Preparation and Characterization of Bletilla striata Polysaccharide/Polylactic Acid Composite
Abstract
1. Introduction
2. Results and Discussion
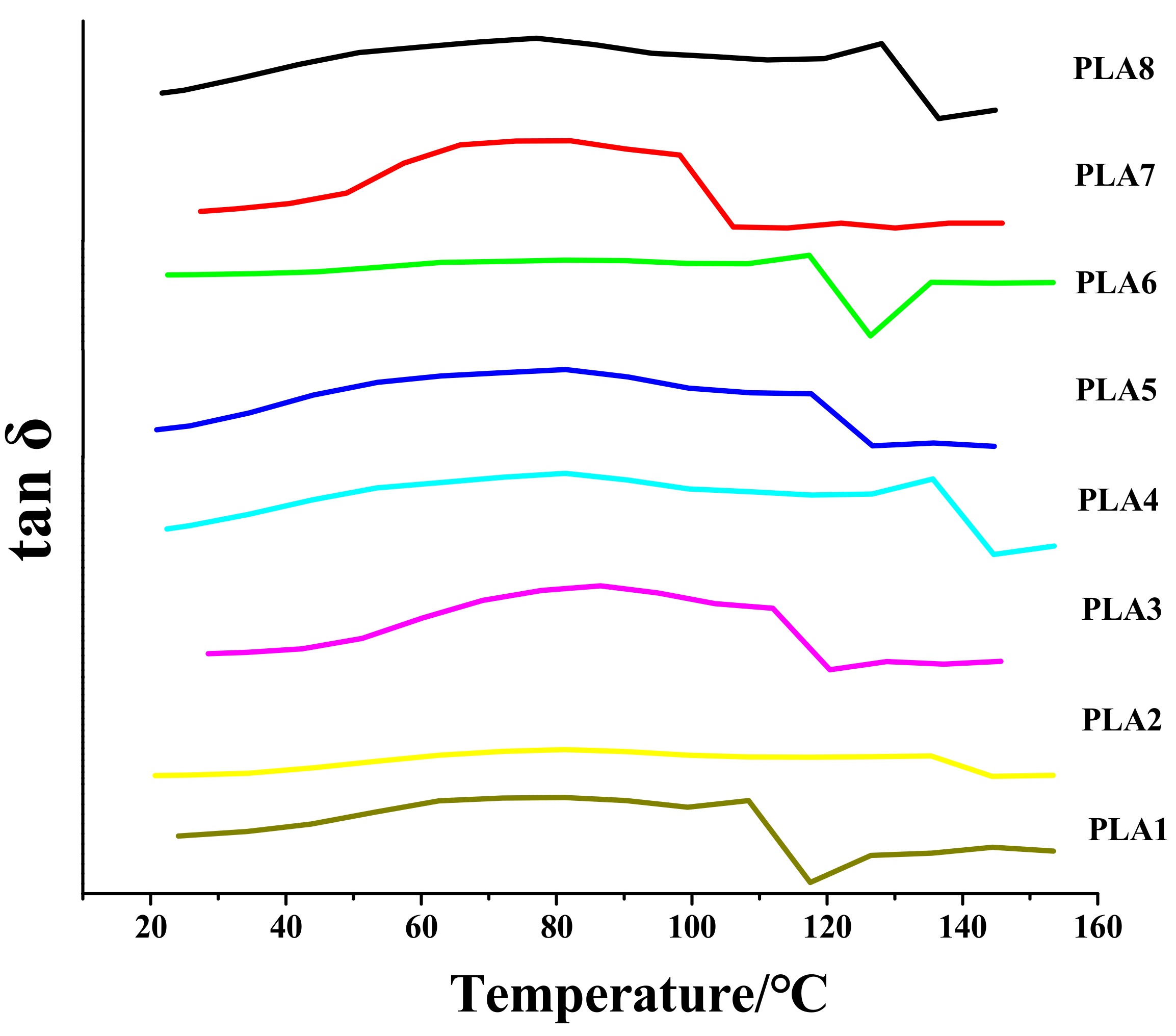
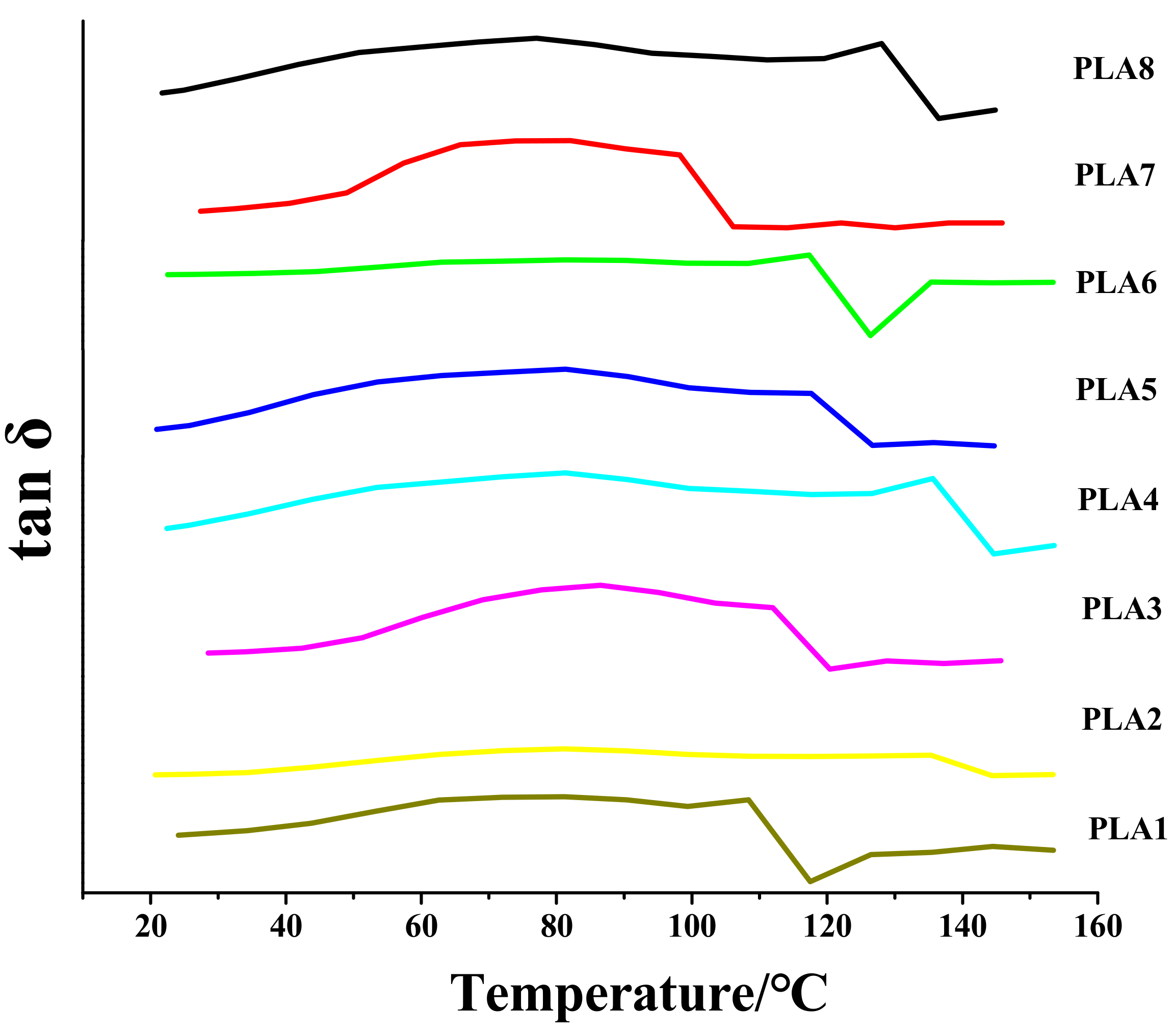
2.1. Loss Factor Analysis of DMA
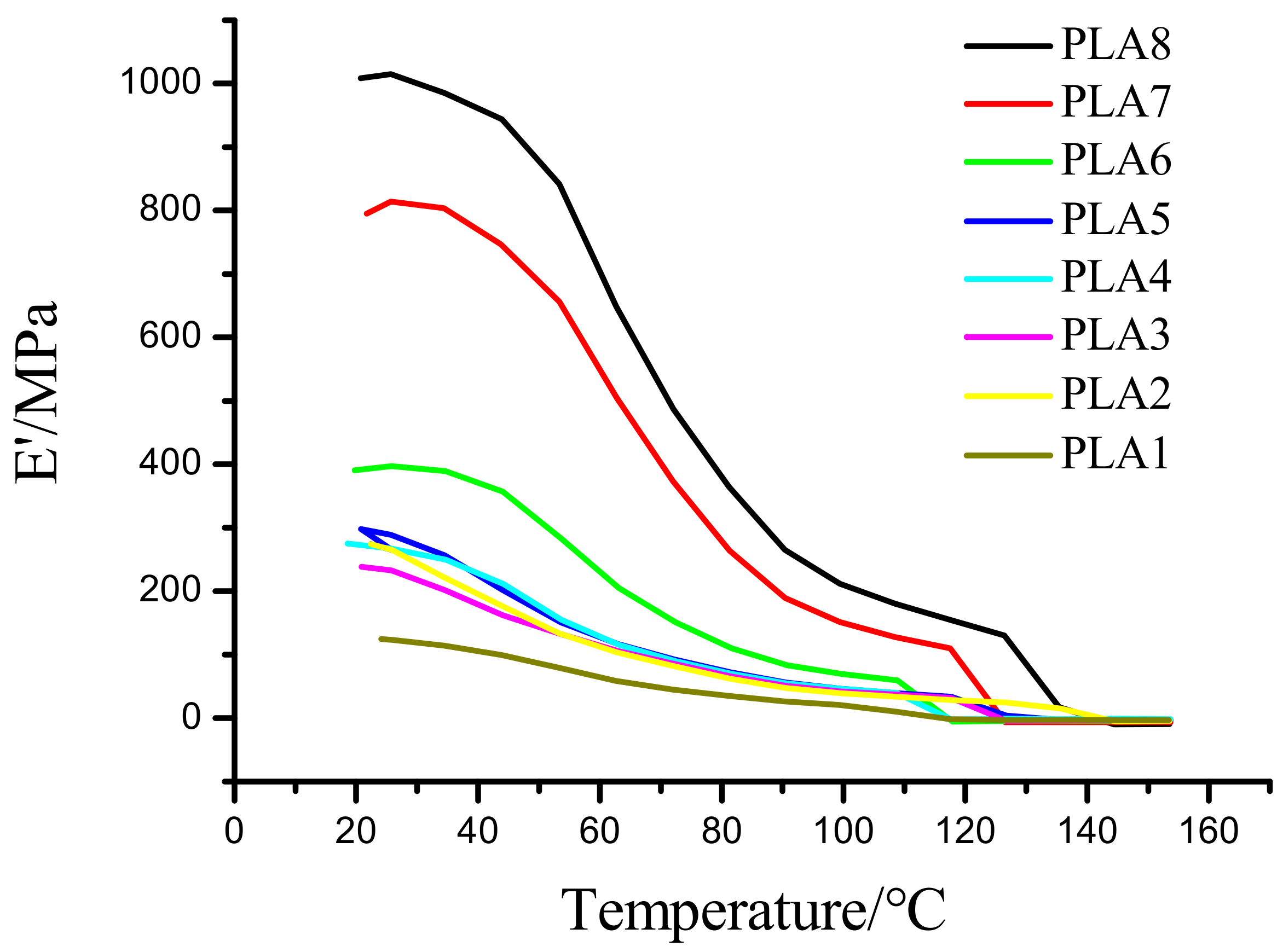
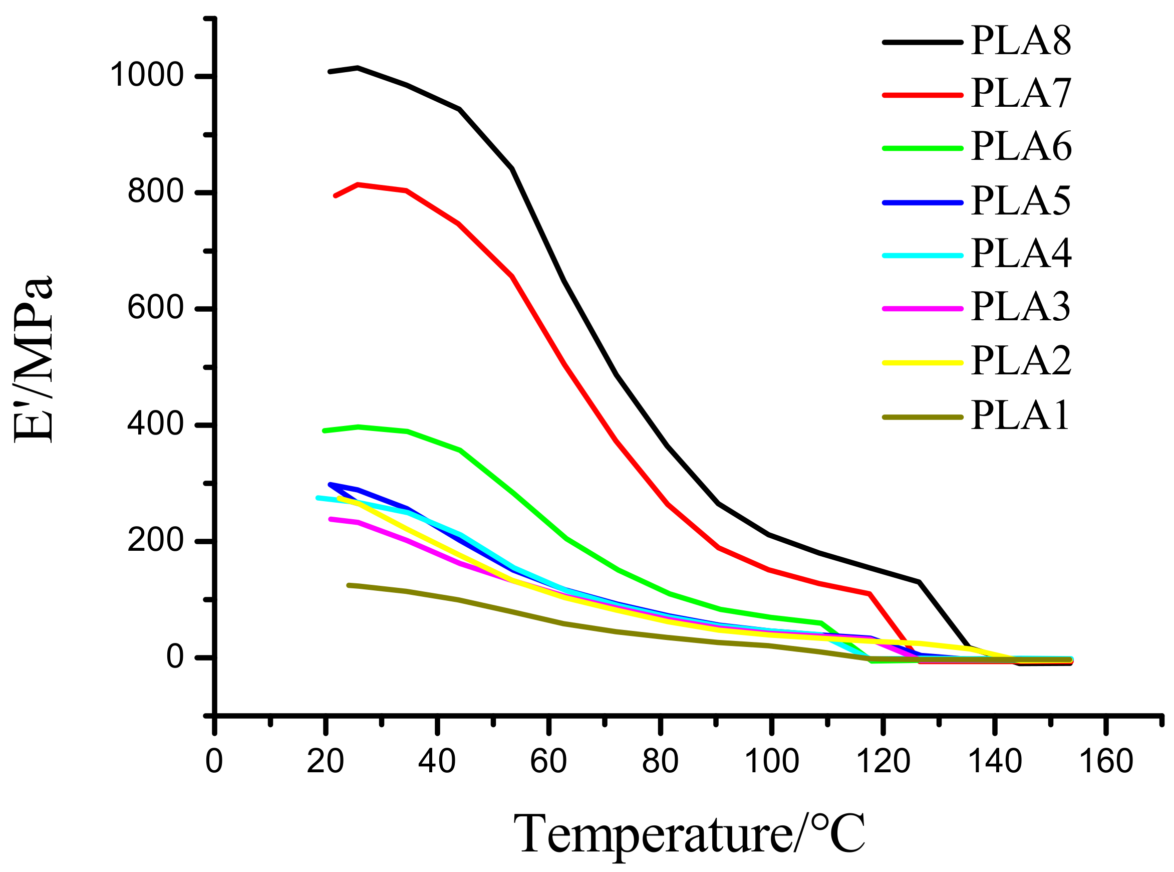
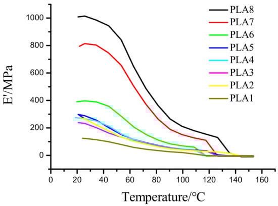
2.2. Energy Storage Modulus Analysis of DMA
2.3. DSC Analysis of Composite Films
2.4. TG Analysis of Composite Films
2.5. XRD Analysis of Composite Films
2.6. SEM Analysis of Composite Films
2.7. Mechanical Analysis of Composite Films
2.8. Contact Angle of Composite Films
3. Materials and Methods
3.1. Materials
3.2. Purification of BSP
3.3. Preparation of BSP/PLA Composite Films
3.4. Dynamic Thermomechanical Analysis (DMA) Analysis
3.5. Different Scanning Calorimeter(DSC) Analysis
3.6. Thermogravimetric(TG) Analysis
3.7. X-Ray Diffraction Characterization (XRD)
3.8. Scanning Election Microscopy (SEM )Analysis
3.9. Mechanical Performance Test
3.10. Contact Angle Test
4. Conclusions
Author Contributions
Funding
Conflicts of Interest
References
- Bates, D.O.; Jones, R.O. The role of vascular endothelial growth factor in wound healing. J. Surg. Res. 2009, 153, 347–358. [Google Scholar] [CrossRef] [PubMed]
- Chen, J.; Liu, D.; Shi, B.; Wang, H.; Cheng, Y.; Zhang, W. Optimization of hydrolysis conditions for the production of glucomanno-oligosaccharides from konjac using β-mannanase by response surface methodology. Carbohydr. Polym. 2013, 93, 81–88. [Google Scholar] [CrossRef] [PubMed]
- Diao, H.; Li, X.; Chen, J.; Lou, Y.; Chen, X.; Dong, L.; Wang, C.; Zhang, C.; Zhang, J. Bletilla striata Polysaccharide Stimulates Inducible Nitric Oxide Synthase and Proinflammatory Cytokine Expression in Macrophages. J. Biosci. Bioeng. 2008, 105, 85–89. [Google Scholar] [CrossRef]
