Next Article in Journal
Four New Flavonoids Isolated from the Aerial Parts of Cadaba rotundifolia Forssk. (Qadab)
Next Article in Special Issue
Synthesis of Lactam-Bridged and Lipidated Cyclo-Peptides as Promising Anti-Phytopathogenic Agents
Previous Article in Journal
RETRACTED: A Ferulic Acid Derivative FXS-3 Inhibits Proliferation and Metastasis of Human Lung Cancer A549 Cells via Positive JNK Signaling Pathway and Negative ERK/p38, AKT/mTOR and MEK/ERK Signaling Pathways
 
 
Font Type:
Arial Georgia Verdana
Font Size:
Aa Aa Aa
Line Spacing:
Column Width:
Background:
Article

A Candidate for Multitopic Probes for Ligand Discovery in Dynamic Combinatorial Chemistry

1
Graduate School of Science, Tokyo University of Science, 1-3 Kagurazaka, Shinjuku-ku, Tokyo 162-8601, Japan
2
Graduate School of Chemical Sciences and Technology, Tokyo University of Science, 1-3 Kagurazaka, Shinjuku-ku, Tokyo 162-8601, Japan
3
Department of Chemistry, Faculty of Science Division II, Tokyo University of Science, 1-3 Kagurazaka, Shinjuku-ku, Tokyo 162-8601, Japan
*
Author to whom correspondence should be addressed.
Molecules 2019, 24(11), 2166; https://doi.org/10.3390/molecules24112166
Submission received: 7 May 2019 / Revised: 30 May 2019 / Accepted: 7 June 2019 / Published: 8 June 2019
(This article belongs to the Special Issue Macrocycles in Drug Discovery)

Abstract

Multifunctionalized materials are expected to be versatile probes to find specific interactions between a ligand and a target biomaterial. Thus, efficient methods to prepare possible combinations of the functionalities is desired. The concept of dynamic combinatorial chemistry (DCC) is ideal for the generation of any possible combination, as well as screening for target biomaterials. Here, we propose a new molecular design of multitopic probes for ligand discovery in DCC. We synthesized a new Gable Porphyrin, GP1, having prop-2-yne groups as a scaffold to introduce various functional groups. GP1 is a bis(imidazolylporphyrinatozinc) compound connected through a 1,3-phenylene moiety, and it gives macrocycles spontaneously and quantitatively by strong imidazole-to-zinc complementary coordination. Some different types of functional groups were introduced into GP1 in high yields. Formation of heterogeneous macrocycles composed of GP1 derivatives having different types of substituents was accomplished under equilibrium conditions. These results promise that enormous numbers of macrocycles having various functional groups can be provided when the kinds of GP components increase. These features are desirable for DCC, and the present system using GP1 is a potential candidate to provide a dynamic combinatorial library of multitopic probes to discover specific interactions between a ligand and a biomaterial.

1. Introduction

Ligand discovery for target proteins is an important issue at the initial stage in pharmaceutical research. To discover the proper ligand, not only molecular modeling simulations based on the crystal structures of target proteins, but also practical binding experiments using large and diverse compound collections are required. The concept of dynamic combinatorial chemistry (DCC) [1,2,3,4,5,6] is significant for efficient screening to find interactions between a ligand and a target biomaterial [7,8,9,10,11,12], such as proteins and nucleic acids, and in fact, DCC is now becoming a powerful tool for drug discovery [13].
Multifunctionality is necessary to recognize the target cell followed by ligand discovery for proteins in the target cell. In such cases, a combination of more than two keys recognizing the target cell becomes important as well as interaction with the protein. However, rising numbers of components exponentially increase their combinations in the multicomposites. Therefore, innovative multitopic DCC methods that are more combinatorial, more diverse, and more dynamic on their multitopic sites should be developed. In Figure 1, an idea of advanced multitopic DCC systems is shown. A macrocycle is composed of six ditopic components, which are self-assembled to each other by exchangeable coordination bonds. When five kinds of self-assembled macrocycles (symbolized as five colors) are mixed, and recombination of each component occurs among the macrocycles, various heterogeneous macrocycles will be generated randomly as shown by multiple colored rings. A structurally reliable macrocyclic motif is beneficial for surveying a combination of components for targets. On the application of the macrocyclic system into DCC, highly combinatorial, highly diverse, and highly dynamic features are expected.
So far, several multifunctionalized materials have been reported. Dendritic polymers [14,15], mesoporous-silica-based materials [16], graphene oxides [17], carbon dots [18], and carbon nano-onions [19] are proposed for versatile materials. However, most of their combinatorial systems are static, not dynamic. Only limited cyclic pseudopeptidic compounds connected through disulfide bonds are reported for DCC [20]. In a static combinatorial library, the numbers of combinations to be tried within all of the possible combinations are limited due to time and resources constraints. On the other hand, DCC using a multitopic system is expected to produce every possible combination and enormous multifunctionalized material collections.
In general, DCC requires quantitative and reversible reactions or interactions to provide diverse composite collections. The exchange rates should be fast to generate all the possible combinations of all of the components within a realistic timescale. Furthermore, a composite interacted with a target biomaterial must be stable enough to detect and isolate the target. For high-throughput separation and detection, liquid chromatography (LC) with characteristic and sensitive UV–vis absorption and/or fluorescence monitoring is one of the most suitable methods, and the subsequent mass spectrometric analysis of the isolated composite/target fraction provides information about components in the composite.
We have continued with the idea that imidazolyl zinc porphyrin (ImZnP)-based self-assembled nanorings are possible candidates to provide the above DCC system. The ImZnP system was initially developed by Kobuke and Miyaji as a biomimetic model of the so-called “special pair” in photosynthetic reaction center of photosynthetic purple bacteria [21] (Figure 2). The slipped-cofacial dimer of the imidazolyl zinc porphyrins mimics arrangement of the bacteriochlorophylls of the special pair. Characteristic features of ImZnP are as follows: (1) reversible and strong complementary imidazole-to-zinc coordination bonds, reaching a self-assembled constant, Ka > 108 M−1; (2) easily detectable and distinguishable split Soret bands in a range between 410 and 430 nm with large molar extinction coefficients; (3) fluorescent, even in their self-assembled states. These features are considered to be desirable to apply the system to DCC.
We have developed ImZnP into bis-ImZnP systems, in which two ImZnPs are connected directly or through appropriate spacers. They spontaneously produce oligomeric/polymeric and cyclic [22,23]/linear array systems [24,25,26]. For example, a Gable zinc porphyrin (GP), in which two ImZnPs are connected through an m-phenylene moiety, gave a mixture of pentameric and hexameric GPs quantitatively in solution (Figure 3 and Figure 4).
In our previous work, chloroform was mostly used to treat ImZnP and bis-ImZnP systems, because it is a “good” solvent for solvation of the π-aromatic skeleton of porphyrins, while not interfering with the coordination between the imidazolyl moiety and the zinc ion. In the presence of coordinating solvent, such as methanol, exchange rates among imidazolyl and zinc moieties were accelerated, and their compositions varied depending on different concentrations and temperatures. Therefore, the system is concluded to be a dynamic one. In our previous molecules, it was difficult to treat ImZnP systems in polar solvents. For example, in acetonitrile and water, ImZnP systems tend to give undesirable aggregates, which can be monitored by UV–vis absorption spectra as deviating from the Lambert–Beer law and light scattering. To apply ImZnP systems to DCC in biorelated chemistry, the hydrophilicity of the ImZnP moiety must be increased to dissolve them in aqueous solution, and also scaffolds to introduce arbitrary substituents should be attached. Here, we present a new GP having hydrophilic side chains on the four meso-positions and prop-2-yne groups on the imidazolyl groups as scaffolds as shown in Figure 5. In the new system using GP1, we should verify whether (1) complementary imidazolyl-to-zinc coordination occurs even in a polar solvent system, (2) various substituents can be introduced into the prop-2-yne groups, and (3) dynamic exchange occurs between different GPs to give heterogeneous self-assembled rings.
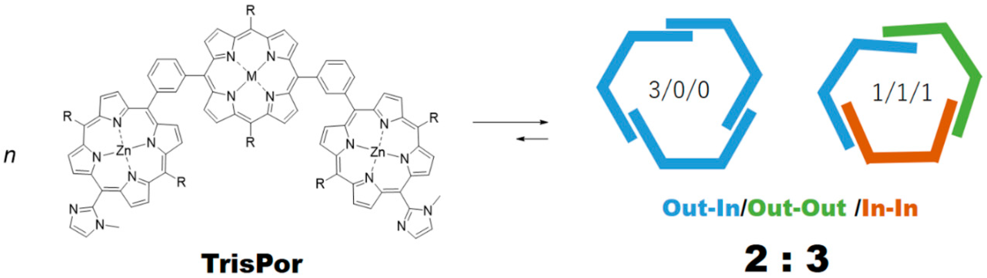
In general, GP gives a mixture of pentameric and hexameric rings, in which the combinations of coordination patterns are random, as shown in Figure 6. Thus, besides the five-fold symmetry structure (Out–In/Out–Out/In–In = 5/0/0, clockwise), the pentamer can take another three asymmetric structures (two 3/1/1s and 1/2/2) as shown in Figure 6. In the case of the cyclic hexamer, eight possible coordination isomers are considered (Figure 6). Because the rates of rotation about carbon–carbon bonds between porphyrin and the adjacent m-phenylene moiety are slow, they are distinguished in 1H NMR spectra, giving complicated signal patterns by overlapping those of conformational isomers. Assignment of each signal in the 1H-NMR chart is difficult by using standard two-dimensional methods on a 500 MHz NMR spectrometer. In the case of simpler trisporphyrin (TrisPor) systems [27], only two conformational isomers are possible (Figure 7). Thus, the 1H-NMR spectrum is simpler than those of pentamers and hexamers composed of GPs, and, in fact, parts of signals can be assigned as each coordination isomer. In the case of bis-zinc porphyrin connected through 1,3-bisethynylbenzene, a mixture of self-assembled pentamer and hexamer are also produced similar to the case of GP [28]. In this system, however, the 1H-NMR spectra are very simple due to the fast rotation about the C–C bonds between the ethynylene moieties and their adjacent substituents. Therefore, using GPs is beneficial to produce various conformational isomers, and this nature is rather convenient to prepare a large and diverse dynamic combinatorial library (DCL).
Although 1H-NMR spectroscopy is sensitive to distinguishing the conformational isomers, UV–vis spectroscopy is insensitive for the difference among the conformational isomers. UV–vis spectroscopy can distinguish only the difference between pentameric and hexameric rings, but not their conformational isomers. In the case of hexameric rings, the peak maximum of one of the split Soret bands appears on the longer wavelength side by approximately 2 nm, compared with that in corresponding pentameric rings [29]. This feature is convenient to simplify the analysis of gel-permeation chromatography (GPC) to only discriminate pentamer from hexamer using a photodiode array (PDA) detector.
Another advantage of using porphyrin derivatives is that they are easily detectable by matrix-assisted laser desorption ionization time-of-flight mass spectrometry (MALDI-TOF MS). Although pentameric and hexameric rings are stable in solution when conducting GPC analysis, they are dominantly detected as the monomeric component of GP under high vacuum MALDI-TOF MS conditions. This nature will be enough to analyze the components of heterogeneous composites. Therefore, high-throughput analysis is expected by a combination of LC and MALDI-TOF MS for ligand discovery in DCC using this system.
In this paper, we describe the synthesis of new GP1 and the introduction of various substituents on GP1 to give four derivatives. On the basis of the expected properties of GP systems, their dynamic behaviors are examined.

