Microbial Degradation of Pesticide Residues and an Emphasis on the Degradation of Cypermethrin and 3-phenoxy Benzoic Acid: A Review
Abstract
1. Introduction
2. Research on the Progress of Microbial-Degradation of Pesticide Residues
2.1. The Main Types of Pesticides in Agriculture
2.2. Types of Pesticides-Degrading Microorganism
2.3. Mechanism of Microbial Degradation of Pesticides
2.4. Factors Affecting Microbial Degradation of Pesticide Residues
3. Present Situation of Degrading Pesticides by Micro-Organisms
4. Microbial Degradation of CY and its Application
4.1. Overview of CY
4.2. The Structure and Overview of CY
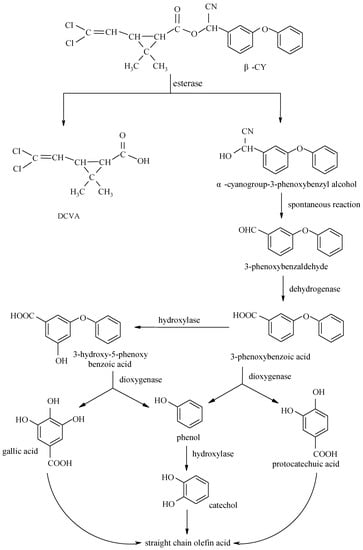
4.3. Study on Degradation of CY at Home and Abroad
5. Microbial Degradation of 3-phenoxy Benzoic Acid (3-PBA) and its Application
5.1. Structure and Properties of 3-PBA
5.2. Current Problems of 3-PBA
5.3. Degrading Bacteria of 3-PBA and Simultaneous Degradation of 3-PBA and CY
6. Conclusions and Outlook
Author Contributions
Funding
Conflicts of Interest
References
- Food and Agriculture Organization of the United Nations. Available online: http://www.fao.org/faostat/en/#data/QC (accessed on 19 August 2018).
- Solà, M.; Riudavets, J.; Agustí, N. Detection and Identification of Five Common Internal Grain Insect Pests by Multiplex PCR. Food Control 2018, 84, 246–254. [Google Scholar] [CrossRef]
- Pimentel, D.; McNair, S.; Janecka, J.; Wightman, J.; Simmonds, C.; O’connell, C.; Wong, E.; Russel, L.; Zern, J.; Aquino, T.; et al. Economic and Environmental Threats of Alien Plant, Animal, and Microbe Invasions. Agric. Ecosyst. Environ. 2001, 84, 1–20. [Google Scholar] [CrossRef]
- Walter, G.H.; Chandrasekaran, S.; Collins, P.J.; Jagadeesan, R.; Mohankumar, S.; Alagusundaram, K.; Ebert, P.R.; Daglish, G.J.; Nayak, M.K.; Mohan, S.; et al. The Grand Challenge of Food Security: General Lessons from A Comprehensive Approach to Protecting Stored Grain from Insect Pests in Australia and India. Indian J. Entomol. 2016, 78, 7–16. [Google Scholar] [CrossRef]
- Singh, B.K.; Walker, A. Microbial Degradation of Organophosphorus Compounds. FEMS Microbiol. Rev. 2006, 30, 428–471. [Google Scholar] [CrossRef] [PubMed]
- Chen, S.; Sun, D.; Chung, J.S. Treatment of Pesticide Wastewater by Moving-Bed Biofilm Reactor Combined with Fenton-Coagulation Pretreatment. J. Hazard. Mater. 2007, 144, 577–584. [Google Scholar] [CrossRef] [PubMed]
- Fenner, K.; Canonica, S.; Wackett, L.P.; Elsner, M. Evaluating Pesticide Degradation in the Environment: Blind Spots and Emerging Opportunities. Science 2013, 341, 752–758. [Google Scholar] [CrossRef] [PubMed]
- Mrema, E.J.; Rubino, F.M.; Colosio, C. Obsolete Pesticides—A Threat to Environment, Biodiversity and Human Health. Environ. Secur. Assess. Manag. Obsolete. Pestic. Southeast Eur. 2013, 134, 1–21. [Google Scholar] [CrossRef]
- Nayak, S.K.; Dash, B.; Baliyarsingh, B. Microbial Remediation of Persistent Agro-chemicals by Soil Bacteria: An Overview. Microb. Biotechnol. 2018, 275–301. [Google Scholar] [CrossRef]
- Abdallah, O.I.; Hanafi, A.; Ghani, S.B.A.; Ghisoni, S.; Lucini, L. Pesticides Contamination in Egyptian Honey Samples. J. Consum. Prot. Food Saf. 2017, 12, 317–327. [Google Scholar] [CrossRef]
- Tosi, S.; Costa, C.; Vesco, U.; Quaglia, G.; Guido, G. A 3-Year Survey of Italian Honey Bee-Collected Pollen Reveals Widespread Contamination by Agricultural Pesticides. Sci. Total Environ. 2018, 615, 208–218. [Google Scholar] [CrossRef] [PubMed]
- Lehmann, E.; Fargues, M.; Dibié, J.J.N.; Konaté, Y.; de Alencastro, L.F. Assessment of Water Resource Contamination by Pesticides in Vegetable-Producing Areas in Burkina Faso. Environ. Sci. Pollut. 2018, 25, 3681–3694. [Google Scholar] [CrossRef] [PubMed]
- Achour, A.; Derouiche, A.; Barhoumi, B.; Kort, B.; Cherif, D.; Bouabdallah, S.; Sakly, M.; Rhouma, K.B.; Touil, S.; Driss, M.R.; et al. Organochlorine Pesticides and Polychlorinated Biphenyls in Human Adipose Tissue from Northern Tunisia: Current Extent of Contamination and Contributions of Socio-Demographic Characteristics and Dietary Habits. Environ. Res. 2017, 156, 635–643. [Google Scholar] [CrossRef] [PubMed]
- Audus, L.J. The Biological Detoxication of 2: 4-Dichlorophenoxyacetic Acid in Soil. Plant Soil 1949, 2, 31–36. [Google Scholar] [CrossRef]
- Akbar, S.; Sultan, S. Soil Bacteria Showing a Potential of Chlorpyrifos Degradation and Plant Growth Enhancement. Braz. J. Microbiol. 2016, 47, 563–570. [Google Scholar] [CrossRef] [PubMed]
- Jabeen, H.; Iqbal, S.; Anwar, S.; Parales, R.E. Optimization of Profenofos Degradation by A Novel Bacterial Consortium PBAC Using Response Surface Methodology. Int. Biodeter. Biodegr. 2015, 100, 89–97. [Google Scholar] [CrossRef]
- Ramya, S.L.; Venkatesan, T.; Srinivasa Murthy, K.; Jalali, S.K.; Verghese, A. Detection of Carboxylesterase and Esterase Activity in Culturable Gut Bacterial Flora Isolated from Diamondback Moth, Plutella Xylostella (Linnaeus), From India And Its Possible Role in Indoxacarb Degradation. Braz. J. Microbiol. 2016, 47, 327–336. [Google Scholar] [CrossRef] [PubMed]