- Dong, L.; Xia, S.; Luo, Y.; Diao, H.; Zhang, J.; Chen, J.; Zhang, J. Targeting delivery oligonucleotide into macrophages by cationic polysaccharide from Bletilla striata successfully inhibited the expression of TNF-alpha. J. Control. Release 2009, 134, 214–220. [Google Scholar] [CrossRef] [PubMed]
- He, H.-l.; Gu, G.-p.; Zhang, W.-m. Research on Cherry Tomato Fruits Coated with Bletilla Glucomannan (Bg) Film. Food Sci. 2007, 28, 336–340. [Google Scholar]
- Huang, C.-Q.; Song, T.-S.; Li, M.-J.; Zhao, D.; Xu, Z.Z.; Yang, S.H. Determination of Pollen Vitality and Preserved Method in Bletilla striata (Thunb.) Reichb.f. Northern Hortic. 2011, 3, 182–184. [Google Scholar]
- Cai, J.Y.; Xiong, J.W.; Huang, Y.F.; Zhao, Y.Y.; Zhang, C.Y.; Liu, W.W.; Wei, K.H. Study on ultrasonic- microwave synergistic extraction of polysaccharose from Bletilla striata and its antioxidant activity. Sci. Technol. Food Ind. 2016, 22, 274–284. [Google Scholar]
- Ray, S.S.; Okamoto, M. Biodegradable Polylactide and Its Nanocomposites: Opening a New Dimension for Plastics and Composites. Macromol. Rapid Commun. 2003, 24, 815–840. [Google Scholar] [CrossRef]
- Zhang, Z.; Feng, S.S. The drug encapsulation efficiency, in vitro drug release, cellular uptake and cytotoxicity of paclitaxel-loaded poly(lactide)-tocopheryl polyethylene glycol succinate nanoparticles. Biomaterials 2006, 27, 4025–4033. [Google Scholar] [CrossRef]
- Holger, C.F. Hyperbranched polylactide copolymers. Macromolecules 2006, 39, 1719–1723. [Google Scholar]
- Zhu, K.J.; Xiangzhou, L.; Shilin, Y. Preparation, characterization, and properties of polylactide (PLA)–poly(ethylene glycol) (PEG) copolymers: A potential drug carrier. J. Appl. Polym. Sci. 2010, 39, 1–9. [Google Scholar] [CrossRef]