2. Results and Discussion

2.1. Synthesis of Porphyrins

Synthesis of GP1 was performed as shown in Scheme 1 and Scheme 2. Condensation of two kinds of aldehydes 2 and 3, and dipyrromethane 4 in the presence of trifluoroacetic acid (TFA), followed by subsequent oxidation with p-chloranil gave a mixture of porphyrins 5, 7, and 8. After purification of monoimidazolyl porphyrin 5, the acetal group was deprotected to give aldehyde 6.
Aldehyde 6 and dipyrromethane 4 were reacted in the presence of TFA, and subsequent addition of aldehyde 2 to the mixture gave a mixture of bisimidazole monoporphyrin 8, trisporphyrin 9, and the free-base form of target gable porphyrin GP1Fb. The free-base GP1Fb was isolated by preparative recycle GPC systems (Figure S1).
Introduction of zinc ion into free-base porphyrin 5 and GP1Fb was performed, respectively, as shown in Scheme 3 and Scheme 4. Monoimidazolyl zincporphyrin 5Zn gave the complementary coordination dimer spontaneously in chloroform. In Figure 8, the 1H-NMR spectra of free-base porphyrin 5 and coordination dimer of zinc porphyrin 5Zn are shown. Characteristic signals observed at 5.82, 5.41, and 2.19 (and 2.15) in the dimer are assigned as Im5, β1, and Im4 (distinguished as tautomers), respectively, which are significantly shielded by the facing porphyrin in the dimer. The coordination dimer of zinc porphyrin 5Zn includes their tautomers concerning aryl groups, and the parts of signals are distinguished in the 1H-NMR spectrum.
In the case of GP1Fb, introduction of zinc ions can be confirmed by UV–vis spectrum in pyridine, in which complementary coordination bonds are disconnected by competitive coordination of pyridine, and MALDI-TOF MS. The 1H-NMR spectrum of GP1 in CDCl3 was too complicated to be assigned due to the formation of various self-assembled oligomers including their tautomers. However, characteristic shielded signals, β1, Im4, and Im5, are observed in the range of 6.00–4.51 (β1, Im5) and 2.10–1.60 (Im4) (Figure 9). These results show that GP1 forms supramolecular structures by the complementary imidazole-to-zinc coordination bonds.

2.2. Introduction of Substituents

As a preliminary study, some different types of substituents, hydrophilic oligoether (PEG8), pyrene (PY) as a large aromatic compound, a branched alkyl group (BA) derived from FINEOXOCOL® 180, and 3,3,4,4,5,5,6,6,6-nonafluorohexyl (F9) were planned to be introduced into GP1 using copper(I)-catalyzed alkyne-azide cycloaddition (CuAAC) (Scheme 5). Before applying the reaction to GP1, we have examined experimental conditions on 5Zn (Scheme 6). Because a free-base porphyrin reacts with copper ion to give a corresponding copper porphyrin quantitatively, from which it is difficult to remove the copper ion, zinc porphyrin derivatives must be used as substrates of CuAAC, and amounts of the copper ion should be limited to prevent metal exchange reaction from zinc to copper on the porphyrin. Finally, we found the following appropriate conditions: in the presence of ca. six equiv of CuI and ca. 17 equiv of 2,6-lutidine, at rt, for more than 7 days. Under these conditions, CuAAC proceeds in high yield without transmetalation even in various solvents. The reaction progress was monitored using thin layer chromatography (TLC) and MALDI-TOF MS by detecting target signals directly and the following purification was carried out by silica-gel column chromatography followed by reprecipitation from a mixture of chloroform and hexane. The 1H-NMR spectrum of PEG8-5Zn in CDCl3 is shown in Figure 10. After substitution of the PEG8 group, signals on the porphyrin skeleton are similar between 5Zn and PEG8-5Zn and extra signals corresponding to the newly introduced PEG8 group are mainly observed in the range of 4.0–3.0 and 1.7–1.0 ppm. Parts of the extra signals are shifted upfield, suggesting that they are located over the porphyrin planes.
In a similar procedure, PY (pyrene) and F9 groups were introduced into 5Zn to give PY-5Zn and F9-5Zn in 95% and 88% yields, respectively. The CuAAC reaction condition was confirmed to be appropriate to introduce various functional groups into 5Zn. In the case of GP1, initially, we were afraid that efficient CuAAC might not proceed very well because GP1 had two reaction parts of alkyne groups, which might be sterically hindered by formation of its self-assembled macrocycles. Against our anxiety, CuAAC also proceeded on self-assembled structures composed of GP1 in good yields under similar conditions. Their bis-substituted structures and purities as porphyrin derivatives were confirmed by MALDI-TOF MS and HPLC-GPC systems equipped with a PDA detector using pyridine as an eluent, where dissociated GP units can be observed. In Figure 11, MALDI-TOF MS spectra of GP1, PEG8-GP1, PY-GP1, BA-GP1, and F9-GP1 with DCTB (trans-2-[3-(4-tert-butylphenyl)-2-methyl-2-propenylidene]malononitrile) as a matrix recorded on JSM-S3000 (JEOL) with spiral mode are shown. Each molecular weight expected as a target compound is shown in Scheme 5. On the MALDI-TOF MS, signals were observed as sodium ion adducts [M + Na]+. From the highly resolved spectra, these derivatives can be easily assigned and distinguished from others. In the MALDI-TOF MS analysis, only signals corresponding to components of GPs are detected, even though they existed as cyclic pentamers and hexamers in solution. This property is not inadequate, rather it is convenient to analyze the components of heterogeneous self-assembled cyclic oligomers composed of different components as described in the later part.

2.3. UV–Vis Absorption and Fluorescence Spectra in Aqueous Solution

To examine the application of our new porphyrin system in aqueous media, UV–vis absorption and fluorescence spectra of 5Zn and PEG8-5Zn were recorded in mixtures of different compositions of water and acetonitrile (Figure 12 and Figure 13). In general, random aggregation of porphyrin causes absorption spectral broadening and fluorescence quenching. In the case of nonsubstituted 5Zn, the fluorescence quantum yields were almost constant between 100% acetonitrile and up to 60 vol% of water in a mixture with acetonitrile, whereas the fluorescent nature was decreased significantly above 60 vol% of water solutions (Figure 12c). UV–vis absorption spectrum of 5Zn in the 80 vol% water solution became broader, showing higher aggregated states of the dimer of 5Zn (Figure 12b). On the other hand, in the case of PEG8-5Zn, the fluorescence quantum yields were almost constant between 100% acetonitrile and up to 90 vol% of water solution, and even in 100% water solution, half of the intrinsic fluorescent property remained (Figure 13c). The UV–vis absorption spectrum in the 100% water solution did not show remarkable aggregated structure (Figure 13b). Therefore, the introduction of a hydrophilic PEG8 group over the porphyrin plane is effective in preventing the production of higher aggregated structure. Unfortunately, PEG8-GP 1 was difficult to dissolve in 100% water. Therefore, further hydrophilic substituents should be introduced into GPs when they are applied to biorelated materials. Longer polyethylene glycols and charged compounds are candidates to improve the solubility of GP derivatives. GPs have not only characteristic absorption bands in the visible region with high extinction coefficients, but also an intrinsic fluorescence property to emit red light as well as 5Zn. If the solubility of GP derivatives increases under physiological conditions, the fluorescent feature will be useful to be detected as a super complex with target materials.