- Ye, X.; Dong, F.; Lei, X. Microbial Resources and Ecology-Microbial Degradation of Pesticides. Nat. Resour. Conserv. Res. 2018, 1. [Google Scholar] [CrossRef]
- Jaiswal, D.K.; Verma, J.P.; Yadav, J. Microbe induced degradation of pesticides in agricultural soils. In Microbe-Induced Degradation of Pesticides; Springer: Cham, Switzerland, 2017; pp. 167–189. [Google Scholar] [CrossRef]
- Verma, J.P.; Jaiswal, D.K.; Sagar, R. Pesticide Relevance and Their Microbial Degradation: A-State-of-Art. Rev. Environ. Sci. Technol. 2014, 13, 429–466. [Google Scholar] [CrossRef]
- Singh, D.K. Biodegradation and Bioremediation of Pesticide in Soil: Concept, Method and Recent Developments. Indian. J. Microbial. 2008, 48, 35–40. [Google Scholar] [CrossRef] [PubMed]
- Huong, N.L.; Itoh, K.; Suyama, K. 2,4-dichlorophenoxyacetic acid (2,4-D)-and 2,4, 5-trichlorophenoxyacetic acid (2,4,5-T)-degrading bacterial community in soil-water suspension during the enrichment process. Microbes Environ. 2008, 23, 142–148. [Google Scholar] [CrossRef] [PubMed]
- Arbeli, Z.; Fuentes, C.L. Accelerated Biodegradation of Pesticides: An Overview of the Phenomenon, its Basis and Possible Solutions; and A Discussion on The Tropical Dimension. J. Crop. Prot. 2007, 26, 1733–1746. [Google Scholar] [CrossRef]
- Racke, K.D.; Skidmore, M.; Hamilton, D.J.; Unsworth, J.B.; Miyamoto, J.; Cohen, S.Z. Pesticide Fate in Tropical Soils. Pest. Manag. Sci. 2015, 55, 219–220. [Google Scholar] [CrossRef]
- Oliveira, B.R.; Penetra, A.; Cardoso, V.V.; Benoliel, M.J.; Crespo, M.B.; Samson, R.A.; Pereira, V.J. Biodegradation of Pesticides Using Fungi Species Found in The Aquatic Environment. Environ. Sci. Pollut. Res. Int. 2015, 22, 11781–11791. [Google Scholar] [CrossRef] [PubMed]
- Soulas, G.; Lagacherie, B. Modelling of Microbial Degradation of Pesticides in Soils. Biol. Fertil. Soils 2001, 33, 551–557. [Google Scholar] [CrossRef]
- Liu, M.; Yang, Y.; Xu, S.; Liu, H.; Hou, L.; Ou, D.; Liu, Q.; Cheng, S. HCHs and DDTs in Salt Marsh Plants Scirpus from the Yangtze Estuary and Nearby Coastal Areas, China. Chemosphere 2006, 62, 440–448. [Google Scholar] [CrossRef] [PubMed]
- Jin, M.Q.; Zhou, S.S.; Liu, W.P.; Zhang, D.; Lu, X.T. Residues and Potential Health Risks of DDTs and HCHs in Commercial Seafoods from Two Coastal Cities near Yangtze River Estuary. J. Environ. Sci. Health 2015, 50, 163–174. [Google Scholar] [CrossRef] [PubMed]
- Hajjar, N.P.; Casida, J.E. Insecticidal Benzoylphenyl Ureas: Structure-Activity Relationships as Chitin Synthesis Inhibitors. Science 1978, 200, 1499–1500. [Google Scholar] [CrossRef] [PubMed]
- Beeman, R.W.; Matsumura, F. Chlordimeform: A Pesticide Acting Upon Amine Regulatory Mechanisms. Nature 1973, 242, 273. [Google Scholar] [CrossRef] [PubMed]
- Chowdhury, M.A.Z.; Fakhruddin, A.N.M.; Islam, M.N.; Moniruzzaman, M.; Gan, S.H.; Alam, M.K. Detection of The Residues of Nineteen Pesticides in Fresh Vegetable Samples Using Gas Chromatography–Mass Spectrometry. Food Control 2013, 34, 457–465. [Google Scholar] [CrossRef]
- Bhandari, G. Mycoremediation: An Eco-friendly Approach for Degradation of Pesticides. In Mycoremediation and Environmental Sustainability; Springer: Cham, Switzerland, 2017; pp. 119–131. [Google Scholar] [CrossRef]
- Upadhyay, L.S.; Dutt, A. Microbial Detoxification of Residual Organophosphate Pesticides in Agricultural Practices. In Microbial Biotechnology; Springer: Singapore, 2017; pp. 225–242. [Google Scholar] [CrossRef]
- Awumbila, B.; Bokuma, E. Survey of Pesticides Used in the Control of Ectoparasites of Farm Animals in Ghana. Trop. Anim. Health Prod. 1994, 26, 7–12. [Google Scholar] [CrossRef] [PubMed]
- Maloney, S.E. Pesticide Degradation. In Fungi in Bioremediation, 3rd ed.; Gadd, G.M., Ed.; the British Mycological Society: New York, NY, USA, 2001; Volume 8, pp. 188–223. ISBN 0-521-78119-1. [Google Scholar]
- Liu, B.; Zhou, P.; Liu, X.; Sun, X.; Li, H.; Lin, M. Detection of Pesticides in Fruits by Surface-Enhanced Raman Spectroscopy Coupled with Gold Nanostructures. Food Bioprocess Technol. 2013, 6, 710–718. [Google Scholar] [CrossRef]
- Chaussonnerie, S.; Saaidi, P.L.; Ugarte, E.; Barbance, A.; Fossey, A.; Barbe, V.; Gyapay, G.; Brüls, T.; Chevallier, M.; Couturat, L.; et al. Microbial Degradation of a Recalcitrant Pesticide: Chlordecone. Front. Microbiol. 2016, 7, 2025. [Google Scholar] [CrossRef] [PubMed]
- Sagar, V.; Singh, D.P. Biodegradation of Lindane Pesticide by Non White-Rots Soil Fungus Fusarium Sp. World J. Microb. Biot. 2011, 27, 1747–1754. [Google Scholar] [CrossRef]
- Hai, F.I.; Modin, O.; Yamamoto, K.; Fukushi, K.; Nakajima, F.; Nghiem, L.D. Pesticide Removal by A Mixed Culture of Bacteria and White-Rot Fungi. J. Taiwan Inst. Chem. E 2012, 43, 459–462. [Google Scholar] [CrossRef]
- Mohamed, A.K.; Pratt, J.P.; Nelson, F.R. Compatability of Metarhizium Anisopliae Var. Anisopliae with Chemical Pesticides. Mycopathologia 1987, 99, 99–105. [Google Scholar] [CrossRef] [PubMed]
- Boncristiani, H.; Underwood, R.; Schwarz, R.; Evans, J.D.; Pettis, J. Direct Effect of Acaricides on Pathogen Loads and Gene Expression Levels in Honey Bees Apis Mellifera. J. Insect Physiol. 2012, 58, 613–620. [Google Scholar] [CrossRef] [PubMed]