- Schugens, C.H.; Grandfils, C.H.; Jerome, R.; Teyssie, P.; Delree, P.; Martin, D.; Malgrange, B.; Moonen, G. Preparation of a macroporous biodegradable polylactide implant for neuronal transplantation. J. Biomed. Mater. Res. 1995, 29, 1349–1362. [Google Scholar] [CrossRef] [PubMed]
- Okada, M. Chemical syntheses of biodegradable polymers. Prog. Polym. Sci. 2002, 27, 87–133. [Google Scholar] [CrossRef]
- Liu, X.C.; Zhang, X.; Han, X.; Zheng, S.F. Preparation and characterization of polylactic acid blending membrane. Phosphate Comp. Fertil. 2017, 32, 7–10. [Google Scholar]
- Zhang, N.; Li, Q.; Hou, Z.; Ye, J. Effect of Polylactic Acid-Degradable Film Mulch on Soil Temperature and Cotton Yield. J. Agric. Resour. Environ. 2016, 33, 114–119. [Google Scholar]
- Auras, R.; Harte, B.; Selke, S. An Overview of Polylactides as Packaging Materials. Macromol. Biosci. 2010, 4, 835–864. [Google Scholar] [CrossRef]
- He, Y.; Hu, Z.W.; Ren, M.D.; Ding, C.K.; Chen, P.; Gu, Q.; Wu, Q. Evaluation of PHBHHx and PHBV/PLA fibers used as medical sutures. J. Mater. Sci. Mater. Med. 2014, 25, 561–571. [Google Scholar] [CrossRef]
- Graupner, N. Application of lignin as natural adhesion promoter in cotton fibre-reinforced poly(lactic acid) (PLA) composites. J. Mater. Sci. 2008, 43, 5222–5229. [Google Scholar] [CrossRef]
- Sun, J.H.; Hao, K.K.; Zhang, Y.M.; Zhang, Y.; Qian, C. Preparation and performance investigation of air-thermal bonded waddings of polylactic acid/ES fibes. Tech. Textiles 2016, 34, 21–25. [Google Scholar]