2.4. Reconstitution of GPs

In order to verify whether our self-assembled porphyrin ring systems can produce heterogeneous composites, reconstituted porphyrin rings composed of two components were compared with those of sole components. The comparisons were performed on improvement of solubility in polar acetonitrile, changes of elution curves in GPC analyses, and their NMR spectra.
At first, reorganized porphyrin rings composed of sole components were prepared. Reorganization procedures to converge into a mixture of pentamer and hexamer were modified from the previous method [29]. GP1, PEG8-GP1, PY-GP1, BA-GP1, and F9-GP1 were independently reorganized in a 20 µM solution of a mixture of chloroform and methanol (7:3) at rt for 12 h. All of the GPs dissolved well in chloroform. After the reorganization, the mixture was washed with water to remove methanol, and filtrated the residual water on phase separator paper (Whatman®) to give methanol-free chloroform solution. In the absence of methanol, the reorganization is suppressed kinetically. In Figure 14, GPC charts of before and after the reorganization of PEG8-GP1 are shown. Before the reorganization, GPs formed various acyclic oligomeric structures accompanied by target cyclic pentamers and hexamers. The acyclic oligomers tend to be absorbed on the polystyrene gel in GPC columns due to presence of their terminal imidazolyl moieties to cause the heavily tailing charts. After the reorganization, the free-imidazolyl moieties are disappeared by convergence into cyclic structures to give converged elution curves without tailing.
In Figure 15, GPC charts of reorganized GP1, PY-GP1, and PEG8-GP1 are arranged with the same range of retention time (RT). In these analyses, two columns were connected to extend the analytical length of GPC. Because these elution curves are almost reproduced in several reorganization experiments using the same conditions, the elution curves are considered to show product distributions after equilibria among pentamers and hexamers of the GPs.
Figure 16 shows the UV–vis absorption spectra recorded at the time range of 16–20 min on the PDA detector in the GPC experiments (Figure 15c). In Figure 16a, the spectra before the peak maximum (17.8 min) in Figure 15c are overlaid, whereas those after the peak maximum are arranged in Figure 16b. Therefore, the changes are uphill and downhill roads in (a) and (b), respectively. On the uphill road in (a), the wavelengths of the peak maxima around 448 nm seem to be constant at 448 nm, indicating that the components are dominantly hexamers. On the downhill road in (b), however, those seem to be shifted from 448 to 446 nm around the top part. This observation in (b) indicates that contents of elution varied from hexamers to pentamers at this point, and the pentamers are eluted at later RT than the hexamers. The behavior that smaller molecules elute at later RT is consistent with the characteristics of the GPC column.
Distributions of hexamer and pentamer composed of PEG8-GP1 varied under different temperatures in acetonitrile solution. Figure 17 shows GPC charts of the mixtures reorganized at 0, 25, 40, and 60 °C. The relative ratio of pentamer increased upon raising the reorganization temperature, indicating that the formation of the smaller ring, namely the pentamer, is entropically favorable. These results clearly show that the present system relies on equilibrium, which responds to external environments.
To prepare heterogeneous composites, an equivalent of PY-GP1 dissolved in the minimum amount of chloroform was added to an acetonitrile/methanol solution (2:1 v/v) of the reorganized ring of PEG8-GP1, and the mixture was stirred for 12 h at 60 °C. During the reconstitution process, no precipitate was formed, and it was confirmed by the UV–vis spectrum that all porphyrin derivatives were recovered in the acetonitrile solution after the reconstitution. In Figure 18, GPC charts of the samples at each step are arranged in the same RT scale. The shape of an as-prepared mixed sample (c in Figure 18) seemed to be already changed from the simple summation of individual samples (a: PY-GP1 and b: PEG8-GP1 in Figure 18). After reconstitution, the distribution looks like a simple Gaussian shape as shown in Figure 18d. Because such an apparently simple distribution has never been observed in the case of reorganization in single GPs, this phenomenon must be due to reconstitution of PY-GP1 and PEG8-GP1. Overlaid spectra recorded on the PDA detector in the GPC analysis shown in Figure 18d are represented in Figure 19. Interestingly, peak maxima of the Soret band at the longer wavelength seem to be constant at 446 nm, suggesting the dominant formation of pentamer. Although porphyrin parts were almost constant in the normalized UV–vis absorption spectra (Figure 20), which were obtained from the overlaid spectra in Figure 19 with normalization at 446 nm, relative intensities of pyrene parts (250–350 nm) were increased in the later RT region. By using molar extinction coefficients of pyrene derivatives and porphyrin derivative, the ratio of PY-GP1 and PEG8-GP1 can be estimated approximately as 2:3 at RT 17.70 min, and 3:2 at RT 18.18 min. Therefore, even in the apparently simple distribution, the constitutions of PY-GP1 and PEG8-GP1 vary continuously.
1H-NMR spectra of PY-5Zn, PEG8-GP1, PY-GP1, and the reconstituted sample of PEG8-GP1 and PY-GP1 (1:1) are shown in Figures S2–S5. From the assigned signals corresponding to the shielded pyrene protons in PY-5Zn, signals observed in the region of 8.0–7.2 ppm can be estimated as parts of pyrene protons existing outside the pentameric rings. Because the relative integration ratio of the region 8.0–7.2 ppm of the reconstituted sample decreased compared with those of sole rings composed of PY-GP1, pyrene moieties existing outside the porphyrin ring decreased, suggesting that pyrene moieties existing inside the porphyrin ring become dominant. The pyrene protons inside the ring are considered to be more shielded by other pyrenes and porphyrins, and they are probably shifted upfield.
Because PY-GP1 was less soluble in the polar mixed solution, whereas PEG8-GP1 was well soluble, we expected the formation of a 3:3 micelle-like cyclic hexamer, in which hydrophilic PEG8 groups were arranged outside and hydrophobic PY groups were gathered inside the cyclic hexamer, as shown in Figure 21a. In such a structure, π–π interactions among PY moieties as well as PY and zinc porphyrin moieties were expected, and it might stabilize the structure. However, the result was not as expected, and only the cyclic pentamer was observed as a mixture of conformational isomers as shown in Figure 21b, in which, at least one of the pyrene moieties was exposed to the polar solvent on the outside of the ring. This result suggests that entropic gain to prepare a large number of smaller macrocycles, pentamers, instead of hexamers, overcomes the destabilization energy to expose pyrene moieties to polar solvent.
By similar procedures, reconstitution of BA-GP1 and F9-GP1 with PEG8-GP1 was performed. In both cases, all of the porphyrin derivatives were recovered quantitatively in acetonitrile solution without precipitation. GPC-PDA analyses of the mixtures reconstituted at various temperatures are shown in Figures S6 and S7. In these cases, mixtures of hexamers and pentamers were obtained, and their relative ratios seem to be almost constant at the various temperatures. Although their 1H-NMR spectra were too complicated to analyze and discuss their structures (Figures S8–S11), 19F-NMR spectral analysis made it easy. 19F-NMR spectra of F9-N3, F9-5Zn, F9-GP1, and a reconstituted sample of F9-GP1 and PEG8-GP1 are shown in Figure 22, Figure 23 and Figure 24.
In Figure 22a, four kinds of nonequivalent fluorine signals of F9-N3 were observed at –80.9, –114.0, −124.4, and −125.9 ppm, which were assigned by referring reported values [30] as 6-, 3-, 4-, and 5-positions, respectively. 19F-NMR signals of F9-5Zn, −81.0, −114.8, −124.6, and −126.1 ppm, seem almost the same, suggesting that the effects of the porphyrin are very small in the dimer. 19F-NMR spectra of F9-GP1 before and after reorganization are shown in Figure 23a,b, respectively. In Figure 23a, the four kinds of nonequivalent fluorine atoms are split, and each lower-field signal, –80.9, –114.7, –124.5, and –126.0 is almost identical to those of F9-N3 and F9-5Zn, whereas the existence of a set of the other upper-field signals, −81.2, −114.9, −124.7, and −126.3 ppm, indicates the existence of different circumstances. After the reorganization of F9-GP1, chemical shift values corresponding to the upper-field peaks were expanded widely in a range of approximately 400 Hz (ca 1–2 ppm). The characteristic upper-field peaks originate from fluorine atoms existing inside porphyrin rings, and their complexity indicates the existence of various conformers. On the other hand, the lower-field signals observed as singlets are assigned as fluorine atoms existing outside the porphyrin rings. As shown in Figure 24, the integration ratios of 19F-NMR signals originating outside and inside were changed in a reconstituted sample composed of F9-GP1 and TEG8-GP1. Thus, the inside signals were increased by comparing with the outside, suggesting that fluorinated groups in F9-GP1 compounds tend relatively to exist inside the ring. These data also show the formation of heterogeneous composites composed of F9-GP1 and PEG8-GP1.
Formation of the heterogeneous self-assembled macrocycles composed of F9-GP1 and PEG8-GP1, as well as PY-GP1 and PEG8-GP1, suggests that any kind of functional groups that are even intrinsically phobic to one another, can be blended through the macrocycles. This is because the formation energy of imidazolyl-to-zinc complementary coordination is much larger than those of interactions among the substituents. Thus, the substituents do not interfere with the formation of the macrocycles. We consider that statistically heterogeneous macrocycles will be obtained when larger numbers of GP components are mixed. This feature is suitable for DCC.