- Prabha, R.; Singh, D.P.; Verma, M.K. Microbial Interactions and Perspectives for Bioremediation of Pesticides in the Soils. In Plant-Microbe Interactions in Agro-Ecological Perspectives; Springer: Singapore, 2017; pp. 649–671. [Google Scholar] [CrossRef]
- Jiang, J.; Li, S. Microbial Degradation of Chemical Pesticides and Bioremediation of Pesticide-Contaminated Sites in China. In Twenty Years of Research and Development on Soil Pollution and Remediation in China; Springer: Singapore, 2018; pp. 655–670. [Google Scholar] [CrossRef]
- Esposito, E.; Paulillo, S.M.; Manfio, G.P. Biodegradation of the Herbicide Diuron in Soil by Indigenous Actinomycetes. Chemosphere 1998, 37, 541–548. [Google Scholar] [CrossRef]
- Tang, W. Research Progress of Microbial Degradation of Organophosphorus Pesticides. Prog. Appl. Microbiol. 2018, 1, 29–35. [Google Scholar]
- Nour, E.H.; Elsayed, T.R.; Springael, D.; Smalla, K. Comparable Dynamics of Linuron Catabolic Genes and Incp-1 Plasmids in Biopurification Systems Bpss as A Response to Linuron Spiking. Appl. Microbiol. Biot. 2017, 101, 4815–4825. [Google Scholar] [CrossRef] [PubMed]
- Ishag, A.E.S.A.; Abdelbagi, A.O.; Hammad, A.M.A.; Elsheikh, E.A.E.; Elsaid, O.E.; Hur, J.H. Biodegradation of Endosulfan and Pendimethalin by Three Strains of Bacteria Isolated from Pesticides-Polluted Soils in The Sudan. Appl. Biol. Chem. 2017, 60, 287–297. [Google Scholar] [CrossRef]
- Ngowi, A.V.F.; Mbise, T.J.; Ijani, A.S.M.; London, L.; Ajayi, O.C. Smallholder Vegetable Farmers in Northern Tanzania: Pesticides Use Practices, Perceptions, Cost and Health Effects. Crop Prot. 2007, 26, 1617–1624. [Google Scholar] [CrossRef] [PubMed]
- Martins, M.R.; Santos, C.; Pereira, P.; Cruz-Morais, J.; Lima, N. Metalaxyl Degradation by Mucorales Strains Gongronella Sp. and Rhizopus Oryzae. Molecules 2017, 22, 2225. [Google Scholar] [CrossRef] [PubMed]
- Johnsen, K.; Jacobsen, C.S.; Torsvik, V.; Sørensen, J. Pesticide Effects on Bacterial Diversity in Agricultural Soils—A Review. Biol. Fert. Soils 2001, 33, 443–453. [Google Scholar] [CrossRef]
- Ghaffar, I.; Imtiaz, A.; Hussain, A.; Javid, A.; Jabeen, F.; Akmal, M.; Qazi, J.I. Microbial Production and Industrial Applications of Keratinases: An Overview. Int. Microbiol. 2018, 1–12. [Google Scholar] [CrossRef]
- Kafilzadeh, F.; Ebrahimnezhad, M.; Tahery, Y. Isolation and Identification of Endosulfan-Degrading Bacteria and Evaluation of Their Bioremediation in Kor River, Iran. Osong Public Health Res. Perspect. 2015, 6, 39–46. [Google Scholar] [CrossRef] [PubMed]
- Jayabarath, J.; Musfira, S.A.; Giridhar, R.; Arulmurugan, R. Biodegradation of Carbofuran Pesticide by Saline Soil Actinomycetes. Int. J. Biotechnol. Biochem. 2010, 6, 187–193. [Google Scholar]
- Elgueta, S.; Santos, C.; Lima, N.; Diez, M.C. Immobilization of The White-Rot Fungus Anthracophyllum Discolor to Degrade the Herbicide Atrazine. AMB Express 2016, 6, 104. [Google Scholar] [CrossRef] [PubMed]
- Kabra, A.N.; Ji, M.K.; Choi, J.; Kim, J.R.; Govindwar, S.P.; Jeon, B.H. Toxicity of Atrazine and Its Bioaccumulation and Biodegradation in A Green Microalga, Chlamydomonas Mexicana. Environ. Sci. Pollutr. 2014, 21, 12270–12278. [Google Scholar] [CrossRef] [PubMed]
- Briceño, G.; Vergara, K.; Schalchli, H.; Palma, G.; Tortella, G.; Fuentes, M.S.; Diez, M.C. Organophosphorus Pesticide Mixture Removal from Environmental Matrices by A Soil Streptomyces Mixed Culture. Environ. Sci. Pollut. 2017, 1–12. [Google Scholar] [CrossRef] [PubMed]
- Bending, G.D.; Friloux, M.; Walker, A. Degradation of Contrasting Pesticides by White Rot Fungi and Its Relationship with Ligninolytic Potential. FEMS Microbiol. Lett. 2002, 212, 59–63. [Google Scholar] [CrossRef] [PubMed]
- Romero-Aguilar, M.; Tovar-Sánchez, E.; Sánchez-Salinas, E.; Mussali-Galante, P.; Sánchez-Meza, J.C.; Castrejón-Godínez, M.L.; Dantán-González, E.; Trujillo-Vera, M.A.; Ortiz-Hernández, M.L. Penicillium sp. as an Organism that Degrades Endosulfan and Reduces Its Genotoxic Effects. SpringerPlus 2014, 3, 536. [Google Scholar] [CrossRef] [PubMed]
- Kullman, S.W.; Matsumura, F. Metabolic Pathways Utilized by Phanerochaete Chrysosporium for Degradation of the Cyclodiene Pesticide Endosulfan. Appl. Environ. Microbiol. 1996, 62, 593–600. [Google Scholar] [PubMed]
- Kataoka, R.; Takagi, K.; Sakakibara, F. A New Endosulfan-Degrading Fungus, Mortierella Species, Isolated from A Soil Contaminated with Organochlorine Pesticides. J. Pestic. Sci. 2010, 35, 326–332. [Google Scholar] [CrossRef]
- Birolli, W.G.; Alvarenga, N.; Seleghim, M.H.; Porto, A.L. Biodegradation of the Pyrethroid Pesticide Esfenvalerate by Marine-Derived Fungi. Mar. Biotechnol. 2016, 18, 511–520. [Google Scholar] [CrossRef] [PubMed]
- Baarschers, W.H.; Heitland, H.S. Biodegradation of Fenitrothion and Fenitrooxon by the Fungus Trichoderma Viride. J. Agric. Food Chem. 1986, 34, 707–709. [Google Scholar] [CrossRef]
- Wolfand, J.M.; LeFevre, G.H.; Luthy, R.G. Metabolization and Degradation Kinetics of the Urban-Use Pesticide Fipronil by White Rot Fungus Trametes Versicolor. Environ. Sci. Process. Impacts 2016, 18, 1256–1265. [Google Scholar] [CrossRef] [PubMed]
