Bioactive Constituents from the Aerial Parts of Pluchea indica Less
Abstract
:1. Introduction
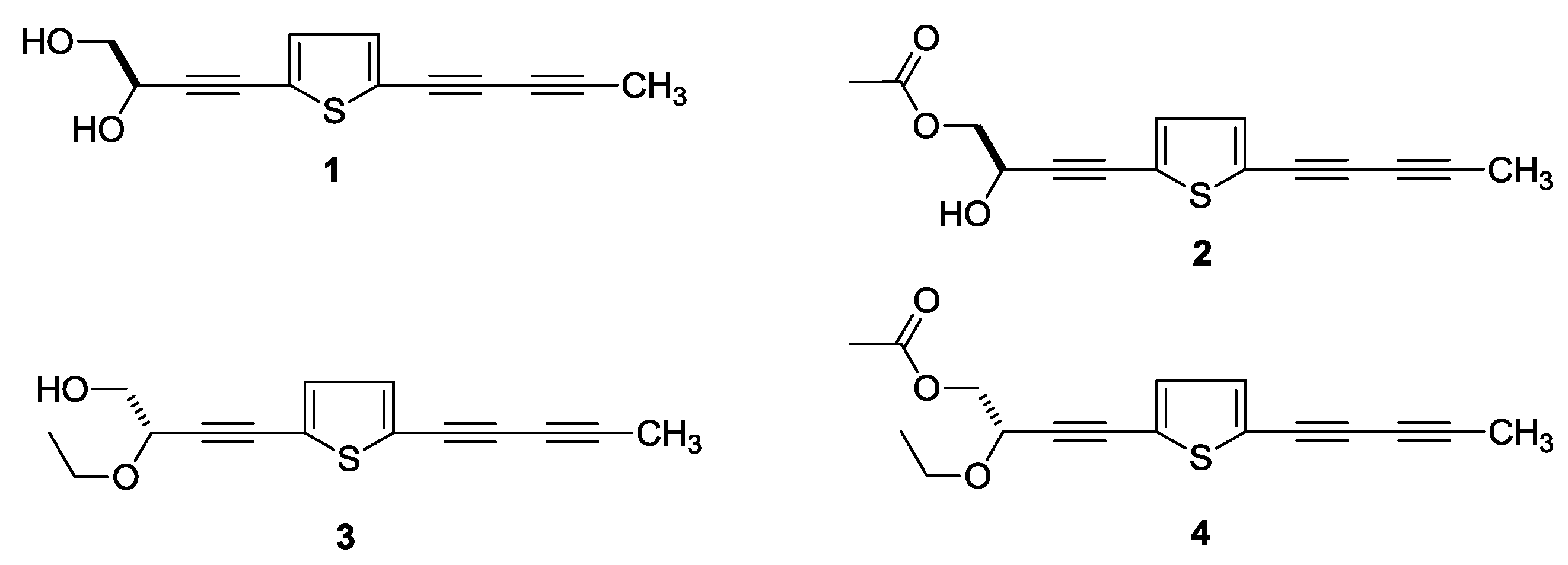
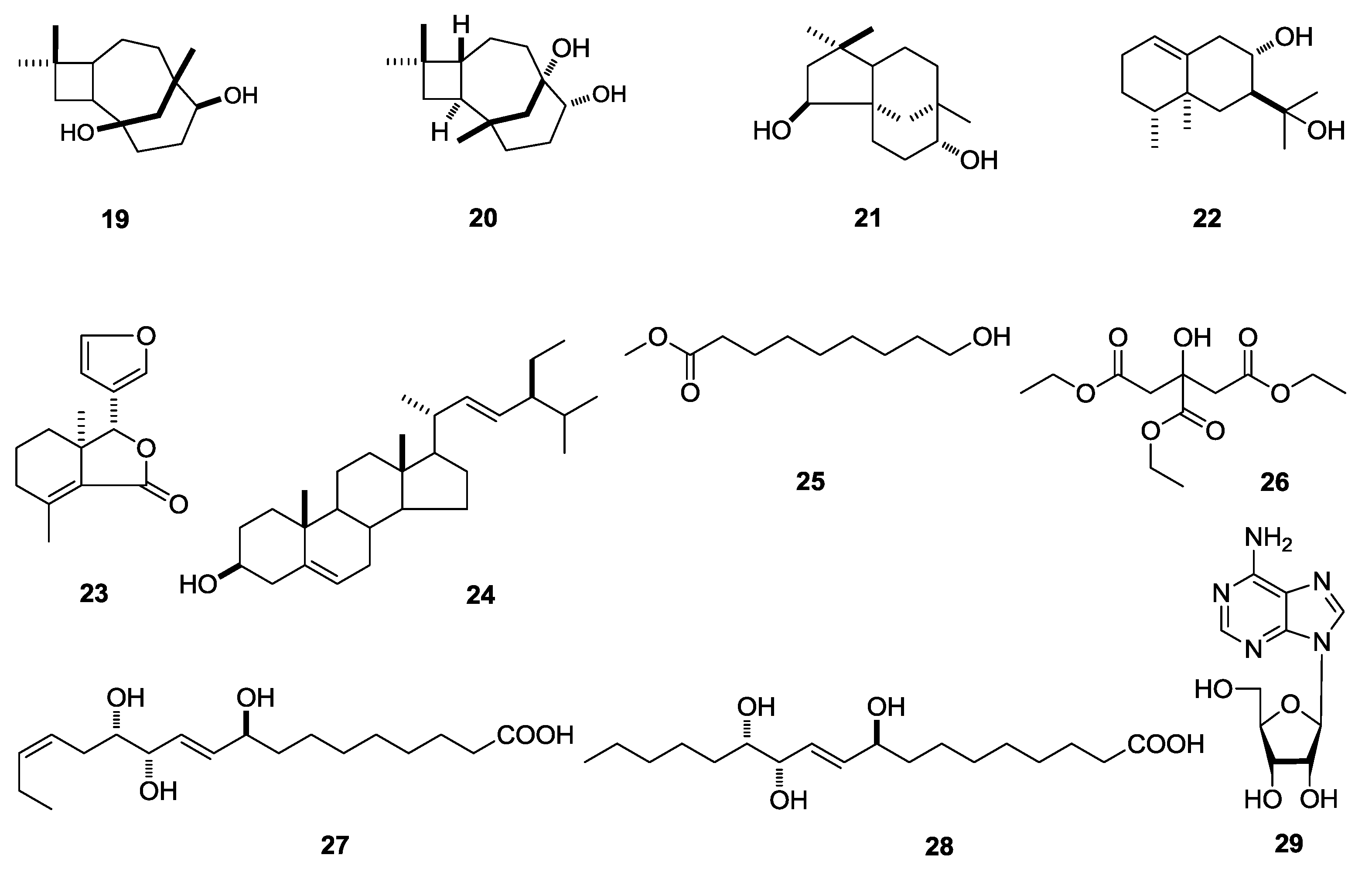
2. Results and Discussion
3. Experimental
3.1. General
3.2. Plant Material
3.3. Extraction and Isolation
3.4. In Vitro Anti-Inflammatory Assay
3.4.1. Materials
3.4.2. Cell Culture
3.4.3. Measurement of NO Levels
3.5. Statistical Analysis
4. Conclusions
Author Contributions
Funding
Conflicts of Interest
References
- Panda, S.K.; Luyten, W. Antiparasitic activity in Asteraceae with special attention to ethnobotanical use by the tribes of Odisha, India. Parasite 2018, 25, 10–25. [Google Scholar] [CrossRef] [PubMed]
- Wang, J.; Pei, Y.H.; Lin, W.H.; Deng, Z.W.; Qiao, L. Chemical constituents from the stems and leaves of marine mangrove plant Pluchea indica (L.) Less. Shenyang Yaoke Daxue Xuebao 2008, 25, 960–963. [Google Scholar]
- Tan, H.; Shen, Z.; Lin, W.; Yang, A.; Xing, J.; Cao, Y. Study on chemical constituents from roots of Pluchea indica. Shanghai Zhongyiyao Daxue Xuebao 2010, 24, 83–86. [Google Scholar]
- Zhou, J.S.; Wang, F.G.; Xing, F.W. Pluchea sagitallis, a naturalized medical plant in mainland China. Guangxi Zhiwu 2010, 30, 455–457. [Google Scholar]
- Buapool, D.; Mongkol, N.; Chantimal, J.; Roytrakul, S.; Srisook, E.; Srisook, K. Molecular mechanism of anti-inflammatory activity of Pluchea indica leaves in macrophages RAW 264.7 and its action in animal models of inflammation. J. Ethnopharm. 2013, 146, 495–504. [Google Scholar] [CrossRef] [PubMed]
- Cho, J.J.; Cho, C.L.; Kao, C.L.; Chen, C.M.; Tseng, C.N.; Lee, Y.Z.; Liao, L.J.; Hong, Y.R. Crude aqueous extracts of Pluchea indica (L.) Less. inhibit proliferation and migration of cancer cells through induction of p53-dependent cell death. BMC Complem. Altern. Med. 2012, 12, 265. [Google Scholar] [CrossRef] [PubMed]