3. Materials and Methods

General Procedure. All chemicals and solvents were of commercial reagent quality and used without further purification unless otherwise stated. 3-(4,4-Dimethyl-2,6-dioxan-1-yl)benzaldehyde 3 [29] and 2,2′-(2,5,8,11-tetraoxapentadecane-15,15-diyl)bis(1H-pyrrole) 4 [31] were prepared according to the literature. PEG8N3 (25-Azido-2,5,8,11,14,17,20,23-octaoxapentacosane) was purchased from TCI (Tokyo, Japan). CHCl3 (Kanto, extra pure) stabilized with 0.5–1% ethanol was used. Reactions were monitored on silica gel 60F254 TLC plates (Merck, Tokyo, Japan). Silica-gels utilized for column chromatography were purchased from Kanto Chemical Co. Inc. (Tokyo, Japan): Silica-Gel 60N (Spherical, Neutral) 63–210 μm and 40–50 μm (Flash). 1H-NMR spectra were recorded by using JEOL ECA-500 (500 MHz, JEOL, Tokyo, Japan), JEOL ECA-300 (300 MHz, JEOL, Tokyo, Japan ), or JEOL ECZ-400 (400 MHz, JEOL, Tokyo, Japan ) and chemical shifts were recorded in parts per million (ppm) relative to tetramethylsilane. High-resolution MALDI–TOF mass spectra were collected on JEOL JMS-S3000 SpiralTOF with dithranol or trans-2-[3-(4-tert-butylphenyl)-2-methyl-2-propenylidene]-malononitrile (DCTB) as a matrix containing sodium iodide (NaI) and polyethylene glycol as an internal or an outer standard. The data analyses were carried out on mMass ver. 5.5 (http://www.mmass.org/). UV–vis absorption spectra were collected on JASCO V-650 or V-660 spectrometer (JASCO Co. Tokyo, Japan). Steady-state fluorescence spectra were collected on Hitachi F-4500 spectrometer (Hitachi High-Tech Science Co., Tokyo, Japan) and corrected for the response of the detector system. The UV-vis absorption and fluorescence spectra were measured using a square cell (optical path = 10 mm).
Analytical high-performance liquid chromatography (HPLCs, JASCO Co. Tokyo, Japan) was carried out by using the following three systems:
[System 1] JASCO PU-2080plus and MD-2018plus system equipped with two TSK G2500HHR (Tosoh, 7.8 mm × 30 cm, exclusion limit: 20,000 Da) and one TSK G2000HHR (Tosoh, 7.8 mm × 30 cm, exclusion limit: 10,000 Da) columns using pyridine as an eluent.
[System 2] JASCO PU-2089 and MD-44010 system equipped with two TSK G4000HHR (Tosoh, 7.8 mm × 30 cm, exclusion limit: 40,000 Da) columns using CHCl3/THF (95:5 v/v) as an eluent.
[System 3] JASCO PU-2089 and MD-44010 system equipped with a TSK gel α-M (Tosoh, 7.8 mm × 30 cm, exclusion limit: 10,000,000 Da) column using a mixture of water/acetonitrile (4:6 v/v) as an eluent.
Preparative gel permeation chromatography (GPC) were carried out on LC-908 (Japan Analytical Industry, Tokyo, Japan) attached to one TSK G2500HHR (Tosoh, 21.5 mm × 30 cm, exclusion limit: 20,000 Da) and one G2000HHR (Tosoh, 21.5 mm × 30 cm, exclusion limit: 10,000 Da) columns eluted with pyridine. Infrared (IR) spectra were measured with JASCO FT/IR-4600 (JASCO Co. Tokyo, Japan) and ATR PRO ONE (JASCO Co. Tokyo, Japan) using ATR method.
1-(Prop-2-yn-1-yl)-1H-imidazole-2-carbaldehyde (2). In a 20 mL flask were placed 1H-Imidazole-2-carbaldehyde [32] (50mg, 0.52 mol), LiBr∙H2O (300 mg, 2.86 mmol), dry DMF (0.5 mL), and propargyl bromide (1.5 equiv, 58.7 μL, 0.78 mmol). The reaction mixture was heated to 60 °C. The reaction progress was monitored with TLC and additional propargyl bromide (1.5 equive, 58.7 μL, 0.78 mmol) was added to the reaction mixture (total ten equiv). The reaction progress almost stopped after 10.5 h, and then the mixture was quenched and neutralized with sat. NaHCO3 aqueous solution. The product was extracted with ethyl acetate and washed with sat. NaHCO3 aqueous solution and brine. The organic layer was dried over anhydrous MgSO4 and the solvent was evaporated. Remaining DMF was removed by adding toluene using azeotropy. The residue was dried in vacuo to afford brown liquid as the crude product (35 mg). Further purification with a silica gel column (φ 3 cm × 7 cm, hexane → hexane:ethyl acetate = 1:1) gave the pure titled product as pale yellow liquid (20 mg, 29%). TLC Rf = 0.6 (silica gel, chloroform:methanol = 11:1). 1H-NMR (300 MHz, DMSO-d6) δ (ppm) 9.71 (s, 1H), 7.73 (s, 1H), 7.31 (s, 1H), 5.25 (d, J=3.0 Hz, 2H), 3.51 (t, J=3.0 Hz, 1H).
PA(PorphyrinA) (5). A 500 mL three-necked flask was charged with 1-(prop-2-yn-1-yl)-1H-imidazole-2-carbaldehyde (2) (206 mg, 1.53 mmol), 3-(4,4-dimethyl-2,6-dioxan-1-yl)benzaldehyde (3) (365 mg, 1.53 mmol), 2,2′-(2,5,8,11-tetraoxapentadecane-15,15-diyl)bis(1H-pyrrole) (4) (1.07 g, 3.04 mmol), and chloroform (284 mL). After bubbling with N2 gas for 30 min, trifluoroacetic acid (TFA) (234 μL, 3.06 mmol) in chloroform was added. After stirred for 4 h under dark, the color of the reaction mixture was changed from yellow to red and spots showing red emission by irradiation with 365 nm appeared on TLC. Triethylamine (TEA) (469 μL, 3.37 mmol) was added to neutralize the solution, and the mixture was stirred until the color became orange. To the mixture p-chloranil (1.28 g, 5.20 mmol) was added, and the reaction mixture was stirred for 14 h. The solvent was evaporated to dryness to give a black solid (4.12 g). The crude product was purified by an alumina column (φ 8 cm × 12 cm, chloroform → chloroform:acetone = 10:1). The second band eluted with chloroform and acetone was collected. The fractions were concentrated, and the residue was further purified with a flush silica gel column (φ 3 cm × 20 cm, chloroform:methanol = 50:1). The red band was collected, and concentrated under reduced preessure to afford 5 as a purple solid (22.7 mg, 12%). TLC Rf = 0.48 (silica gel, ethyl acetate); MALDI-TOF MS (matrix: dithranol) found m/z ([M + Na]+) 1035.5180, calcd for [C58H72N6O10 + Na]+ 1035.5208; 1H-NMR (300 MHz, CDCl3) δ (ppm) 9.55 (d, J = 3.9 Hz, 2H, β), 9.47 (d, J = 4.8 Hz, 2H, β), 8.86(d, J = 3.9 Hz, 2H, β), 8.78 (d, J = 4.8 Hz, 2H, β), 8.35, 8.26 (each s, 0.5H × 2, Ph2), 8.21 (d, J = 7.8 Hz, 0.5H, Ph6), 8.12 (d, J = 7.5 Hz, 0.5H, Ph6), 8.00 (d, J = 7.8 Hz, 1H, Ph4), 7.79–7.75 (m, 1H, Ph5), 7.73 (s, 2H, Im5), 5.67 (d, J = 5.4 Hz, 1H, acetal-CH), 5.07(t, J = 7.2 Hz, 4H, TEG), 4.38(dd, J = 2.7 Hz, 2H, propargyl CH2), 3.86–3.40(m, 28H, TEG, acetal-CH2), 3.31(s, 6H, TEG-CH3), 2.81–2.72(m, 4H, TEG), 2.25 (d, J = 2.7 Hz, 1H, propargyl CH), 1.36, 1.34(each s, 3H, acetal-CH3), 0.80, 0.79(each s, 3H, acetal-CH3), −2.67(s, 2H, Hinner); 13C-NMR (75 MHz, CDCl3) δ (ppm) 148.17, 149–144, 142.46, 137.14, 137.08, 134.98, 132.56, 132.43, 132.38, 130.54, 129.48, 127.98, 126.84, 126.78, 125.82, 120.80, 119.75, 119.69, 103.19, 102.15, 77.96, 77.41, 77.20, 74.44, 72.04, 70.91, 70.88, 70.82, 70.65, 70.47, 70.10, 59.12, 37.79, 37.19, 31.32, 30.47, 23.29, 22.03.
PA-Zn(PorphyrinA-Zn) (5Zn). 5 (24 mg, 2.34 × 10−5 mol) was dissolved in chloroform (5 mL) in a 35 mL flask. A saturated methanol solution of Zn(OAc)2 (17 mg, 9.4 × 10−5 mol) was added to the solution, and the mixture was stirred for 2 h at rt in the dark. The mixture was washed with water (×3), brine (×1) and dried over anhydrous Na2SO4. The solvent was evaporated to dryness, giving the titled compound as a purple solid (23.2 mg, 92%). MALDI-TOF-MS (matrix: DCTB) found m/z [M + Na]+ 1097.4863, calcd for [C58H70N6O10Zn + Na]+ 1097.4343; 1H-NMR (300 MHz, CDCl3, observed as atropisomers) δ (ppm) 9.63 (d, J = 4.5 Hz, 4H, β), 9.03 (d, J = 4.5 Hz, 4H, β), 8.93 (d, J = 4.5 Hz, 4H, β), 8.80(s, 1H, Ph2), 8.65 (d, J = 7.2 Hz, 1H, Ph6), 8.27 (s, 1H, Ph2), 8.13 (d, J = 7.5 Hz, 1H, Ph6), 8.08 (t, J = 7.5 Hz, 2H, Ph4), 7.98 (t, J = 7.5 Hz, 1H, Ph5), 7.80 (t, J = 7.5 Hz, 1H, Ph5), 5.93, 5.71(each s, 2H, acetal-CH), 5.83-5.81 (m, 2H, Im5), 5.41(t, J = 4.5 Hz, 4H, β), 5.21 (t, J = 6.6 Hz, 8H, TEG), 4.05–3.46 (m, 56H, TEG, acetal-CH2), 3.30 (s, 12H, TEG-CH3), 3.08–2.95 (m, 8H, TEG), 2.57-2.53 (m, 4H, propargyl CH2), 2.19 (s, 1H, Im4), 2.15 (s, 1H, Im4), 1.60–1.58 (m, 2H, propargyl CH), 1.53, 1.39 (each s, 6H, acetal-CH3), 0.95, 0.83 (each s, 6H, acetal-CH3); 13C-NMR (125 MHz, CDCl3) δ(ppm) 151.14, 149.83, 149.08, 147.82, 145.49, 143.89, 136.66, 136.45, 135.39, 132.33, 129.31, 126.41, 122, 128.36, 126.90, 124.92, 121.27, 119.23, 116.10, 102.41, 94.76, 77.97, 77.79, 75.35, 73.69, 71.81, 70.85, 70.80, 70.71, 70.63, 70.44, 70.33, 38.29, 31.82, 58.92, 58.87, 35.20, 30.44, 30.28, 23.35, 21.91.
PA’(PorphyrinA’) (6). In a 50 mL flask, 5 (75.3 mg, 74.3 μmol) was dissolved in acetic acid (1.6 mL), and then TFA (0.8 mL) and 5% aqueous H2SO4 (0.4 mL) were added to the solution. The mixture was refluxed at 100 C for 1.5 h. Reaction mixture was transferred to a 500 mL beaker and neutralized with saturated NaHCO3 aqueous solution. The product was extracted with chloroform (×5). Organic layer was washed with water (×3) and brine (×1), and dried over anhydrous Na2SO4. The solvent was evaporated to dryness, giving 6 as a purple solid (77.6 mg, quantitative). 1H-NMR (300 MHz, CDCl3, observed as atropisomers) δ (ppm) 10.34, 10.33 (each s, 1H, -CHO), 9.57 (d, J = 4.8 Hz, 2H, β), 9.52 (d, J = 4.8 Hz, 2H, β), 8.78 (d, J = 4.8 Hz, 4H, β), 8.73, 8.64 (each s, 1H, Ph2), 8.49, 8.41 (each d, 1H, J = 7.5 Hz, Ph6), 8.37, 8.35 (each d, partially overlapped each other, Ph4), 7.99–7.45 (m, 1H, Ph5), 7.75 (s, 2H, Im5, Im4), 5.09 (t, J = 7.2 Hz, 4H, TEG), 4.41 (dd, J = 2.4 Hz, 2H, propargyl CH2), 3.88 (s, 4H, TEG), 3.82–3.49 (m, 28H, TEG), 3.33 (s, 6H, m, TEG), 2.81–2.73 (m, 4H, TEG), 2.25 (d, J = 2.4 Hz, 1H, propargyl CH), −2.69 (s, 2H, Hinner); 13C-NMR (100 MHz, CDCl3)δ (ppm) 192.76, 148.32, 143.68, 139.66, 134.98, 134.93, 135.09, 134.88, 131.85, 130.80, 129.64, 128.37, 128.96, 129.14, 128.89, 127.57, 127.54, 119.97, 119.86, 118.84, 103.70, 77.41, 74.50, 72.03, 70.90, 70.87, 70.83, 70.66, 70.46, 70.03, 59.13, 37.82, 37.19, 31.31.