- Xiao, P.F.; Mori, T.; Kondo, R. Bioconversion of Heptachlor Epoxide by Wood-Decay Fungi and Detection of Metabolites. Adv. Mater. Res. 2012, 518, 29–33. [Google Scholar] [CrossRef]
- Day, K.; Kaushik, N.K. The Adsorption of Fenvalerate to Laboratory Glassware and the Alga Chlamydomonas Reinhardii, and Its Effect on Uptake of The Pesticide by Daphnia Galeata Mendotae. Aquat. Toxicol. 1987, 10, 131–142. [Google Scholar] [CrossRef]
- Shehata, S.A.; El-Dib, M.A.; Waly, H.A. Effect of Certain Herbicides on the Growth of Freshwater Algae. Water Air Soil Pollut. 1997, 100, 1–12. [Google Scholar] [CrossRef]
- Zhang, H.; Ma, D.; Qiu, R.; Tang, Y.; Du, C. Non-Thermal Plasma Technology for Organic Contaminated Soil Remediation: A Review. Chem. Eng. J. 2017, 313, 157–170. [Google Scholar] [CrossRef]
- Kaur, H.; Kapoor, S.; Kaur, G. Application of Ligninolytic Potentials of a White-Rot Fungus Ganoderma Lucidum for Degradation of Lindane. Environ. Monit. Assess. 2016, 188, 588. [Google Scholar] [CrossRef] [PubMed]
- Qu, J.; Xu, Y.; Ai, G.M.; Liu, Y.; Liu, Z.P. Novel Chryseobacterium sp. PYR2 Degrades Various Organochlorine Pesticides OCPs and Achieves Enhancing Removal and Complete Degradation of DDT in Highly Contaminated Soil. J. Environ. Manag. 2015, 161, 350–357. [Google Scholar] [CrossRef] [PubMed]
- Chen, S.; Hu, Q.; Hu, M.; Luo, J.; Weng, Q.; Lai, K. Isolation and Characterization of a Fungus Able to Degrade Pyrethroids and 3-Phenoxybenzaldehyde. Bioresour. Technol. 2011, 102, 8110–8116. [Google Scholar] [CrossRef] [PubMed]
- De Souza, M.L.; Sadowsky, M.J.; Wackett, L.P. Atrazine Chlorohydrolase from Pseudomonas Sp. Strain ADP: Gene Sequence, Enzyme Purification, and Protein Characterization. J. Bacteriol. 1996, 178, 4894–4900. [Google Scholar] [CrossRef] [PubMed]
- Wackett, L.; Sadowsky, M.; Martinez, B.; Shapir, N. Biodegradation of Atrazine and Related S -Triazine Compounds: From Enzymes to Field Studies. Appl. Microbiol. Biotechnol. 2002, 58, 39–45. [Google Scholar] [CrossRef] [PubMed]
- Czarnecki, J.; Dziewit, L.; Puzyna, M.; Prochwicz, E.; Tudek, A.; Wibberg, D.; Schlüter, A.; Pühler, A.; Bartosik, D. Lifestyle-Determining Extrachromosomal Replicon pAMV1 and its Contribution to the Carbon Metabolism of the Methylotrophic Bacterium Paracoccus Aminovorans JCM 7685. Environ. Microbiol. 2017, 19, 4536–4550. [Google Scholar] [CrossRef] [PubMed]
- Don, R.H.; Pemberton, J.M. Genetic and Physical Map of the 2, 4-Dichlorophenoxyacetic Acid-Degradative Plasmid pJP4. J. Bacteriol. 1985, 161, 466–468. [Google Scholar] [PubMed]
- Mai, P.; Jacobsen, O.S.; Aamand, J. Mineralization and Co-Metabolic Degradation of Phenoxyalkanoic Acid Herbicides by a Pure Bacterial Culture Isolated from an Aquifer. Appl. Microbiol. Biotechnol. 2001, 56, 486–490. [Google Scholar] [CrossRef] [PubMed]
- Boivin, A.; Amellal, S.; Schiavon, M.; Van Genuchten, M.T. 2, 4-Dichlorophenoxyacetic Acid 2, 4-D Sorption and Degradation Dynamics in Three Agricultural Soils. Environ. Pollut. 2005, 138, 92–99. [Google Scholar] [CrossRef] [PubMed]
- Arora, P.K.; Sasikala, C.; Ramana, C.V. Degradation of Chlorinated Nitroaromatic Compounds. Appl. Microbiol. Biotechnol. 2012, 93, 2265–2277. [Google Scholar] [CrossRef] [PubMed]
- Chen, S.H.; Hu, M.Y.; Liu, J.J.; Zhong, G.H.; Yang, L.; Rizwan-ul-Haq, M.; Han, H. Biodegradation of Beta-cypermethrin and 3-Phenoxybenzoic Acid by a Novel Ochrobactrum lupini DG-S-01. J. Hazard. Mater. 2011, 187, 433–440. [Google Scholar] [CrossRef] [PubMed]
- Zhang, C.; Jia, L.; Wang, S.H.; Qu, J.; Li, K.; Xu, L.L.; Shi, Y.H.; Han, Y.C. Biodegradation of Beta-Cypermethrin by Two Serratia Spp. with Different Cell Surface Hydrophobicity. Bioresour. Technol. 2010, 101, 3423–3429. [Google Scholar] [CrossRef] [PubMed]
- García-Reyes, J.F.; Molina-Díaz, A.; Fernández-Alba, A.R. Identification of Pesticide Transformation Products in Food by Liquid Chromatography/Time-of-Flight Mass Spectrometry via “Fragmentation−Degradation” Relationships. Anal. Chem. 2007, 79, 307–321. [Google Scholar] [CrossRef] [PubMed]
- Deng, W.Q.; Lin, D.R.; Yao, K.; Yuan, H.Y.; Wang, Z.L.; Li, J.L.; Zou, L.K.; Han, X.F.; Zhou, K.; He, L.; et al. Characterization of a Novel β-cypermethrin-degrading Aspergillus Niger, YAT Strain and the Biochemical Degradation Pathway of β-cypermethrin. Appl. Microbiol. Biotechnol. 2015, 99, 8187–8198. [Google Scholar] [CrossRef] [PubMed]
- Hugo, H.J.; Mouton, C.; Malan, A.P. Accelerated Microbial Degradation of Nematicides in Vineyard and Orchard Soils. S. Afr. J. Enol. Vitic. 2014, 35, 157–167. [Google Scholar] [CrossRef]
- Hussain, S.; Siddique, T.; Saleem, M.; Arshad, M.; Khalid, A. Chapter 5 Impact of Pesticides on Soil Microbial Diversity, Enzymes, and Biochemical Reactions. Adv. Agron. 2009, 102, 159–200. [Google Scholar] [CrossRef]
- Zhang, Z.; Zheng, P.; Li, W.; Wang, R.; Ghulam, A. Effect of Organic Toxicants on the Activity of Denitrifying Granular Sludge. Environ. Technol. 2015, 36, 699–705. [Google Scholar] [CrossRef] [PubMed]
