Next Article in Journal
Investigation of Direct Model Transferability Using Miniature Near-Infrared Spectrometers
Next Article in Special Issue
Electrophilic Bromination in Flow: A Safe and Sustainable Alternative to the Use of Molecular Bromine in Batch
Previous Article in Journal
NAMI-A and KP1019/1339, Two Iconic Ruthenium Anticancer Drug Candidates Face-to-Face: A Case Story in Medicinal Inorganic Chemistry
Previous Article in Special Issue
Anionic Polymerization Using Flow Microreactors
 
 
Font Type:
Arial Georgia Verdana
Font Size:
Aa Aa Aa
Line Spacing:
Column Width:
Background:
Article

Flow Hydrodediazoniation of Aromatic Heterocycles

by
Liesa Röder
1,
Alexander J. Nicholls
2 and
Ian R. Baxendale
2,*
1
Department of Biology, Chemistry, and Pharmacy, Freie Universität Berlin, 14195 Berlin, Germany
2
Department of Chemistry, University of Durham, South Road, Durham, DH1 3LE, UK
*
Author to whom correspondence should be addressed.
Molecules 2019, 24(10), 1996; https://doi.org/10.3390/molecules24101996
Submission received: 29 April 2019 / Revised: 20 May 2019 / Accepted: 22 May 2019 / Published: 24 May 2019
(This article belongs to the Special Issue Flow Chemistry in Organic Synthesis)

Abstract

Continuous flow processing was applied for the rapid replacement of an aromatic amino group with a hydride. The approach was applied to a range of aromatic heterocycles, confirming the wide scope and substituent-tolerance of the processes. Flow equipment was utilized and the process optimised to overcome the problematically-unstable intermediates that have restricted yields in previous studies relying on batch procedures. Various common organic solvents were investigated as potential hydride sources. The approach has allowed key structures, such as amino-pyrazoles and aminopyridines, to be deaminated in good yield using a purely organic-soluble system.

Graphical Abstract

1. Introduction

The use of diazotisation as a regioselective functionalisation strategy for aromatic compounds is inherent to the design of synthetic pathways for a variety of target products. A less utilised aspect is the replacement of an aromatic amine (via a diazonium) for a proton; essentially a defunctionalisation step, this can be a creative and useful sequence as the amine is a powerful directing group in more complex, multi-stage syntheses [1,2]. Historically, simple anilines that form relatively-stable diazonium salts are readily deaminated in good yields under batch conditions [3,4,5]. However, many aromatic heterocycles, such as 2-amino-pyrazoles and pyridines, do not form stable diazonium salts and hence batch procedures form the target deaminated product in generally poor yield. Recent studies have attempted to improve the efficiency for more challenging systems using various catalysts, such as salicylic acid or gallic acid, to both stabilize the diazonium compound (by trapping) and controlling the rate that the diazonium compound radicalizes [6,7]. However, more sophisticated heterocyclic structures, such as 2-aminopyrimidine and 2-aminobenzothiazole, could still be deaminated only in modest yields. Flow chemistry has been shown to be especially useful for the generation and handling of reactive/transient intermediates [8,9,10,11,12,13,14]. The primary benefits of performing such reactions in flow mostly arise from the improved mixing and superior heat dissipation [15,16]. Although elevated temperatures are often required for most of these heterocycles to undergo nitrosation, the overall process is very exothermic, and consequently the reacting molecules can form small, localized areas of very high temperatures, causing the sensitive diazonium intermediates to decompose. On a larger scale, this can also lead to run-away exothermic reactions. Advantageously using flow, the large surface area of the reaction vessel ensures that potential localized regions of undesired high temperatures and prorogation of heat-generation does not lead to substantial deviations of temperature from that of the reactor. Secondly, due to working with very unstable intermediates, it is imperative that there is effective mixing between the intermediates and the hydride source in order to reach the target product as soon as possible, which working in flow provides. The kinetics of at least some stages of this reaction are likely to be diffusion controlled, hence the enhanced mixing further improves the rate, allowing for an effective process omitting catalysts and radical initiators. The third benefit is in the application of temperatures substantially above the boiling point of the solvent, which has been found to be advantageous in this process. The solvents of choice were cyclic ethers, with tetrahydrofuran (THF) being the most effective.

2. Results and Discussion

Using the Vapourtech EasyMedChem system (Figure 1), we began investigating the principle conditions. Methyl 2-aminothiazole-5-carboxylate and methyl 5-amino-thiophene-2-carboxylate were selected as substrates, because thiazoles and thiophenes are structures that other investigations have struggled to deaminate in high yield [6,7]. The results presented were not obtained at steady state.

2.1. Solvent Selection

The criteria for the solvent (which is also the hydride source—see mechanism discussion) is that it should offer sufficient solubility for the starting material/diazonium intermediate and that it can undergo hydride abstraction (Table 1). Ethers were found to be the most effective, likely due to the oxygen atoms ability to stabilize the intermediate formed when the α-hydrogens are abstracted. Alcoholic solvents (MeOH, EtOH, iPrOH and BuOH) were found to be far less effective, it is suspected they are not sufficiently active as hydride radical sources or more likely that they react with the unstable intermediates in the mechanism, due to their nucleophilicity. Correlations between the ethers are not readily explained with the current available data. It is unfortunate that cyclohexane, a good hydride donor, could not be fully tested because the starting materials were not particularly soluble, however, some success was achieved when refluxing in batch. Of general note was that in all experiments the starting materials were completely consumed, therefore we turned our attention to measuring the efficiency of the process in terms of isolated yield rather than the kinetics.

2.2. Temperature Screening

Even substantially deactivated anilines, such as nitro-substituted, and amino-heterocycles will react with inorganic nitrite in aqueous conditions without external heating, even below room temperature, because the active nitrosation agent (NO+) forms in situ. When using organic nitrites, some thermal input is generally required to overcome the greater energy barrier of the first nucleophilic attack. This is normally the rate-determining step as the subsequent intermediates are never detected and the process is noticeably more efficient at higher temperatures (Table 2 and Table 3). For this evaluation we also tested 1,4-dioxane even though it had displayed reduced comparative reactivity as this solvent could be used at a higher temperature but at reduced internal reactor pressure.

2.3. Coil Size and Residence Time

It was initially anticipated that a shorter coil volume may improve the yield along with throughput, as the product might begin to decompose after it has formed. Several thiazoles, oxazoles and related heterocycles are known to undergo side reactions via ring opening process such as the Cornforth rearrangement. However, the obtained results did not support this hypothesis, indeed a longer residence time gave improved conversion at the elevated temperature. It is therefore unlikely that the thiazole product degrades significantly under the conditions of this process (Table 4).

2.4. The Application of Radical Catalysts

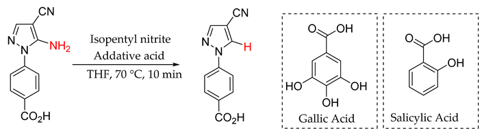
Perretti et al. as well as Felipe-Blanco et al. have shown that using a nucleophilic compound that can form stable radicals can increase the rates and yields of dediazoniation processes, by lowering the energy barrier to forming the target aryl radical species, hence reducing the chances of side transformations [6,7]. We therefore selected a poorly reactive substrate to evaluate any potential advantage of using such an approach in combination with flow processing (Table 5). There was a notable enhancement in conversion obtained when employing the catalyst however, at elevated temperatures this effect was not observed and hence we decided to concentrate on temperature rather than catalyst application. It should be noted that this may still offer benefit as an approach for poorly reactive substrates which give turnover at lower temperatures.

2.5. Different Organic Nitrite Sources

Several organic nitrites were screened for their effectiveness in this process; tested were tertiary-butyl nitrite, normal-butyl nitrite and iso-propyl nitrite. All were found to perform similarly, with all giving near quantitative conversions for substrates, such as 2-aminobenzothiazole (Table 6, 2s). Based upon a consideration of its lower cost, the iso-pentyl nitrite was selected as the reagent of choice for all further studies (Table 6).

2.6. Substrate Scope for Optimised Process

The flow procedure was applied to a variety of substrates, from simple amino-pyridines to sophisticated, multi-cyclic structures. Most substrates were deaminated efficiently, giving good-to-excellent conversions and isolated yields, after column chromatography purification. Although some substrates proceeded in lower yields, other studies have failed to deaminate these substrates at all.