- Noridayu, A.R.; Hii, Y.F.; Faridah, A.; Khozirah, S.; Lajis, N. Antioxidant and antiacetylcholinesterase activities of Pluchea indica Less. Inter. Food Res. J. 2011, 18, 925–929. [Google Scholar]
- Qiu, Y.Q.; Qi, S.H.; Zhang, S.; Tian, X.P.; Xiao, Z.H.; Li, M.Y.; Li, Q.X. Thiophene derivatives from the aerial part of Pluchea indica. Heterocycles 2008, 75, 1757–1764. [Google Scholar]
- Biswas, R.; Dutta, P.K.; Achari, B.; Bandyopadhyay, D.; Mishra, M.; Pramanik, K.C.; Chatterjee, T.K. Isolation of pure compound R/J/3 from Pluchea indica (L.) Less. and its anti-amoebic activities against Entamoeba histolytica. Phytomedicine 2007, 14, 534–537. [Google Scholar] [CrossRef] [PubMed]
- Imashiro, F.; Maeda, S.; Takegoshi, K.; Terao, T.; Saika, A. Hydrogen bonding and conformational effects on carbon-13-NMR chemical shifts of hydroxybenzaldehydes in the solid state. Chem. Phys. Lett. 1983, 99, 189–192. [Google Scholar] [CrossRef]
- Sun, B.H.; Yashikawa, M.; Chen, Y.J.; Wu, L.J. Chemistry study of Stellaria dichatoma L. var. lanceolata Bge. Shenyang Yaoke Daxue Xuebao 2006, 23, 84–87. [Google Scholar]
- Qiu, Y.Q.; Qi, S.H.; Zhang, C.; Li, Q.X. Chemical constituents of Pluchea indica (II). Zhongcaoyao 2010, 41, 24–27. [Google Scholar]
- Li, B.; Zhang, Y.; Du, W.P.; Liu, H.D.; Liu, B.; Lai, X.W.; Xu, P. Chemical constituents from shoot of Phyllostachys edulis (II). Zhongyaocai 2015, 38, 2535–2537. [Google Scholar] [PubMed]
- Chang, R.J.; Wang, C.H.; Zeng, Q.; Guan, B.; Zhang, W.D.; Jin, H.Z. Chemical constituents of the stems of Celastrus rugosus. Arch. Pharm. Res. 2013, 36, 1291–1301. [Google Scholar] [CrossRef] [PubMed]
- Lee, S.J.; Jang, H.J.; Kim, Y.; Oh, H.M.; Lee, S.; Jung, K.; Kim, Y.H.; Lee, W.S.; Lee, S.W.; Rho, M.C. Inhibitory effects of IL-6-induced STAT3 activation of bioactive compounds derived from Salvia plebeia R. Br. Process Biochem. 2016, 51, 2222–2229. [Google Scholar] [CrossRef]
