Chavez, G. Rhamnolipids: Production in bacteria other than Pseudomonas aeruginosa. Eur. J. Lipid Sci. Technol. 2010, 112, 1082–1087. [Google Scholar] [CrossRef]
- Chen, J.W.; Wu, Q.H.; Hua, Y.; Chen, J.; Zhang, H.W.; Wang, H. Potential applications of biosurfactant rhamnolipids in agriculture and biomedicine. Appl. Microbiol. Biotechnol. 2017, 101, 8309–8319. [Google Scholar] [CrossRef] [PubMed]
- Kim, S.K.; Kim, Y.C.; Lee, S.; Kim, J.C.; Yun, M.Y.; Kim, I.S. Insecticidal activity of rhamnolipid isolated from Pseudomonas sp EP-3 against green peach aphid (Myzus persicae). J. Agric. Food. Chem. 2011, 59, 934–938. [Google Scholar] [CrossRef] [PubMed]
- Prabakaran, G.; Hoti, S.L.; Rao, H.S.P.; Vijjapu, S. Di-rhamnolipid is a mosquito pupicidal metabolite from Pseudomonas fluorescens (VCRC B426). Acta Trop. 2015, 148, 24–31. [Google Scholar] [CrossRef] [PubMed]
- Ottis, B.V.; Mattice, J.D.; Talbert, R.E. Determination of antagonism between cyhalofop-butyl and other rice (Oryza sativa) herbicides in barnyardgrass (Echinochloa crus-galli). J. Agric. Food Chem. 2005, 53, 4064–4068. [Google Scholar] [CrossRef]
- Kim, J.S.; Oh, J.I.; Kim, T.J.; Pyon, J.Y.; Cho, K.Y. Physiological basis of differential phytotoxic activity between fenoxaprop-P-ethyl and cyhalofop-butyl-treated barnyardgrass. Weed Biol. Manag. 2005, 5, 39–45. [Google Scholar] [CrossRef]
- Yen, T.B.; Chang, S.T. Synergistic effects of cinnamaldehyde in combination with eugenol against wood decay fungi. Bioresour. Technol. 2008, 99, 232–236. [Google Scholar] [CrossRef] [PubMed]
- Cao, X.; Chen, C.L.; Zhang, D.J.; Shu, B.; Xiao, J.; Xia, R.X. Influence of nutrient deficiency on root architecture and root hair morphology of trifoliate orange (Poncirus trifoliata L. Raf.) seedlings under sand culture. Sci. Hortic. 2013, 162, 100–105. [Google Scholar] [CrossRef]
Sample Availability: Not available. |
© 2019 by the authors. Licensee MDPI, Basel, Switzerland. This article is an open access article distributed under the terms and conditions of the Creative Commons Attribution (CC BY) license (http://creativecommons.org/licenses/by/4.0/).