3. Discussion

The fast reaction kinetics of the hydrodediazoniation ensures that full consumption of the starting material was observed for almost every derivative. The reason for imperfect yields was because of working with very unstable intermediates; namely the hetero-diazonium and the heteroaryl radical. For example, the methyl 2-diazoniumthiazole-5-carboxylate tetrafluoroborate salt was stable at −5 °C (though highly dependent on the anion), but the aryl radical was never detected and attempts to trap it with a stable radical, such as TEMPO were not successful, although more stable nitrobenzene aryl radicals have been trapped by Perretti et al. [6]. The key to maximising yields for the process is therefore dependant on optimizing the process to limit decomposition pathways from both reactive intermediates.
In general, the diazonium intermediate can become a more stable structure by emitting N2. Nucleophilic substitution, with N2 as the leaving group is sometimes possible for diazonium compounds, but is not specifically observed in this reaction. Our experiments with deuterated THF show that the new hydrogen in the product always comes from the THF, hence ruling out any possibility of nucleophilic behaviour (Scheme 1).
To enable radical hydride abstraction the diazonium compound 6 must undergo a one-electron reduction to become the radical species 7, which can eliminate N2 to form the aryl radical 8 (Figure 2). There is much debate regarding how this may occur, it could be a thermal process, particularly at the elevated reaction temperatures used, or even photochemically, from the ambient lighting within the laboratory (Figure 2, pathway 1) [17]. However, photochemical activation as the primary route has been ruled out by performing the process with the exclusion of light. Alternatively, it is known that nucleophilic solvents, from alcohols to cyclic ethers, can interact with the diazo group, forming a positively charged intermediate 9 that can fragment radically, leading again to the aryl radical 8 (Figure 2, pathway 2). The results obtained in this study cannot distinguish which pathways are under operation, although it was shown that neither are possible at 0 °C, as there is no reaction between the thiazole diazonium compound and THF at this temperature unless additional sodium nitrite is added (which is known to convert some diazonium compounds to aryl radicals) [9].
The versatility of the deamination process comes from the fact that the conversion is rapid under conditions where most other functionalities are stable and it can be run as a single step process (diazotization and substitution). Advantageously, a mild pH is used and there is no need for additional radical initiators or catalysts that could cause compatibility issues. The ether solvents of choice are inert, relatively low cost and readily available. The process is very simple and easy to perform, adding to its value as part of multi-stage syntheses, particularly as the aromatic nitrogen is often residual from the heterocyclic formation. Consequently, the flow process described has been specifically designed to target heteroaryl amines that are poorer nucleophiles and generally do not form stable diazonium salts, hence limiting the yield of any segregated process that relies on first forming the diazonium salt then, for example, conducting a hydrogenation in a subsequent step.
N-containing heteroaromatics often present a challenge in a range of nucleophilic processes targeting the primary amine, including diazotisation, due to the inherent low nucleophilicity of the heterocyclic N atom. To the best of our knowledge, this process is the first published procedure for successful hydrodeazoniation of aminopyridines. The difficulty arises because the electrophile (isopentyl nitrite in this case) can react, often preferentially, with the heterocyclic N atom. While this addition is largely reversible, the nitroso group must migrate to the primary amine in order for the diazotization to proceed (Figure 3). This is fairly trivial for cycles where the N atom (or atoms) is in close proximity to the primary amine and if the primary amine is sufficiently nucleophilic (e.g., 2-aminobenzimidazole 1b, Figure 3), allowing for swift intramolecular transfer to the target primary amine. For substrates such as 4-aminopyridine 1h, this is not the case and these substrates likely rely on intermolecular transfer to the primary amine (Figure 3). The intermediate nitrosoamine 14, formed in an attack from the heterocyclic N on the isopentenyl nitrite, may not be stable under these conditions and hence this represents another pathway to decomposition and yield loss and could explain why 3-aminopyridine 2g was deaminated in much higher yield than the 4-amino 1h (Table 1). While the migration of the nitroso group from the pyridine N atom to the primary amine is not hindered for 2-aminopyridine 2f, the weak nucleophilicity of the primary amine ensures that this substrate could also only be deaminated in poor conversions (Table 6).
Although the process was successful for a range of heterocycles, unfortunately deamination was not possible for certain compound types (Table 6) in which the starting materials were recovered unchanged. The aminopyrimidines which were unreactive possess very low nucleophilicity at the primary amine as well as having increased steric hindrance around the nitrogen [18]. We also prepared the ammonium salt 2aq to test if increased acidity may help promote the process but without advantage. However, we were able to show that compound 2z possessing both a primary pyrazole and pyrimidine based N atom underwent deamination selectively only at the pyrazole centred nitrogen albeit in low yield (Table 6). We hope to explore this reaction more and find ways to elaborate the less reactive structures as well as explore the interesting natural selectivity in other species.

4. Materials and Methods

Reagents and solvents were purchased from Fischer Scientific, Sigma Aldrich™, Fluorochem™, or Alfa Aesar™, were of analytical reagent grade and were used as received. 1H and 13C-NMR spectra were recorded, in specified deuterated solvents, (purchased from Apollo Scientific™), at room temperature on Bruker™ Avance-400 (1H, 13C) (operating at 400.13 MHz) spectrometers and are reported as follows: chemical shift δ (ppm) (number of protons, multiplicity, coupling constant J (Hz) (if applicable), assignment). Multiplicities are reported using the following abbreviations: s (singlet), d (doublet), t (triplet), q (quartet) and m (unresolved multiplet). All 13C-NMR spectra were proton-decoupled and carbons are numbered according to the IUPAC systematic name. The 1H and 13C chemical shifts are reported using the residual signal of deuterated solvent as the internal reference (for CDCl3: δH = 7.26 ppm; δC = 77.16 ppm and for deuterated d6-DMSO: δH = 2.50 ppm; δC = 39.51 ppm). All chemical shifts are quoted in parts per million, relative to tetramethylsilane (δH, δC = 0.00 ppm). All coupling constants are 3JHH unless otherwise stated. Electrospray Ionisation (ESI) mass spectra, for LC-MS results were obtained using a TQD mass spectrometer (Waters UK Ltd., Manchester, UK). High-resolution mass spectra were obtained with an LCT Premier XE mass spectrometer (Waters UK Ltd., Manchester, UK); all were obtained by the Durham University Mass Spectrometry service. ASAP mass spectra were obtained using a Waters™ Synapt G2s apparatus. Thin-Layer Chromatography was performed using Merck TLC Aluminium oxide 60 F254 with glass backing. Plates were stained with potassium permanganate solution, where required and visualised using UV light. Column chromatography refers to purification by applying the mixture, dissolved in a minimum amount of dichloromethane, onto silica gel (40–63 µm mesh size) with the stated solvent system.

4.1. General Procedure for Solvent Screening

A solution of methyl 2-aminothophene-5-carboxylate (152 mg, 1.00 mmol) in the selected solvent (see Table 1, 10 mL) and a solution of isopentyl nitrite (141 mg, 1.20 mmol) in the selected solvent (10 mL) were both pumped at a flow rate of 0.25 mL min−1 with a Vapourtech ‘Easy MedChem V3’ system, meeting at a PTFE T-piece and the output flowing through a 6.5 mL coil reactor maintained at 70 °C, giving a residence time of 13 min (see Table 2). The pressure of the system was maintained at 7 bar with a variable compression back-pressure regulator. The output mixture was concentrated under reduced pressure (100 mbar) to yield the product as an oil. Three repeat samples were analysed by 1H-NMR spectroscopy with an internal standard (nitrobenzene) and the average used to quantify the conversion to the target thiazole product.

4.2. General Procedure for Temperature Investigation

A solution of methyl 2-aminothiazole-5-carboxylate (152 mg, 1.00 mmol) in THF (10 mL) and a solution of isopentyl nitrite (141 mg, 1.20 mmol) in THF (10 mL) were both pumped at a flow rate of 0.25 mL min−1 with a Vapourtech ‘Easy MedChem V3’ system, meeting at a T-piece and the output flowing through a 10 mL coil reactor maintained at the selected temperature (see Table 3 and Table 4), giving a residence time of 20 min. The pressure of the system was maintained at 7 bar with a back-pressure regulator. The output mixture was concentrated under reduced pressure (100 mbar) to yield the product as an oil. Three repeat samples were analysed by 1H-NMR spectroscopy with an internal standard (nitrobenzene) and the average used to quantify the conversion to the target thiophene product.

4.3. General Procedure for Reactor Coil Size Investigation

A solution of methyl 2-aminothiazole-5-carboxylate (152 mg, 1.00 mmol) in THF (10 mL) and a solution of isopentyl nitrite (141 mg, 1.20 mmol) in THF (10 mL) were both pumped at a flow rate of 0.25 mL min−1 with a Vapourtech ‘Easy MedChem V3’ system, meeting at a T-piece and the output flowing through the stated coil reactor maintained at the selected temperature (see Table 4). The pressure of the system was maintained at 7 bar with a back-pressure regulator. The output mixture was concentrated under reduced pressure (100 mbar) to yield the product as an oil. Three repeat samples were analysed by 1H-NMR spectroscopy with an internal standard (nitrobenzene) and the average used to quantify the conversion to the target thiazole product.

4.4. General Procedure for Investigation of Catalysis using Gallic Acid and Salicylic Acid

A solution of 4-(5-amino-4-cyano-1H-pyrazol-1-yl)-benzoic acid (228 mg, 1.00 mmol) and isopentyl nitrite (141 mg, 1.20 mmol) with the stated catalyst loading of salicylic acid or gallic acid (see Table 5) in THF (50 mL) was pumped at a flow rate of 1.0 mL min−1 with a Vapourtech ‘Easy MedChem V3’ system flowing through a 10 mL coil reactor maintained at 70 °C, giving a residence time of 20 min. The pressure of the system was maintained at 7 bar with a back-pressure regulator. The output mixture was concentrated under reduced pressure to give a powder. Three repeat samples were analysed by 1H-NMR spectroscopy with an internal standard (nitrobenzene) and the average used to quantify the conversion of the target product.