- Baderschneider, B.; Winterhalter, P. Isolation and characterization of novel benzoates, cinnamates, flavonoids, and lignans from riesling wine and screening for antioxidant activity. J. Agric. Food Chem. 2001, 49, 2788–2798. [Google Scholar] [CrossRef] [PubMed]
- He, K.; Cao, T.W.; Wang, H.L.; Geng, C.A.; Zhang, X.M.; Chen, J.J. Chemical constituents of Swertia kouitchensis Franch. Zhongguo Zhongyao Zazhi 2015, 40, 3811–3817. [Google Scholar] [PubMed]
- Huo, L.N.; Wang, W.; Liu, Y.; Liu, X.H.; Zhang, L.; Cheng, K.; Liu, K.; Gao, H. Chemical constituents from leaves of Perilla frutescens (II). Zhongcaoyao 2016, 47, 26–31. [Google Scholar]
- Lee, T.H.; Kuo, Y.C.; Wang, G.J.; Kuo, Y.H.; Chang, C.I.; Lu, C.K.; Lee, C.K. Five new phenolics from the roots of Ficus beecheyana. J. Nat. Prod. 2002, 65, 1497–1500. [Google Scholar] [CrossRef] [PubMed]
- Jang, D.S.; Park, E.J.; Kang, Y.H.; Vigo, J.S.; Graham, J.G.; Cabieses, F.; Fong, H.H.S.; Pezzuto, J.M.; Kinghorn, A.D. Phenolic compounds obtained from stems of Couepia ulei with the potential to induce quinone reductase. Arch. Pharm. Res. 2004, 27, 169–172. [Google Scholar] [CrossRef] [PubMed]
- Aranya, J.; Hongjie, Z.; Ghee, T.T.; Cuiying, M.; Nguyen, V.H.; Nguyen, M.C.; Nuntavan, B.D.; Doel, S.; Harry, H.S.F. Bioactive constituents from roots of Bursera tonkinensis. Phytochemistry 2005, 66, 2745–2751. [Google Scholar]
- Kwon, H.C.; Choi, S.U.; Lee, J.O.; Bae, K.H.; Zee, O.P.; Lee, K.R. Two new lignans from Lindera obtusiloba Blume. Arch. Pharm. Res. 1999, 22, 777–781. [Google Scholar] [CrossRef]
- Xiong, L.; Zhu, C.; Li, Y.; Tian, Y.; Lin, S.; Yuan, S.; Hu, J.; Hou, Q.; Chen, N.; Yang, Y.; Shi, J. Lignans and neolignans from Sinocalamus affinis and their absolute configurations. J. Nat. Prod. 2011, 74, 1188–1200. [Google Scholar] [CrossRef] [PubMed]
