Synthesis and Spectroscopic Identification of Certain Imidazole-Semicarbazone Conjugates Bearing Benzodioxole Moieties: New Antifungal Agents
Abstract
1. Introduction
2. Results and Discussion
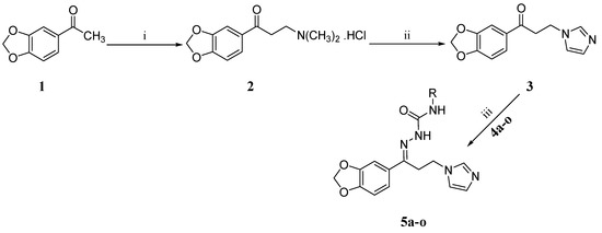
2.1. Chemistry
2.2. Crystal Structure of Compound 5e
2.3. Antifungal Activity of the Target Semicarbazones 5a–o
3. Experimental
3.1. General Information
3.2. Synthesis
3.2.1. General Procedure for the Synthesis of Semicarbazones 5a–n
3.2.2. Synthesis of (2E)-2-[1-(1,3-benzodioxol-5-yl)-3-(1H-imidazol-1-yl)propylidene]hydrazine Carboxamide (5o)
3.3. Crystal Structure Determination of Compound 5e
3.4. Antifungal Activity of the Title Semicarbazones 5a–o
4. Conclusions
Supplementary Materials
Author Contributions
Funding
Acknowledgments
Conflicts of Interest
References
- Groll, A.H.; Lumb, J. New developments in invasive fungal disease. Future Microbiol. 2012, 7, 179–184. [Google Scholar] [CrossRef]
- Crunkhorn, S. Fungal infection: Protecting from Candida albicans. Nat. Rev. Drug Discov. 2016, 15, 604. [Google Scholar] [CrossRef]
- Vandeputte, P.; Ferrari, S.; Coste, A.T. Antifungal resistance and new strategies to control fungal infections. Int. J. Microbiol. 2012, 2012, 713687. [Google Scholar] [CrossRef] [PubMed]
- Wu, J.; Ni, T.; Chai, X.; Wang, T.; Wang, H.; Chen, J.; Jin, Y.; Zhang, D.; Yu, S.; Jiang, Y. Molecular docking, design, synthesis and antifungal activity study of novel triazole derivatives. Eur. J. Med. Chem. 2018, 143, 1840–1846. [Google Scholar] [CrossRef] [PubMed]
- Jiang, Z.; Wang, Y.; Wang, W.; Wang, S.; Xu, B.; Fan, G.; Dong, G.; Liu, Y.; Yao, J.; Miao, Z. Discovery of highly potent triazole antifungal derivatives by heterocycle-benzene bioisosteric replacement. Eur. J. Med. Chem. 2013, 64, 16–22. [Google Scholar] [CrossRef] [PubMed]
- Gonzalez-Lara, M.F.; Sifuentes-Osornio, J.; Ostrosky-Zeichner, L. Drugs in clinical development for fungal infections. Drugs 2017, 77, 1505–1518. [Google Scholar] [CrossRef] [PubMed]
- Aoyama, Y.; Yoshida, Y.; Sato, R. Yeast cytochrome P-450 catalyzing lanosterol 14 α-demethylation. II. Lanosterol metabolism by purified P-450(14)DM and by intact microsomes. J. Biol. Chem. 1984, 259, 1661–1666. [Google Scholar] [PubMed]
- Aboul-Enein, M.N.; El-Azzouny, A.A.; Attia, M.I.; Saleh, O.A.; Kansoh, A.L. Synthesis and anti-Candida potential of certain novel 1-[(3-substituted-3-phenyl)propyl]-1H-imidazoles. Arch. Pharm. 2011, 344, 794–801. [Google Scholar] [CrossRef]
- Roman, G.; Mares, M.; Nastasa, V. A novel antifungal agent with broad spectrum: 1-(4-biphenylyl)-3-(1H-imidazol-1-yl)-1-propanone. Arch. Pharm. 2013, 346, 110–118. [Google Scholar] [CrossRef] [PubMed]
- Attia, M.I.; Radwan, A.A.; Zakaria, A.S.; Almutairi, M.S.; Ghoneim, S.W. 1-Aryl-3-(1H-imidazol-1-yl)propan-1-ol esters: Synthesis, anti-Candida potential and molecular modeling studies. Chem. Cent. J. 2013, 7, 168. [Google Scholar] [CrossRef] [PubMed]