4.5. General Procedure for Investigation of Alternative Organic Nitrites

A solution of methyl 2-aminothiazole-5-carboxylate (152 mg, 1.00 mmol) in THF (10 mL) and the stated organic nitrite (1.20 mmol) (see Table 6) in THF (10 mL) were pumped at a flow rate of 0.25 mL min−1 with a Vapourtech ‘Easy MedChem V3’ system, meeting at a T piece, then flowing through a 10 mL coil reactor maintained at 120 °C, giving a residence time of 10 min. The pressure of the system was maintained at 7 bar with a back-pressure regulator. The output mixture was concentrated under reduced pressure (100 mbar) to yield the product as an oil. Three repeat samples were analysed by 1H-NMR spectroscopy with an internal standard (nitrobenzene) and the average used to quantify the conversion of the target product.

4.6. General Procedure for Hydrodeazoniation of Substrates

A solution of the selected heterocyclic starting material (1.00 mmol) in THF (10 mL) and a solution of isopentyl nitrite (141 mg, 1.20 mmol) in THF (10 mL) were both pumped at a flow rate of 0.25 mL min−1 with a Vapourtech ‘Easy MedChem V3’ system, meeting at a PTFE T-piece and the output flowing through a 10.0 mL coil reactor maintained at 120 °C, giving a residence time of 20 min. The pressure of the system was maintained at 7 bar with a back-pressure regulator. For compounds where an isolated yield was reported: the output mixture was concentrated under reduced pressure to give an oil (or powder). The oil (or powder) was purified using column chromatography with various mixtures of ethyl acetate and hexane as the eluent, or by recrystallisation using methanol, to give isolated compounds that showed no impurities by NMR spectroscopy. For compounds where a conversion was reported (due to volatility of products), the output mixture was carefully concentrated under a reduced pressure of 100 mbar for 10 min and the conversion was calculated by integration of product peaks to a quantified internal standard (nitrobenzene).
Starting materials 1ad, 1fs, 1alar were obtained from Alfa Asear and were used as supplied without additional purification. Other starting materials were synthesised, with spectra provided in the supplementary information.
6-Chlorobenzo[1,3]thiazole (2d): Eluent: hexane/ethyl acetate (100:1)(4:1) yellow crystals, 68% yield. 1H-NMR (400 MHz, CDCl3) δ 8.98 (s, 1H), 8.05 (d, J = 8.7 Hz, 1H), 7.95 (d, J = 2.1 Hz, 1H), 7.49 (dd, J = 8.7, 2.1 Hz, 1H). 13C-NMR (101 MHz, CDCl3) δ 154.51 (CH), 151.72 (C), 135.06 (C), 131.95 (C), 127.34 (CH), 124.46 (CH), 121.66 (CH). ASAP-MS (MeCN) Rt = 0.50 min [M + H]+ = 170.0.
3-(1-Methylethyl)benzoic acid (2e): Eluent: hexane/ethyl acetate (100:1)(4:1). Yellow needles, 96% yield. 1H-NMR (400 MHz, CDCl3) δ 8.00 (d, J = 1.8 Hz, 1H), 7.95 (dt, J = 7.6, 1.4 Hz, 1H), 7.48 (d, J = 1.3 Hz, 1H), 7.40 (t, J = 1.3 Hz, 1H), 2.99 (p, J = 7.3 Hz, 1H), 1.29 (d, J = 7.3 Hz, 6H). 13C-NMR (101 MHz, CDCl3) δ 172.87 (C), 149.44 (C), 132.29 (CH), 129.46 (C), 128.63 (CH), 128.34 (CH), 127.93 (CH), 34.16 (CH), 24.01 (CH3). LC-MS (MeCN) Rt = 2.25 min [M − H] = 163.2. HRMS C10H11O2 calc. 163.0759, found 163.0754, (Δ = −3.1 ppm).
Methyl thiophene-3-carboxylate (2r): Eluent: hexane/ethyl acetate (100:1)(10:1). 1H-NMR (400 MHz, CDCl3) δ 8.12 (dd, J = 3.0, 1.2 Hz, 1H), 7.54 (dd, J = 5.1, 1.2 Hz, 1H), 7.41–7.28 (m, 1H), 3.95–3.85 (m, 3H). 13C-NMR (101 MHz, CDCl3) δ 161.28, 133.50, 132.70, 127.88, 126.04, 51.84. LC-MS (MeOH) Rt = 0.87 min [M + H]+ = 143.1.
Benzo[1,3]thiazole (2s): Eluent: hexane/ethyl acetate (100:1)(10:1). Brown, volatile oil, 99% yield. 1H-NMR (400 MHz, CDCl3) δ = 9.00 (s, 1H), 8.35 (d, J = 8.2 Hz, 1H), 7.95 (d, J = 8.2 Hz, 1H), 7.51 (t, J = 7.7 Hz, 1H), 7.42 (t, J = 7.7 Hz, 1H). GC-MS M+ 135.1.
5-(2-Bromophenyl)-1,3,4-thiadiazol-2-amine (1t): Starting material 1t was prepared following the procedure of Mullick et al. [19] and isolated as a white solid in 85% yield. 1H-NMR (400 MHz, CDCl3) δ 8.01 (dd, J = 7.8, 1.7 Hz, 1H), 7.70 (dd, J = 7.9, 1.3 Hz, 1H), 7.43 (td, J = 7.6, 1.3 Hz, 1H), 7.37–7.29 (m, 1H), 6.06 (br. s, 2H). 1H-NMR (400 MHz, DMSO-d6) δ 7.87 (dd, J = 7.8, 1.8 Hz, 1H), 7.75 (dd, J = 7.8, 1.2 Hz, 1H), 7.53–7.41 (m, 3H), 7.37 (td, J = 7.8, 1.8 Hz, 1H). 13C-NMR (101 MHz, DMSO-d6) δ 170.47 (C), 153.62 (C), 134.17 (C), 132.07 (C), 131.65 (C), 128.53 (C), 121.38 (C). 13C-NMR (101 MHz, DMSO-d6) δ 134.17, 131.66, 131.64, 128.53. LC-MS (MeCN) Rt = 1.69 min [M + H]+ = 258.2. HRMS C8H6N3S79Br calc. 255.9544, found 255.9551, (Δ = 2.7 ppm).
2-(2-Bromophenyl)-1,3,4-thiadiazole (2t): Eluent: hexane/ethyl acetate (95:5)(4:1). Brown oil, 67% yield. 1H-NMR (400 MHz, CDCl3) δ 9.25 (s, 1H), 8.14 (d, J = 7.8 Hz, 1H), 7.74 (d, J = 8.0 Hz, 1H), 7.46 (t, J = 7.6 Hz, 1H), 7.36 (t, J = 7.5 Hz, 1H). 13C-NMR (101 MHz, CDCl3) δ 165.25 (C), 152.87 (CH), 134.12 (CH), 132.21 (CH), 132.01 (CH), 130.67 (C), 128.03 (CH), 122.71 (C).
4-(4-Cyano-1H-pyrazol-1-yl)-benzoic acid (2u): [20] Starting material 1u was prepared following the procedure of Smith et al. [21]. The product was obtained via recrystallization from methanol. Purple powder, 70% yield. 1H-NMR (400 MHz, DMSO-d6) δ 13.19 (s, 1H), 9.46 (s, 1H), 8.43 (s, 1H), 8.10 (d, J = 8.8 Hz, 2H), 8.00 (d, J = 8.8 Hz, 2H). 13C-NMR (101 MHz, DMSO-d6) δ 143.56 (CH), 138.89 (C), 134.24 (CH), 130.34 (CH), 118.24 (CH), 113.65 (C), 93.07 (C), 51.03 (CH). LC-MS (MeCN) Rt = 1.67 min [M − H] = 212.2. HRMS C11H6N3O2 calc. 212.0460, found 212.0456, (Δ = −1.9 ppm).
1-(4-Fluorophenyl)-1H-pyrazole-4-carbonitrile (2v): [22,23] Starting material 1v was prepared following the procedure of Smith et al. [21]. The product was obtained via recrystallization from ethanol and water. Brown crystals, 77% yield. 1H-NMR (400 MHz, DMSO-d6) δ 9.28 (s, 1H), 8.33 (s, 1H), 8.00–7.73 (m, 2H), 7.52–7.16 (m, 2H). 13C-NMR (101 MHz, DMSO-d6) δ161.62 (C, d, J = 245.8 Hz), 143.96 (CH), 135.47 (C, d, J = 3.0 Hz), 134.75 (CH), 122.01 (CH, d, J = 9.0 Hz), 116.93 (CH, d, J = 23.8 Hz), 113.97 (C), 93.59 (C). 19F NMR (376 MHz, DMSO-d6) δ −114.22. GC-MS (MeCN) Rt = 0.30 min M+ = 187.1. HRMS C10H7N3F calc. 188.0624, found 188.0615, (Δ = −4.8 ppm).
1-(3-Chloro-4-fluorophenyl)-1H-pyrazole-4-carbonitrile (2w): Starting material 1w was prepared following the procedure of Smith et al. [21]. The product was obtained via recrystallization ethanol and water. Brown solid, 69% yield. 1H-NMR (400 MHz, DMSO-d6) δ 9.35 (s, 1H), 8.39 (s, 1H), 8.13 (dt, J = 6.3, 2.0 Hz, 1H), 7.98–7.76 (m, 1H), 7.64 (td, J = 9.0, 1.2 Hz, 1H)). 13C-NMR (101 MHz, DMSO-d6) δ 158.84 (C, d, J = 247.1 Hz), 144.32 (CH), 135.93 (C, d, J = 3.2 Hz), 135.26 (CH), 122.05 (CH), 121.09 (C, d, J = 19.3 Hz), 120.58 (CH, d, J = 8.0 Hz), 118.46 (CH, d, J = 22.4 Hz), 113.83 (C), 93.92 (C). 19F NMR (376 MHz, DMSO-d6) δ −117.41. ASAP-MS (MeCN) Rt = 0.30 min [M + H]+ = 222.0. HRMS C10H6Cl2FN3 calc. 222.0234, found 222.0228, (Δ = −2.7 ppm).