- Lin, S.; Chen, T.; Liu, X.H.; Shen, Y.H.; Li, H.L.; Shan, L.; Liu, R.H.; Xu, X.K.; Zhang, W.D.; Wang, H. Iridoids and lignans from Valeriana jatamansi. J. Nat. Prod. 2010, 73, 632–638. [Google Scholar] [CrossRef] [PubMed]
- Yang, Y.N.; Huang, X.Y.; Feng, Z.M.; Jiang, J.S.; Zhang, P.C. Hepatoprotective activity of twelve novel 7′-hydroxy lignan glucosides from Arctii Fructus. J. Agric. Food Chem. 2014, 62, 9095–9102. [Google Scholar] [CrossRef] [PubMed]
- Lee, J.; Lee, D.; Jang, D.S.; Nam, J.W.; Kim, J.P.; Park, K.H.; Yang, M.S.; Seo, E.K. Two new stereoisomers of tetrahydrofuranoid lignans from the flower buds of Magnolia fargesii. Chem. Pharm. Bull. 2007, 55, 137–139. [Google Scholar] [CrossRef] [PubMed]
- Heymann, H.; Tezuka, Y.; Kikuchi, T.; Supriyatna, S. Constituents of Sindora sumatrana Miq. I. Isolation and NMR spectral analysis of sesquiterpenes from the dried pods. Chem. Pharm. Bull. 1994, 42, 138–146. [Google Scholar] [CrossRef]
- Ascari, J.; Boaventura, M.A.D.; Takahashi, J.A.; Duran-Patron, R.; Hernandez-Galan, R.; Macias-Sanchez, A.J.; Collado, I.G. Biotransformation of bioactive isocaryolanes by Botrytis cinerea. J. Nat. Prod. 2011, 74, 1707–1712. [Google Scholar] [CrossRef] [PubMed]
- Du, C.F.; Tu, P.F.; Chang, H.T. Studies on the chemical references of Cortex dietamni. Drug Stand. Chin. 2006, 7, 49. [Google Scholar]
- Somsak, N.; Peerawit, P.; Chusri, T. Hypoglycemic activity in diabetic rats of stigmasterol and sitosterol-3-O-β-d-glucopyranoside isolated from Pseuderanthemum palatiferum (Nees) Radlk. leaf extract. J. Med. Plants Res. 2015, 9, 629–635. [Google Scholar] [CrossRef]
- Marc von, C.; Michael, A.R.M. Catalytic oxyfunctionalization of methyl 10-undecenoate for the synthesis of step-growth polymers. Macromol. Chem. Phys. 2017, 218, 1700153. [Google Scholar]