GablePorphyrin (GP 1Fb). A 300 mL three-necked flask was charged with 6 (400 mg, 4.31 × 10−4 mol), dipyrromethane 4 (463 mg, 1.32 × 10−3 mol), and chloroform (123 mL). After the solution was degassed by bubbling with Ar gas for 15 min, TFA (165 μL, 2.16 × 10−3 mol) diluted with chloroform was added, and the mixture was stirred under dark. After 3.5 h, 1-(prop-2-yn-1-yl)-1H-imidazole-2-carbaldehyde (2) (65.2 mg, 4.86 × 10−4 mol) was added. After 14.5 h, further 1-(prop-2-yn-1-yl)-1H-imidazole-2-carbaldehyde (2) (65.2 mg, 4.86 × 10−4 mol) was added. The reaction progress was monitored by MALDI-TOF mass. After 2 h, p-chloranil (583 mg, 2.37 × 10−3 mol) was added, and the mixture was stirred for 4.5 h. The mixture was neutralized with triethylamine (330 μL, 2.37 × 10−3 mol) and the solvent was evaporated to dryness. The black residue was purified by an alumina column (φ 5 cm × 12 cm, chloroform:acetone = 1:1). The red band was collected, and the fraction was concentrated to give a purple solid (392 mg). The GPC analysis showed that the solid contained the byproducts, tris-porphyrin and bis-imidazolyl-porphyrin 8, along with ca 29% of GP1Fb. The mixture was purified further using preparative GPC system to afford GP1Fb as as a purple solid (130 mg, 17.5%). MALDI-TOF MS (matrix: DCTB) found m/z ([M + H]+) 1741.8659, calcd for [C98H118N12O16 + H]+ 1741.8686; 1H-NMR (400 MHz, CDCl3, observed as atropisomers) δ (ppm) 9.67 (d, J = 4 Hz, 4H, β), 9.57 (d, J = 4 Hz, 4H, β), 9.40 (d, J = 4 Hz, 4H, β), 9.08 (dd, J = 5.2 Hz, J = 4 Hz, 1H, Ph2), 8.80 (d, J = 4 Hz, 4H, β), 8.69, 8.62, 8.58 (d, J = 8 Hz, J = 4 Hz, 4H, Ph4, Ph6), 8.18 (m, 1H, Ph5), 7.72, 7.73 (s, 4H, Im4, Im5), 5.13 (t, J = 4 Hz, 8H, TEG), 3.39 (d, J = 20 Hz, 4H, propargyl CH2), 3.69 (m, 56H, TEG), 3.28 (s,12H, TEG-CH3), 2.81 (m, 8H, TEG), 2.25 (d, J = 20 Hz, 2H, propargyl CH), −2.59 (s, 4H, Hinner); 13C-NMR (100 MHz, CDCl3)δ (ppm) 148.40, 140.98, 140.92, 139.92, 139.81, 134.08-133.96, 132.27, 130.66, 129.60, 128.28, 128.92, 124.97, 120.58, 119.82, 119.75, 103.35, 74.42, 74.39, 72.01, 70.91, 70.86, 70.83, 70.65, 70.48, 70.14, 37.84, 31.39, 59.09, 37.17.
GablePorphyrin-Zn (GP1). GP 1Fb (130 mg, 7.56 × 10−5 mol) was dissolved in chloroform (6 mL) in a 25 mL flask. A saturated methanol solution of Zn(OAc)2 (100 mg, 5.45 × 10−4 mol) was added to the solution, and the mixture was stirred for 10 h at rt in the dark. The resulting solution was washed with water (×3) and passed through Phase Separator paper (Whatman). The solvent was evaporated to dryness, giving GP1 as a purple solid (132 mg, 95%). HPLC-PDA (System 1, flow rate 1.0 mL/min) 21.6 min; MALDI-TOF-MS (matrix: DCTB) found m/z [M]+ 1865.6761, calcd for [C98H114N12O16Zn2]+ 1865.6956.
PEG8-5Zn. To an acetonitrile solution (1 mL) containing 5Zn (4.3 mg, 4.0 × 10−6 mol) and PEG8-N3 (10, 10 mg, 2.4 × 10−5 mol) in a 10 mL flask was added CuI (~1 mg). The mixture was stirred for 8 days at rt in the dark under Ar atmosphere. Disappearance of the starting materials was confirmed with TLC. The mixture was passed through a Celite pad with methanol. The filtrate was evaporated to dryness, and the residue was purified with a silica gel column (φ1 cm × 9 cm, chloroform:methanol = 10:1). Fractions containing target compound was concentrated to dryness, and residue was reprecipitated from chloroform and hexane, giving a purple solid (4.8 mg, 81%). MALDI-TOF-MS (matrix: DCTB) found m/z [M]+ 1483.6199, calcd for [C75H105N9O18Zn]+ 1483.6869; 1H-NMR (500 MHz, CDCl3) δ (ppm) 9.61 (d, J = 2.7 Hz, 4H, β), 9.03 (d, J = 2.4 Hz, 4H, β), 8.93 (d, J = 2.7 Hz, 4H, β), 8.76 (s, 1H, Ph2), 8.63 (d, J = 3.9 Hz, 1H, Ph6), 8.24 (s, 1H, Ph2), 8.12 (d, J = 4.2 Hz, 1H, Ph6), 8.08 (t, J = 4.5 Hz, 2H, Ph4), 7.98 (t, J = 4.5 Hz, 1H, Ph5), 7.82 (t, J = 4.5 Hz, 1H, Ph5), 5.93, 7.92 (each s, 2H, acetal-CH), 5.87, 5.83 (each s, 2H, Im5), 5.26 (d, J = 2.4 Hz, 4H, β), 5.21–5.10 (m, 8H, TEG), 4.30–4.27 (m, 2H, TEG), 4.10–2.95 (m, TEG, triazole, trazole-CH2), 2.71–2.68 (m, 2H, TEG), 2.33–2.87 (m, 4H, TEG), 2.12–2.05 (m, 2H, Im4,), 1.53, 1.39 (each s, 6H, acetal- CH3), 0.95, 0.84 (each s, 6H, acetal-CH3), 1.70–1.12 (m, TEG).
Py-5Zn. In a 10 mL flask, Py-N3[33] (11, 10 mg, 2.4 × 10−5 mol), 5Zn (5.2 mg, 4.6 × 10−6 mol), and CuI (~1 mg) were dissolved in chloroform (ca. 1 mL) and 2,6-lutidine (a few drops). The mixture was stirred for 3 days at rt in the dark under Ar atmosphere. The target compound Py-5Zn was confirmed with MALDI-TOF MS. The mixture was washed with 0.5 M ethylenediaminetetraacetic acid (EDTA) aqueous solution (pH 8) and water subsequently, and the organic layer was passed through Phase Separator paper (Whatman). The filtrate was evaporated to dryness and the residue was purified with a silica gel column (φ1 cm × 20 cm, chloroform → chloroform:methanol = 10:1). The green band eluted with chloroform:methanol = 10:1 was collected, and the fraction was concentrated, giving a purple solid (5.8 mg, 95%). MALDI-TOF-MS (matrix: dithranol) found m/z [M + Na]+ 1354.5297, calcd for [C55H68N6O10 + Na]+ 1354.5296; 1H-NMR (400 MHz, CDCl3) δ (ppm) 9.68(d, J = 4.4 Hz, 2H, β), 9.15 (d, J = 4.8 Hz, 2H, β), 8.89 (s, 0.5H, Ph2), 8.78 (d, J = 4.8 Hz, 2H, β), 8.75 (d, J = 7.6 Hz, 0.5H, Ph6), 8.38 (s, 0.5H, Ph2), 8.20 (d, J = 7.2 Hz, 0.5H, Ph6), 8.12 (d, J = 7.6 Hz, 1H, Ph4), 8.04 (t, J = 7.6 Hz, 0.5H, Ph5), 7.86-7.82 (m, 1H, Ph5), 7.84-7.82 (m, 1.5H, Py), 7.71–7.62 (m, 2.5H, Py), 7.47 (d, J = 7.2 Hz, 1H, Py), 7.36–7.31 (m, 1H, Py), 6.31–6.14 (m, 2H, Py), 5.98, 5.71 (each s, 2H, acetal-CH), 5.86–5.78 (m, 1H, Im5, Py), 5.21 (dd, J = 4.4 Hz, 2H, β), 5.22–5.08 (m, 4H, TEG), 4.97–4.82 (m, 1H, Py), 4.08–3.49 (m, TEG), 3.31 (s, 6H, TEG-CH3), 3.23 (m, 4H, triazol- CH2), 3.07–3.02 (m, TEG), 2.14–2.20 (m, 1H, Im4), 2.09, 2.07, 2.04 (each s, 1H, triazole), 1.56, 1.34 (each s, 3H, acetal-CH3), 0.98, 0.82 (each s, 3H, acetal-CH3).
F9-5Zn. In a 10 mL flask, CuI (~1 mg) and 5Zn (7.2 mg, 6.7 × 10−6 mol) were dissolved in chloroform (ca. 1 mL) and 2,6-lutidine (three drops). F9-N3[34] (13, 19 mg, 6.7 × 10−5 mol) was added in the dark, and the mixture was stirred for 3 days at rt in the dark under Ar atmosphere. Disappearance of the starting materials and formation of the target compound were confirmed with MALDI-TOF MS. The mixture was washed with 0.5 M EDTA aqueous solution (pH 8) and water subsequently, and the organic layer was passed through Phase Separator paper (Whatman). The filtrate was evaporated to dryness and the residue was purified with a silica gel column (φ1 cm × 20 cm, ethyl acetate → chloroform:methanol = 5:1). The green band was collected, and the fraction was concentrated, giving F9-5Zn as a purple solid (8.1 mg, 88%). MALDI-TOF-MS (matrix: DCTB) found m/z [M + Na]+ 1386.4079, calcd for [C64H74N9O10 + Na]+ 1386.4604. 1H-NMR (400 MHz, CDCl3) δ (ppm) 9.63 (d, J = 4.4 Hz, 4H, β), 9.05 (d, J = 4.4 Hz, 4H, β), 8.87 (d, J = 4.4 Hz, 4H, β), 8.76 (s, 1H, Ph2), 8.62 (d, J = 7.6 Hz, 1H, Ph6), 8.27 (s, 1H, Ph2), 8.13 (d, J = 7.2 Hz, 1H, Ph6), 8.08 (t, J = 7.6 Hz, 2H, Ph4), 7.98 (t, J = 7.6 Hz, 1H, Ph5), 7.81 (t, J = 7.6 Hz, 1H, Ph5), 5.92, 5.71 (each s, 2H, acetal-CH), 5.84, 5.81 (each s, 2H, Im5), 5.26 (t, J = 4.4 Hz, 4H, β), 5.23-5.11 (m, J = 6.6 Hz, 8H, TEG), 4.04-3.51 (m, 56H, TEG), 3.33 (s,12H, TEG-CH3), 3.08-2.98 (m, 8H, TEG), 3.22 (t, J = 4.8 Hz, 4H, Fluorine-H1), 2.17, 2.12 (each s, 2H, Im4), 1.81-1.65 (m, 4H, Fluorine-H2), 1.52, 1.37 (each s, 6H, acetal-CH3), 0.95, 0.83 (each s, 6H, acetal-CH3); 19F-NMR (376 MHz, CDCl3) δ(ppm) −80.99 (3F, CF3), −114.79 (2F, CF2α), −124.60 (2F, CF2β), -126.11 (2F, CF2γ).
PEG8-GP1. According to a similar procedure to give Py-5Zn and F9-5Zn, PEG8-GP1 (14.8 mg) was prepared from PEG8-N3 (18 mg, 4.4 × 10−5 mol), GP1 (12 mg, 6.3 × 10−6 mol), CuI (8 mg, 4.0 × 10−5 mol), and 2,6-lutidine (12 mg, 1.0 × 10−4 mol) in a 88% yield as a purple solid. HPLC-PDA (System 1, flow rate 1.0 mL/min) 20.4 min; MALDI-TOF-MS (matrix: DCTB) found m/z [M + Na]+ 2684.1042, calcd for [C132H184N18O32Zn2 + Na]+ 2684.1805.
Py-GP1. According to a similar procedure to give Py-5Zn and F9-5Zn, Py-GP1 (13 mg) was prepared from Py-N3 (7 mg, 2.7 × 10−5 mol) and GP1 (10 mg, 5.4 × 10−6 mol) in a quantitative yield. HPLC-PDA (System 1, flow rate 1.0 mL/min) 21.4 min; MALDI-TOF-MS (matrix: DCTB) found m/z [M + Na]+ 2379.8734, calcd for [C132H136N18O16Zn2Na]+ 2379.8862.
BA-GP1. According to a similar procedure to give Py-5Zn and F9-5Zn, BA-GP1 (5.5 mg) was prepared from BA-N3 (45 mg, 1.5 × 10−5 mol) and GP1 (2.5 mg, 1.4 × 10−6 mol) in a quantitative yield. HPLC-PDA (System 1, flow rate 1.0 mL/min) 20.8 min; MALDI-TOF-MS (matrix: DCTB) found m/z [M + Na]+ 2456.2474, calcd for [C134H188N18O16Zn2Na]+ 2456.2931.
F9-GP1. According to a similar procedure to give Py-5Zn and F9-5Zn, F9-GP1 (5.5 mg) was prepared from GP1 (3.5 mg) and F9-N3 (13, 16.8 mg, 5.8 × 10−5 mol) in a quantitative yield. HPLC-PDA (System 1, flow rate 1.0 mL/min) 21.0 min; MALDI-TOF-MS (matrix: DCTB) found m/z [M + Na]+ 2443.6951, calcd for [C110H122F18N18O16Zn2Na]+ 2443.7479.