5-Amino-1-(6-methyl-4-(trifluoromethyl)pyridin-2-yl)-1H-pyrazole-4-carbonitrile (1x): Starting material 1x was prepared following the procedure of Smith et al. [21]. 1H-NMR (400 MHz, DMSO-d6) δ 8.09 (s, 2H), 8.01–7.87 (m, 1H), 7.87–7.75 (m, 1H), 7.59 (s, 1H), 2.64 (s, 3H). 13C-NMR (101 MHz, DMSO-d6) δ 159.72 (C), 153.73 (C), 153.58 (C), 143.73 (CH), 140.25 (C, q, J = 33.9 Hz), 122.90 (C, q, J = 273.5 Hz), 116.23 (CH, q, J = 3.2 Hz), 114.65 (C), 106.40 (CH, q, J = 3.2 Hz), 73.92 (C), 24.09 (CH3). 19F NMR (376 MHz, DMSO-d6) δ 63.81. LC-MS (MeCN) Rt = 2.22 min [M + H]+ = 269.2.
1-(6-Methyl-4-(trifluoromethyl)pyridin-2-yl)-1H-pyrazole-4-carbonitrile (2x): Recrystallised from ethanol and water as rose coloured needles in 76% yield. 1H-NMR (400 MHz, DMSO-d6) δ 9.43 (s, 1H), 8.47 (s, 1H), 7.95 (s, 1H), 7.78 (s, 1H), 2.65 (s, 3H). 13C-NMR (101 MHz, DMSO-d6) δ 160.98 (C), 150.29 (C), 145.27 (CH), 140.48 (C, q, J = 34.6 Hz), 134.47 (CH), 122.84 (C, q, J = 273.5 Hz), 119.01 (CH, q, J = 3.4 Hz), 113.62 (C), 106.15 (CH, q, J = 4.0 Hz), 94.81 (C), 24.30 (CH3). 19F NMR (376 MHz, DMSO-d6) δ −63.60. LC-MS (MeCN) Rt = 4.44 min M+ = 252.1. HRMS C11H8N4F3 calc. 253.0701, found 253.0702, (Δ = 0.4 ppm).
4-(4-Fluorophenyl)-6-phenylpyrimidin-2-amine (1y): Starting material 1y was prepared following the procedure of Baxendale et al. [24]. Recrystallised from ethanol and obtained as yellow crystals, 59% yield. 1H-NMR (400 MHz, DMSO-d6) δ 8.29–8.26 (m, 2H), 8.17–8.15 (m, 2H), 7.67–7.58 (m, 4H), 7.47–7.42 (m, 2H). 13C-NMR (101 MHz, DMSO-d6) δ 165.81 (C), 164.50 (C, d, J = 29.7 Hz), 163.32 (C), 157.53 (C), 133.17 (C), 132.22 (CH), 130.68 (CH, d, J = 9.2 Hz), 130.24 (CH), 128.95 (CH), 127.98 (CH), 116.10 (CH, d, J = 21.9 Hz), 100.81 (CH), 30.69 (CH). 19F NMR (376 MHz, DMSO-d6) δ −107.72. ASAP-MS (MeCN) Rt = 0.36 min [M + H]+ = 267.1. Product 4-(4-fluorophenyl)-6-phenylpyrimidine (2y) was consistent with the literature data [25]. LC-MS (MeCN) Rt = 1.96 min [M + H]+ = 251.3. HRMS C16H12N2F calc. 251.0985, found 251.0982, (Δ = −1.2 ppm).
1-Phenyl-6-(1-phenyl-1H-pyrazol-4-yl)-1H-pyrazolo[3,4-d]pyrimidin-4-amine (2z): Starting material 1z was prepared following the procedure of Smith et al. [21]. Eluent: hexane/ethyl acetate (4:1)(1:4). Orange solid, 30% yield. 1H-NMR (400 MHz, DMSO-d6) δ 13C-NMR (101 MHz, DMSO-d6) δ 158.24, 154.27, 148.34, 141.13, 139.40, 139.28, 134.19, 129.59, 129.32, 129.24, 128.41, 128.07, 126.76, 125.73, 125.35, 123.34, 120.28, 118.81, 100.03. LC-MS (MeCN) Rt = 2.76 min [M + H]+ = 352.3. HRMS C22H19N5 calc. 354.1470, found 354.1476, (Δ = 1.7 ppm).
1-Phenyl-1H-1,2,3-triazole-4-carbonitrile (2aa): [26] Starting material 1aa was prepared following the procedure of Smith et al. [27]. The product was obtained by recrystallization from ethanol and water. Orange solid, 65% yield. 1H-NMR (400 MHz, DMSO-d6) δ 8.51 (s, 1H), 7.77–7.74 (m, 2H), 7.64–7.55 (m, 3H). 13C-NMR (101 MHz, DMSO-d6) δ 135.74 (C), 130.21 (CH), 127.59 (CH), 121.96 (C), 120.99 (CH), 111.21 (C).
1-(p-Tolyl)-1H-1,2,3-triazole-4-carbonitrile (2ab): [28] Starting material 1ab was prepared following the procedure of Smith et al. [27]. The product was obtained by recrystallization from ethanol and water. Brown solid, 71% yield. 1H-NMR (400 MHz, DMSO-d6) δ 9.69 (s, 1H), 7.80 (app. d, J = 8.5 Hz, 2H), 7.45 (app. d, J = 8.5 Hz, 2H), 2.40 (s, 3H). 13C-NMR (101 MHz, DMSO-d6) δ 140.22 (C), 133.82 (C), 130.89 (C), 130.85 (CH), 121.22 (CH), 120.80 (C), 112.52 (C), 21.11 (CH3). ASAP-MS (MeCN) Rt = 0.47 min [M + H]+ = 185.1. HRMS C10H9N4 calc. 185.0827, found 185.0830, (Δ = 1.6 ppm).
1-(4-Nitrophenyl)-1H-1,2,3-triazole-4-carbonitrile (2ac): Starting material 1ac was prepared following the procedure of Smith et al. [27]. The product was obtained by recrystallization from ethanol and water as a brown solid in 81% yield. 1H-NMR (400 MHz, DMSO-d6) δ 9.94 (s, 1H), 8.51 (d, J = 8.7 Hz, 2H), 8.23 (d, J = 8.7 Hz, 2H). 13C-NMR (101 MHz, DMSO-d6) δ 148.03 (C), 140.27 (C), 131.81 (CH), 126.08 (CH), 122.21 (CH), 121.35 (C), 112.19 (C). ASAP-MS (MeCN) Rt = 0.75 min [M + H]+ = 216.1. HRMS C9H6N5O2 calc. 216.0521, found 216.0521, (Δ = 0.0 ppm).
2-(2-Pyridinyl)-quinoline (2ad): [29] Starting material 1z was prepared following the procedure of Smith et al. [30]. The product was obtained by elution with hexane/ethyl acetate (100:1)(10:1) as a white solid in 70% yield. 1H-NMR (400 MHz, CDCl3) δ 8.75 (ddd, J = 4.8, 1.8, 1.0 Hz, 1H), 8.68 (dt, J = 8.0, 1.1 Hz, 1H), 8.58 (d, J = 8.6 Hz, 1H), 8.29 (dd, J = 8.6, 0.9 Hz, 1H), 8.21 (dq, J = 8.5, 0.9 Hz, 1H), 7.95–7.81 (m, 2H), 7.76 (ddd, J = 8.4, 6.9, 1.5 Hz, 1H), 7.57 (ddd, J = 8.1, 6.9, 1.2 Hz, 1H), 7.37 (ddd, J = 7.5, 4.8, 1.2 Hz, 1H). 13C-NMR (101 MHz, CDCl3) δ 156.17 (C, d, J = 16.0 Hz), 149.24 (CH), 147.96 (C), 137.13 (CH, d, J = 12.2 Hz), 129.72 (CH, d, J = 15.5 Hz), 128.37 (C), 127.74 (CH), 126.91 (CH), 124.18 (CH), 122.02 (CH), 119.09 (CH). ASAP-MS (MeCN) Rt = 0.59 min [M + H]+ = 207.1.
(2-Aminothiophen-3-yl)(phenyl)methanone (1ae): Starting material 1ae was prepared following the procedure of Mallia et al. [31] as tan needles in 99% yield by column chromatography using hexane/ethyl acetate (1:1). 1H-NMR (400 MHz, DMSO-d6) δ 8.37 (s, 2H), 7.64–7.55 (m, 2H), 7.55–7.41 (m, 3H), 6.74 (d, J = 5.9 Hz, 1H), 6.27 (d, J = 5.9 Hz, 1H). 13C-NMR (101 MHz, DMSO-d6) δ 189.62 (C), 167.83 (C), 141.38 (C), 130.92 (CH), 128.68 (CH), 128.14 (CH), 127.06 (CH), 113.37 (C), 106.66 (CH). LC-MS (MeCN) Rt = 2.20 min [M + H]+ = 204.2. HRMS C11H10NOS calc. 204.0483, found 204.0484, (Δ = 0.5 ppm).
Phenyl(thiophen-3-yl)methanone (2ae): [32] Eluent: hexane/ethyl acetate (1:1) as a tan coloured oil in 66% yield. 1H-NMR (400 MHz, DMSO-d6) δ 8.21 (dd, J = 2.8, 1.3 Hz, 1H), 7.83–7.77 (m, 2H), 7.71 (dd, J = 5.0, 2.8 Hz, 1H), 7.69–7.62 (m, 1H), 7.59–7.50 (m, 3H). 13C-NMR (101 MHz, DMSO-d6) δ 189.57 (C), 140.87 (C), 138.56 (C), 135.73 (CH), 132.91 (CH), 129.50 (CH), 129.05 (CH), 128.50 (CH), 128.05 (CH). LC-MS (MeCN) Rt = 2.41 min [M + H]+ = 189.2. HRMS C11H9OS calc. 189.0374, found 189.0377, (Δ = 1.6 ppm).
(2-Aminothiophen-3-yl)(4-methoxyphenyl)methanone (1af): Starting material 1xx was prepared following the procedure of Mallia et al. [31] as tan needles in 99% yield by column chromatography using hexane/ethyl acetate (1:1). 1H-NMR (400 MHz, DMSO-d6) δ 8.25 (s, 2H), 7.60 (d, J = 8.25 Hz, 2H), 7.02 (d, J = 8.25 Hz, 2H), 6.81 (d, J = 5.9 Hz, 1H), 6.27 (d, J = 5.9 Hz, 1H), 3.82 (s, 3H). 13C-NMR (101 MHz, DMSO-d6) δ 188.72 (C), 167.35 (C), 161.61 (C), 133.73 (C), 130.38 (CH), 127.16 (CH), 113.93 (CH), 113.40 (C), 106.43 (CH), 55.78 (CH3). LC-MS (MeCN) Rt = 2.20 min [M + H]+ = 234.2. HRMS C12H12NO2S calc. 234.0589, found 234.0594, (Δ = 2.1 ppm).
(4-Methoxyphenyl)(thiophen-3-yl)methanone (2af): [33] Eluent: hexane/ethyl acetate (4:1). Yellow crystals, 69% yield. 1H-NMR (400 MHz, DMSO-d6) δ 8.18 (dd, J = 2.8, 1.3 Hz, 1H), 7.86–7.77 (m, 2H), 7.70 (dd, J = 5.1, 2.8 Hz, 1H), 7.50 (dd, J = 5.1, 1.3 Hz, 1H), 7.14–7.02 (m, 2H), 3.86 (s, 3H). 13C-NMR (101 MHz, DMSO-d6) δ 188.26 (C), 163.27 (C), 141.15 (C), 134.32 (CH), 132.01 (CH), 130.92 (C), 128.63 (CH), 127.74 (CH), 114.35 (CH), 55.99 (CH3). LC-MS (MeCN) Rt = 2.41 min [M + H]+ = 219.4 HRMS C12H10O2S calc. 219.0480, found 219.0486, (Δ = 2.7 ppm).