- Holecek, J.; Lycka, A.; Micak, D.; Nagy, L.; Vanko, G.; Brus, J.; Raj, S.S.S.; Fun, H.K.; Ng, S.W. Infrared, 119Sn, 13C and 1H-NMR, 119Sn and 13C-CP/MAS-NMR and moessbauer spectral study of some tributylstannyl citrates and propane-1,2,3-tricarboxylates. Collect. Czech. Chem. Commun. 1999, 64, 1028–1048. [Google Scholar] [CrossRef]
- Shin, J.S.; Hong, Y.; Lee, H.H.; Ryu, B.; Cho, Y.W.; Kim, N.J.; Jang, D.S.; Lee, K.T. Fulgidic acid isolated from the rhizomes of Cyperus rotundus suppresses LPS-induced iNOS, COX-2, TNF-α, and IL-6 expression by AP-1 inactivation in RAW 264.7 macrophages. Biol. Pharm. Bull. 2015, 38, 1081–1086. [Google Scholar] [CrossRef] [PubMed]
- Miura, A.; Kuwahara, S. A concise synthesis of pinellic acid using a cross-metathesis approach. Tetrahedron 2009, 65, 3364–3368. [Google Scholar] [CrossRef]
- Chen, X.M.; Zhou, W.W.; Wang, C.L.; Guo, S.X. Study on chemical constituents of mycelium of Polyporus umbellatus (pers.) Fries. Zhongguo Xiandai Zhongyao 2014, 3, 187–191. [Google Scholar]
- Guerrero-Vasquez, G.A.; Galarza, F.A.D.; Molinillo, J.M.G.; Andrade, C.K.Z.; Macias, F.A. Enantioselective total syntheses of (R)- and (S)-naphthotectone, and stereochemical assignment of the natural product. Eur. J. Org. Chem. 2016, 2016, 1599–1605. [Google Scholar] [CrossRef]
- Bitew, H.; Mammo, W.; Hymete, A.; Yeshak, M.Y. Antimalarial activity of acetylenic thiophenes from Echinops hoehnelii Schweinf. Molecules 2017, 22, 1965/1–1965/10. [Google Scholar] [CrossRef] [PubMed]
- Zhang, Y.; Chao, L.; Ruan, J.; Zheng, C.; Yu, H.; Qu, L.; Han, L.; Wang, T. Bioactive constituents from the rhizomes of Dioscorea septemloba Thunb. Fitoterapia 2016, 115, 165–172. [Google Scholar] [CrossRef] [PubMed]
Sample Availability: Samples of all the compounds are available from the authors. |




| No. | in CD3OD | in CDCl3 | ||
|---|---|---|---|---|
| δC | δH (J in Hz) | δC | δH (J in Hz) | |
| 2 | 124.6 | — | 124.2 | — |
| 3 | 134.9 | 7.15 (d, 4.0) | 133.6 | 7.10 (d, 4.0) |
| 4 | 133.3 | 7.08 (d, 4.0) | 132.4 | 7.04 (d, 4.0) |