- Mistriotis, A.; Briassoulis, D.; Giannoulis, A.; D’Aquino, S. Design of biodegradable bio-based equilibrium modified atmosphere packaging (EMAP) for fresh fruits and vegetables by using micro-perforated poly-lactic acid (PLA) films. Postharvest Biol. Technol. 2016, 111, 380–389. [Google Scholar] [CrossRef]
- Avinc, O.; Khoddami, A. Overview of Poly(lactic acid) (PLA) Fibre. Fibre Chemistry 2010, 42, 68–78. [Google Scholar] [CrossRef]
- Zhang, Y.; Wei, Z.; Wang, H.-L. Study on Preparation and Performance of PLA/Nano-Fe_3O_4 Loading Azithromycin Sustained Release. Chem. Bioeng. 2014, 1, R94. [Google Scholar]
- Minghao, T.; Liang, Z.; Jixiang, Z.; Xiumei, T.; Fanwen, Y.; Xiaoming, C. Preparation and characterization of Ag-loaded dressing by electrospinning. New Chem. Mater. 2017, 4, 86. [Google Scholar]
- Swaroop, C.; Shukla, M. Nano-magnesium oxide reinforced polylactic acid biofilms for food packaging applications. Int. J. Biol. Macromol. 2018, 113, 729–736. [Google Scholar] [CrossRef] [PubMed]
- Gupta, B.; Revagade, N.; Hilborn, J. Poly(lactic acid) fiber: An overview. Progress Polym. Sci. 2007, 32, 455–482. [Google Scholar] [CrossRef]
- Rasal, R.M.; Hirt, D.E. Toughness decrease of PLA-PHBHHx blend films upon surface-confined photopolymerization. J. Biomed. Mater. Res. Part A 2009, 88, 1079–1086. [Google Scholar] [CrossRef]
- Hiljanen-Vainio, M.; Varpomaa, P.; Seppälä, J.; Törmälä, P. Modification of poly(L-lactides) by blending: mechanical and hydrolytic behavior. Macromol. Chem. Phys. 1996, 197, 1053–1023. [Google Scholar] [CrossRef]
- Grijpma, D.W.; Nijenhuis, A.J.; Van Wijk, P.G.T.; Pennings, A.J. High impact strength as-polymerized, P.L.L.A. Polym. Bull. 1992, 29, 571–578. [Google Scholar] [CrossRef]