4-(3-chlorophenyl)thiazol-2-amine (1ag): Prepared following the procedure of Potopnyk et al. [34]. Recrystallised from acetone to yield a white solid, 90% yield. 1H-NMR (400 MHz, DMSO-d6) δ 7.85 (t, J = 2.0 Hz, 1H), 7.72 (dt, J = 7.3, 1.7 Hz, 1H), 7.56–7.44 (m, 2H), 7.40 (s, 1H). 13C-NMR (101 MHz, DMSO-d6) δ 170.49 (C), 139.07 (C), 134.19 (C), 131.74 (CH), 131.33 (C), 129.39 (CH), 125.98 (CH), 124.94 (C), 104.93 (CH). LC-MS (MeCN) Rt = 1.25 min [M + H]+ = 211.0. HRMS C9H7ClN2S calc. 211.0097, found 211.0111, (Δ = 6.6 ppm).
4-(3-chlorophenyl)thiazole (2ag): Isolated as an inseparable mixture of the product and a secondary species in a ratio of 1:0.33 (2ag:by-product) equating to 45% of the desired product.
4-(3-bromophenyl)thiazol-2-amine (1ah): Prepared following the procedure of Potopnyk et al. [34]. Recrystallised from acetone to yield a white solid. White crystals, 88% yield. 1H-NMR (400 MHz, DMSO-d6) δ 9.04 (s, 2H), 7.97 (t, J = 1.8 Hz, 1H), 7.76 (dt, J = 7.7, 1.2 Hz, 1H), 7.61 (dt, J = 7.7, 1.8 Hz, 1H), 7.52–7.29 (m, 2H). 13C-NMR (101 MHz, DMSO-d6) δ 170.53 (C), 138.41 (C), 132.38 (CH), 131.65 (C), 131.57 (CH), 128.75 (CH), 125.31 (CH), 122.74 (C), 105.01 (CH). LC-MS (MeCN) Rt = 2.06 min [M + H]+ = 257.4. HRMS C9H879BrN2S calc. 254.9592, found 254.9603, (Δ = 4.3 ppm, mDa 1.1).
4-(3-Bromophenyl)thiazole (2ah): Isolated in 51% using Hexane/EtOAc 1:1. 1H-NMR (400 MHz, CDCl3) δ 8.91 (d, J = 2.0 Hz, 1H), 8.13 (t, J = 1.8 Hz, 1H), 7.88 (ddd, J = 8.0, 1.7, 1.0 Hz, 1H), 7.59 (d, J = 2.0 Hz, 1H), 7.50 (ddd, J = 8.0, 2.0, 1.1 Hz, 1H), 7.35–7.30 (m, 1H).LC-MS Rt 2.64 found 240.1; HRMS found 239.9501 for C9H7NS79Br calc. 239.9483 (7.5 ppm, mDa 1.8).
4-(4-Trifluorophenyl)thiazol-2-amine (1ai): Prepared following the procedure of Potopnyk et al. [34]/ Recrystallised from acetone to yield a white solid, 78% yield 1H-NMR (400 MHz, DMSO-d6) δ 7.99 (m, 2H), 7.82 (m, 2H), 7.46 (s, 1H). 13C-NMR (101 MHz, DMSO-d6) δ 170.61 (C), 139.09 (C), 133.46 (C), 129.46 (C, q, J = 32.3 Hz), 126.95 (CH), 126.33 (CH, q, J = 3.8 Hz), 124.48 (C, q, J = 272.4 Hz), 106.10 (CH). 19F NMR (376 MHz, DMSO) δ −61.26.
4-(4-Trifluorophenyl)thiazole (2ai): Isolated in 43% using Hexane/EtOAc 1:1. 1H-NMR (400 MHz, CDCl3) δ 8.94 (d, J = 2.0 Hz, 1H), 8.07 (app. dp, J = 7.7, 0.9 Hz, 2H), 7.77–7.62 (m, 3H). 13C-NMR (101 MHz, CDCl3) δ 154.90 (C), 153.33 (CH), 137.38 (C), 130.08 (C, q, J = 31.8 Hz), 128.80 (C), 126.65 (CH), 125.83 (CH, q, J = 3.8 Hz), 124.13 (C, q, J = 273 Hz), 114.44 (CH). LC-MS Rt 2.71 found 230.1 [M + H] 271.1 [MH + MeCN], HRMS found 230.0253 for C10H7NSF3 calc. 230.0251 (0.9 ppm).
5-Amino-1-(2,6-difluorobenzyl)-1H-1,2,3-triazole-4-carbonitrile (1aj): Prepared following the procedure of Brand et al. [35] in 77% yield following recrystallization from ethanol as a red solid. 1H-NMR (400 MHz, DMSO-d6) δ 7.51 (m, 1H), 7.26 (s, 2H), 7.21–7.10 (m, 2H), 5.40 (d, J = 1.1 Hz, 2H). 13C-NMR (101 MHz, DMSO-d6) δ 161.17 (C, dd, J = 249.3, 8.2 Hz), 148.59 (C), 132.04 (CH, t, J = 10.7 Hz), 114.02 (C), 112.31 (CH, app. dd, J = 24.9, 5.8 Hz), 101.34 (C), 37.89 (CH2). 19F NMR (376 MHz, DMSO-d6) δ −114.54. ASAP-MS (MeCN) Rt = 0.44 min [M + H]+ = 236.1. HRMS C10H8N5F2 calc. 236.0748, found 236.0755, (Δ = 3.0 ppm).
1-(2,6-Difluorobenzyl)-1H-1,2,3-triazole-4-carbonitrile (2aj): [36] Recrystallised from ethanol and water as a red solid in 73% yield. 1H-NMR (400 MHz, DMSO-d6) δ 9.18 (s, 1H), 7.54 (tt, J = 8.5, 6.7 Hz, 1H), 7.33–7.07 (m, 2H), 6.02 – 5.52 (m, 2H). 13C-NMR (101 MHz, DMSO-d6) δ 162.1.2 (C, dd, J = 249.5, 6.7 Hz), 132.94, (CH), 132.62 (CH, t, J = 10.6 Hz), 120.12 (C), 112.51 (C), 112.46 (CH, m), 110.80 (C, t, J = 19.1 Hz), 42.33 (CH2). 19F NMR (376 MHz, DMSO-d6) δ −114.42. LC-MS (MeCN) Rt = 1.93 min [M + H]+ = 221.1. HRMS C10H7N4F2 calc. 221.0639, found 221.0643, (Δ = 1.8 ppm).
Methyl 5-amino-1-(phenylmethyl)-1H-1,2,3-triazole-4-carboxylate (1ak): Eluent: hexane/ethyl acetate (25: 1). Prepared from the following procedure: benzyl bromide (20 mmol) and sodium azide (30 mmol) in acetone (5 mL) and water (2 mL) were stirred with sodium hydroxide (30 mmol) at ambient temperature for 24 h. The resulting mixture was concentrated under reduced pressure and then ethyl acetate (10 mL) and water (10 mL) were added. Following phase separation, the organic phase was concentrated under reduce pressure to give benzyl azide. The benzyl azide and cyanoacetic acid (20 mmol) was dissolved in dimethyl formamide (5 mL) and water (2 mL) and heated at 120 °C for 48 h. To the resultant mixture was added ethyl acetate (10 mL) and water (10 mL). Following phase-separation, the organic phase was concentrated under reduced pressure, to give a brown oil, which was twice purified by column chromatography to give the desired product as a pale powder in 8% yield. 1H-NMR (400 MHz, CDCl3) δ 7.49 (m, 2H), 7.16 (m, 3H), 4.56 (s, 2H), 3.84 (s, 3H). LC-MS (MeOH) Rt = 0.56 min [M + H]+ = 232.2.
Ethyl oxazole-4-carboxylate (2am): 1H-NMR (400 MHz, CDCl3) δ 8.27 (d, J = 1.1 Hz, 1H), 7.94 (d, J = 1.1 Hz, 1H), 4.39 (q, J = 7.1 Hz, 2H), 1.38 (t, J = 7.1 Hz, 3H). 13C-NMR (101 MHz, CDCl3) δ 160.95 (C), 151.40 (CH), 144.01 (CH), 133.33 (C), 61.31 (CH2), 14.24 (CH3). EI GC polar compounds (MeCN) Rt = 3.20 min M+ = 141.1. HRMS C6H8NO3 calc. 142.050419, found 142.050416 (Δ = 1.7 ppm).
1-Chloro-4-phenoxybenzene (2al): 1H-NMR (400 MHz, CDCl3) δ 7.46–7.35 (m, 1H), 7.27–7.17 (m, 1H), 7.10–6.98 (m, 1H). 13C-NMR (101 MHz, CDCl3) δ 155.04, 146.68, 130.32, 128.47, 126.89, 125.14, 119.40, 118.17. LC-MS (MeOH) Rt = 1.21 min [M + H]+ = 205.0.
6-methyl-[1,2,4]triazolo[1,5-a]pyridin-2-amine (1an) was prepared according to the general procedure of Verček et al. [37]. N-Ethoxycarbonyl-N’-(5-methyl-2-pyridinyl)thiourea: 1H-NMR (400 MHz, DMSO-d6) δ 12.11 (s, 1H), 11.43 (s, 1H), 8.57 (s, 1H), 8.32–8.02 (m, 1H), 7.69 (ddd, J = 8.5, 2.4, 0.8 Hz, 1H), 4.22 (q, J = 7.1 Hz, 2H), 2.28 (s, 3H), 1.26 (t, J = 7.1 Hz, 3H). 13C-NMR (101 MHz, DMSO-d6) δ 177.57 (C), 153.97, 149.57, 148.54, 138.76, 130.85, 115.48, 62.63 (CH2), 17.81 (CH3), 14.57 (CH3). ESI-LC MeCN (TQD) Rt = 2.20 min, M+ = 241.3 HRMS C10H14N3O2S calc. 240.0807, found 240.0807 (Δ = 2.9 ppm). 6-Methyl-[1,2,4]triazolo[1,5-a]pyridin-2-amine (1an): 1H-NMR (400 MHz, DMSO-d6) δ 8.37 (s, 1H), 7.25 (d, J = 1.3 Hz, 2H), 5.90 (s, 2H), 2.25 (d, J = 1.1 Hz, 3H). 13C-NMR (101 MHz, DMSO-d6) δ 166.32 (C), 149.46 (C), 131.57 (CH), 126.16 (CH), 121.08 (C), 112.25 (CH), 17.60 (CH3). ESI-LC MeCN (TQD) Rt = 0.70 min, M+ = 149.6. HRMS C7H9N4 calc. 149.0827, found 149.0830 (Δ = 2.0 ppm).
2,6-Diethyl-5-methylpyrimidin-4-aminium acetate (1aq): Starting material synthesized following the procedure Baxendale et al. [38]. Salt formed by addition of 1 equivalent of acetic acid and the material recrystallized from ethanol as white crystals in 60% yield. 1H-NMR (400 MHz, DMSO-d6) δ 13.37 (s, 1H), 8.79 (s, 1H), 8.19 (s, 1H), 2.72 (m, J = 7.6 Hz, 4H), 2.03 (s, 3H), 1.24 (t, J = 7.6 Hz, 3H), 1.16 (t, J = 7.6 Hz, 3H). 13C-NMR (101 MHz, DMSO-d6) δ 165.06 (C), 163.58 (C), 155.76 (C), 108.63 (C), 27.83 (CH2), 23.79 (CH2), 13.00 (CH3), 11.69 (CH3), 10.85 (CH3). ASAP-MS (MeCN) Rt = 0.34 min M+ = 166.1. HRMS C9H16N3 calc. 166.1344, found 166.1344, (Δ = 0.0 ppm).