| 5 | 125.9 | — | 123.8 | — |
| 1′ | 66.8 | — | 66.4 | — |
| 2′ | 80.1 | — | 79.6 | — |
| 3′ | 64.6 | — | 64.1 | — |
| 4′ | 84.5 | — | 83.6 | — |
| 5′ | 4.2 | 2.02 (s) | 4.8 | 2.04 (s) |
| 1′′ | 78.1 | — | 79.0 | — |
| 2′′ | 94.5 | — | 91.4 | — |
| 3′′ | 64.6 | 4.55 (dd, 5.0, 7.0) | 63.8 | 4.68 (dd, 4.0, 6.0) |
| 4′′ | 66.9 | 3.64 (dd, 7.0, 11.5) | 66.2 | 3.77 (dd, 6.0, 11.5) |
| 3.68 (dd, 5.0, 11.5) | 3.83 (dd, 4.0, 11.5) | |||
| No. | δC | δH (J in Hz) | No. | δC | δH (J in Hz) |
|---|---|---|---|---|---|
| 2 | 125.0 | — | 1′′ | 78.5 | — |
| 3 | 135.0 | 7.17 (d, 4.0) | 2′′ | 93.3 | — |
| 4 | 133.6 | 7.10 (d, 4.0) | 3′′ | 61.8 | 4.76 (dd, 5.0, 6.5) |
| 5 | 125.5 | — | 4′′ | 68.1 | 4.19 (dd, 6.5, 11.0) |
| 1′ | 67.0 | — | 4.21 (dd, 5.0, 11.0) | ||
| 2′ | 80.1 | — | 1′′′ | 172.5 | — |
| 3′ | 64.7 | — | 2′′′ | 20.7 | 2.08 (s) |
| 4′ | 84.6 | — | |||
| 5′ | 4.1 | 2.03 (s) |
| No. | δC | δH (J in Hz) | No. | δC | δH (J in Hz) |
|---|---|---|---|---|---|
| 2 | 124.8 | — | 5′ | 4.1 | 2.03 (s) |
| 3 | 135.0 | 7.16 (d, 4.0) | 1′′ | 79.5 | — |
| 4 | 133.6 | 7.10 (d, 4.0) | 2′′ | 92.5 | — |
| 5 | 125.6 | — | 3′′ | 72.7 | 4.34 (t, 5.5) |
| 1′ | 66.7 | — | 4′′ | 65.6 | 3.69 (d, 5.5) |
| 2′ | 80.2 | — | 5′′ | 66.1 | 3.55 (dq, 7.0, 9.0) |
| 3′ | 64.5 | — | 3.83 (dq, 7.0, 9.0) | ||
| 4′ | 84.6 | — | 6′′ | 15.5 | 1.24 (t like, ca. 7) |
| No. | δC | δH (J in Hz) | No. | δC | δH (J in Hz) |
|---|---|---|---|---|---|
| 2 | 125.2 | — | 1′′ | 79.9 | — |
| 3 | 135.1 | 7.17 (d, 4.0) | 2′′ | 91.2 | — |
| 4 | 133.9 | 7.12 (d, 4.0) | 3′′ | 69.5 | 4.57 (dd, 4.5, 6.0) |
| 5 | 125.2 | — | 4′′ | 66.5 | 4.23 (dd, 4.5, 11.5) |
| 1′ | 66.6 | — | 4.26 (dd, 6.0, 11.5) | ||
| 2′ | 80.3 | — | 5′′ | 66.1 | 3.55 (dq, 7.0, 9.0) |
| 3′ | 64.5 | — | 3.81 (dq, 7.0, 9.0) | ||
| 4′ | 84.7 | — | 6′′ | 15.4 | 1.24 (t like, ca. 7) |
| 5′ | 4.1 | 2.03 (s) | 1′′′ | 172.4 | — |
| 2′′′ | 20.7 | 2.07 (s) |
| No. | NRC (%) | No. | NRC (%) | No. | NRC (%) |