- Tsai, Y.S.; Huang, J.L.; Lin, C.S. Application of Host Cell Reactivation in Evaluating the Effects of Anticancer Drugs and Environmental Toxicants on Cellular DNA Repair Activity in Head and Neck Cancer. Sel. Top. DNA Repair 2011, 465–482. [Google Scholar] [CrossRef]
- Baxter, J.; Cummings, S.P. The Application of the Herbicide Bromoxynil to a Model Soil-Derived Bacterial Community: Impact on Degradation and Community Structure. Lett. Appl. Microbiol. 2006, 43, 659–665. [Google Scholar] [CrossRef] [PubMed]
- Chaw, D.; Stoklas, U. Cocomposting of Cattle Manure and Hydrocarbon Contaminated Flare Pit Soil. Compost. Sci. Util. 2013, 9, 322–335. [Google Scholar] [CrossRef]
- Chrzanowski, Ł.; Dziadas, M.; Ławniczak, Ł.; Cyplik, P.; Białas, W.; Szulc, A.; Lisiecki, P.; Jeleń, H. Biodegradation of Rhamnolipids in Liquid Cultures: Effect of Biosurfactant Dissipation on Diesel Fuel/B20 Blend Biodegradation Efficiency and Bacterial Community Composition. J. Bioresour. Technol. 2012, 111, 328–335. [Google Scholar] [CrossRef] [PubMed]
- Mahro, B.; Müller, R.; Kasche, V. Bioavailability—The Key Factor of Soil Bioremediation. Treat. Contam. Soil 2012, 181–195. [Google Scholar] [CrossRef]
- Luan, T.G.; Keith, S.H.; Zhong, Y.; Zhou, H.W.; Lan, C.Y.; Tam, N.F. Study of Metabolites From the Degradation Of Polycyclic Aromatic Hydrocarbons Pahs by Bacterial Consortium Enriched from Mangrove Sediments. Chemosphere 2006, 65, 2289–2296. [Google Scholar] [CrossRef] [PubMed]
- Sartoros, C.; Yerushalmi, L.; Béron, P.; Guiot, S.R. Effects of Surfactant and Temperature on Biotransformation Kinetics of Anthracene and Pyrene. Chemosphere 2015, 61, 1042–1050. [Google Scholar] [CrossRef] [PubMed]
- De Pádua Ferreira, R.; Sakata, S.K.; Dutra, F.; Di Vitta, P.; Taddei, M.; Bellini, M.; Marumo, J. Treatment of Radioactive Liquid Organic Waste Using Bacteria Community. J. Radioanal. Nucl. Chem. 2012, 292, 811–817. [Google Scholar] [CrossRef]
- Munawar, A. Chemical Characteristics of organic wastes and their potential use for Acid Mine Drainage Remediation. Jurnal Natur Indonesia 2010, 12, 167–172. [Google Scholar]
- Bhattacharya, J.; Islam, M.; Cheong, Y.W. Microbial Growth and Action: Implications for Passive Bioremediation of Acid Mine Drainage. J. Mine Water. Environ. 2006, 25, 233–240. [Google Scholar] [CrossRef]
- Nakajima, T.; Shigeno, Y. Polyester Plastic-Degrading Microorganism, Polyester Plastic-Degrading Enzyme and Polynucleotide Encoding the Enzyme. EP 1849859B1, 21 January 2014. [Google Scholar]
- Acevedo, F.; Pizzul, L.; del Pilar Castillo, M.; Cuevas, R.; Diez, M.C. Degradation of Polycyclic Aromatic Hydrocarbons by the Chilean White-Rot Fungus Anthracophyllum Discolor. J. Hazard. Mater. 2011, 185, 212–219. [Google Scholar] [CrossRef] [PubMed]
- Yuan, S.Y.; Chang, S.W.; Chang, B.V. Biodegradation of Polycyclic Aromatic Hydrocarbons in Sludge. Bull. Environ. Contam. Toxicol. 2003, 71, 0625–0632. [Google Scholar] [CrossRef]
- Arbeli, Z.; Fuentes, C.L. Microbial Degradation of Pesticides in Tropical Soils. Soil Biol. Agric. Trop. 2010, 21, 251–274. [Google Scholar] [CrossRef]
- Zhu, M.; Mccully, L.M.; Silby, M.W.; Charles-Ogan, T.I.; Huang, J.; Brigham, C.J. Draft Genome Sequence of Ralstonia sp. MD27, a Poly3-Hydroxybutyrate-Degrading Bacterium, Isolated from Compost. Genome. Announcements 2015, 3, e01170-15. [Google Scholar] [CrossRef] [PubMed]
- Brack, C.; Mikolasch, A.; Schlueter, R.; Otto, A.; Becher, D.; Wegner, U.; Albrecht, D.; Albrecht, K.; Schauer, F. Antibacterial Metabolites and Bacteriolytic Enzymes Produced by Bacillus pumilus during Bacteriolysis of Arthrobacter citreus. Marie Biotechnol. 2015, 17, 290–304. [Google Scholar] [CrossRef] [PubMed]
- Gupta, S.; Pathak, B.; Fulekar, M.H. 2015 Molecular Approaches for Biodegradation of Polycyclic Aromatic Hydrocarbon Compounds: A Review. Rev. Environ. Sci. Bio/Technol. 2015, 14, 241–269. [Google Scholar] [CrossRef]
- Kim, T.J.; Lee, E.Y.; Kim, Y.J.; Cho, K.S.; Ryu, H.W. Degradation of Polyaromatic Hydrocarbons by Burkholderia Cepacia, 2A-12. World J. Microbiol. Biotechnol. 2003, 19, 411–417. [Google Scholar] [CrossRef]
- Singh, B.; Kaur, J.; Singh, K. Microbial Degradation of an Organophosphate Pesticide, Malathion. Crit. Rev. Microbiol. 2014, 40, 146–154. [Google Scholar] [CrossRef] [PubMed]
- Kumar, A.; Trefault, N.; Olaniran, A.O. Microbial Degradation of 2, 4-Dichlorophenoxyacetic Acid: Insight into the Enzymes and Catabolic Genes Involved, their Regulation and Biotechnological Implications. Crit. Rev. Microbiol. 2016, 42, 194–208. [Google Scholar] [CrossRef] [PubMed]
- Singh, B.; Singh, K. Microbial Degradation of Herbicides. Crit. Rev. Microbiol. 2016, 42, 245–261. [Google Scholar] [CrossRef] [PubMed]
- Chibata, I.; Tosa, T. Immobilized Microbial Cells and their Applications. Trends Biochem. Sci. 1980, 5, 88–90. [Google Scholar] [CrossRef]
- Heitkamp, M.A.; Camel, V.; Reuter, T.J.; Adams, W.J. Biodegradation of P-Nitrophenol in an Aqueous Waste Stream by Immobilized Bacteria. Appl. Environ. Microbiol. 1990, 56, 2967–2973. [Google Scholar] [PubMed]
- Linko, P.; Linko, Y.Y.; Kennedy, J.F. Industrial Applications of Immobilized Cells. Crit. Rev. Biotechnol. 1983, 1, 289–338. [Google Scholar] [CrossRef]