5. Conclusions

In summary, we have developed a simple method for the replacement of heteroaromatic primary amino groups with hydrogen. Heteroaryl amines that are often challenging, undergo deamination in good yields in a single, simple reactor. A range of functional groups are tolerated under the optimised conditions, making use of the improved mixing and heat dissipation that working in flow has to offer. The method has allowed certain structures that are particularly challenging to be deaminated in a homogeneous organic system for the first time. The yields for the deamination of simple anilines are comparable to existing methods, but advantages in terms of reaction time and the ease of the process should be noted. This protocol would inspire further application of continuous flow towards improved yields, incorporating radical catalysts and in-line purifications.

Supplementary Materials

The following are available online: NMR spectra of products where an isolated yield is reported and for starting materials that were not commercially available, hence we have synthesised ourselves.

Author Contributions

The performing of experiments, investigation, visualization and methodology was performed by L.R., I.R.B. and A.J.N. assisted in the methodology, formal analysis, data curation and in writing of the original draft. The conceptualization, supervision, funding acquisition, project administration and reviewing/editing of the script was led by I.R.B.

Funding

We gratefully acknowledge generous support from the ERASMUS+ mobility program and Bischöfliche Studienförderung Cusanuswerk (LR).

Conflicts of Interest

The authors declare no conflict of interest. The funders had no role in the design of the study; in the collection, analyses, or interpretation of data; in the writing of the manuscript, or in the decision to publish the results.