- Janorkar, A.V.; And AT, M.; Hirt, D.E. Modification of Poly(lactic acid) Films: Enhanced Wettability from Surface-Confined Photografting and Increased Degradation Rate Due to an Artifact of the Photografting Process. Macromolecules 2004, 37, 9151–9159. [Google Scholar] [CrossRef]
- Huang, J.; Wu, W.; Xiang, A. Study on Blends of PLA/Elastomers. China Plastics. 2010, 11, 54–57. [Google Scholar]
- Lijun, P.; Lei, G.; Yanhong, L. Preparation and Characterization of the Modified Acrylic-Starch/Polylactic Acid Blends. Plastics Sci. Technol. 2009, 37, 28–31. [Google Scholar]
- Wu, J.; Tai, Y.; Qin, Y. Preparation of modified starch/PLA blends. New Chem. Mater. 2011, 39, 125–126. [Google Scholar]
- Wang, S.F.; Tao, J.; Guo, T.Y.; Fu, T.; Yuan, X.Y.; Zheng, J.P.; Song, C.J. Thermal Characteristics, Mechanical Properties and Biodegradability of Polycarbonates/Poly (Lactic Acid) (PPC/PLA) Blends. Ion Exch. Adsorpt. 2007, 23, 1. [Google Scholar]
- Zhang, W.; Zhang, Y. Study on Toughening of Poly (lactic acid) Blended with Poly (ester amide). Synt. Fiber China 2008, 37, 9–11. [Google Scholar]
- Li, Y.; Lu, C.; Cheng, S.J.; Lin, J.P.; Zhou, D.F. Blends of Polylactic Acid /Starch Toughened by Tetrabutyl Titanate. J. Funct. Polym. 2007, 19, 304–308. [Google Scholar]
- Zhang, J.; Ding, C.K.; Duan, J.Y.; Li, Q.; Cheng, B.W. Preparation and Properties of Polylactic Acid/Cellulose Nanocrystal Composites. China Plastics. 2018, 32, 22–26. [Google Scholar]
- Fei, F.; Lin, Y. Study on the Structure and Property of Polylactic Acid/Polyurethane elastomers Blend. China Plastics Ind. 2009, 37, 12–15. [Google Scholar]
- Tiersch, T.R.; Monroe, W.T. Three-dimensional printing with polylactic acid (PLA) thermoplastic offers new opportunities for cryobiology. Cryobiology 2016, 73, 396–398. [Google Scholar] [CrossRef]