- Chia, T.S.; Quah, C.K.; Ooi, C.W.; Garudachari, B.; Isloor, N.A.; Isloor, A.M.; Fun, H.-K. Syntheses, crystal structures and antimicrobial studies of two new semicarbazone derivatives. J. Chem. Cryst. 2014, 44, 51–56. [Google Scholar] [CrossRef]
- Venkatachalam, T.K.; Bernhardt, P.V.; Noble, C.J.; Fletcher, N.; Pierens, G.K.; Thurecht, K.J.; Reutens, D.C. Synthesis, characterization and biological activities of semicarbazones and their copper complexes. J. Inorg. Biochem. 2016, 162, 295–308. [Google Scholar] [CrossRef] [PubMed]
- Patel, H.D.; Divatia, S.M.; Clercq, E. de. Synthesis of some novel thiosemicarbazone derivatives having anti-cancer, anti-HIV as well as anti-bacterial activity. Indian J. Chem. Sec. B 2013, 52B, 535–545. [Google Scholar]
- Afrasiabi, Z.; Sinn, E.; Lin, W.; Ma, Y.; Campana, C.; Padhye, S. Nickel (II) complexes of naphthaquinone thiosemicarbazone and semicarbazone: Synthesis, structure, spectroscopy, and biological activity. J. Inorg. Biochem. 2005, 99, 1526–1531. [Google Scholar] [CrossRef] [PubMed]
- Verma, K.; Pandeya, S.; Singh, U.; Gupta, S.; Prashant, P.; Anurag Gautam, B. Synthesis and pharmacological activity of some substituted menthone semicarbazone and thiosemicarbazone derivatives. Int. J. Pharm. Sci. Nanotechnol. 2009, 1, 357–362. [Google Scholar]
- Ahsan, M.J.; Amir, M.; Bakht, M.A.; Samy, J.G.; Hasan, M.Z.; Nomani, M.S. Synthesis and antimicrobial activity of N1-(3-chloro-4-fluorophenyl)-N4-substituted semicarbazone derivatives. Arab. J. Chem. 2016, 9, S861–S866. [Google Scholar] [CrossRef]
- Leite, A.C.L.; da Silva, K.P.; de Souza, I.A.; de Araújo, J.M.; Brondani, D.J. Synthesis, antitumour and antimicrobial activities of new peptidyl derivatives containing the 1,3-benzodioxole system. Eur. J. Med. Chem. 2004, 39, 1059–1065. [Google Scholar] [CrossRef]
- Attia, M.I.; El-Brollosy, N.R.; Kansoh, A.L.; Ghabbour, H.A.; Al-Wabli, R.I.; Fun, H.-K. Synthesis, single crystal X-ray structure, and antimicrobial activity of 6-(1,3-benzodioxol-5-ylmethyl)-5-ethyl-2-{[2-(morpholin-4-yl)ethyl]sulfanyl}pyrimidin-4(3H)-one. J. Chem. 2014, 2014, 457430. [Google Scholar] [CrossRef]
- Al-Wabli, R.I.; Al-Ghamdi, A.R.; Ghabbour, H.A.; Al-Agamy, M.H.; Monicka, J.C.; Joe, I.H.; Attia, M.I. Synthesis, X-ray single crystal structure, molecular docking and DFT computations on N-[(1E)-1-(2H-1,3-benzodioxol-5-yl)-3-(1H-imidazol-1-yl)propylidene]hydroxylamine: A new potential antifungal agent precursor. Molecules 2017, 22, 373. [Google Scholar] [CrossRef]
- Allen, F.H.; Kennard, O.; Watson, D.G.; Brammer, L.; Orpen, A.G.; Taylor, R. Tables of bond lengths determined by X-ray and neutron diffraction. Part 1. Bond lengths in organic compounds. J. Chem. Soc. Perkin Trans. 1987, 2, S1–S19. [Google Scholar] [CrossRef]
- Aboul-Enein, M.N.; El-Azzouny, A.A.; Attia, M.I.; Maklad, Y.A.; Amin, K.M.; Abdel-Rehim, M.; El-Behairy, M.F. Design and synthesis of novel stiripentol analogues as potential anticonvulsants. Eur. J. Med. Chem. 2012, 47, 360–369. [Google Scholar] [CrossRef] [PubMed]