- Smith, G.P. Filamentous Fusion Phage: Novel Expression Vectors that Display Cloned Antigens on the Virion Surface. Science 1985, 228, 1315–1317. [Google Scholar] [CrossRef] [PubMed]
- Freudl, R.; MacIntyre, S.; Degen, M.; Henning, U. Cell Surface Exposure of the Outer Membrane Protein OmpA of Escherichia Coli K-12. J. Mol. Biol. 1986, 188, 491–494. [Google Scholar] [CrossRef]
- Buvaneswari, G.; Thenmozhi, R.; Nagasathya, A.; Thajuddin, N.; Kumar, P. GC-MS and molecular analyses of Monocrotophos Biodegradation by Selected Bacterial Isolates. Afr. J. Microbiol. Res. 2018, 12, 52–61. [Google Scholar] [CrossRef]
- Parte, S.G.; Mohekar, A.D.; Kharat, A.S. Microbial Degradation of Pesticide: A Review. Afr. J. Microbiol. Res. 2017, 11, 992–1012. [Google Scholar] [CrossRef]
- Li, J.L.; Lin, D.R.; Ji, R.; Yao, K.; Deng, W.Q.; Yuan, H.Y.; Wu, Q.; Jia, Q.S.; Luo, P.W.; Zhou, K.; et al. Simultaneous Determination of β-Cypermethrin and Its Metabolite 3-Phenoxybenzoic Acid in Microbial Degradation Systems by HPLC–UV. J. Chromatogr. Sci. 2016, 54, 1584–1592. [Google Scholar] [CrossRef] [PubMed]
- Ma, Y.; Wang, L.; Shao, Z. Pseudomonas, the Dominant Polycyclic Aromatic Hydrocarbon-Degrading Bacteria Isolated from Antarctic Soils and the Role of Large Plasmids in Horizontal Gene Transfer. Environ. Microbiol. 2006, 8, 455–465. [Google Scholar] [CrossRef] [PubMed]
- Kang, B.K.; Hyunhwan, J.; Kisun, K. Effect of slurry composted and biofiltered solution as an organic fertilizer on the growth of zoysiagrass. J. Hortic. Environ. Biotechnol. 2010, 516, 507–512. [Google Scholar]
- Haruta, S.; Cui, Z.; Huang, Z.; Li, M.; Ishii, M.; Igarashi, Y. Construction of a Stable Microbial community with High Cellulose-Degradation Ability. Appl. Microbiol. Biotechnol. 2002, 59, 529–534. [Google Scholar] [CrossRef] [PubMed]
- Pérez, J.J.; Williams, M.K.; Weerasekera, G.; Smith, K.; Whyatt, R.M.; Needham, L.L.; Barr, D.B. Measurement of Pyrethroid, Organophosphorus, and Carbamate Insecticides in Human Plasma Using Isotope Dilution Gas Chromatography-High Resolution Mass Spectrometry. J. Chromatogr. B 2010, 878, 2554–2562. [Google Scholar] [CrossRef]
- Sinha, C.; Agrawal, A.K.; Islam, F.; Seth, K.; Chaturvedi, R.K.; Shukla, S.; Seth, P.K. Mosquito Repellent Pyrethroid-Based Induced Dysfunction of Blood–Brain Barrier Permeability in Developing Brain. Int. J. Dev. Neurosci. 2004, 22, 31–37. [Google Scholar] [CrossRef] [PubMed]
- Kasat, K.; Go, V.; Pogo, B.G.T. Effects of Pyrethroid Insecticides and Estrogen on WNT10B Proto-Oncogene Expression. Environ. Int. 2002, 28, 429–432. [Google Scholar] [CrossRef]
- Benli, A.C.K. Investigation of Acute Toxicity of Cyfluthrin on Tilapia Fry (Oreochromis Niloticus L. 1758). Environ. Toxicol. Pharmacol. 2005, 20, 279–282. [Google Scholar] [CrossRef] [PubMed]
- Roberts, T.R.; Standen, M.E. Degradation of the Pyrethroid Cypermethrin NRDC 149 ±-α-cyano-3-phenoxybenzyl ±-cis, trans-3-2, 2-dichlorovinyl-2, 2-dimethylcyclopropanecarboxylate and the Respective cis-NRDC 160 and trans-NRDC 159 Isomers in Soils. Pestic. Sci. 1977, 8, 305–319. [Google Scholar] [CrossRef]
- Zhang, L.; Gao, X.; Liang, P. Beta-cypermethrin Resistance Associated with High Carboxylesterase Activities in a Strain of House Fly, Musca Domestica (Diptera: Muscidae). Pestic. Biochem. Physiol. 2007, 89, 65–72. [Google Scholar] [CrossRef]
- Das, B.K.; Mukherjee, S.C. Toxicity of Cypermethrin in Labeo rohita fingerlings: Biochemical, Enzymatic And Haematological Consequences. Comp. Biochem. Physiol. Part. C Toxicol. Pharmacol. 2003, 134, 109–121. [Google Scholar] [CrossRef]
- Tyler, C.R.; Beresford, N.; vander Woning, M.; Sumpter, J.P.; Tchorpe, K. Metabolism and Environmental Degradation of Pyrethroid Insecticides Produce Compounds with Endocrine Activities. Environ. Toxicol. Chem. 2000, 19, 801–809. [Google Scholar] [CrossRef]
- Grant, R.G.; Betts, W.B. Mineraland Carbon Usage of two Synthetic Pyrethroid Degrading Bacterial Isolates. J. Appl. Microbiol. 2004, 97, 656–662. [Google Scholar] [CrossRef] [PubMed]
- Kaur, P.; Sharma, A.; Parihar, L. In Vitro Study of Mycoremediation of Cypermethrin-contaminated Soils in Different Regions of Punjab. Ann. Microbiol. 2015, 65, 1949–1959. [Google Scholar] [CrossRef]
- Xiao, Y.; Chen, S.; Gao, Y.; Hu, W.; Hu, M.; Zhong, G. Isolation of a Novel Beta-Cypermethrin Degrading Strain Bacillus Subtilis BSF01 and its Biodegradation Pathway. Appl. Microbiol. Biotechnol. 2015, 99, 2849–2859. [Google Scholar] [CrossRef] [PubMed]
- Chen, S.H.; Chang, C.Q.; Deng, Y.Y.; An, S.W.; Dong, Y.H.; Zhou, J.N.; Hu, M.Y.; Zhong, G.H.; Zhang, L.H. Fenpropathrin Biodegradation Pathway in Bacillus sp. DG-02 and its Potential for Bioremediation of Pyrethroid-Contaminated Soils. J. Agric. Food. Chem. 2014, 62, 2147–2157. [Google Scholar] [CrossRef] [PubMed]
- Tallur, P.N.; Megadi, V.B.; Ninnekar, H.Z. Biodegradation of Cypermethrin by Micrococcus sp. Strain CPN 1. Biodegradation 2008, 19, 77–82. [Google Scholar] [CrossRef] [PubMed]