- Szymanski, J. The Effects of Temperature and Humidity on Cushioning Properties of Expanded Polylactic Acid Foam. Master’s Thesis, Clemson University, Clemson, SC, USA, 2010. [Google Scholar]
- Shen, M.; Li, H.; Yuan, M.; Jiang, L.; Zheng, X.; Zhang, S.; Yuan, M. Preparation of bergenin-Poly (lactic acid) polymers and in vitro controlled release studies. Int. J. Biol. Macromol. 2018, 116, 354–363. [Google Scholar] [CrossRef]
- Ito, M.; Abe, S.; Ishikawa, M. The fracture mechanism of polylactic acid resin and the improving mechanism of its toughness by addition of acrylic modifier. J. Appl. Polym. Sci. 2010, 115, 1454–1460. [Google Scholar] [CrossRef]
- Zuo, Y.; Gu, J.; Yang, L.; Qiao, Z.; Tan, H.; Zhang, Y. Preparation and characterization of dry method esterified starch/polylactic acid composite materials. Int. J. Biol. Macromol. 2014, 64, 174–180. [Google Scholar] [CrossRef] [PubMed]
- Simões, C.L.; Viana, J.C.; Cunha, A.M. Mechanical properties of poly(ε-caprolactone) and poly(lactic acid) blends. J. Appl. Polym. Sci. 2010, 112, 345–352. [Google Scholar] [CrossRef]
Sample Availability: Samples of the compounds Bletilla striata Polysaccharide and Polylactic Acid are available from the authors. |








| PLA1 | PLA2 | PLA3 | PLA4 | PLA5 | PLA6 | PLA7 | PLA8 | |
|---|---|---|---|---|---|---|---|---|
| Ratio of BSP | 0 | 0.2% | 0.4% | 0.6% | 0.8% | 1% | 1.2% | 1.4% |
| Tg (℃) | 52.1 | 53.4 | 55.9 | 60.9 | 68.0 | 55.5 | 49.9 | 48.5 |
| Ratio of BSP | Tc (℃) | ΔHc (J/g) | Tm (℃) | ΔHf (J/g) | Xc (%) | |
|---|---|---|---|---|---|---|
| PLA1 | 0 | 85.5 | 0.755 | 167.5 | 36.32 | 39.05 |
| PLA2 | 0.2% | 122.3 | 0.763 | 167.7 | 36.89 | 39.67 |
| PLA3 | 0.4% | 104.2 | 0.714 | 167.9 | 37.71 | 40.55 |
| PLA4 | 0.6% | 106.3 | 0.724 | 168.5 | 38.02 | 40.88 |
| PLA5 | 0.8% | 132.2 | 0.766 | 169.1 | 40.68 | 43.74 |