- Yogeeswari, P.; Ragavendran, J.; Thirumurugan, R.; Induja, S.; Sriram, D.; Stables, J. Synthesis and structure-activity relationship on anticonvulsant aryl semicarbazones. Med. Chem. 2006, 2, 55–62. [Google Scholar] [PubMed]
- Al-Wabli, R.I.; Al-Ghamdi, A.R.; Primsa, I.; Ghabbour, H.A.; Al-Agamy, M.H.; Joe, I.H.; Attia, M.I. (2E)-2-[1-(1,3-benzodioxol-5-yl)-3-(1H-imidazol-1-yl)propylidene]-N-(4-methoxy phenyl)hydrazinecarboxamide: Synthesis, crystal structure, vibrational analysis, DFT computations, molecular docking and antifungal activity. J. Mol. Struct. 2018, 1166, 121–130. [Google Scholar] [CrossRef]
- Sheldrick, G.M. A short history of SHELX. Acta Cryst. A 2008, 64, 112–122. [Google Scholar] [CrossRef] [PubMed]
- Al-Wabli, R.I.; Al-Ghamdi, A.R.; Ghabbour, H.A.; Al-Agamy, M.H.; Attia, M.I. Synthesis, single crystal X-ray analysis, and antifungal profiling of certain new oximino ethers bearing imidazole nuclei. Molecules 2017, 22, 1895. [Google Scholar] [CrossRef] [PubMed]
Sample Availability: Samples of the synthesized compounds are available from the corresponding authors. |

| Compound No. | R | Compound No. | R | Compound No. | R | Compound No. | R |
| 5a | C6H5 | 5e | 4-OC2H5-C6H4 | 5i | 3-CH3-C6H4 | 5m | 3,4-Cl2-C6H3 |
| 5b | 4-Br-C6H4 | 5f | 4-F-C6H4 | 5j | 4-CH3-C6H4 | 5n | C6H9 |
| 5c | 3-Cl-C6H4 | 5g | 4-OCH3-C6H4 | 5k | 3-CF3-C6H4 | 5o | H |
| 5d | 4-Cl-C6H4 | 5h | 2-CH3-C6H4 | 5l | 2,4-Cl2-C6H3 |

| O1—C1 | 1.362 (7) | N1—C13 | 1.366 (14) |
| O1—C7 | 1.425 (7) | N2—C12 | 1.399 (18) |
| O2—C6 | 1.376 (7) | N2—C13 | 1.293 (17) |
| O2—C7 | 1.427 (6) | N3—N4 | 1.380 (7) |
| O3—C14 | 1.229 (8) | N3—C8 | 1.294 (7) |
| O4—C18 | 1.372 (7) | N4—C14 | 1.372 (8) |
| O4—C21 | 1.430 (7) | N5—C14 | 1.345 (9) |
| N1—C10 | 1.443 (11) | N5—C15 | 1.431 (8) |
| N1—C11 | 1.366 (14) | ||
| C1—O1—C7 | 105.0 (4) | N3—C8—C3 | 115.0 (4) |
| C6—O2—C7 | 105.1 (4) | N3—C8—C9 | 125.8 (5) |
| C18—O4—C21 | 118.5 (4) | N1—C10—C9 | 112.8 (5) |
| C10—N1—C11 | 126.2 (8) | N1—C11—C12 | 107.5 (10) |
| C10—N1—C13 | 128.4 (8) | N2—C12—C11 | 109.4 (12) |
| C11—N1—C13 | 105.2 (9) | N1—C13—N2 | 113.3 (11) |
| C12—N2—C13 | 104.5 (11) | N4—C14—N5 | 116.4 (6) |
| N4—N3—C8 | 118.3 (4) | O3—C14—N4 | 119.5 (6) |
| N3—N4—C14 | 117.6 (5) | O3—C14—N5 | 124.1 (6) |
| C14—N5—C15 | 125.7 (6) | N5—C15—C20 | 117.9 (5) |
| O1—C1—C6 | 110.4 (5) | N5—C15—C16 | 122.4 (6) |
| O1—C1—C2 | 128.1 (4) | O4—C18—C17 | 126.2 (5) |
| O2—C6—C5 | 129.5 (4) | O4—C18—C19 | 114.6 (5) |
| O2—C6—C1 | 109.0 (4) | O4—C21—C22 | 106.5 (5) |
| O1—C7—O2 | 107.8 (5) |
| D—H···A | D—H | H···A | D···A | D—H···A |
| N4—H1NA···O3 i | 1.01(6) | 1.87(6) | 2.857(6) | 167(5) |
| N5—H1NB···N3 | 0.68(7) | 2.21(7) | 2.611(7) | 120(7) |
| C5—H5A···O1 ii | 0.9300 | 2.5500 | 3.454(6) | 164.00 |
| C9—H9A···O3 i | 0.9700 | 2.4200 | 3.182(7) | 135.00 |
| C21—H21A···N2 iii | 0.9700 | 2.5700 | 3.500(13) | 160.00 |
| Compound No. | Candida albicans | Candida tropicalis | Candida parapsilosis | Asperagillus niger | ||||
|---|---|---|---|---|---|---|---|---|