|---|---|---|---|---|---|
| Normal | 0.6 ± 0.4 | 8 | 92.6 ± 5.1 | 19 | 104.8 ± 1.5 |
| Control | 100.0 ± 3.1 | 9 | 101.1 ± 2.2 | 20 | 95.1 ± 0.6 |
| Dex | 62.2 ± 2.6 *** | 10 | 77.9 ± 1.5 ** | 21 | 101.6 ± 2.0 |
| PI | 87.8 ± 2.0 ** | 11 | 100.9 ± 2.8 | 22 | 103.8 ± 1.9 |
| PIE | 77.9 ± 1.2 *** | 12 | 94.2 ± 3.9 | 23 | 52.1 ± 2.3 *** |
| 1 | 84.5 ± 0.9 ** | 13 | 88.5 ± 1.2 ** | 24 | 92.5 ± 0.8 |
| 2 | 83.4 ± 0.8 ** | 14 | 101.7 ± 3.2 | 25 | 93.6 ± 1.2 |
| 3 | 86.9 ± 1.9 * | 15 | 99.7 ± 2.3 | 26 | 91.1 ± 0.9 * |
| 4 | 90.1 ± 0.6 * | 16 | 101.9 ± 1.4 | 27 | 90.3 ± 0.8 * |
| 5 | 92.8 ± 0.4 | 17 | 101.7 ± 0.1 | 28 | 89.5 ± 0.9 * |
| 6 | 99.6 ± 1.2 | 18 | 77.6 ± 1.0 *** | 29 | 88.7 ± 2.2 * |
| 7 | 103.9 ± 6.7 |
© 2018 by the authors. Licensee MDPI, Basel, Switzerland. This article is an open access article distributed under the terms and conditions of the Creative Commons Attribution (CC BY) license (http://creativecommons.org/licenses/by/4.0/).
Share and Cite
Ruan, J.; Li, Z.; Yan, J.; Huang, P.; Yu, H.; Han, L.; Zhang, Y.; Wang, T. Bioactive Constituents from the Aerial Parts of Pluchea indica Less. Molecules 2018, 23, 2104. https://doi.org/10.3390/molecules23092104
Ruan J, Li Z, Yan J, Huang P, Yu H, Han L, Zhang Y, Wang T. Bioactive Constituents from the Aerial Parts of Pluchea indica Less. Molecules. 2018; 23(9):2104. https://doi.org/10.3390/molecules23092104
Chicago/Turabian StyleRuan, Jingya, Zheng Li, Jiejing Yan, Peijian Huang, Haiyang Yu, Lifeng Han, Yi Zhang, and Tao Wang. 2018. "Bioactive Constituents from the Aerial Parts of Pluchea indica Less" Molecules 23, no. 9: 2104. https://doi.org/10.3390/molecules23092104
APA StyleRuan, J., Li, Z., Yan, J., Huang, P., Yu, H., Han, L., Zhang, Y., & Wang, T. (2018). Bioactive Constituents from the Aerial Parts of Pluchea indica Less. Molecules, 23(9), 2104. https://doi.org/10.3390/molecules23092104