4. Conclusions

Here, we have synthesized new Gable porphyrin GP1 with hydrophilic TEG side chains and prop-2-yne groups as a scaffold to introduce various functional groups. Four types of functional groups, namely, hydrophilic oligoether group (PEG8), pyrene derivative (PY), BA, and a nonafluorinated moiety (F9), were introduced into GP1 in high yields to give PEG8-GP1, PY-GP1, BA-GP1, and F9-GP1, respectively. Formation of heterogeneous macrocyclic pentamers and hexamers composed of PEG8-GP1 and PY-GP1, and PEG8-GP1 and F9-GP1 was demonstrated by recombination of the two components. These results indicate that different types of substituents can be mixed through the macrocycles, and promise that numerous kinds of macrocycles having various functional groups can be provided when the kinds of GP components increase. Under equilibrium conditions, components of the macrocycles are exchanged. These features will be beneficial for DCC, and the present system using GP1 is a potential candidate to provide a DCL of multitopic probes to discover specific interactions between ligands and biomaterials.

Supplementary Materials

The following are available online at https://www.mdpi.com/1420-3049/24/11/2166/s1, Figures S1–S11.

Author Contributions

Conceptualization, A.S.; Methodology, A.S., Y.K., K.Y. and R.S.; Validation, A.S., Y.K, and K.Y.; Investigation, A.S., Y.K., K.Y. and R.S.; Writing – Original Draft Preparation, K.Y.; Writing – Review & Editing, A.S.; Supervision, A.S.; Project Administration, A.S.; Funding Acquisition, A.S.

Funding

This research received no external funding.

Acknowledgments

A.S. acknowledges to Tokyo University of Science for support this project.

Conflicts of Interest

The authors declare no conflict of interest.