References

  1. Jiang, H.; Yu, W.; Tang, X.; Li, J.; Wu, W. Copper-Catalyzed Aerobic Oxidative Regioselective Thiocyanation of Aromatics and Heteroaromatics. J. Org. Chem. 2017, 82, 9312–9320. [Google Scholar] [CrossRef] [PubMed]
  2. Richter, E.; Loeffler, J.E.; Taylor, E.C. Studies in Purine Chemistry. VIII. A Convenient Synthesis of Hypoxanthines and Adenines. J. Am. Chem. Soc. 1960, 82, 3144–3146. [Google Scholar] [CrossRef]
  3. Meerwein, H.; Allendörfer, H.; Beekmann, P.; Kunert, F.; Morschel, H.; Pawellek, F.; Wunderlich, K. Über die Reduktion aromatischer Diazoverbindungen mit äthern, 1.3-Dioxolanen und tertiären Aminen. Angew. Chemie 1958, 70, 211–215. [Google Scholar] [CrossRef]
  4. Wassmundt, F.W.; Kiesman, W.F. Detection of Aryl Radicals in Hydrodediazoniations. J. Org. Chem. 1997, 62, 8304–8308. [Google Scholar] [CrossRef] [PubMed]
  5. Cadogan, J.I.G.; Molina, G.A. A simple and convenient deamination of aromatic amines. J. Chem. Soc. Perkin Trans. 1 1973, 541. [Google Scholar] [CrossRef]
  6. Perretti, M.D.; Monzón, D.M.; Crisóstomo, F.P.; Martín, V.S.; Carrillo, R. Radical C-H arylations of (hetero)arenes catalysed by gallic acid. Chem. Commun. 2016, 52, 9036–9039. [Google Scholar] [CrossRef] [PubMed]
  7. Felipe-Blanco, D.; Alonso, F.; Gonzalez-Gomez, J.C. Salicylic Acid-Catalyzed One-Pot Hydrodeamination of Aromatic Amines by tert-Butyl Nitrite in THF. Adv. Synth. Catal. 2017, 359, 2857–2863. [Google Scholar] [CrossRef]
  8. Watts, P. The Application of Flow Chemistry in the Use of Highly Reactive Intermediates and Reagents in Sustainable Flow Chemistry: Methods and Applications; Chapter 8; Luigi, V., Ed.; WILEY-VCH Verlag GmbH & Co.: Hoboken, NJ, USA, 2017; ISBN 9783527338528. [Google Scholar]
  9. Porta, R.; Benaglia, M.; Puglisi, A. Flow Chemistry: Recent Developments in the Synthesis of Pharmaceutical Products. Org. Process Res. Dev. 2016, 20, 2–25. [Google Scholar] [CrossRef]
  10. Hafner, A.; Ley, S.V. Generation of Reactive Ketenes under Flow Conditions through Zinc-Mediated Dehalogenation. Synlett 2015, 26, 1470–1474. [Google Scholar] [CrossRef]
  11. Nitelet, A.; Lebel, H.; Charette, A.B.; Evano, G. Continuous Flow Chloration of Alkenyl Iodides Promoted by Copper Tubing. Synthesis 2019, 51, 251–257. [Google Scholar]
  12. Audubert, C.; Lebel, H. Mild Esterification of Carboxylic Acids via Continuous Flow Diazotization of Amines. Org. Lett. 2017, 19, 4407–4410. [Google Scholar] [CrossRef]
  13. Hu, T.; Baxendale, I.R.; Baumann, M. Exploring Flow Procedures for Diazonium Formation. Molecules 2016, 21, 918. [Google Scholar] [CrossRef]
  14. Laudadio, G.; Barmpoutsis, E.; Schotten, C.; Struik, L.; Govearts, S.; Browne, D.L.; Noël, T. Sulfonamide Synthesis through Electrochemical Oxidative Coupling of Amines and Thiols. J. Am. Chem. Soc. 2019. [Google Scholar] [CrossRef] [PubMed]
  15. Wegner, J.; Ceylan, S.; Kirschning, A. Ten key issues in modern flow chemistry. Chem. Commun. 2011, 47, 4583–4592. [Google Scholar] [CrossRef]
  16. Rossetti, I.; Compagnoni, M. Chemical reaction engineering, process design and scale-up issues at the frontier of synthesis: Flow chemistry. Chem. Eng. J. 2016, 296, 56–70. [Google Scholar] [CrossRef]
  17. Williams, D.L.H. Nitrosation Reactions and the Chemistry of Nitric Oxide, 1st ed.; Elsevier, B.V: Bodmin, UK, 2004. [Google Scholar]
  18. Harris, M.G.; Stewart, R. Amino group acidity in aminopyridines and aminopyrimidines. Can. J. Chem. 1977, 55, 3800–3806. [Google Scholar] [CrossRef]
  19. Mullick, P.; Khan, S.A.; Verma, S.; Alam, O. Synthesis, characterization and antimicrobial activity of new thiadiazole derivatives. Bull. Korean Chem. Soc. 2010, 31, 2345–2350. [Google Scholar] [CrossRef][Green Version]
  20. Ioannidis, S.; Talbot, A.C.; Follows, B.; Buckmelter, A.J.; Wang, M.; Campbell, A.-M.; Schmidt, D.R.; Guerin, D.J.; Caravella, J.A.; Diebold, R.B.; et al. Preparation of Pyrrolo and Pyrazolopyrimidines as Ubiquitin-Specific Protease 7 Inhibitors. US patent 20160185785 A1, 30 June 2016. [Google Scholar]
  21. Smith, C.J.; Iglesias-Sigüenza, J.; Baxendale, I.R.; Ley, S.V. Batch and Flow Mode Focused Microwave Synthesis of 5-Amino-4-cyanopyrazoles and their Further Conversion to 4-amino-pyrazolopyrimidines. Org. Biomol. Chem. 2007, 5, 2758–2761. [Google Scholar] [CrossRef] [PubMed]
  22. Dos Santos, M.S.; Bernardino, A.M.R.; Pinheiro, L.C.S.; Canto-Cavalheiro, M.M.; Leon, L.L. An efficient synthesis of new 5-(1-aryl-1H-pyrazol-4-yl)-1H-tetrazoles from 1-aryl-1H-pyrazole-4-carbonitriles via [3+2] cycloaddition reaction. J. Het. Chem. 2012, 49, 1425–1428. [Google Scholar] [CrossRef]
  23. De Oliveira, L.P.; Bueno da Silva, D.P.; Florentino, I.F.; Fajemiroye, J.O.; Sardinha de Oliveira, T.; Marcelino, I.R.A.; Pazini, F.; Lião, L.M.; Ghedini, P.C.; Santana de Moura, S.; et al. New pyrazole derivative 5-[1-(4-fluorophenyl)-1H-pyrazol-4-yl]-2H-tetrazole: Synthesis and assessment of some biological activities. Chem. Biol. Drug Des. 2017, 89, 124–135. [Google Scholar] [CrossRef]
  24. Baxendale, I.R.; Schou, S.C.; Sedelmeier, J.; Ley, S.V. Multi-Step Synthesis by Using Modular Flow Reactors: The Preparation of Yne-ones and their use in Heterocycle Synthesis. Chem. Eur. J. 2010, 16, 89–94. [Google Scholar] [CrossRef] [PubMed]
  25. Ashikawa, M.; Kabetani, G.; Nishiyama, T. Diphenylpyrimidine Compounds, Erythropoietin Production Promoters Containing Them, and Pharmaceutical Compositions Containing Them. Patent JP 2011084480, 28 April 2011. [Google Scholar]
  26. L’abbé, G.; Bruynseels, M.; Delbeke, P.; Toppet, S. Molecular rearrangements of 4-iminomethyl-1,2,3-triazoles. Replacement of 1-aryl substituents in 1H-1,2,3-triazole-4-carbaldehydes. J. Het. Chem. 1990, 27, 2021–2027. [Google Scholar] [CrossRef]
  27. Smith, C.J.; Nikbin, N.; Ley, S.V.; Lange, H.; Baxendale, I.R. A fully automated, multistep flow synthesis of 5-amino-4-cyano-1,2,3-triazoles. Org. Biomol. Chem. 2011, 9, 1938–1947. [Google Scholar] [CrossRef]
  28. Derdour, A.; Benabdallah, T.; Merah, B.; Texier, F. Aryl azide additions to α- and β-aminoacrylonitriles: Synthesis of 5-amino- and 4-cyano-1,2,3-triazoles. Kinetics study of the cycloaddition. Bulletin de la Societe Chimique de France 1990, 1, 69–78. [Google Scholar]
  29. Li, A.-H.; Beard, D.J.; Coate, H.; Honda, A.; Kadalbajoo, M.; Kleinberg, A.; Laufer, R.; Mulvihill, K.M.; Nigro, A.; Rastogi, P.; et al. One-pot Friedlander quinoline synthesis: Scope and limitations. Synthesis 2010, 10, 1678–1686. [Google Scholar] [CrossRef]
  30. Smith, C.D.; Baxendale, I.R.; Tranmer, G.K.; Baumann, M.; Smith, S.C.; Russell, A.; Lewthwaite, R.A.; Ley, S.V. Tagged Phosphine Reagents to Assist Reaction Work-up by Phase-Switched Scavenging Using a Modular Flow Reactor Process. Org. Biomol. Chem. 2007, 5, 1562–1568. [Google Scholar] [CrossRef]
  31. Mallia, C.J.; Englert, L.; Walter, G.C.; Baxendale, I.R. Thiazole Formation Through a Modified Gewald Reaction. Beilstein, J. Org. Chem. 2015, 11, 875–883. [Google Scholar] [CrossRef]
  32. Li, H.; Yang, M.; Qi, Y.; Xue, J. Ligand-Free Pd-Catalyzed Carbonylative Cross-Coupling Reactions under Atmospheric Pressure of Carbon Monoxide: Synthesis of Aryl Ketones and Heteroaromatic Ketones. Eur. J. Org. Chem. 2011, 14, 2662–2667. [Google Scholar] [CrossRef]
  33. Hartman, G.D.; Halczenko, W. Process for the synthesis of sulfonyl halides and sulfonamides from sulfonic acid salts. J. Het. Chem. 1989, 26, 1793–1798. [Google Scholar] [CrossRef]
  34. Potopnyk, M.A.; Lytvyn, R.; Danyliv, Y.; Ceborska, M.; Bezvikonnyi, O.; Volyniuk, D.; Graẑulevicius, J.V. N,O π-Conjugated 4 Substituted 1,3-Thiazole BF2 Complexes: Synthesis and Photophysical Properties. J. Org. Chem. 2018, 83, 1095–1105. [Google Scholar] [CrossRef]
  35. Brand, S.; Ko, E.J.; Viayna, E.; Thompson, S.; Spinks, D.; Thomas, M.; Sandberg, L.; Francisco, A.F.; Jayawardhana, S.; Smith, V.C.; et al. Discovery and Optimization of 5-Amino-1,2,3-triazole-4-carboxamide Series against Trypanosoma cruzi. J. Med. Chem. 2017, 60, 7284–7299. [Google Scholar] [CrossRef] [PubMed]