| PLA6 | 1% | 106.1 | 0.732 | 168.3 | 40.39 | 43.43 |
| PLA7 | 1.2% | 122.1 | 0.756 | 167.9 | 39.58 | 42.56 |
| PLA8 | 1.4% | 92.3 | 0.713 | 167.7 | 37.68 | 40.52 |
| Ratio of BSP | Tinitial (°C) | T10 (°C) | Tcomplete (°C) | Tmax (°C) | |
|---|---|---|---|---|---|
| PLA1 | 0 | 291.2 | 232.2 | 359.3 | 341.6 |
| PLA2 | 0.2% | 314.5 | 243.2 | 371.2 | 346.9 |
| PLA3 | 0.4% | 318.6 | 254.3 | 383.6 | 349.3 |
| PLA4 | 0.6% | 328.9 | 286.5 | 396.7 | 379.6 |
| PLA5 | 0.8% | 351.2 | 348.5 | 398.5 | 387.5 |
| PLA6 | 1% | 336.8 | 326.4 | 396.4 | 385.8 |
| PLA7 | 1.2% | 332.7 | 322.1 | 385.9 | 352.7 |
| PLA8 | 1.4% | 319.6 | 285.6 | 384.2 | 348.9 |
| Number of the Figure | Ratio of BSP (wt%) | Number of Samples | Maximum Aperture (μm) | Minimum Aperture (μm) | Average Aperture (μm) |
|---|---|---|---|---|---|
| Figure 6a | 0.4 | 25 | 2.95 | 0.22 | 0.86 |
| Figure 6b | 0.6 | 25 | 3.21 | 0.29 | 1.08 |
| Figure 6c | 0.8 | 25 | 4.72 | 0.66 | 1.51 |
| Figure 6d | 1.0 | 25 | 1.83 | 0.81 | 1.32 |
| Figure 6e | 1.2 | 25 | 1.88 | 0.51 | 1.11 |
| Figure 6f | 1.4 | 25 | 1.04 | 0.35 | 0.93 |
| Sample | Ratio of BSP | Width (mm) | Thickness (mm) | Starting Stretch Spacing (mm) | Elastic Modulus (MPA) | Elongation at Break (%) | Tensile Fracture Stress (MPA) | Tensile Strength (MPA) | Tensile Yield Stress (MPA) | Maximum Tensile Force (N) |
|---|---|---|---|---|---|---|---|---|---|---|
| PLA1 | 0 | 10 | 0.050 | 25 | 96.85 | 21.56 | 10.12 | 28.75 | 0.01 | 7.26 |
| PLA2 | 0.2% | 10 | 0.049 | 25 | 57.11 | 26.33 | 16.90 | 20.59 | 9.68 | 12.56 |
| PLA3 | 0.4% | 10 | 0.048 | 25 | 64.79 | 25.65 | 15.21 | 18.54 | 8.10 | 11.89 |
| PLA4 | 0.6% | 10 | 0.048 | 25 | 52.53 | 35.07 | 12.54 | 14.82 | 3.73 | 9.56 |
| PLA5 | 0.8% | 10 | 0.051 | 25 | 60.55 | 53.14 | 23.18 | 14.84 | 9.70 | 14.38 |