References

  1. Cougnon, F.B.L.; Sanders, J.K.M. Evolution of Dynamic Combinatorial Chemistry. Acc. Chem. Res. 2012, 45, 2211–2221. [Google Scholar] [CrossRef] [PubMed]
  2. Moulin, E.; Cormos, G.; Giuseppone, N. Dynamic combinatorial chemistry as a tool for the design of functional materials and devices. Chem. Soc. Rev. 2012, 41, 1031–1049. [Google Scholar] [CrossRef] [PubMed]
  3. Li, J.; Nowak, P.; Otto, S. Dynamic Combinatorial Libraries: From Exploring Molecular Recognition to Systems Chemistry. J. Am. Chem. Soc. 2013, 135, 9222–9239. [Google Scholar] [CrossRef]
  4. Mondal, M.; Hirsch, A.K.H. Dynamic combinatorial chemistry: A tool to facilitate the identification of inhibitors for protein targets. Chem. Soc. Rev. 2015, 44, 2455–2488. [Google Scholar] [CrossRef] [PubMed]
  5. Reddavide, F.V.; Lin, W.; Lehnert, S.; Zhang, Y. DNA-Encoded Dynamic Combinatorial Chemical Libraries. Angew. Chem. Int. Ed. 2015, 54, 7924–7928. [Google Scholar] [CrossRef]
  6. Matysiak, B.M.; Nowak, P.; Cvrtila, I.; Pappas, C.G.; Liu, B.; Komáromy, D.; Otto, S. Antiparallel Dynamic Covalent Chemistries. J. Am. Chem. Soc. 2017, 139, 6744–6751. [Google Scholar] [CrossRef]
  7. Ramström, O.; Amorim, L.; Caraballo, R.; Norberg, O. Dynamic Combinatorial Chemistry: Ligands for Biomolecules. In Dynamic Combinatorial Chemistry; Reek, J.N.H., Otto, S., Eds.; WILEY-VCH Verlag GmbH & Co. KGaA: Weinheim, Germany, 2010; pp. 109–150. [Google Scholar]
  8. Mondal, M.; Radeva, N.; Fanlo-Virgós, H.; Otto, S.; Klebe, G.; Hirsch, A.K.H. Fragment Linking and Optimization of Inhibitors of the Aspartic Protease Endothiapepsin: Fragment-Based Drug Design Facilitated by Dynamic Combinatorial Chemistry. Angew. Chem. Int. Ed. 2016, 55, 9422–9426. [Google Scholar] [CrossRef]
  9. Chung, M.-K.; Lee, S.J.; Waters, M.L.; Gagné, M.R. Tetrameric psuedo-peptide receptors with allosteric properties. Chem. Commun. 2016, 52, 8103–8106. [Google Scholar] [CrossRef]
  10. Frei, P.; Pang, L.; Silbermann, M.; Eriş, D.; Mühlethaler, T.; Schwardt, O.; Ernst, B. Target-directed Dynamic Combinatorial Chemistry: A Study on Potentials and Pitfalls as Exemplified on a Bacterial Target. Chem. Eur. J. 2017, 23, 11570–11577. [Google Scholar] [CrossRef]
  11. Fu, J.; Fu, H.; Dieu, M.; Halloum, I.; Kremer, L.; Xia, Y.; Pan, W.; Vincent, S.P. Identification of inhibitors targeting Mycobacterium tuberculosis cell wall biosynthesis via dynamic combinatorial chemistry. Chem. Commun. 2017, 53, 10632–10635. [Google Scholar] [CrossRef]
  12. Jana, S.; Panda, D.; Saha, P.; Pantos̨, G.D.; Dash, J. Dynamic Generation of G-Quadruplex DNA Ligands by Target-Guided Combinatorial Chemistry on a Magnetic Nanoplatform. J. Med. Chem. 2019, 62, 762–773. [Google Scholar] [CrossRef] [PubMed]
  13. Frei, P.; Hevey, R.; Ernst, B. Dynamic Combinatorial Chemistry: A New Methodology Comes of Age. Chem. Eur. J. 2019, 25, 60–73. [Google Scholar] [CrossRef] [PubMed]
  14. Khandare, J.; Calderón, M.; Dagia, N.M.; Haag, R. Multifunctional dendritic polymers in nanomedicine: Opportunities and challenges. Chem. Soc. Rev. 2012, 41, 2824–2848. [Google Scholar] [CrossRef] [PubMed]
  15. Svenson, S. The dendrimer paradox – high medical expectations but poor clinical translation. Chem. Soc. Rev. 2015, 44, 4131–4144. [Google Scholar] [CrossRef] [PubMed]
  16. von Baeckmann, C.; Guillet-Nicolas, R.; Renfer, D.; Kählig, H.; Kleitz, F. A Toolbox for the Synthesis of Multifunctionalized Mesoporous Silica Nanoparticles for Biomedical Applications. ACS Omega 2018, 3, 17496–17510. [Google Scholar] [CrossRef]
  17. Wang, C.; Wang, X.; Lu, T.; Liu, F.; Guo, B.; Wen, N.; Du, Y.; Lin, H.; Tang, J.; Zhang, L. Multi-functionalized graphene oxide complex as a plasmid delivery system for targeting hepatocellular carcinoma therapy. RSC Advances 2016, 6, 22461–22468. [Google Scholar] [CrossRef]
  18. Wu, Y.-F.; Wu, H.-C.; Kuan, C.-H.; Lin, C.-J.; Wang, L.-W.; Chang, C.-W.; Wang, T.-W. Multi-functionalized carbon dots as theranostic nanoagent for gene delivery in lung cancer therapy. Scientific Reports 2016, 6, 21170. [Google Scholar] [CrossRef] [PubMed]
  19. Frasconi, M.; Marotta, R.; Markey, L.; Flavin, K.; Spampinato, V.; Ceccone, G.; Echegoyen, L.; Scanlan, E.M.; Giordani, S. Multi-Functionalized Carbon Nano-onions as Imaging Probes for Cancer Cells. Chem. Eur. J. 2015, 21, 19071–19080. [Google Scholar] [CrossRef] [PubMed]
  20. Atcher, J.; Moure, A.; Bujons, J.; Alfonso, I. Salt-Induced Adaptation of a Dynamic Combinatorial Library of Pseudopeptidic Macrocycles: Unraveling the Electrostatic Effects in Mixed Aqueous Media. Chem. Eur. J. 2015, 21, 6869–6878. [Google Scholar] [CrossRef] [PubMed]
  21. Kobuke, Y.; Miyaji, H. Supramolecular Organization of Imidazolyl-Porphyrin to a Slipped Cofacial Dimer. J. Am. Chem. Soc. 1994, 116, 4111–4112. [Google Scholar] [CrossRef]
  22. Fujisawa, K.; Satake, A.; Hirota, S.; Kobuke, Y. Construction of Giant Porphyrin Macrorings Self-Assembled from Thiophenylene-Linked Bisporphyrins for Light-Harvesting Antennae. Chem. Eur. J. 2008, 14, 10735–10744. [Google Scholar] [CrossRef] [PubMed]
  23. Kuramochi, Y.; Sandanayaka, A.S.D.; Satake, A.; Araki, Y.; Ogawa, K.; Ito, O.; Kobuke, Y. Energy Transfer Followed by Electron Transfer in a Porphyrin Macrocycle and Central Acceptor Ligand: A Model for a Photosynthetic Composite of the Light-Harvesting Complex and Reaction Center. Chem. Eur. J. 2009, 15, 2317–2327. [Google Scholar] [CrossRef] [PubMed]
  24. Satake, A.; Fujita, M.; Kurimoto, Y.; Kobuke, Y. Single supramolecular porphyrin wires bridging gold nanoparticles. Chem. Commun. 2009, 1231–1233. [Google Scholar] [CrossRef] [PubMed]
  25. Satake, A.; Kobuke, Y. Dynamic supramolecular porphyrin systems. Tetrahedron 2005, 61, 13–41. [Google Scholar] [CrossRef]
  26. Furutsu, D.; Satake, A.; Kobuke, Y. A Giant Supramolecular Light-Harvesting Antenna−Acceptor Composite. Inorg. Chem. 2005, 44, 4460–4462. [Google Scholar] [CrossRef] [PubMed]
  27. Kuramochi, Y.; Satake, A.; Kobuke, Y. Light-Harvesting Macroring Accommodating a Tetrapodal Ligand Based on Complementary and Cooperative Coordinations. J. Am. Chem. Soc. 2004, 126, 8668–8669. [Google Scholar] [CrossRef]
  28. Hajjaj, F.; Yoon, Z.S.; Yoon, M.-C.; Park, J.; Satake, A.; Kim, D.; Kobuke, Y. Assemblies of Supramolecular Porphyrin Dimers in Pentagonal and Hexagonal Arrays Exhibiting Light-Harvesting Antenna Function. J. Am. Chem. Soc. 2006, 128, 4612–4623. [Google Scholar] [CrossRef]
  29. Ikeda, C.; Satake, A.; Kobuke, Y. Proofs of Macrocyclization of Gable Porphyrins as Mimics of Photosynthetic Light-Harvesting Complexes. Org. Lett. 2003, 5, 4935–4938. [Google Scholar] [CrossRef]
  30. Gladysz, J.A. Ponytails: Structural and Electronic Considerations. In Handbook of Fluorous Chemistry; Gladysz, J.A., Curran, D.P., Horváth, I.T., Eds.; WILEY-VCH Verlag GmbH & Co. KGaA: Weinheim, Germany, 2005; pp. 41–55. [Google Scholar]
  31. Satake, A.; Miyajima, Y.; Kobuke, Y. Porphyrin−Carbon Nanotube Composites Formed by Noncovalent Polymer Wrapping. Chem. Mater. 2005, 17, 716–724. [Google Scholar] [CrossRef]
  32. Sit, R.K.; Fokin, V.V.; Amitai, G.; Sharpless, K.B.; Taylor, P.; Radić, Z. Imidazole Aldoximes Effective in Assisting Butyrylcholinesterase Catalysis of Organophosphate Detoxification. J. Med. Chem. 2014, 57, 1378–1389. [Google Scholar] [CrossRef]
  33. Park, S.Y.; Yoon, J.H.; Hong, C.S.; Souane, R.; Kim, J.S.; Matthews, S.E.; Vicens, J. A Pyrenyl-Appended Triazole-Based Calix [4]arene as a Fluorescent Sensor for Cd2+ and Zn2+. J. Org. Chem. 2008, 73, 8212–8218. [Google Scholar] [CrossRef]
  34. Nivet, J.B.; Bernelin, R.; Le Blanc, M.; Riess, J.G. Synthesis and bioacceptability of fluorinated surfactants derived from F-alkylated tertiary amines. Eur. J. Med. Chem. 1992, 27, 891–898. [Google Scholar] [CrossRef]
Sample Availability: Not Available.
Figure 1. An image of advanced multitopic DCC systems. Recombination of five kinds of self-assembled cyclic hexamers gives various heterogeneous cyclic hexamers.
Figure 1. An image of advanced multitopic DCC systems. Recombination of five kinds of self-assembled cyclic hexamers gives various heterogeneous cyclic hexamers.
Molecules 24 02166 g001
Figure 2. An imidazole zinc porphyrin (ImZnP) and its self-assembled dimer.
Figure 2. An imidazole zinc porphyrin (ImZnP) and its self-assembled dimer.
Molecules 24 02166 g002
Figure 3. A Gable porphyrin (GP) and its self-assembled pentamer and hexamer.
Figure 3. A Gable porphyrin (GP) and its self-assembled pentamer and hexamer.
Molecules 24 02166 g003
Figure 4. Molecular models of self-assembled (left top and bottom) pentamer and (right top and bottom) hexamer of GP1s prepared on Materials Studio®. Gray: carbon, blue: nitrogen, dark blue: zinc, white: hydrogen atoms. Substituents on meso-positions are omitted for clarity.
Figure 4. Molecular models of self-assembled (left top and bottom) pentamer and (right top and bottom) hexamer of GP1s prepared on Materials Studio®. Gray: carbon, blue: nitrogen, dark blue: zinc, white: hydrogen atoms. Substituents on meso-positions are omitted for clarity.
Molecules 24 02166 g004
Figure 5. Structure of Gable porphyrin GP1.
Figure 5. Structure of Gable porphyrin GP1.
Molecules 24 02166 g005
Figure 6. Possible coordination isomers (conformational isomers) of self-assembled pentamers and hexamers composed of Gable porphyrin (GP). Molecular models of a 5mer (Out-In/Out-Out/In-In = 5/0/0, clockwise) and a 6mer (6/0/0) are presented in Figure 4.
Figure 6. Possible coordination isomers (conformational isomers) of self-assembled pentamers and hexamers composed of Gable porphyrin (GP). Molecular models of a 5mer (Out-In/Out-Out/In-In = 5/0/0, clockwise) and a 6mer (6/0/0) are presented in Figure 4.
Molecules 24 02166 g006
Figure 7. TrisPor gives two possible conformational isomers, which can be assigned in 1H-NMR spectra.
Figure 7. TrisPor gives two possible conformational isomers, which can be assigned in 1H-NMR spectra.
Molecules 24 02166 g007