| DIZ ± SD * (mm) | MIC (µmol/mL) | DIZ ± SD * (mm) | MIC (µmol/mL) | DIZ ± SD * (mm) | MIC (µmol/mL) | DIZ ± SD * (mm) | MIC (µmol/mL) | |
| 5a | 14 ± 0.60 | 0.678 | 20 ± 0.90 | 0.339 | 11 ± 0.80 | 0.678 | 15 ± 0.50 | 0.678 |
| 5b | 12 ± 0.70 | > 1.12 | 18 ± 0.50 | > 1.12 | 15 ± 0.58 | >1.12 | 14 ± 0.40 | 0.561 |
| 5c | 14 ± 0.58 | 0.311 | 20 ± 0.90 | 0.311 | 16 ± 1.10 | 0.622 | 15 ± 0.50 | 0.622 |
| 5d | 14 ± 0.60 | 0.622 | 17 ± 0.50 | > 1.24 | 14 ± 0.40 | >1.24 | 0.0 ± 0.0 | >1.24 |
| 5e | 13 ± 0.40 | 0.607 | 22 ± 0.80 | 0.304 | 16 ± 0.12 | 0.304 | 13 ± 1.00 | 0.607 |
| 5f | 14 ± 0.60 | 0.648 | 17 ± 1.00 | > 1.30 | 14 ± 0.60 | 0.648 | 16 ± 1.10 | 0.648 |
| 5g | 14 ± 0.58 | 0.628 | 22 ± 0.50 | 0.314 | 12 ± 1.20 | 0.628 | 15 ± 0.50 | 0.628 |
| 5h | 14 ± 1.00 | 0.654 | 19 ± 0.50 | 0.654 | 18 ± 0.90 | 0.327 | 14 ± 1.00 | 0.654 |
| 5i | 13 ± 0.40 | 0.654 | 21 ± 1.00 | 0.327 | 17 ± 0.58 | 0.654 | 13 ± 0.40 | 0.654 |
| 5j | 13 ± 1.00 | 0.654 | 22 ± 1.00 | 0.327 | 17 ± 0.90 | 0.327 | 15 ± 0.58 | 0.654 |
| 5k | 12 ± 0.43 | 0.287 | 23 ± 0.50 | 0.287 | 15 ± 0.60 | 0.575 | 14 ± 0.80 | 0.575 |
| 5l | 14 ± 0.58 | 0.287 | 21 ± 1.00 | 0.574 | 14 ± 0.60 | 0.574 | 13 ± 0.40 | 0.574 |
| 5m | 11 ± 0.30 | 0.574 | 17 ± 0.80 | >1.15 | 16 ± 0.58 | >1.15 | 16 ± 0.80 | 0.574 |
| 5n | 14 ± 0.40 | 0.668 | 19 ± 1.00 | 1.34 | 19 ± 0.50 | >1.24 | 13 ± 1.00 | 0.668 |
| 5o | 14 ± 0.58 | 0.850 | 20 ± 0.90 | 0.850 | 15 ± 0.90 | 0.850 | 14 ± 0.10 | 0.850 |
| Fluconazole | 18 ± 1.10 | 0.051 | 19 ± 1.00 | 0.045 | 19 ± 0.90 | 0.047 | ND | ND |
| Ketoconazole | ND | ND | ND | ND | ND | ND | 29 ± 0.60 | 0.02 |
© 2019 by the authors. Licensee MDPI, Basel, Switzerland. This article is an open access article distributed under the terms and conditions of the Creative Commons Attribution (CC BY) license (http://creativecommons.org/licenses/by/4.0/).
Share and Cite
Al-Wabli, R.I.; Al-Ghamdi, A.R.; Ghabbour, H.A.; Al-Agamy, M.H.; Attia, M.I. Synthesis and Spectroscopic Identification of Certain Imidazole-Semicarbazone Conjugates Bearing Benzodioxole Moieties: New Antifungal Agents. Molecules 2019, 24, 200. https://doi.org/10.3390/molecules24010200
Al-Wabli RI, Al-Ghamdi AR, Ghabbour HA, Al-Agamy MH, Attia MI. Synthesis and Spectroscopic Identification of Certain Imidazole-Semicarbazone Conjugates Bearing Benzodioxole Moieties: New Antifungal Agents. Molecules. 2019; 24(1):200. https://doi.org/10.3390/molecules24010200
Chicago/Turabian StyleAl-Wabli, Reem I., Alwah R. Al-Ghamdi, Hazem A. Ghabbour, Mohamed H. Al-Agamy, and Mohamed I. Attia. 2019. "Synthesis and Spectroscopic Identification of Certain Imidazole-Semicarbazone Conjugates Bearing Benzodioxole Moieties: New Antifungal Agents" Molecules 24, no. 1: 200. https://doi.org/10.3390/molecules24010200
APA StyleAl-Wabli, R. I., Al-Ghamdi, A. R., Ghabbour, H. A., Al-Agamy, M. H., & Attia, M. I. (2019). Synthesis and Spectroscopic Identification of Certain Imidazole-Semicarbazone Conjugates Bearing Benzodioxole Moieties: New Antifungal Agents. Molecules, 24(1), 200. https://doi.org/10.3390/molecules24010200