| PLA6 | 1% | 10 | 0.053 | 25 | 52.02 | 45.73 | 14.71 | 15.66 | 5.94 | 9.85 |
| PLA7 | 1.2% | 10 | 0.052 | 25 | 67.93 | 44.81 | 12.47 | 24.31 | 4.70 | 9.25 |
| PLA8 | 1.4% | 10 | 0.050 | 25 | 57.91 | 36.53 | 17.71 | 19.85 | 9.96 | 9.63 |
| PLA1 | PLA2 | PLA3 | PLA4 | PLA5 | PLA6 | PLA7 | PLA8 | |
|---|---|---|---|---|---|---|---|---|
| Ratio of BSP | 0 | 0.2% | 0.4% | 0.6% | 0.8% | 1% | 1.2% | 1.4% |
| Contact Angle (°) | 110.4 | 103.5 | 92.6 | 92.3 | 88.7 | 78.2 | 69.3 | 53.4 |
© 2019 by the authors. Licensee MDPI, Basel, Switzerland. This article is an open access article distributed under the terms and conditions of the Creative Commons Attribution (CC BY) license (http://creativecommons.org/licenses/by/4.0/).
Share and Cite
Yang, R.; Wang, D.; Li, H.; He, Y.; Zheng, X.; Yuan, M.; Yuan, M. Preparation and Characterization of Bletilla striata Polysaccharide/Polylactic Acid Composite. Molecules 2019, 24, 2104. https://doi.org/10.3390/molecules24112104
Yang R, Wang D, Li H, He Y, Zheng X, Yuan M, Yuan M. Preparation and Characterization of Bletilla striata Polysaccharide/Polylactic Acid Composite. Molecules. 2019; 24(11):2104. https://doi.org/10.3390/molecules24112104
Chicago/Turabian StyleYang, Renyu, Dongyue Wang, Hongli Li, Yi He, Xiangyu Zheng, Mingwei Yuan, and Minglong Yuan. 2019. "Preparation and Characterization of Bletilla striata Polysaccharide/Polylactic Acid Composite" Molecules 24, no. 11: 2104. https://doi.org/10.3390/molecules24112104
APA StyleYang, R., Wang, D., Li, H., He, Y., Zheng, X., Yuan, M., & Yuan, M. (2019). Preparation and Characterization of Bletilla striata Polysaccharide/Polylactic Acid Composite. Molecules, 24(11), 2104. https://doi.org/10.3390/molecules24112104