Scheme 1. Preparation of compounds 5 and 6. Compounds 7 and 8 were detected in the crude mixture of 5, and they were not isolated.
Scheme 1. Preparation of compounds 5 and 6. Compounds 7 and 8 were detected in the crude mixture of 5, and they were not isolated.
Molecules 24 02166 sch001
Scheme 2. Preparation of free-base Gable porphyrin GP1Fb.
Scheme 2. Preparation of free-base Gable porphyrin GP1Fb.
Molecules 24 02166 sch002
Scheme 3. Preparation of zinc porphyrin 5Zn and formation of its self-assembly dimer.
Scheme 3. Preparation of zinc porphyrin 5Zn and formation of its self-assembly dimer.
Molecules 24 02166 sch003
Scheme 4. Preparation of zinc Gable porphyrin GP1.
Scheme 4. Preparation of zinc Gable porphyrin GP1.
Molecules 24 02166 sch004
Figure 8. 1H-NMR (400 MHz, CDCl3) of free-base porphyrin 5 and coordination dimer of zinc porphyrin 5Zn.
Figure 8. 1H-NMR (400 MHz, CDCl3) of free-base porphyrin 5 and coordination dimer of zinc porphyrin 5Zn.
Molecules 24 02166 g008
Figure 9. 1H-NMR (400 MHz, CDCl3) spectra of (a) GP1Fb and (b) GP1.
Figure 9. 1H-NMR (400 MHz, CDCl3) spectra of (a) GP1Fb and (b) GP1.
Molecules 24 02166 g009
Scheme 5. Introduction of various substituents into the imidazole moieties (moiety) on GP1 and 5Zn by CuAAA. Their molecular weights (M.W.) are shown with their structures.
Scheme 5. Introduction of various substituents into the imidazole moieties (moiety) on GP1 and 5Zn by CuAAA. Their molecular weights (M.W.) are shown with their structures.
Molecules 24 02166 sch005
Scheme 6. Introduction of a PEG8 moiety into 5Zn by CuAAA.
Scheme 6. Introduction of a PEG8 moiety into 5Zn by CuAAA.
Molecules 24 02166 sch006
Figure 10. 1H-NMR (400 MHz, CDCl3) spectra of (top) 5Zn and (bottom) PEG8-5Zn.
Figure 10. 1H-NMR (400 MHz, CDCl3) spectra of (top) 5Zn and (bottom) PEG8-5Zn.
Molecules 24 02166 g010
Figure 11. MALDI-TOF MS spectra of (a) GP 1, (b) PEG8-GP 1, (c) PY-GP1, (d) BA-GP1, and (e) F9GP-1 on JSM-S3000 (JEOL) with spiral mode. Matrix: DCTB, [M + Na]+ species were observed. Insets: their expanded spectra.
Figure 11. MALDI-TOF MS spectra of (a) GP 1, (b) PEG8-GP 1, (c) PY-GP1, (d) BA-GP1, and (e) F9GP-1 on JSM-S3000 (JEOL) with spiral mode. Matrix: DCTB, [M + Na]+ species were observed. Insets: their expanded spectra.
Molecules 24 02166 g011
Figure 12. (a) Fluorescence (ex. 564 nm) and (b) UV-Vis absorption spectra of 5Zn in (plain) 100% acetonitrile and (dotted) a mixture of 80:20 vol/vol of water and acetonitrile. (c) Fluorescence quantum yields of 5Zn in a mixture of water and acetonitrile.
Figure 12. (a) Fluorescence (ex. 564 nm) and (b) UV-Vis absorption spectra of 5Zn in (plain) 100% acetonitrile and (dotted) a mixture of 80:20 vol/vol of water and acetonitrile. (c) Fluorescence quantum yields of 5Zn in a mixture of water and acetonitrile.
Molecules 24 02166 g012
Figure 13. (a) Fluorescence (ex. 564 nm) and (b) UV–vis absorption spectra of PEG8-5Zn in (plain) 100% acetonitrile and (dotted) 100% ion exchange water. (c) Fluorescence quantum yields of PEG8-5Zn in a mixture of water and acetonitrile.
Figure 13. (a) Fluorescence (ex. 564 nm) and (b) UV–vis absorption spectra of PEG8-5Zn in (plain) 100% acetonitrile and (dotted) 100% ion exchange water. (c) Fluorescence quantum yields of PEG8-5Zn in a mixture of water and acetonitrile.
Molecules 24 02166 g013
Figure 14. (a) GPC charts of (black) before and (red) after reorganization of PEG8-GP1. (column; TOSOH TSKgel G4000HHR (exclusion limit; 400 kDa), eluent; CHCl3:THF=95:5, flow rate; 1.0 mL/min, detection; 565 nm) (b) UV-vis spectra obtained on PDA detector at retention time (RT) 9.1 min in the GPC after reorganization. In this Figure, characteristic Soret bands, 448 and 446 nm, corresponding to 6mer and 5mer are overlapped, and they are difficult to be distinguished.
Figure 14. (a) GPC charts of (black) before and (red) after reorganization of PEG8-GP1. (column; TOSOH TSKgel G4000HHR (exclusion limit; 400 kDa), eluent; CHCl3:THF=95:5, flow rate; 1.0 mL/min, detection; 565 nm) (b) UV-vis spectra obtained on PDA detector at retention time (RT) 9.1 min in the GPC after reorganization. In this Figure, characteristic Soret bands, 448 and 446 nm, corresponding to 6mer and 5mer are overlapped, and they are difficult to be distinguished.
Molecules 24 02166 g014
Figure 15. GPC charts of reorganized (a) GP1, (b) PY-GP1, and (c) PEG8-GP1. (column; TOSOH TSKgel G4000HHR×2 (exclusion limit; 400,000 Da), eluent; CHCl3:THF=95:5, flow rate; 1.0 mL/min, detection; 565 nm).
Figure 15. GPC charts of reorganized (a) GP1, (b) PY-GP1, and (c) PEG8-GP1. (column; TOSOH TSKgel G4000HHR×2 (exclusion limit; 400,000 Da), eluent; CHCl3:THF=95:5, flow rate; 1.0 mL/min, detection; 565 nm).
Molecules 24 02166 g015
Figure 16. (a) UV-vis spectra of PEG8-GP1 overlaid before the peak maximum (17. 8 min) in Figure 15c. (b) Overlaid after the peak maxmum in Figure 15c. The maximum wavelength is shifted from 448 to 446 nm in (b).
Figure 16. (a) UV-vis spectra of PEG8-GP1 overlaid before the peak maximum (17. 8 min) in Figure 15c. (b) Overlaid after the peak maxmum in Figure 15c. The maximum wavelength is shifted from 448 to 446 nm in (b).
Molecules 24 02166 g016
Figure 17. GPC charts of PEG8-GP1 reorganized at (a) 0 °C, (b) 25 °C, (c) 40 °C, and (d) 60 °C. (column; TOSOH TSKgel G4000HHR×2 (exclusion limit; 400,000 Da), eluent; CHCl3:THF = 95:5, flow rate; 1.0 mL/min, detection; 565 nm).
Figure 17. GPC charts of PEG8-GP1 reorganized at (a) 0 °C, (b) 25 °C, (c) 40 °C, and (d) 60 °C. (column; TOSOH TSKgel G4000HHR×2 (exclusion limit; 400,000 Da), eluent; CHCl3:THF = 95:5, flow rate; 1.0 mL/min, detection; 565 nm).
Molecules 24 02166 g017
Figure 18. GPC charts of reorganized (a) PY-GP1, (b) PEG8-GP1, (c) as prepared, and (d) reconstituted samples of 1:1 mixture of PY-GP1 and PEG8-GP1. (column; TOSOH TSKgel G4000HHR×2 (exclusion limit; 400,000 Da), eluent; CHCl3:THF = 95:5, flow rate; 1.0 mL/min, detection; 565 nm).
Figure 18. GPC charts of reorganized (a) PY-GP1, (b) PEG8-GP1, (c) as prepared, and (d) reconstituted samples of 1:1 mixture of PY-GP1 and PEG8-GP1. (column; TOSOH TSKgel G4000HHR×2 (exclusion limit; 400,000 Da), eluent; CHCl3:THF = 95:5, flow rate; 1.0 mL/min, detection; 565 nm).
Molecules 24 02166 g018
Figure 19. (a) UV-vis spectra of PY-GP1 and PEG8-GP1 overlaid before the peak maximum (17.8 min) in Figure 18d. (b) Overlaid after the peak maximum in Figure 18d. The maximum wavelength is constant at 446 nm in both (a) and (b).
Figure 19. (a) UV-vis spectra of PY-GP1 and PEG8-GP1 overlaid before the peak maximum (17.8 min) in Figure 18d. (b) Overlaid after the peak maximum in Figure 18d. The maximum wavelength is constant at 446 nm in both (a) and (b).
Molecules 24 02166 g019
Figure 20. Five UV-vis absorption spectra normalized at 446 nm are overlaid. Original data were obtained on GPC analysis as shown in Figure 18d. At 350 nm, the five spectra of RT: 17.70, 17.80, 17.91, 18.10, and 18.18 min can be discriminated from the bottom to the top. Pyrene moiety is mainly observed in the rage of 250–350 nm. Increasing the intensities at 350 nm indicates that the ratio of the PY-GP1 component increased compared with that of PEG8-GP1 in the cyclic pentamers.
Figure 20. Five UV-vis absorption spectra normalized at 446 nm are overlaid. Original data were obtained on GPC analysis as shown in Figure 18d. At 350 nm, the five spectra of RT: 17.70, 17.80, 17.91, 18.10, and 18.18 min can be discriminated from the bottom to the top. Pyrene moiety is mainly observed in the rage of 250–350 nm. Increasing the intensities at 350 nm indicates that the ratio of the PY-GP1 component increased compared with that of PEG8-GP1 in the cyclic pentamers.
Molecules 24 02166 g020
Figure 21. Possible heterogeneous cyclic structures composed of 1:1 ratio of PY-GP1 and PEG8-GP1, (a) 3:3 micelle-like cyclic hexamer. All of the pyrene moieties are gathered inside, whereas PEG groups exist in the outside. Not observed. (b) A mixture of 3:2 and 2:3 of cyclic pentamer.
Figure 21. Possible heterogeneous cyclic structures composed of 1:1 ratio of PY-GP1 and PEG8-GP1, (a) 3:3 micelle-like cyclic hexamer. All of the pyrene moieties are gathered inside, whereas PEG groups exist in the outside. Not observed. (b) A mixture of 3:2 and 2:3 of cyclic pentamer.
Molecules 24 02166 g021
Figure 22. 19F-NMR spectra (376.32 MHz, CDCl3, 298 K) of (a) F9-N3 and (b) dimer of F9-5Zn.
Figure 22. 19F-NMR spectra (376.32 MHz, CDCl3, 298 K) of (a) F9-N3 and (b) dimer of F9-5Zn.
Molecules 24 02166 g022
Figure 23. 19F-NMR spectra (376.32 MHz, CDCl3, 298 K) of F9-GP1. (a) before and (b) after reorganization.
Figure 23. 19F-NMR spectra (376.32 MHz, CDCl3, 298 K) of F9-GP1. (a) before and (b) after reorganization.
Molecules 24 02166 g023
Figure 24. 19F-NMR spectra (376.32 MHz, CDCl3, 298 K) of (a) reorganized sample of F9-GP1, and (b) reconstituted sample composed of F9-GP1 and PEG8-GP1 (1:1).
Figure 24. 19F-NMR spectra (376.32 MHz, CDCl3, 298 K) of (a) reorganized sample of F9-GP1, and (b) reconstituted sample composed of F9-GP1 and PEG8-GP1 (1:1).
Molecules 24 02166 g024

Share and Cite

MDPI and ACS Style

Yoneyama, K.; Suzuki, R.; Kuramochi, Y.; Satake, A. A Candidate for Multitopic Probes for Ligand Discovery in Dynamic Combinatorial Chemistry. Molecules 2019, 24, 2166. https://doi.org/10.3390/molecules24112166

AMA Style

Yoneyama K, Suzuki R, Kuramochi Y, Satake A. A Candidate for Multitopic Probes for Ligand Discovery in Dynamic Combinatorial Chemistry. Molecules. 2019; 24(11):2166. https://doi.org/10.3390/molecules24112166

Chicago/Turabian Style

Yoneyama, Keiko, Rina Suzuki, Yusuke Kuramochi, and Akiharu Satake. 2019. "A Candidate for Multitopic Probes for Ligand Discovery in Dynamic Combinatorial Chemistry" Molecules 24, no. 11: 2166. https://doi.org/10.3390/molecules24112166

APA Style

Yoneyama, K., Suzuki, R., Kuramochi, Y., & Satake, A. (2019). A Candidate for Multitopic Probes for Ligand Discovery in Dynamic Combinatorial Chemistry. Molecules, 24(11), 2166. https://doi.org/10.3390/molecules24112166

Article Metrics

Back to TopTop