- Topp, E.; Akhtar, M.H. Identification and Characterization of a Pseudomonas Strain Capable of Metabolizing Phenoxybenzoates. Appl. Environ. Microbiol. 1991, 57, 1294. [Google Scholar] [PubMed]
- Saikia, N.; Das, S.K.; Patel, B.K.C.; Niwas, R.; Singh, A.; Gopal, M. Biodegradation of Beta-Cyfluthrin by Pseudomonas Stutzeri Strain S1. Biodegradation 2005, 16, 581–589. [Google Scholar] [CrossRef] [PubMed]
- Guo, P.; Wang, B.Z.; Hang, B.J.; Li, L.; Ali, S.W.; He, J.; Li, S. Pyrethroid-degrading Sphingobium sp. JZ-2 and the Purification and Characterization of a Novel Pyrethroid Hydrolase. Int. Biodeterior. Biodegrad. 2009, 63, 1107–1112. [Google Scholar] [CrossRef]
- Deng, W.Q.; Liu, S.L.; Yao, K. Microbial degradation of 3-phenoxybenzoic acid—A review. Acta Microbiol. Sin. 2015, 559, 1081–1088. [Google Scholar]
- Hoellinger, H.; Pichat, L. Synthese des Metabolites de L’Insecticide Deltamethrine: Acides Phenoxy-3 Benzoiques (carboxyle 14C), Alcools Phenoxy-3 Benzyiques hydroxyméthyle 14C. J. Label. Compd. Radiopharm. 1985, 22, 755–760. [Google Scholar] [CrossRef]
- Ding, Y.; White, C.A.; Muralidhara, S.; Bruckner, J.V.; Bartlett, M.G. Determination of Deltamethrin and its Metabolite 3-phenoxybenzoic acid in male rat plasma by High-Performance Liquid Chromatography. J. Chromatogr. B 2004, 810, 221–227. [Google Scholar] [CrossRef]
- Ji, G.X.; Xia, Y.K.; Gu, A.H.; Shi, X.G.; Long, Y.; Song, L.; Wang, S.L.; Wang, X.R. Effects of Non-Occupational Environmental Exposure to Pyrethroids on Semen Quality and Sperm DNA Integrity in Chinese Men. Reprod. Toxicol. 2011, 31, 171–176. [Google Scholar] [CrossRef] [PubMed]
- Han, Y.; Xia, Y.K.; Han, J.Y.; Zhou, J.P.; Wang, S.L.; Zhu, P.F.; Zhao, R.C.; Jin, N.Z.; Song, N.; Wang, X.R. The Relationship of 3-PBA Pyrethroids Metabolite and Male Reproductive Hormones among Non-Occupational Exposure Males. Chemosphere 2008, 72, 785–790. [Google Scholar] [CrossRef] [PubMed]
- Jin, M.Q.; Li, L.; Xu, C.; Wen, Y.Z.; Zhao, M.R. Estrogenic Activities of two Synthetic Pyrethroids and their Metabolites. J. Environ. Sci. 2010, 22, 290–296. [Google Scholar] [CrossRef]
- Vidal, J.L.M.; Plaza-Bolanos, P.; Romero-González, R.; Frenich, A.G. Determination of Pesticide Transformation Products: A Review of Extraction and Detection Methods. J. Chromatogr. A 2009, 1216, 6767–6788. [Google Scholar] [CrossRef] [PubMed]
- Xie, W.J.; Zhou, J.M.; Wang, H.Y.; Chen, X.Q. Effect of Nitrogen on the Degradation of Cypermethrin and its Metabolite 3-phenoxybenzoic Acid in Soil. Pedosphere 2008, 18, 638–644. [Google Scholar] [CrossRef]
- Sun, H.; Chen, W.; Xu, X.L.; Ding, Z.; Chen, X.D.; Wang, X.R. Pyrethroid and Their Metabolite, 3-Phenoxybenzoic Acid Showed Similar Antiestrogenic Activity in Human and Rat Estrogen Receptor Α-Mediated Reporter Gene Assays. Environ. Toxicol. Pharmacol. 2014, 37, 371–377. [Google Scholar] [CrossRef] [PubMed]
- Kumar, M.; Leon, V.; Materano, A.D.S.; Ilzins, O.A. Enhancement of Oil Degradation by Co-Culture of Hydrocarbon Degrading and Biosurfactant Producing Bacteria. Pol. J. Microbiol. 2006, 55, 139–146. [Google Scholar] [PubMed]
- Godheja, J.; Shekhar, S.K.; Siddiqui, S.A.; Modi, D.R. Xenobiotic Compounds Present in Soil and Water: A Review on Remediation Strategies. J. Environ. Anal. Toxicol. 2016, 6, 392. [Google Scholar] [CrossRef]
- Narwal, S.K.; Gupta, R. Biodegradation of xenobiotic compounds: An Overview. In Handbook of Research on Inventive Bioremediation Techniques, 1st ed.; University of Kalyani Press: West Bengal, India, 2017; pp. 186–212. ISBN 978-152-252-325-3. [Google Scholar]
Sample Availability: Samples of all compounds are not available from the authors. |


| Types of Pesticides | Name of Pesticide | |
|---|---|---|
| Insecticide | Organic nitrogen | Benzoylphenyl Ureas [29], chlordimeform [30]. |
| Organic phosphorus | Acephate [31], azinphos-methyl [32], bromophos [32], chlorpyrifos [31,32], coumaphos [33,34], diazinon [31,32,33], dimethoate [18,31,33,34],dioxathion [34], disulfoton [32,33], diazinon [32,33], ectophos [34], fenitrothion [31,32], fenitrooxon [32], fonofos [32], glyphosate [32,33], leptophos [33], malathion [31,32,33,34,35], mathamidophos [33], parathion [32], phenthoate [31,33], profenofos [33], phorate [33], phosmet [36], phosphothion [34], trichloffon [34], trichlorfon [33] | |
| Organic chlorine | Aldrin [18,32,35], chlordane [32,35,37], DDT [32,35], dieldrin [32,35], dicofol [31], endosulfan [31,32,35], endrin [32], fipronil [31], heptachlor, [32,35], lindane [35,38], γ- BHC [34], γ- hexachlorocyclohexane [38] | |
| Carbamate | Aldicarb [39], carbaryl [31,34], carbofuran [31], carbosulfan, [31], cartap [31] | |
| Pyrethroid | Cypermethrin [31], chlorfenvinphos [31], deltamethrin [31], fenvalerate [29], flumethrin [31], permethrin [31], ivermectin [31] | |
| Insect growth regulators | Azadirachtin [40], benzoylphenylurea [40], diflubenzuron [40], methoxyfenozide [40], pyriproxyfen [40], spinosad [40], tebufenozide [40] | |
| Acaricides | Amitraz [41], coumaphos [21,41], dimethoatet [18], fenpyroximate [41], formic acid [41], menthol [41], tau-fluvalinate [41], thymol [41] | |