  36. Gonzalez-Calderon, D.; Aguirre-De Paz, J.G.; Gonzalez-Gonzalez, C.A.; Fuentes-Benites, A.; Gonzalez-Romero, C. A straightforward and versatile approach to the synthesis of 1,4,5-trisubstituted 1,2,3-triazoles from alkyl halides via a one-pot, three-component reaction. Tet. Lett. 2015, 56, 1713–1715. [Google Scholar] [CrossRef]
  37. Verček, B.; Ogorevc, B.; Stanovnik, B.; Stanovnik, B.; Tišler, M. Cyanoamino compounds in synthesis syntheses of some heterocycles. Monatsh. Chem. 1983, 114, 789–798. [Google Scholar] [CrossRef]
  38. Baxendale, I.R.; Ley, S.V. Formation of 4-Aminopyrimidines via the Trimerization of Nitriles using Focused Microwave Heating. J. Comb. Chem. 2005, 7, 483–489. [Google Scholar] [CrossRef] [PubMed]
Sample Availability: Samples of the compounds are available from the authors.
Figure 1. (a) The Vapourtech EasyMedChem system used to perform the experiments. (b) A diagram to show the general procedure of heterocyclic amine hydrodediazoniation.
Figure 1. (a) The Vapourtech EasyMedChem system used to perform the experiments. (b) A diagram to show the general procedure of heterocyclic amine hydrodediazoniation.
Molecules 24 01996 g001
Scheme 1. The results from experiments using deuterated solvents, to show that the new hydrogen always comes from the alkyl tetrahydrofuran (THF) hydrogens and not acidic protons from the solvent.
Scheme 1. The results from experiments using deuterated solvents, to show that the new hydrogen always comes from the alkyl tetrahydrofuran (THF) hydrogens and not acidic protons from the solvent.
Molecules 24 01996 sch001
Figure 2. The postulated mechanism for the formation of the aryl radical and termination to the target hydrogenated product.
Figure 2. The postulated mechanism for the formation of the aryl radical and termination to the target hydrogenated product.
Molecules 24 01996 g002
Figure 3. A potential explanation as to why some substrates react more effectively under the presented procedure than others.
Figure 3. A potential explanation as to why some substrates react more effectively under the presented procedure than others.
Molecules 24 01996 g003
Table 1. Conversion of methyl 2-aminothiophene-3-carboxylate (1r) to methyl thiophene-3-carboxylate (2r) in a range of different solvents.
Table 1. Conversion of methyl 2-aminothiophene-3-carboxylate (1r) to methyl thiophene-3-carboxylate (2r) in a range of different solvents.
Molecules 24 01996 i001
SolventConversion to Product (%)
THF47
1,4-dioxane34
1,2-dimethoxyethane16
diethyl ether24
cyclohexaneNot possible
polyethylene glycol<3
butanol<3
propan-2-ol13
ethanol<3
methanol8
ethyl acetate<3
All experiments were performed on: methyl 2-aminothiophene-3-carboxylate (1.0 mmol) in the stated solvent (10 mL), iso-pentyl nitrite (1.2 mmol) in the stated solvent (10 mL), both flowing at 0.25 mL min−1 through a 10.0 mL coil reactor maintained at 90 °C (residence time: 20 min). The conversions were calculated by integration of product 1H-NMR peaks relative to a quantified internal standard of nitrobenzene. THF—tetrahydrofuran.
Table 2. Conversion of methyl 2-aminothiazole-5-carboxylate (1a) to methyl thiazole-5-carboxylate (2a) at various temperatures in THF.
Table 2. Conversion of methyl 2-aminothiazole-5-carboxylate (1a) to methyl thiazole-5-carboxylate (2a) at various temperatures in THF.
Molecules 24 01996 i002
Temperature / °CConversion to Product (%)
250
4021
5049
6050
7053
8055
9061
10065
11071
12088
All experiments were: methyl 2-aminothiazole-5-carboxylate (1.0 mmol) in THF (10 mL), iso-pentyl nitrite (1.2 mmol) in THF (10 mL), both flowing at 0.25 mL min−1 through a 10.0 mL coil reactor at the stated temperature, (residence time: 20 min). The conversions were calculated by integration of product 1H-NMR peaks relative to a quantified internal standard of nitrobenzene. The reported value is the average of at least three repeat runs.
Table 3. Conversion of methyl 2-aminothiazole-5-carboxylate (1a) to methyl thiazole-5-carboxylate (2a) at various temperatures in 1,4-dioxane.
Table 3. Conversion of methyl 2-aminothiazole-5-carboxylate (1a) to methyl thiazole-5-carboxylate (2a) at various temperatures in 1,4-dioxane.
Molecules 24 01996 i003
Temperature/°CConversion to Product (%)
250
4023
6047
8060
10063
12083
14080
16058
All experiments were: methyl 2-aminothiazole-5-carboxylate (1.0 mmol) in 1,4-dioxane (10 mL), iso-pentyl nitrite (1.2 mmol) in 1,4-dioxane (10 mL), both flowing at 0.25 mL min−1 through a 10.0 mL coil reactor at the stated temperature, (residence time: 20 min). The conversions were calculated by integration of product 1H-NMR peaks relative to a quantified internal standard of nitrobenzene. The reported value is the average of at least three repeat runs.
Table 4. Conversion of methyl 2-aminothiazole-5-carboxylate (1a) to methyl thiazole-5-carboxylate (2a) at various temperatures and reactor coil sizes in THF.
Table 4. Conversion of methyl 2-aminothiazole-5-carboxylate (1a) to methyl thiazole-5-carboxylate (2a) at various temperatures and reactor coil sizes in THF.
Molecules 24 01996 i004
Coil Volume/mLResidence Time/minTemperature/°CConversion (%)
5 6041
109055
12073
6050
10209061
12088
6059
20409076
12087
All experiments were: methyl 2-aminothiazole-5-carboxylate (1.0 mmol) in THF (10 mL), iso-pentyl nitrite (1.2 mmol) in THF (10 mL), both flowing at 0.25 mL min−1 through the stated coil reactor (1 mm i.d.) at the stated temperature. The conversions were calculated by integration of product 1H-NMR peaks relative to a quantified internal standard of nitrobenzene.
Table 5. Conversion of 4-(5-amino-4-cyano-1H-pyrazol-1-yl)-benzoic acid (1u) to 4-(4-cyano-1H-pyrazol-1-yl)-benzoic acid (2u) with various quantities of gallic and salicylic acid.
Table 5. Conversion of 4-(5-amino-4-cyano-1H-pyrazol-1-yl)-benzoic acid (1u) to 4-(4-cyano-1H-pyrazol-1-yl)-benzoic acid (2u) with various quantities of gallic and salicylic acid.
Molecules 24 01996 i005
Catalyst Loading (mol%)Conversion (%) Gallic AcidConversion (%) Salicylic Acid
000
100
5331
102626
10a1822
202230
100021
All experiments were: 4-(5-amino-4-cyano-1H-pyrazol-1-yl)-benzoic acid (1.0 mmol) and the stated quantity of gallic acid or salicylic acid in THF and iso-pentyl nitrite (1.2 mmol) in THF (50 mL), flow rate 1.0 mL min−1, through a 10 mL coil reactor maintained at 70 °C, giving a residence time of 10 min. The conversions were calculated by integration of product 1H-NMR peaks relative to a quantified internal standard of nitrobenzene. aReaction performed at 120 °C.
Table 6. Flow hydrodediazoniation of aromatic amines.
Table 6. Flow hydrodediazoniation of aromatic amines.
Molecules 24 01996 i006
Molecules 24 01996 i007a
Molecules 24 01996 i007b
Starting material (1.0 mmol) in THF (10 mL), iso-pentyl nitrite (1.2 mmol) in THF (10 mL), 10 mL coil volume, 20 min residence time. a 20 mL of THF was used for both reagent solutions. b DMF (2 mL) was added to the starting material solution to improve solubility. c Concentrations of 0.5 mmol of starting material and 0.6 mmol of isopentyl nitrite. d Concentrations of 10.0 mmol of starting material and 12.0 mmol of isopentyl nitrite. Yield refers to pure, isolated and characterised yield. Detected refers to the conversion of starting material to product as quantified by integration of product 1H-NMR peaks relative to a quantified internal standard of nitrobenzene. No reaction refers to compounds for which there was no evidence of formation and only starting material was recovered.

Share and Cite

MDPI and ACS Style

Röder, L.; Nicholls, A.J.; Baxendale, I.R. Flow Hydrodediazoniation of Aromatic Heterocycles. Molecules 2019, 24, 1996. https://doi.org/10.3390/molecules24101996

AMA Style

Röder L, Nicholls AJ, Baxendale IR. Flow Hydrodediazoniation of Aromatic Heterocycles. Molecules. 2019; 24(10):1996. https://doi.org/10.3390/molecules24101996

Chicago/Turabian Style

Röder, Liesa, Alexander J. Nicholls, and Ian R. Baxendale. 2019. "Flow Hydrodediazoniation of Aromatic Heterocycles" Molecules 24, no. 10: 1996. https://doi.org/10.3390/molecules24101996

APA Style

Röder, L., Nicholls, A. J., & Baxendale, I. R. (2019). Flow Hydrodediazoniation of Aromatic Heterocycles. Molecules, 24(10), 1996. https://doi.org/10.3390/molecules24101996

Article Metrics

Back to TopTop