| Herbicide | Acetanilides [42], alachlor [39], barban [35,43], chlorbromuron [35], hlorophenoxy [42], dalapon [35], diuron [35,44], glyphosate [45], linuron [35,46], monuron [36], neburon [36], pendimethalin [36], pentachlorophenol [36,47], propham [35], salted iron phosphorus [45], swep [35], 2,4-D [48], 2,4,5-T [35] | |
| Bactericide | Bayleton [48], blue copper [48], chlorothalonil [43], copper hydrochloride [48], copper oxychloride [48], copper sulphate [48], different rice blast net [45], dithane [48], dithiocarbamates [42], mancozeb [48], metalaxyl [45,49], methyl phosphorus [45], impact [45,48], polytrin [48], ridomil [48], rice blast net [45], triazoles [42], thiocarbamates [42], thiovit [48] | |
| Types of Microorganism | Species | Example of Pesticide Degradation |
|---|---|---|
| Bacteria | Pseudomonas | Aldrin [20], chlorpyrifos [20], coumaphos [33], ddt [20], diazinon [20,33], endosulfan [20], endrin [20], hexachlorocyclohexane [20], methyl parathion [20,33], monocrotophos [20], parathion [20,33] |
| Bacillus | Chlorpyrifos [20,33], coumaphos [33], DDT [20], diazinon [20], dieldrin [20], endosulfan [20], endrin [20], glyphosate [20,33], methyl parathion [20,33], monocrotophos [20], parathion [20,33], polycyclic aromatic hydrocarbons [20] | |
| Alcaligenes | Chlorpyrifos [20], endosulfan [20,52] | |
| Flavobacterium | Diazinon [33], glyphosate [33], methyl parathion [33], parathion [33] | |
| Actinomycetes | Micromonospora, Actinomyces, Nocardia, Streptomyces | Aldrin [20], carbofuran [53], chlorpyrifos [20,56], diazinon [56], diuron [44] |
| Fungus | White rot fungi, Rhizopus, Cladosporium, Aspergillus fumigatus, Penicillium, Aspergillus, Fusarium, Mucor, Trichoderma spp, Mortierella sp. | Alachlor [39], aldicarb [39], atrazine [39,54], carbofuran [35], chlordane [35], chlorpyrifos [33], DDT [35], diuron [57], endosulfan [32,58,59,60], esfenvalerate [61], fenitrothion [62], fenitrooxon [62], fipronil [63], heptachlor epoxide [64], lindane [35,38], malathion [35] metalaxyl [49], pentachlorophenol [35], terbuthylazine [57], 2,4-D [35] |
| Algae | Small green algae | Phorate [45], parathion [45] |
| Chlamydomonas | Atrazine [55], fenvalerate [65] | |
| Genus of diatoms | DDT [66], patoran [66] |
| Factors | Kinetic Equation | T1/2 (Day) | Kd (mg/(L·day)−1) | R2 | |
|---|---|---|---|---|---|
| 25 | Ct = 25.78e−0.194t | 3.573 | 0.194 | 0.924 | |
| C0 (mg/L) | 50 | Ct = 50.14e−0.110t | 6.301 | 0.110 | 0.921 |
| 100 | Ct =100.81e−0.059t | 11.748 | 0.059 | 0.950 | |
| 25 | Ct = 50.25e−0.103t | 6.730 | 0.103 | 0.945 | |
| Temperature (°C) | 30 | Ct = 50.14e−0.110t | 6.301 | 0.110 | 0.921 |
| 35 | Ct = 50.21e−0.118t | 5.874 | 0.118 | 0.990 | |
| 6.0 | Ct = 50.37e−0.094t | 7.374 | 0.094 | 0.910 | |
| pH | 7.0 | Ct = 50.14e−0.110t | 6.301 | 0.110 | 0.921 |
| 8.0 | Ct = 50.09e−0.120t | 5.776 | 0.120 | 0.915 | |
| Strain | Accession Number (NCBI) | Source | Degradation Characteristics (%) | |
|---|---|---|---|---|
| β-CY | 3-PBA | |||
| B. licheniformis B-1 | HQ009796 | Tea garden soil | 52.91% | — |
| Aspergillus oryzae M-4 | JF461319 | Soy sauce koji | 26.01% | 80.10% |
| Sphingomonas sp SC-1 | JN857975 | The sludge of pesticide factory wastewater | — | 99.99% |
| Factors | Kinetic Equation | T1/2 (h) | Kd (mg/(L·h)−1) | R2 | |
|---|---|---|---|---|---|
| 50 | Ct = 50.22e−0.123t | 5.635 | 0.123 | 0.935 | |
| C0 (mg/L) | 100 | Ct = 101.24e−0.101t | 6.863 | 0.101 | 0.924 |
| 150 | Ct = 150.51e−0.057t | 12.160 | 0.057 | 0.957 | |
| 25 | Ct = 100.87e−0.062t | 11.180 | 0.062 | 0.943 | |
| Temperature (°C) | 30 | Ct = 101.24e−0.101t | 6.863 | 0.101 | 0.924 |
| 35 | Ct = 100.41e−0.107t | 6.478 | 0.107 | 0.963 | |
| 6.0 | Ct = 100.87e−0.093t | 7.453 | 0.093 | 0.902 | |
| pH | 7.0 | Ct = 101.24e−0.101t | 6.863 | 0.101 | 0.924 |
| 8.0 | Ct = 100.97e−0.106t | 6.539 | 0.106 | 0.970 | |
© 2018 by the authors. Licensee MDPI, Basel, Switzerland. This article is an open access article distributed under the terms and conditions of the Creative Commons Attribution (CC BY) license (http://creativecommons.org/licenses/by/4.0/).
Share and Cite
Huang, Y.; Xiao, L.; Li, F.; Xiao, M.; Lin, D.; Long, X.; Wu, Z. Microbial Degradation of Pesticide Residues and an Emphasis on the Degradation of Cypermethrin and 3-phenoxy Benzoic Acid: A Review. Molecules 2018, 23, 2313. https://doi.org/10.3390/molecules23092313
Huang Y, Xiao L, Li F, Xiao M, Lin D, Long X, Wu Z. Microbial Degradation of Pesticide Residues and an Emphasis on the Degradation of Cypermethrin and 3-phenoxy Benzoic Acid: A Review. Molecules. 2018; 23(9):2313. https://doi.org/10.3390/molecules23092313
Chicago/Turabian StyleHuang, Yichen, Lijuan Xiao, Feiyu Li, Mengshi Xiao, Derong Lin, Xiaomei Long, and Zhijun Wu. 2018. "Microbial Degradation of Pesticide Residues and an Emphasis on the Degradation of Cypermethrin and 3-phenoxy Benzoic Acid: A Review" Molecules 23, no. 9: 2313. https://doi.org/10.3390/molecules23092313
APA StyleHuang, Y., Xiao, L., Li, F., Xiao, M., Lin, D., Long, X., & Wu, Z. (2018). Microbial Degradation of Pesticide Residues and an Emphasis on the Degradation of Cypermethrin and 3-phenoxy Benzoic Acid: A Review. Molecules, 23(9), 2313. https://doi.org/10.3390/molecules23092313
